Prediction Model of Flavonoids Content in Ancient Tree Sun−Dried Green Tea under Abiotic Stress Based on LASSO−Cox
Abstract
1. Introduction
2. Materials and Methods
2.1. Tea and Soil Sample Collection
2.2. Detection Methods
2.3. Statistical Analysis
3. Results
3.1. Factor Selection for Constructing the Model
3.2. Factor Analysis and Model Construction
3.3. Assessing the Stability of the Model
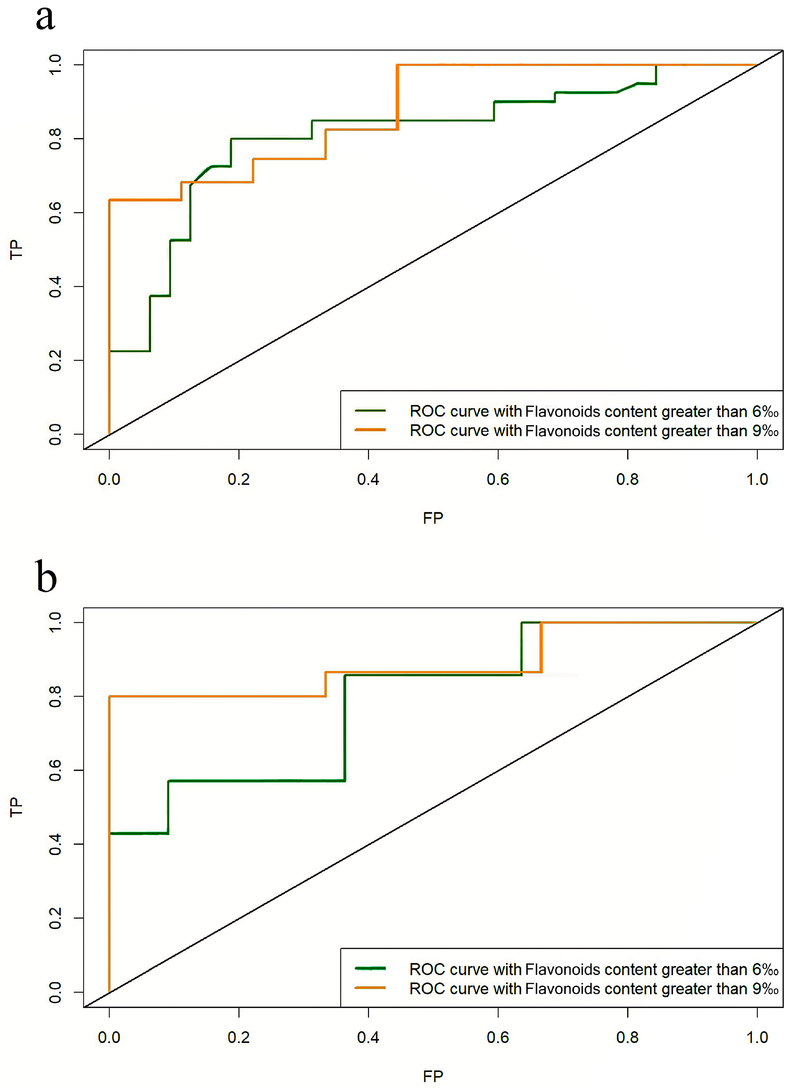
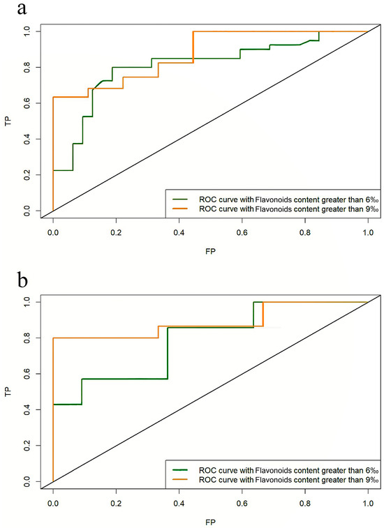
3.4. Model Accuracy Assessment
3.5. Construction of a System and Testing of a Model
4. Discussion
5. Conclusions
Author Contributions
Funding
Institutional Review Board Statement
Data Availability Statement
Acknowledgments
Conflicts of Interest
References
- Yu, P.; Yeo, A.S.; Low, M.; Zhou, W. Identifying key non-volatile compounds in ready-to-drink green tea and their impact on taste profile. Food Chem. 2014, 155, 9–16. [Google Scholar] [CrossRef]
- Scharbert, S.; Hofmann, T. Molecular definition of black tea taste by means of quantitative studies, taste reconstitution, and omission experiments. J. Agric. Food Chem. 2005, 53, 5377–5384. [Google Scholar] [CrossRef] [PubMed]
- Tang, G.-Y.; Zhao, C.-N.; Xu, X.-Y.; Gan, R.-Y.; Cao, S.-Y.; Liu, Q.; Shang, A.; Mao, Q.-Q.; Li, H.-B. Phytochemical composition and antioxidant capacity of 30 Chinese teas. Antioxidants 2019, 8, 180. [Google Scholar] [CrossRef] [PubMed]
- Grzesik, M.; Naparło, K.; Bartosz, G.; Sadowska-Bartosz, I. Antioxidant properties of catechins: Comparison with other antioxidants. Food Chem. 2018, 241, 480–492. [Google Scholar] [CrossRef]
- Jung, U.J.; Kim, S.R. Beneficial effects of flavonoids against Parkinson’s disease. J. Med. Food 2018, 21, 421–432. [Google Scholar] [CrossRef] [PubMed]
- Shen, Z.-B.; Meng, H.-W.; Meng, X.-S.; Lv, Z.-K.; Fang, M.-Y.; Zhang, L.-L.; Lv, Z.-L.; Li, M.-S.; Liu, A.-K.; Han, J.-H.; et al. Design, synthesis, and SAR study of novel flavone 1, 2, 4-oxadiazole derivatives with anti-inflammatory activities for the treatment of Parkinson’s disease. Eur. J. Med. Chem. 2023, 255, 115417. [Google Scholar] [CrossRef]
- Patigo, A.; Hengphasatporn, K.; Cao, V.; Paunrat, W.; Vijara, N.; Chokmahasarn, T.; Maitarad, P.; Rungrotmongkol, T.; Shigeta, Y.; Boonyasuppayakorn, S.; et al. Design, synthesis, in vitro, in silico, and SAR studies of flavone analogs towards anti-dengue activity. Sci. Rep.-UK 2022, 12, 21646. [Google Scholar] [CrossRef]
- Kerimi, A.; Williamson, G. Differential impact of flavonoids on redox modulation, bioenergetics, and cell signaling in normal and tumor cells: A comprehensive review. Antioxid. Redox Signal. 2018, 29, 1633–1659. [Google Scholar] [CrossRef]
- Yao, Z.; Gu, Y.; Zhang, Q.; Liu, L.; Meng, G.; Wu, H.; Xia, Y.; Bao, X.; Shi, H.; Sun, S.; et al. Estimated daily quercetin intake and association with the prevalence of type 2 diabetes mellitus in Chinese adults. Eur. J. Nutr. 2019, 58, 819–830. [Google Scholar] [CrossRef]
- Fernández-Rojas, B.; Gutiérrez-Venegas, G. Flavonoids exert multiple periodontic benefits including anti-inflammatory, periodontal ligament-supporting, and alveolar bone-preserving effects. Life Sci. 2018, 209, 435–454. [Google Scholar] [CrossRef]
- Shang, A.; Li, J.; Zhou, D.; Gan, R.Y.; Li, H.B. Molecular mechanisms underlying health benefits of tea compounds. Free. Radic. Biol. Med. 2021, 172, 181–200. [Google Scholar] [CrossRef]
- Sanlier, N.; Gokcen, B.B.; Altuğ, M. Tea consumption and disease correlations. Trends Food Sci. Technol. 2018, 78, 95–106. [Google Scholar] [CrossRef]
- Fraga, C.G.; Croft, K.D.; Kennedy, D.O.; Tomás-Barberán, F.A. The effects of polyphenols and other bioactives on human health. Food Funct. 2019, 10, 514–528. [Google Scholar] [CrossRef]
- Guo, J.; Sun, X.; Xu, J.; Bian, Y.; Wang, Y.; Jin, P.; Wang, L.; Liang, G. Flavone as a novel multifunctional electrolyte additive to improve the cycle performance of high-voltage LiNi0.5Mn1.5O4 batteries. Appl. Surf. Sci. 2023, 616, 156534. [Google Scholar] [CrossRef]
- Wang, F.; Yang, J.; Zhu, H. Research on determination method of starch, protein and total flavonoids content in buckwheat by Near-infrared spectroscopy. Sens. Lett. 2014, 12, 888–891. [Google Scholar] [CrossRef]
- Kusumiyati, K.; Asikin, Y. Machine learning-based prediction of total phenolic and flavonoid in horticultural products. Open Agric. 2023, 8, 20220163. [Google Scholar] [CrossRef]
- Chen, G.H.; Yang, C.Y.; Lee, S.J.; Wu, C.C.; Tzen, J.T. Catechin content and the degree of its galloylation in oolong tea are inversely correlated with cultivation altitude. J. Food Drug Anal. 2014, 22, 303–309. [Google Scholar] [CrossRef]
- Lin, S.; Liu, Z.; Wang, Y.; Li, J.; Wang, G.; Zhang, W.; Wang, H. Soil acidification associated with changes in inorganic forms of N reduces the yield of tea (Camellia sinensis). Arch. Agron. Soil Sci. 2023, 69, 1660–1673. [Google Scholar] [CrossRef]
- Xu, P.; Ma, S.; Rao, X.; Liao, S.; Zhu, J.; Yang, C. Effects of Land Use on the Mineralization of Organic Matter in Ultisol. Agronomy 2022, 12, 2915. [Google Scholar] [CrossRef]
- Zhou, Z.; Chen, K.; Yu, H.; Chen, Q.; Wu, F.; Zeng, X.; Tu, S.; Qin, Y.; Meakin, R.; Fan, X. Changes in tea performance and soil properties after three years of polyhalite application. Agron. J. 2019, 111, 1967–1976. [Google Scholar] [CrossRef]
- Le, V.S.; Herrmann, L.; Bräu, L.; Lesueur, D. Sustainable green tea production through agroecological management and land conversion practices for restoring soil health, crop productivity and economic efficiency: Evidence from Northern Vietnam. Soil Use Manag. 2023, 39, 1185–1204. [Google Scholar] [CrossRef]
- Sun, L.L.; Liu, Y.; Wu, L.Q.; Liao, H. Comprehensive analysis revealed the close relationship between N/P/K status and secondary metabolites in tea leaves. ACS Omega 2019, 4, 176–184. [Google Scholar] [CrossRef]
- Lin, J.; Dai, Y.; Guo, Y.; Xu, H.R.; Wang, X.C. Volatile profile analysis and quality prediction of Longjing tea (Camellia sinensis) by HS-SPME/GC-MS. J. Zhejiang Univ. Sci. B 2012, 13, 972–980. [Google Scholar] [CrossRef]
- Zhu, M.-Z.; Wen, B.; Wu, H.; Li, J.; Lin, H.; Li, Q.; Li, Y.; Huang, J.; Liu, Z. The quality control of tea by near-infrared reflectance (NIR) spectroscopy and chemometrics. J. Spectrosc. 2019, 2019, 8129648. [Google Scholar] [CrossRef]
- Armitage, P. The comparison of survival curves. J. R. Stat. Soc. Ser. A Gen. 1959, 122, 279–292. [Google Scholar] [CrossRef]
- Kukreja, S.L.; Löfberg, J.; Brenner, M.J. A least absolute shrinkage and selection operator (LASSO) for nonlinear system identification. IFAC Proc. Vol. 2006, 39, 814–819. [Google Scholar] [CrossRef]
- Kato, T.; Uemura, M. Period analysis using the least absolute shrinkage and selection operator (Lasso). Publ. Astron. Soc. Jpn. 2012, 64, 122. [Google Scholar] [CrossRef]
- Ying, X. An overview of overfitting and its solutions. J. Phys. Conf. Ser. 2019, 1168, 22022. [Google Scholar] [CrossRef]
- Cook, J.A.; Ranstam, J. Overfitting. J. Br. Surg. 2016, 103, 1814. [Google Scholar] [CrossRef]
- Stel, V.S.; Dekker, F.W.; Tripepi, G.; Zoccali, C.; Jager, K.J. Survival analysis II: Cox regression. Nephron Clin. Pract. 2011, 119, c255–c260. [Google Scholar] [CrossRef]
- Zhang, Z.; Reinikainen, J.; Adeleke, K.A.; Pieterse, M.E.; Groothuis-Oudshoorn, C.G. Time-varying covariates and coefficients in Cox regression models. Ann. Transl. Med. 2018, 6, 121. [Google Scholar] [CrossRef]
- Portet, S. A primer on model selection using the Akaike Information Criterion. Infect. Dis. Model. 2020, 5, 111–128. [Google Scholar] [CrossRef]
- Cavanaugh, J.E.; Neath, A.A. The Akaike information criterion: Background, derivation, properties, application, interpretation, and refinements. Wiley Interdiscip. Rev. Comput. Stat. 2019, 11, e1460. [Google Scholar] [CrossRef]
- Thompson, M.L.; Zucchini, W. On the statistical analysis of ROC curves. Stat. Med. 1989, 8, 1277–1290. [Google Scholar] [CrossRef]
- Robin, X.; Turck, N.; Hainard, A.; Tiberti, N.; Lisacek, F.; Sanchez, J.C.; Müller, M. pROC: An open-source package for R and S+ to analyze and compare ROC curves. BMC Bioinform. 2011, 12, 1–8. [Google Scholar] [CrossRef] [PubMed]
- Hesterberg, T. Bootstrap. Wiley Interdiscip. Rev. Comput. Stat. 2011, 3, 497–526. [Google Scholar] [CrossRef]
- Horowitz, J.L. The bootstrap. In Handbook of Econometrics; Elsevier: Amsterdam, The Netherlands, 2001; Volume 5, pp. 3159–3228. ISBN 1573-4412. [Google Scholar]
- Wei, K.; Liu, M.; Shi, Y.; Zhang, H.; Ruan, J.; Zhang, Q.; Cao, M. Metabolomics reveal that the high application of phosphorus and potassium in tea plantation inhibited amino-acid accumulation but promoted metabolism of flavonoid. Agronomy 2022, 12, 1086. [Google Scholar] [CrossRef]
- Li, J.; Quan, W.; Li, C.; Shi, D.; Hu, J.; Jin, J.; Ruan, W. Effects of ecological factors on content of flavonoids in Rosa sterilis from different Karst areas of Guizhou, SW China. Pak. J. Bot. 2018, 50, 1125–1133. [Google Scholar]
- Munene, R.; Changamu, E.; Korir, N.; Joseph, G.O. Effects of different nitrogen forms on growth, phenolics, flavonoids and antioxidant activity in amaranth species. Trop. Plant Res. 2017, 4, 81–89. [Google Scholar] [CrossRef]
- Findlay, J.W.; Dillard, R.F. Appropriate calibration curve fitting in ligand binding assays. AAPS J. 2007, 9, E260–E267. [Google Scholar] [CrossRef]
- Garden, J.S.; Mitchell, D.G.; Mills, W.N. Nonconstant variance regression techniques for calibration-curve-based analysis. Anal. Chem. 1980, 52, 2310–2315. [Google Scholar] [CrossRef]
- Bernardi, D.; Caumo, F.; Macaskill, P.; Ciatto, S.; Pellegrini, M.; Brunelli, S.; Tuttobene, P.; Bricolo, P.; Fantò, C.; Valentini, M.; et al. Effect of integrating 3D-mammography (digital breast tomosynthesis) with 2D-mammography on radiologists’ true-positive and false-positive detection in a population breast screening trial. Eur. J. Cancer 2014, 50, 1232–1238. [Google Scholar] [CrossRef] [PubMed]
- Bradley, A.P. The use of the area under the ROC curve in the evaluation of machine learning algorithms. Pattern Recogn. 1997, 30, 1145–1159. [Google Scholar] [CrossRef]
- Ismail, N.Z.; Arsad, H.; Samian, M.R.; Hamdan, M.R. Determination of Phenolic and Flavonoid Contents, Antioxidant Activitiesand GC-MS Analysis of Clinacanthus nutans (Acanthaceae) in Different Locations. AGRIVITA J. Agric. Sci. 2017, 39, 335–344. [Google Scholar]
- Gramza, A.; Khokhar, S.; Yoko, S.; Gliszczynska-Swiglo, A.; Hes, M.; Korczak, J. Antioxidant activity of tea extracts in lipids and correlation with polyphenol content. Eur. J. Lipid Sci. Technol. 2006, 108, 351–362. [Google Scholar] [CrossRef]
- Li, T.; Wang, Y.; Fang, Y.; Jiang, H.; Wei, Y.; Chen, Z.; Shen, S.; Lin, H.; Lin, J.; Jin, R.; et al. Longjing green tea (Camellia sinensis) extract dose-dependently influences intestinal barrier and liver inflammation in autoimmune hepatitis. J. Funct. Foods 2023, 107, 105623. [Google Scholar] [CrossRef]
- Bae, J.; Kumazoe, M.; Park, S.J.; Fujimura, Y.; Tachibana, H. The anti-cancer effect of epigallocatechin-3-O-gallate against multiple myeloma cells is potentiated by 5,7-dimethoxyflavone. FEBS Open Bio 2023, 13, 2147–2156. [Google Scholar] [CrossRef]
- Dias, M.C.; Pinto, D.C.; Silva, A.M. Plant flavonoids: Chemical characteristics and biological activity. Molecules 2021, 26, 5377. [Google Scholar] [CrossRef]








| Characteristics | Single−Factor Analysis Results | Multiple−Factor Analysis Results | ||||
|---|---|---|---|---|---|---|
| HR | CI | p | HR | CI | p | |
| Age of tree | 1.11 | 0.52–1.56 | 0.71 | |||
| Altitude | 1.12 | 0.64–1.24 | 0.497 | |||
| Ammonium nitrogen−20 | 0.97 | 0.84–1.26 | 0.762 | |||
| Ammonium nitrogen−40 | 0.84 | 1.03–1.39 | 0.023 | 0.52 | 0.36–0.74 | 0 |
| Available phosphorus−20 | 0.99 | 0.98–1.04 | 0.608 | |||
| Available phosphorus−40 | 0.99 | 1–1.03 | 0.097 | 1.26 | 1.07–1.48 | 0.005 |
| Exchangeable potassium−20 | 1 | 0.77–1.29 | 0.992 | |||
| Exchangeable potassium−40 | 0.98 | 0.92–1.13 | 0.693 | |||
| Hydrolytic nitrogen−20 | 1.07 | 0.73–1.2 | 0.595 | |||
| Hydrolytic nitrogen−40 | 1.42 | 0.53–0.93 | 0.014 | 1.04 | 1.02–1.06 | 0 |
| Nitrate nitrogen−20 | 0.97 | 1.01–1.05 | 0.004 | 0.52 | 0.36–0.74 | 0 |
| Nitrate nitrogen−40 | 1.01 | 0.93–1.04 | 0.633 | |||
| Organic carbon−20 | 0.9 | 0.85–1.46 | 0.439 | |||
| Organic carbon−40 | 1 | 0.66–1.53 | 0.982 | |||
| Organic matter−20 | 1.09 | 0.77–1.1 | 0.341 | |||
| Organic matter−40 | 0.96 | 0.87–1.24 | 0.656 | |||
| pH−20 | 1.27 | 0.61–1.02 | 0.07 | 1.26 | 1.07–1.48 | 0.005 |
| pH−40 | 0.97 | 0.71–1.48 | 0.89 | |||
| Specificgravity−20 | 0.88 | 0.53–2.43 | 0.742 | |||
| Specificgravity−40 | 0.92 | 0.82–1.44 | 0.55 | |||
| Total nitrogen−20 | 1.01 | 0.86–1.16 | 0.945 | |||
| Total nitrogen−40 | 1.04 | 0.85–1.09 | 0.554 | |||
| Total phosphorus−20 | 0.98 | 0.85–1.22 | 0.838 | |||
| Total phosphorus−40 | 0.95 | 0.93–1.2 | 0.437 | |||
| Total potassium−20 | 0.85 | 1–1.38 | 0.047 | 1.04 | 1.02–1.06 | 0 |
| Total potassium−40 | 0.91 | 0.95–1.26 | 0.225 | |||
| Tree height | 1.19 | 0.69–1.03 | 0.1 | |||
| Flavonoids (‰) | pH−20 | Total Potassium−20 (mg/kg) | Nitrate Nitrogen−20 (mg/kg) | Available Phosphorus−40 (mg/kg) | Hydrolytic Nitrogen−40 (mg/kg) | Ammonium Nitrogen−40 (mg/kg) | Grade | Correct |
|---|---|---|---|---|---|---|---|---|
| 2.867 | 5.17 | 22,870 | 13.431 | 22.610 | 250.600 | 31.200 | 0.430 | √ |
| 3.175 | 5.67 | 20,018 | 15.438 | 23.500 | 225.700 | 28.400 | 0.107 | √ |
| 4.984 | 5.28 | 24,511 | 25.805 | 2.780 | 229.400 | 29.500 | 0.390 | √ |
| 5.200 | 4.79 | 14,594 | 39.125 | 0.790 | 202.800 | 25.000 | 0.163 | √ |
| 6.856 | 5.19 | 14,600 | 1.430 | 12.900 | 141.000 | 32.100 | 0.550 | √ |
| 7.042 | 4.99 | 19,100 | 0.567 | 0.860 | 177.000 | 14.600 | 0.610 | √ |
| 7.143 | 5.43 | 11,263 | 1.790 | <0.5 | 88.300 | 27.000 | 0.440 | |
| 8.108 | 6.05 | 12,300 | 2.840 | <0.5 | 181.000 | 13.400 | 0.710 | √ |
| 9.106 | 4.71 | 10,288 | 1.767 | 0.650 | 71.200 | 10.600 | 0.510 | |
| 9.191 | 4.82 | 17,279 | 0.856 | <0.5 | 292.300 | 7.800 | 0.890 | √ |
| 9.319 | 4.79 | 15,095 | 0.903 | <0.5 | 3177.300 | 7.800 | 0.910 | √ |
| 10.927 | 5.77 | 13,883 | 9.709 | <0.5 | 227.700 | 10.400 | 0.780 | √ |
Disclaimer/Publisher’s Note: The statements, opinions and data contained in all publications are solely those of the individual author(s) and contributor(s) and not of MDPI and/or the editor(s). MDPI and/or the editor(s) disclaim responsibility for any injury to people or property resulting from any ideas, methods, instructions or products referred to in the content. |
© 2024 by the authors. Licensee MDPI, Basel, Switzerland. This article is an open access article distributed under the terms and conditions of the Creative Commons Attribution (CC BY) license (https://creativecommons.org/licenses/by/4.0/).
Share and Cite
Li, L.; Wu, Y.; Wang, H.; He, J.; Wang, Q.; Xu, J.; Xia, Y.; Yuan, W.; Chen, S.; Tao, L.; et al. Prediction Model of Flavonoids Content in Ancient Tree Sun−Dried Green Tea under Abiotic Stress Based on LASSO−Cox. Agriculture 2024, 14, 296. https://doi.org/10.3390/agriculture14020296
Li L, Wu Y, Wang H, He J, Wang Q, Xu J, Xia Y, Yuan W, Chen S, Tao L, et al. Prediction Model of Flavonoids Content in Ancient Tree Sun−Dried Green Tea under Abiotic Stress Based on LASSO−Cox. Agriculture. 2024; 14(2):296. https://doi.org/10.3390/agriculture14020296
Chicago/Turabian StyleLi, Lei, Yamin Wu, Houqiao Wang, Junjie He, Qiaomei Wang, Jiayi Xu, Yuxin Xia, Wenxia Yuan, Shuyi Chen, Lin Tao, and et al. 2024. "Prediction Model of Flavonoids Content in Ancient Tree Sun−Dried Green Tea under Abiotic Stress Based on LASSO−Cox" Agriculture 14, no. 2: 296. https://doi.org/10.3390/agriculture14020296
APA StyleLi, L., Wu, Y., Wang, H., He, J., Wang, Q., Xu, J., Xia, Y., Yuan, W., Chen, S., Tao, L., Wang, X., & Wang, B. (2024). Prediction Model of Flavonoids Content in Ancient Tree Sun−Dried Green Tea under Abiotic Stress Based on LASSO−Cox. Agriculture, 14(2), 296. https://doi.org/10.3390/agriculture14020296
