Influence of Nitrogen Fertilisation Level and Weather Conditions on Yield and Quantitative Profile of Anti-Nutritional Compounds in Grain of Selected Rye Cultivars
Abstract
1. Introduction
2. Materials and Methods
2.1. Site Characteristic, Experimental Design, and Agronomic Practices
2.2. Meteorological Conditions
2.3. Chemical Analyses
2.3.1. Determination of Alkylresorcinol Content
2.3.2. Determination of Soluble Pentosans
2.3.3. Determination of the Activity of Tripsin Inhibitors
2.4. Statistical Analysis
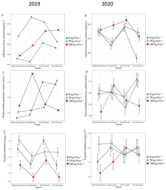
3. Results and Discussion
4. Conclusions
Author Contributions
Funding
Institutional Review Board Statement
Data Availability Statement
Conflicts of Interest
References
- AGRI Food. Available online: https://agridata.ec.europa.eu/ (accessed on 12 December 2023).
- Stępniewska, S.; Słowik, E.; Cacak-Pietrzak, G.; Romankiewicz, D.; Szafrańska, A.; Dziki, D. Prediction of rye flour baking quality based on parameters of swelling curve. Eur. Food Res. Technol. 2018, 244, 989–997. Available online: https://link.springer.com/article/10.1007/s00217-017-3014-z (accessed on 21 February 2024). [CrossRef]
- Stępniewska, S.; Hassoon, W.H.; Szafrańska, A.; Cacak-Pietrzak, G.; Dziki, D. Procedures for Breadmaking Quality Assessment of Rye Wholemeal Flour. Foods 2019, 8, 331. [Google Scholar] [CrossRef]
- Brzozowski, L.J.; Szuleta, E.; Phillips, T.D.; Van Sanford, D.A.; Clark, A.J. Breeding cereal rye (Secale cereale) for quality traits. Crop Sci. 2023, 63, 1964–1987. [Google Scholar] [CrossRef]
- Miedaner, T.; Korzun, V.; Wilde, P. Effective Pollen-Fertility Restoration Is the Basis of Hybrid Rye Production and Ergot Mitigation. Plants 2022, 11, 1115. [Google Scholar] [CrossRef] [PubMed]
- Hackauf, B.; Siekmann, D.; Fromme, F.J. Improving Yield and Yield Stability in Winter Rye by Hybrid Breeding. Plants 2022, 11, 2666. [Google Scholar] [CrossRef] [PubMed]
- Wilde, P.; Miedaner, T. Hybrid rye breeding. In Compendium of Plant Genomes—Rye Genome; Springer Publishing House: Berlin/Heidelberg, Germany, 2021; pp. 13–41. [Google Scholar]
- Galán, R.J.; Bernal-Vasquez, A.M.; Jebsen, C.; Piepho, H.P.; Thorwarth, P.; Steffan, P.; Miedaner, T. Integration of genotypic, hyperspectral, and phenotypic data to improve biomass yield prediction in hybrid rye. Theor. Appl. Genet. 2020, 133, 3001–3015. [Google Scholar] [CrossRef] [PubMed]
- Pomortsev, A.V.; Dorofeev, N.V.; Zorina, S.Y.; Katysheva, N.B.; Sokolova, L.G.; Zhuravkova, A.S.; Mikhailova, E.V. Evaluation of Population and Hybrid Varieties of Winter Rye in the Conditions of Eastern Siberia. Agronomy 2023, 13, 1431. [Google Scholar] [CrossRef]
- Mackay, I.J.; Cockram, J.; Howell, P.; Powell, W. Understanding the classics: The unifying concepts of transgressive segregation, inbreeding depression and heterosis and their central relevance for crop breeding. Plant Biotechnol. J. 2021, 19.1, 26–34. [Google Scholar] [CrossRef]
- Klimek-Kopyra, A.; Bacior, M.; Neugschandtner, R. Hybrid rye (Secale cereale L.) as a good crop component to enhance yield stability in a winter cereal mixture. Acta Agrobot. 2023, 76, 172670. [Google Scholar] [CrossRef]
- Macholdt, J.; Honermeier, B. Impact of highly varying seeding densities on grain yield and yield stability of winter rye cultivars under the influence of delayed sowing under sandy soil conditions. Arch. Agron. Soil Sci. 2017, 63, 1977–1992. [Google Scholar] [CrossRef]
- Linina, A.; Kunkulberga, D.; Kronberga, A.; Locmele, I. Winter rye grain quality of hybrid and population cultivars. Agron. Res. 2019, 17, 1380–1389. [Google Scholar] [CrossRef]
- Schwarz, T.; Kuleta, W.; Turek, A.; Tuz, R.; Nowicki, J.; Rudzki, B.; Bartlewski, M. Assessing the efficiency of using a modern hybrid rye cultivar for pig fattening, with emphasis on production costs and carcass quality. Anim. Prod. Sci. 2014, 55, 467–473. [Google Scholar] [CrossRef]
- Milczarek, A.; Osek, M.; Skrzypek, A. Effectiveness of using a hybrid rye cultivar in feeding broiler chickens. Can. J. Anim. Sci. 2020, 100, 502–509. [Google Scholar] [CrossRef]
- Janiszewski, P.; Lisiak, D.; Borzuta, K.; Grześkowiak, E.; Schwarz, T.; Siekierko, U.; Andres, K.; Świątkiewicz, S. The Effect of Feeding Chicken and Geese Broilers with Different Cereals on the Fatty Acids Profile in Meat. Foods 2021, 10, 2879. [Google Scholar] [CrossRef] [PubMed]
- Grabiński, J.; Sułek, A.; Wyzinska, M.; Stuper-Szablewska, K.; Cacak-Pietrzak, G.; Nieróbca, A.; Dziki, D. Impact of genotype, weather conditions and production technology on the quantitative profile of anti-nutritive compounds in rye grains. Agronomy 2021, 11, 151. [Google Scholar] [CrossRef]
- Boros, D. Alkylresorcinols of cereal grains—Their importance in food and feed. Biul. IHAR 2015, 277, 7–20. (In Polish) [Google Scholar] [CrossRef]
- Ciurescu, G.; Vasilachi, A.; Lavinia, I.; Dumitru, M.; Reta, D. Assessing the efficiency of using a local hybrid of rye for broiler chickens aged 1–42 d, with emphasis on performance and meat quality. Arch Zootech. 2022, 25, 5–21. [Google Scholar] [CrossRef]
- Ismagilov, R.; Ayupov, D.; Nurlygayanov, R. Ways to reduce anti-nutritional substances in winter rye grain. Physiol. Mol. Biol. Plants 2020, 26, 1067–1073. [Google Scholar] [CrossRef]
- Skrzypek, A.; Makarska, E.; Kociuba, W.; Studziński, M. Antioxidant activity and content of resorcinol of lipids in hybrids strain of winter triticale. Żywn. Nauka Technol. Jakość 2007, 2, 51–59. (In Polish) [Google Scholar]
- Dynkowska, W.M. Rye (Secale cereale L.) Phenolic compounds as health-related factors. Plant Breed. Seed Sci. 2019, 79, 9–24. [Google Scholar] [CrossRef]
- Boros, D. Influence of R genome on the nutritional value of triticale for broiler chicks. Anim. Feed Sci. Tech. 1999, 76, 219–226. [Google Scholar] [CrossRef]
- Lagaert, S.; Pollet, A.; Courtin, C.M.; Volckaert, G. β-Xylosidases and α-l-arabinofuranosidases: Accessory enzymes for arabinoxylan degradation. Biotechnol. Adv. 2014, 32, 316–332. [Google Scholar] [CrossRef] [PubMed]
- Wilke, V.; Kamphues, J. Effects of substituting wheat by rye in diets for young fattening pigs on nutrient digestibility, performance, products of intestinal fermentation, and fecal characteristics. Front. Vet. Sci. 2023, 10, 1199505. [Google Scholar] [CrossRef]
- Lisiak, D.; Janiszewski, P.; Grześkowiak, E.; Borzuta, K.; Lisiak, B.; Samardakiewicz, Ł.; Schwarz, T.; Powałowski, K.; Andres, K. Research on the Effects of Gender and Feeding Geese Oats and Hybrid Rye on Their Slaughter Traits and Meat Quality. Animals 2021, 11, 672. [Google Scholar] [CrossRef]
- Aderibigbe, A.; Cowieson, A.J.; Sorbara, J.O.; Pappenberger, G.; Adeola, O. Growth performance and amino acid digestibility responses of broiler chickens fed diets containing purified soybean trypsin inhibitor and supplemented with a monocomponent protease. Poult. Sci. 2020, 99, 5007–5017. [Google Scholar] [CrossRef]
- Lexhaller, B.; Colgrave, M.L.; Scherf, K.A. Characterization and relative quantitation of wheat, rye, and barley gluten protein types by liquid chromatography–tandem mass spectrometry. Front. Plant Sci. 2019, 10, 1530. [Google Scholar] [CrossRef] [PubMed]
- Katoch, R. Nutritional and Anti-Nutritional Constituents in Forages. In Nutritional Quality Management of Forages in the Himalayan Region; Springer: Singapore, 2022. [Google Scholar] [CrossRef]
- Piasecka-Kwiatkowska, D.; Warchlewski, J. The cereal protein inhibitors of hydrolytic enzymes and their role. Part I Protein inhibitors of alpha-amylase. Żywn. Nauka Technol. Jakość 2000, 3, 110–119. (In Polish) [Google Scholar]
- Piasecka-Kwiatkowska, D.; Warchlewski, J. The cereal protein inhibitors of hydrolytic enzymes and their role. Part II Protein inhibitors of proteinases. Żywn. Nauka Technol. Jakość 2000, 3, 33–38. (In Polish) [Google Scholar]
- Korbas, M.; Mrówczyński, M. Integrated Production of Winter and Spring Wheat; IOR-PIB: Poznań, Poland, 2009; pp. 1–166. (In Polish) [Google Scholar]
- Sharma, S.; Kumar, T.; Foulkes, M.J.; Orfor, S.; Singh, A.M.; Wingen, L.U.; Karnam, V.; Nari, L.S.; Mandal Kumar, P.; Griffiths, S.; et al. Nitrogen uptake and remobilization from pre-and post-anthesis stages contribute towards grain yield and grown in limited nitrogen conditions. CABI Agric. Biosci. 2023, 4, 12. [Google Scholar] [CrossRef]
- Maciorowski, R.; Stankowski, S.; Piech, M. Reaction of hybrid and open-pollinated rye cultivars to nitrogen fertilization and growth regulator. Part I. Grain yield, yield components and selected physiological traits. Biul. IHAR 2000, 215, 109–120. (In Polish) [Google Scholar]
- Wojcieska, U. The physiological role of nitrogen in shaping plant yield. The influence of nitrogen on the yield of plants. Postępy Nauka Rol. 1994, 1.94, 115–127. (In Polish) [Google Scholar]
- Faber, A.; Jarosz, Z.; Król, A. The impact of climate change on the efficiency of nitrogen use and its losses. Probl. Rol. Swiat. 2019, 19, 37–46. (In Polish) [Google Scholar]
- Buksa, K.; Nowotna, A.; Gambuś, H.; Krawontka, J.; Sabat, R.; Noga, M. Technological evaluation and chemical composition of rye grain of selected varieties cultivated by 3 consecutive years. Acta Agroph. 2012, 19, 265–276. (In Polish) [Google Scholar]
- Jaśkiewicz, B.; Szczepanek, M. Crop mangament and variety have influence on alkylresolcinol content in triticale grain. Acta Agric. Scand. 2016, 66, 570–574. [Google Scholar] [CrossRef]
- Safar-Noori, M.; Dong, Q.; Saneoka, H. Improvement of grain yield, nutritional and anti-nutritional quality, and seed physiological performance of wheat by NPK fertilization. Agric. Sci. Technol. 2018, 20, 1467–1477. Available online: http://jast.modares.ac.ir/article-23-17204-en.html (accessed on 24 January 2024).
- Tłuścik, F. Localization of the alkylresorcinols in rye and wheat caryopses. Acta Soc. Bot. Pol. 1978, 47, 211–2018. [Google Scholar] [CrossRef]
- Album, H.G.; Umbereit, W.W. Differentiation between ribose-3phosphate and ribose-5 phosphate by means of the orcinol-pentose reaction. J. Biol. Chem. 1947, 167, 369–376. [Google Scholar] [CrossRef]
- PN-EN ISO 14902:2001; Animal Feeding Stuffs—Determination of Trypsin Inhibitor Activity of Soya Products. International Organization for Standardization: Geneva, Switzerland, 2001.
- R Core Team. R: A Language and Environment for Statistical Computing; R Foundation for Statistical Computing: Vienna, Austria, 2003. [Google Scholar]
- Latusek, A.; Bujak, H. Genotype-environment interaction for yield of winter rye cultivars cultivated with the two levels of agricultural technology in climate conditions of Lower Silesia. Biul. IHAR 2012, 265, 47–57. (In Polish) [Google Scholar] [CrossRef]
- Wyzińska, M.; Grabiński, J.; Sułek, A. Comparison on the profitability of cultivation of winter rye depending on the different production technology. Agron. Sci. 2022, LXXVII 1, 45–52. [Google Scholar] [CrossRef]
- Szuleta, E.; Phillips, T.; Knott, C.A.; Lee, C.D.; Van Sanford, D.A. Influence of Planting Date on Winter Rye Performance in Kentucky. Agronomy 2022, 12, 2887. [Google Scholar] [CrossRef]
- Hadasch, S.; Laidig, F.; Macholdt, J.; Bönecke, E.; Piepho, H.P. Trends in mean performance and stability of winter wheat and winter rye yields in a long-term series of variety trials. Field Crops Res. 2020, 252, 107792. [Google Scholar] [CrossRef]
- Miedaner, T.; Haffke, S.; Siekmann, D.; Fromme, F.J.; Roux, S.R.; Hackauf, B. Dynamic quantitative trait loci (QTL) for plant height predict biomass yield in hybrid rye (Secale cereale L.). Biomass Bioenergy 2018, 115, 10–18. [Google Scholar] [CrossRef]
- Goncharov, A.A.; Safonov, T.A.; Malko, A.M.; Bocharov, G.A.; Goncharov, S.V. Climate change expected to increase yield of spring cereals and reduce yield of winter cereals in the Western Siberian grain belt. Field Crops Res. 2023, 302, 109038. [Google Scholar] [CrossRef]
- Dopierała, P.; Bujak, H.; Kaczmarek, J.; Dopierała, A. Ocena interakcji genotypowo-środowiskowej plonu populacyjnych odmian żyta ozimego. Biul. IHAR 2003, 230, 243–253. (In Polish) [Google Scholar]
- Noland, R.L. Rye grain response to nitrogen fertilizer and seeding rate. Agrosyst. Geosci. Environ. 2022, 5, e20239. [Google Scholar] [CrossRef]
- Tupits, I.; Tamm, I.; Magistrali, A.; Rempelos, L.; Cakmak, I.; Leifert, C.; Grausgruber, H.; Wilkinson, A.; Butler, G.; Bilsborrow, P. Evaluating the effect of nitrogen fertilizer rate and source on the performanceof open-pollinated rye (Secale cereale L.) cultivars incontrasting European environments. Crop Sci. 2022, 62, 928–946. [Google Scholar] [CrossRef]
- Szuleta, E.; Shockley, J.M.; Knott, C.; Phillips, T.; Van Sanford, D.A. Influence of nitrogen rate on yield and profitability of rye grain production. Crop Forage Turfgrass Manag. 2023, 9, e20243. [Google Scholar] [CrossRef]
- Studnicki, M.; Macholdt, J.; Macdonald, A.; Stępień, W. Effects of Fertilizers and Manures on Temporal Yield Variability of Winter Rye. Agronomy 2021, 11, 519. [Google Scholar] [CrossRef]
- Bellato, S.; CIccoritti, R.; Del Frate, V.; Sqrulletta, D.M.; Carbone, K. Influence of genotype and environment on the content of 5-n alkylresorcinols, total phenols and on the antiradical activity of whole durum wheat grains. J. Cereal Sci. 2013, 57, 162–169. [Google Scholar] [CrossRef]
- Korge, M.; Alaru, M.; Keres, I.; Khaleghdoust, B.; Möll, K.; Altosaar, I.; Loit, E. The influence of cropping system, weather conditions and genotype on arabinoxylan content in wheat and barley grains. J. Cereal Sci. 2023, 110, 103650. [Google Scholar] [CrossRef]
- Marentes-Culma, R.; Coy-Barrera, E. Effect of Soil Type on the Temporal and Spatial 5-n-alk (en) ylresorcinol Variation in Triticale Grown Under Greenhouse Conditions. J. Soil Sci. Plant Nutr. 2022, 22, 4428–4437. [Google Scholar] [CrossRef]
- Kulawianek, M.; Jaromin, A.; Kozubek, A.; Zarnowski, R. Alkylresorcinols in selected Polish rye and wheat cereals and whole-grain products. J. Agric. Food Chem. 2008, 56, 7236–7242. [Google Scholar] [CrossRef]
- Targońska-Karasek, M.; Kwiatek, M.; Groszyk, J.; Walczewski, J.; Kowalczyk, M.; Pawelec, S.; Boczkowska, M.; Rucińska, A. Characteristic of the gene candidate SecARS encoding alkylresorcinol synthase in Secale. Mol. Biol. Rep. 2023, 50, 8373–8383. [Google Scholar] [CrossRef]
- Sun, T.; Zhang, Y.; Yang, O.; Ban, J.; Guo, B.; Zhang, B.; Zhao, H. Study on the spatio-temporal variation of arabinoxylan and alkylresorcinol in wheat grains. J. Food Compos. Anal. 2023, 117, 105103. [Google Scholar] [CrossRef]
- Zhi, L.; Wang, F.; Xu, K.; Zhang, Z.; Zhu, Q.; Zhang, Y.; He, Z. Effects of nitrogen fertilization rate and environment on the composition of alkylresorcinols in three elite winter wheat cultivars. J. Cereal Sci. 2023, 112, 103718. [Google Scholar] [CrossRef]
- Kulichová, K.; Sokol, J.; Nemeček, P.; Maliarová, M.; Maliar, T.; Havrlentová, M.; Kraic, J. Phenolic compounds and biological activities of rye (Secale cereale L.) grains. Open Chem. 2019, 17, 988–999. [Google Scholar] [CrossRef]
- Simonetti, E.; Bosi, S.; Negri, L.; Dinelli, G. Amylase Trypsin Inhibitors (ATIs) in a Selection of Ancient and Modern Wheat: Effect of Genotype and Growing Environment on Inhibitory Activities. Plants 2022, 11, 3268. [Google Scholar] [CrossRef] [PubMed]
- Jaśkiewicz, B.; Ochmian, I. Alkylresorcinol content in grains of spring triticale cultivars depending on the soil tillage system and nitrogen fertilization level. Agron. Sci. 2022, 77, 27–35. [Google Scholar] [CrossRef]
- Takač, V.; Tóth, V.; Rakszegi, M.; Mikó, P.; Mikić, S.; Mirosavljević, M. The Influence of Farming Systems, Genotype and Their Interaction on Bioactive Compound, Protein and Starch Content of Bread and Spelt Wheat. Foods 2022, 11, 4028. [Google Scholar] [CrossRef] [PubMed]
- Noori, M.S. Alleviation of drought stress in wheat (Triticum aestivum L.) by mineral fertilization. J. Stress Physiol. Biochem. 2021, 17.1, 82–93. [Google Scholar]
- Perić, V.; Srebrić, M.; Jankuloski, L.; Jankulovska, M.; Žilić, S.; Kandić, V.; Mladenović Drinić, S. The effects of nitrogen on protein, oil and trypsin inhibitor content of soybean. Genetika 2009, 41, 137–144. [Google Scholar] [CrossRef]
- Xue, C.; Matros, A.; Mock, H.P.; Mühling, K.H. Protein composition and baking quality of wheat flour as affected by split nitrogen application. Front. Plant Sci. 2019, 10, 642. [Google Scholar] [CrossRef] [PubMed]







| Specification | Alkylresorcinol Content (mg∙kg−1) | Water-Soluble Pentosans Content (% d.m.) | Activity of Tripsin Inhibitors (mg∙g−1) |
|---|---|---|---|
| Growing season | |||
| 2018/2019 | 533.29 a | 1.28 a | 1.23 a |
| 2019/2020 | 661.79 b | 1.46 b | 1.46 b |
| Cultivar | |||
| Dańkowskie Skand | 586.75 a | 1.29 a | 1.26 a |
| Piastowskie | 591.90 ab | 1.42 ab | 1.23 a |
| KWS Vinetto | 614.70 b | 1.31 ab | 1.31 a |
| SU Performer | 588.00 ab | 1.47 b | 1.24 a |
| Nitrogen Fertilisation (kg∙ha−1) | |||
| 0 | 575.20 a | 1.41 a | 1.28 a |
| 70 | 610.55 b | 1.38 a | 1.34 b |
| 140 | 601.45 a | 1.31 a | 1.14 a |
Disclaimer/Publisher’s Note: The statements, opinions and data contained in all publications are solely those of the individual author(s) and contributor(s) and not of MDPI and/or the editor(s). MDPI and/or the editor(s) disclaim responsibility for any injury to people or property resulting from any ideas, methods, instructions or products referred to in the content. |
© 2024 by the authors. Licensee MDPI, Basel, Switzerland. This article is an open access article distributed under the terms and conditions of the Creative Commons Attribution (CC BY) license (https://creativecommons.org/licenses/by/4.0/).
Share and Cite
Sułek, A.; Cacak-Pietrzak, G.; Studnicki, M.; Grabiński, J.; Nieróbca, A.; Wyzińska, M.; Różewicz, M. Influence of Nitrogen Fertilisation Level and Weather Conditions on Yield and Quantitative Profile of Anti-Nutritional Compounds in Grain of Selected Rye Cultivars. Agriculture 2024, 14, 418. https://doi.org/10.3390/agriculture14030418
Sułek A, Cacak-Pietrzak G, Studnicki M, Grabiński J, Nieróbca A, Wyzińska M, Różewicz M. Influence of Nitrogen Fertilisation Level and Weather Conditions on Yield and Quantitative Profile of Anti-Nutritional Compounds in Grain of Selected Rye Cultivars. Agriculture. 2024; 14(3):418. https://doi.org/10.3390/agriculture14030418
Chicago/Turabian StyleSułek, Alicja, Grażyna Cacak-Pietrzak, Marcin Studnicki, Jerzy Grabiński, Anna Nieróbca, Marta Wyzińska, and Marcin Różewicz. 2024. "Influence of Nitrogen Fertilisation Level and Weather Conditions on Yield and Quantitative Profile of Anti-Nutritional Compounds in Grain of Selected Rye Cultivars" Agriculture 14, no. 3: 418. https://doi.org/10.3390/agriculture14030418
APA StyleSułek, A., Cacak-Pietrzak, G., Studnicki, M., Grabiński, J., Nieróbca, A., Wyzińska, M., & Różewicz, M. (2024). Influence of Nitrogen Fertilisation Level and Weather Conditions on Yield and Quantitative Profile of Anti-Nutritional Compounds in Grain of Selected Rye Cultivars. Agriculture, 14(3), 418. https://doi.org/10.3390/agriculture14030418

