Integrated Nutrient Management Boosts Inflorescence Biomass and Antioxidant Profile of Carlina diae (Asteraceae)—An Endangered Local Endemic Plant of Crete with Medicinal and Ornamental Value
Abstract
1. Introduction
2. Materials and Methods
2.1. Plant Material
2.2. Field Experiment Establishment and Soil Properties
2.3. Fertilization Schemes
- A.
- INM as foliar application (INM-fa): The nutrient spraying solution contained THEORUN 7 mL L−1, THEOCAL 1.5 g L−1, THEOFAST 5 mL L−1, 10-47-10 (AGRI.FE.M. LTD Fertilizers, Athens, Greece) 3.2 g L−1, K2SO4 (0-0-52, AGRI.FE.M. LTD Fertilizers, Athens, Greece) 2.07 g L−1, MgSO4 (Mg 25.6%, AGRI.FE.M. LTD Fertilizers, Athens, Greece) 0.6 g L−1 and micronutrients (Plex Mix, AGRI.FE.M. LTD Fertilizers, Athens, Greece) 1.5 mL L−1.
- B.
- Conventional inorganic fertilization as foliar application (ChF-fa): The nutrient solution contained NH4NO3 (34.4-0-0, Neofert®, Neochim PLC, Dimitrovgrad, Bulgaria) 2.7 g L−1, Ca(NO3)2 (NITROCAL, Agrohimiki, Patras, Greece) 1.7 g L−1, 10-47-10 3.2 g L−1, K2SO4 (0-0-52) 2.27 g L−1, MgSO4 (Mg 25.6%) at 0.6 g L−1 and micronutrients Plex Mix at 1.5 mL L−1.
- C.
- Control: foliar and soil applications with tap water.
- D.
- INM as soil application (INM-sa): The nutrient solution contained THEORUN 7 mL L−1, THEOCAL 1.5 g L−1, THEOMASS 10 mL L−1, 10-47-10 3.2 g L−1, K2SO4 (0-0-52) 2.1 g L−1, MgSO4 (Mg 25.6%) 0.3 g L−1 and micronutrients Plex Mix 1.5 mL L−1.
- E.
- Conventional inorganic fertilization as soil application (ChF-sa): The nutrient solution contained NH4NO3 (34.4-0-0) 2.7 g L−1, Ca(NO3)2 (NITROCAL) 1.7 g L−1, 10-47-10 3.2 g L−1, K2SO4 (0-0-52) 2.3 g L−1, MgSO4 (Mg 25.6%) 0.3 g L−1 and micronutrients Plex Mix 1.5 mL L−1.
- F.
- Mixture of plant extracts (biostimulant) as soil application (MPE-sa): The nutrient solution contained THEOMASS 10 mL L−1.
2.4. Plant Measurements
2.4.1. Non-Invasive Estimation of Leaf Coloration in Growth Stages
2.4.2. Non-Invasive Estimation of Photosynthetic Performance in Growth Stages
2.4.3. Leaf Shape Indicators
2.4.4. Plant Growth and Biomass Partitioning to Generative Organs
2.4.5. Leaf Chlorophyll and Carotenoid Contents
2.4.6. Leaf Total Phenolics and Total Flavonoids
2.4.7. Leaf-Soluble Sugar Contents
2.4.8. Leaf and Inflorescence Nutrient Analyses
2.5. Statistical Analyses
3. Results
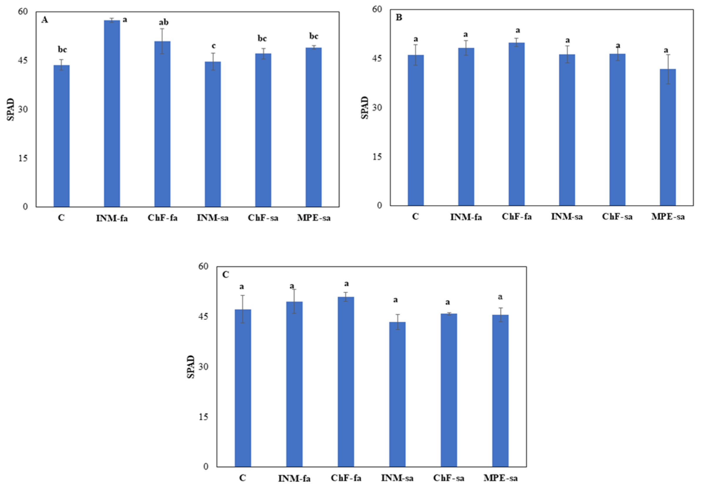
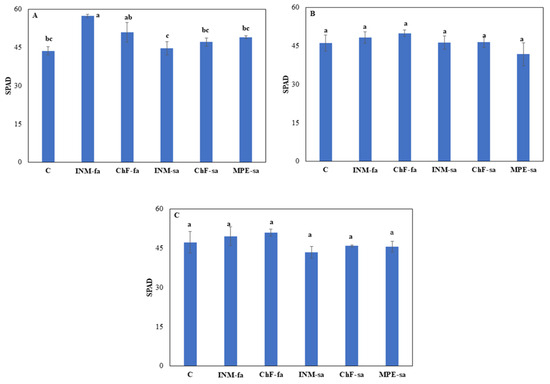
3.1. The Fertilization Scheme Exerted Minor Effects on Leaf Colour
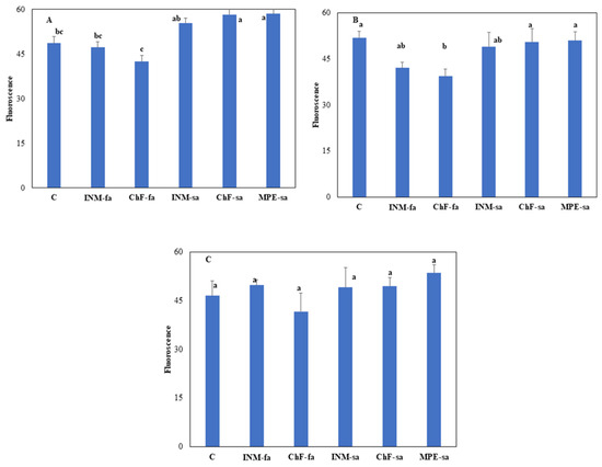
3.2. The Fertilization Scheme Induced Limited Effects on Leaf Photosynthetic Performance
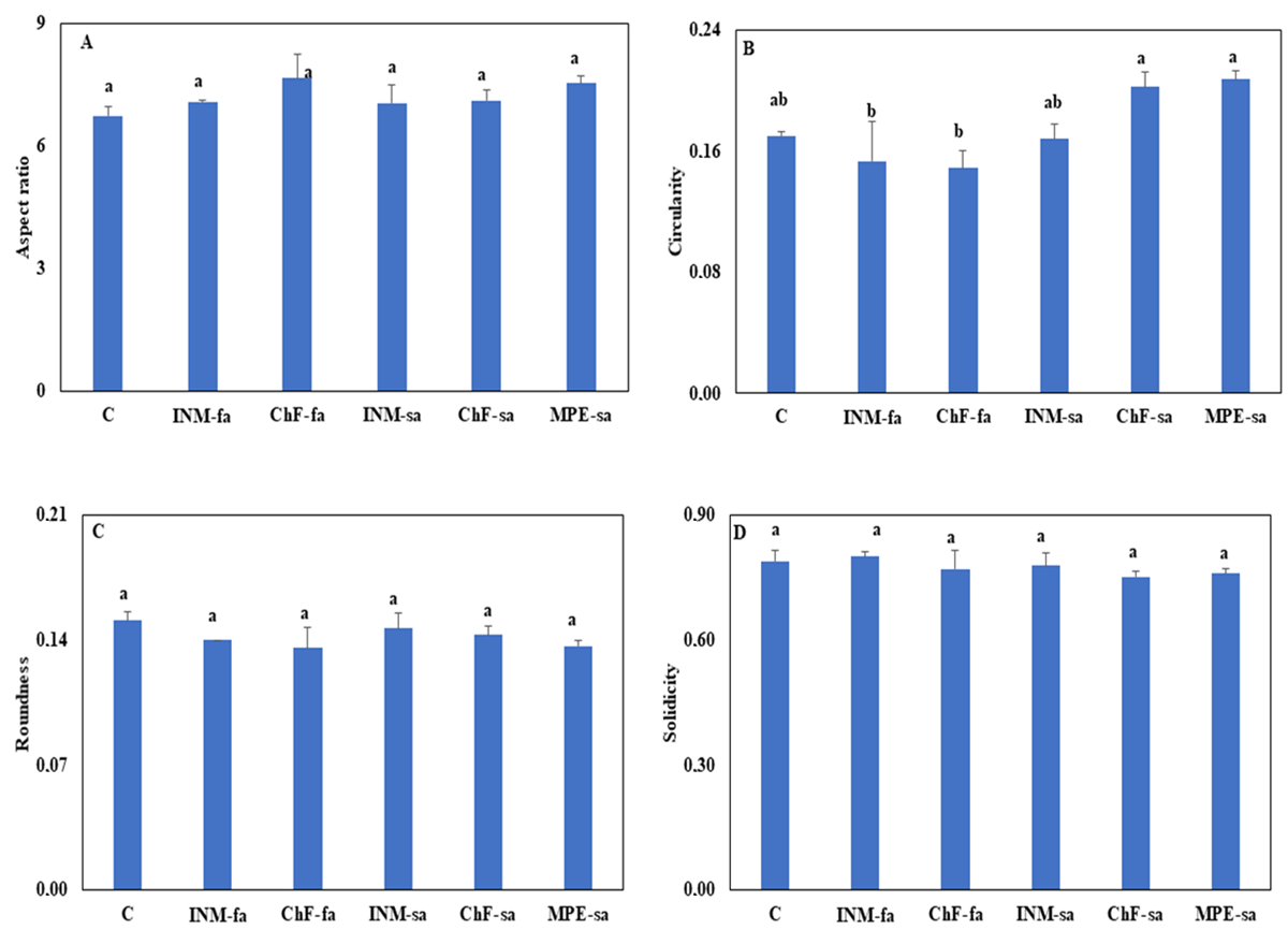
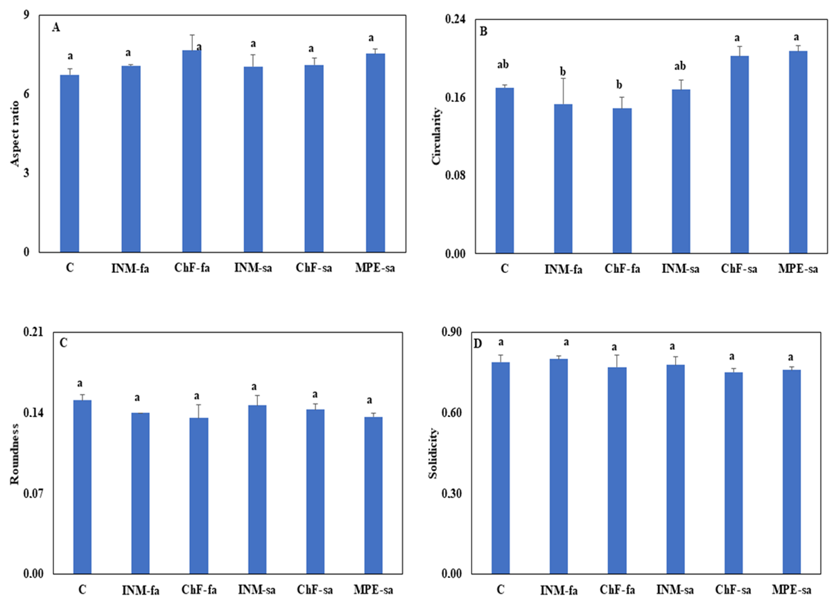
3.3. Leaf Shape Was Generally Not Affected by the Fertilization Scheme
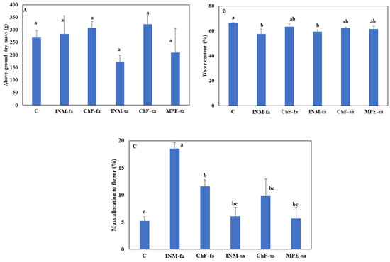
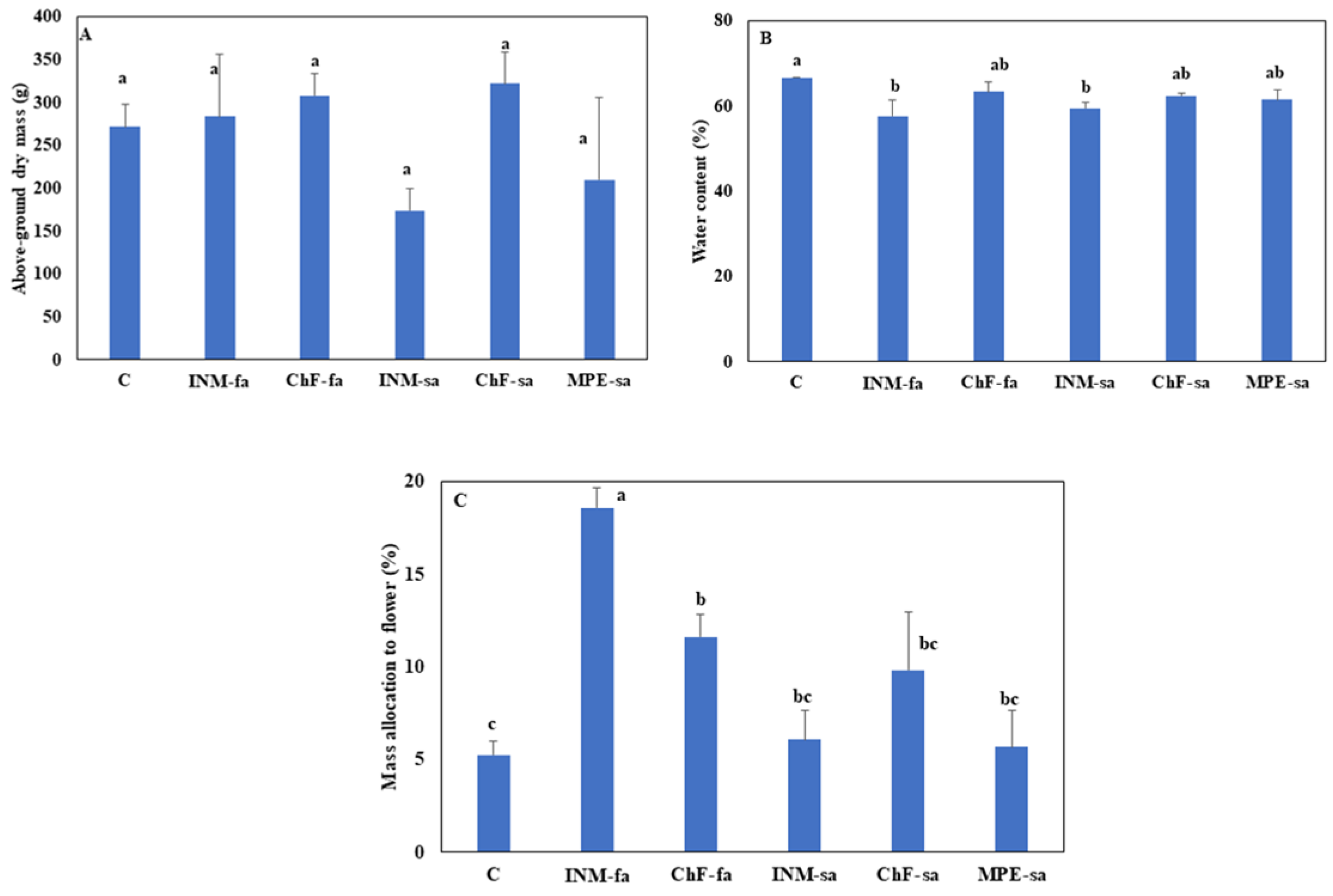
3.4. Fertilization Scheme Did Not Affect Plant Growth, Though Foliar Fertilization Stimulated Biomass Allocation to Generative Organs
3.5. Fertilization Generally Improved Leaf Chlorophyll Content
3.6. Leaf Antioxidant Compound Content
3.7. Fertilization Stimulated Leaf Soluble Sugar Content
3.8. Leaf and Floral Nutrient Analysis
4. Discussion
5. Conclusions
Supplementary Materials
Author Contributions
Funding
Institutional Review Board Statement
Data Availability Statement
Acknowledgments
Conflicts of Interest
Abbreviations
References
- Santacroce, L.; Topi, S.; Haxhirexha, K.; Hidri, S.; Charitos, I.A.; Bottalico, L. Medicine and healing in the pre-socratic thought—A brief analysis of magic and rationalism in ancient herbal therapy. Endocr. Metab. Immune Disord. Drug Targets 2021, 21, 282–287. [Google Scholar] [CrossRef]
- Jain, D.; Chaudhary, P.; Kotnala, A.; Hossain, R.; Bisht, K.; Hossain, M.N. Hepatoprotective activity of medicinal plants: A mini review. J. Med. Plants Stud. 2020, 8, 183–188. [Google Scholar] [CrossRef]
- Krigas, N.; Tsoktouridis, G.; Anestis, I.; Khabbach, A.; Libiad, M.; Megdiche-Ksouri, W.; Ghrabi-Gammar, Z.; Lamchouri, F.; Tsiripidis, I.; Tsiafouli, M.A.; et al. Exploring the potential of neglected local endemic plants of three Mediterranean regions in the ornamental sector: Value chain feasibility and readiness timescale for their sustainable exploitation. Sustainability 2021, 13, 2539. [Google Scholar] [CrossRef]
- Cheminal, A.; Kokkoris, I.P.; Strid, A.; Dimopoulos, P. Medicinal and aromatic Lamiaceae plants in Greece: Linking diversity and distribution patterns with ecosystem services. Forests 2020, 11, 661. [Google Scholar] [CrossRef]
- Paschalidis, K.; Fanourakis, D.; Tsaniklidis, G.; Tzanakakis, V.A.; Bilias, F.; Samara, E.; Kalogiannakis, K.; Debouba, F.J.; Ipsilantis, I.; Tsoktouridis, G.; et al. Pilot cultivation of the vulnerable Cretan endemic Verbascum arcturus L. (Scrophulariaceae): Effect of fertilization on growth and quality features. Sustainability 2021, 13, 14030. [Google Scholar] [CrossRef]
- Fanourakis, D.; Paschalidis, K.; Tsaniklidis, G.; Tzanakakis, V.A.; Bilias, F.; Samara, E.; Liapaki, E.; Jouini, M.; Ipsilantis, I.; Maloupa, E.; et al. Pilot cultivation of the local endemic cretan marjoram Origanum microphyllum (Benth.) Vogel (Lamiaceae): Effect of fertilizers on growth and herbal quality features. Agronomy 2022, 12, 94. [Google Scholar] [CrossRef]
- Ninou, E.G.; Paschalidis, K.A.; Mylonas, I.G.; Vasilikiotis, C.; Mavromatis, A.G. The effect of genetic variation and nitrogen fertilization on productive characters of Greek oregano. Acta Agric. Scand. Soil Plant Sci. 2017, 67, 372–379. [Google Scholar] [CrossRef]
- Kakar, K.; Xuan, T.D.; Noori, Z.; Aryan, S.; Gulab, G. Effects of organic and inorganic fertilizer application on growth, yield, and grain quality of rice. Agriculture 2020, 10, 544. [Google Scholar] [CrossRef]
- Ibrahim, M.H.; Jaafar, H.Z.; Karimi, E.; Ghasemzadeh, A. Impact of organic and inorganic fertilizers application on the phytochemical and antioxidant activity of kacip fatimah (Labisia pumila Benth). Molecules 2013, 18, 10973–10988. [Google Scholar] [CrossRef]
- Krupa, M.; Witkowicz, R. Biostimulants as a response to the negative impact of agricultural chemicals on vegetation indices and yield of common buckwheat (Fagopyrum esculentum Moench). Agriculture 2023, 13, 825. [Google Scholar] [CrossRef]
- Gezahegn, A.M. Role of integrated nutrient management for sustainable maize production. Int. J. Agron. 2021, 2021, 9982884. [Google Scholar] [CrossRef]
- Asami, D.K.; Hong, Y.J.; Barrett, D.M.; Mitchell, A.E. Comparison of the total phenolic and ascorbic acid content of freeze-dried and air-dried marionberry, strawberry, and corn using conventional, organic, and sustainable agricultural practices. J. Agric. Food Chem. 2003, 51, 1237–1241. [Google Scholar] [CrossRef] [PubMed]
- Mrid, R.B.; Benmrid, B.; Hafsa, J.; Boukcim, H.; Sobeh, M.; Yasri, A. Secondary metabolites as biostimulant and bioprotectant agents: A review. Sci. Total Environ. 2021, 777, 146204. [Google Scholar] [CrossRef]
- Rymuza, K.; Radzka, E.; Cała, J. The effect of applied biostimulants on the yielding of three non-genetically modified soybean cultivars. Agriculture 2023, 13, 900. [Google Scholar] [CrossRef]
- Amujoyegbe, B.J.; Opabode, J.T.; Olayinka, A. Effect of organic and inorganic fertilizer on yield and chlorophyll content of maize (Zea mays L.) and sorghum (Sorghum bicolor L.). Afr. J. Biotechnol. 2007, 6, 1869–1873. [Google Scholar] [CrossRef]
- Thamkaew, G.; Sjöholm, I.; Galindo, F. A review of drying methods for improving the quality of dried herbs. Crit. Rev. Food Sci. Nutr. 2020, 19, 1763–1786. [Google Scholar] [CrossRef]
- Bourgou, S.; Ben Haj Jilani, I.; Karous, O.; Megdiche-Ksouri, W.; Ghrabi-Gammar, Z.; Libiad, M.; Khabbach, A.; El Haissoufi, M.; Lamchouri, F.; Greveniotis, V.; et al. Medicinal-cosmetic potential of the local endemic plants of Crete (Greece), northern Morocco and Tunisia: Priorities for conservation and sustainable exploitation of neglected and underutilized phytogenetic resources. Biology 2021, 10, 1344. [Google Scholar] [CrossRef]
- Zuzarte, M.; Girao, H.; Salgueiro, L. Aromatic plant-based functional foods: A natural approach to manage cardiovascular diseases. Molecules 2023, 28, 5130. [Google Scholar] [CrossRef]
- Laird, S.A.; Pierce, A.R. Promoting Sustainable and Ethical Botanicals: Strategies to Improve Commercial Raw Material Sourcing, Results from the Sustainable Botanicals Pilot Project Industry Surveys, Case Studies and Standards Collection; Rainforest Alliance: New York, NY, USA, 2002; Available online: www.rainforest-alliance.org/news/archives/news/news44.html (accessed on 24 January 2024).
- Chiaregato, C.G.; França, D.; Messa, L.L.; Dos Santos Pereira, T.; Faez, R. A review of advances over 20 years on polysaccharide-based polymers applied as enhanced efficiency fertilizers. Carbohydr. Polym. 2022, 279, 119014. [Google Scholar] [CrossRef]
- Garg, D.; Sridhar, K.; Stephen Inbaraj, B.; Chawla, P.; Tripathi, M.; Sharma, M. Nano-biofertilizer formulations for agriculture: A systematic review on recent advances and prospective applications. Bioengineering 2023, 10, 1010. [Google Scholar] [CrossRef]
- Prajapati, D.; Pal, A.; Dimkpa, C.; Singh, U.; Devi, K.A.; Choudhary, J.L.; Saharan, V. Chitosan nanomaterials: A prelim of next-generation fertilizers; existing and future prospects. Carbohydr. Polym. 2022, 288, 119356. [Google Scholar] [CrossRef]
- Serri, F.; Souri, M.K.; Rezapanah, M. Growth, biochemical quality and antioxidant capacity of coriander leaves under organic and inorganic fertilization programs. Chem. Biol. Technol. Agric. 2021, 8, 33. [Google Scholar] [CrossRef]
- Havardi-Burger, N.; Mempel, H.; Bitsch, V. Sustainability challenges and innovations in the value chain of flowering potted plants for the German market. Sustainability 2020, 12, 1905. [Google Scholar] [CrossRef]
- Dominguez, G.B.; Mibus-Schoppe, H.; Sparke, K. Evaluation of existing research concerning sustainability in the value chain of ornamental plants. Eur. J. Sustain. Developm. 2017, 6, 11. [Google Scholar] [CrossRef]
- Taylor, D.H. Value chain analysis: An approach to supply chain improvement in agri-food chains. Int. J. Phys. Distr. Logist. Manag. 2005, 35, 744. [Google Scholar] [CrossRef]







| Treatment | N | P | K | Ca | Mg |
|---|---|---|---|---|---|
| (g kg−1) | |||||
| C | 9.8 ± 0.5 a * | 1.1 ± 0.0 c | 21.9 ± 0.2 b | 18.2 ± 0.8 a | 2.3 ± 0.1 a |
| INM-fa | 12.3 ± 1.1 a | 2.7 ± 0.1 b | 35.1 ± 1.7 a | 26.4 ± 1.5 a | 2.6 ± 0.1 a |
| ChF-fa | 11.4 ± 0.5 a | 3.3 ± 0.1 a | 33.7 ± 1.0 a | 27.8 ± 1.4 a | 2.6 ± 0.1 a |
| INM-sa | 5.9 ± 0.2 b | 1.2 ± 0.0 c | 30.1 ± 1.1 a | 27.0 ± 1.5 a | 2.6 ± 0.1 a |
| ChF-sa | 6.0 ± 0.1 b | 1.3 ± 0.0 c | 32.1 ± 0.1 a | 24.8 ± 0.9 a | 2.8 ± 0.1 a |
| MPE-sa | 5.5 ± 0.2 b | 1.5 ± 0.1 c | 30.3 ± 1.6 a | 24.8 ± 1.9 a | 2.5 ± 0.1 a |
| p F-test | <0.001 | <0.001 | 0.014 | NS # | NS |
| Treatment | Cu | Zn | Fe | Mn | B |
|---|---|---|---|---|---|
| (mg kg−1) | |||||
| C | 10.5 ± 0.2 c * | 36.3 ± 0.3 b | 439 ± 18 b | 114 ± 2 bc | 29.5 ± 0.5 c |
| INM-fa | 12.3 ± 0.4 abc | 41.3 ± 2.0 ab | 721 ± 2 ab | 136 ± 8 ab | 41.8 ± 1.9 ab |
| ChF-fa | 13.8 ± 0.6 a | 48.4 ± 0.4 a | 932 ± 64 a | 156 ± 3 a | 36.4 ± 1.0 bc |
| INM-sa | 11.3 ± 0.2 bc | 36.2 ± 0.8 b | 886 ± 74 a | 113 ± 4 bc | 39.7 ± 1.3 ab |
| ChF-sa | 11.4 ± 0.3 bc | 42.1 ± 1.9 ab | 865 ± 43 a | 115 ± 1 bc | 38.9 ± 1.2 ab |
| MPE-sa | 13.3 ± 0.3 ab | 44.0 ± 1.5 ab | 778 ± 81 a | 107 ± 2 c | 46.9 ± 1.8 a |
| p F-test | 0.028 | 0.037 | 0.059 | 0.005 | 0.007 |
| Treatment | N | P | K | Ca | Mg |
|---|---|---|---|---|---|
| (mg kg−1) | |||||
| C | 10.46 ± 0.49 a * | 2.11 ± 0.35 a | 15.08 ± 0.05 a | 3.88 ± 0.05 a | 1.59 ± 0.05 a |
| INM-fa | 9.42 ± 0.03 a | 1.32 ± 0.11 b | 12.70 ± 1.03 a | 3.04 ± 0.70 a | 1.02 ± 0.10 b |
| ChF-fa | 8.66 ± 0.32 a | 1.75 ± 0.07 b | 14.22 ± 0.77 a | 3.97 ± 0.32 a | 1.38 ± 0.19 b |
| INM-sa | 9.62 ± 1.60 a | 1.08 ± 0.27 b | 12.99 ± 0.64 a | 2.94 ± 0.42 a | 1.32 ± 0.15 b |
| ChF-sa | 9.29 ± 1.02 a | 1.23 ± 0.22 b | 13.82 ± 0.57 a | 3.33 ± 0.07 a | 1.30 ± 0.13 b |
| MPE-sa | 4.71 ± 0.27 b | 1.65 ± 0.27 b | 12.89 ± 0.05 a | 2.83 ± 0.14 a | 1.08 ± 0.00 b |
| p F-test | 0.007 | 0.076 | NS # | NS | 0.06 |
| Treatment | Zn | Fe | B |
|---|---|---|---|
| (mg kg−1) | |||
| C | 19.65 ± 1.29 a * | 72.54 ± 15.21 a | 13.05 ± 0.14 a |
| INM-fa | 15.86 ± 0.14 b | 52.70 ± 0.45 a | 12.86 ± 0.16 a |
| ChF-fa | 17.78 ± 0.89 ab | 58.74 ± 6.52 a | 12.85 ± 0.54 a |
| INM-sa | 17.67 ± 1.42 ab | 45.95 ± 8.20 a | 25.51 ± 12.47 a |
| ChF-sa | 20.58 ± 1.46 a | 34.19 ± 6.92 a | 19.52 ± 5.27 a |
| MPE-sa | 16.11 ± 0.50 b | 51.30 ± 12.79 a | 16.73 ± 1.58 a |
| p F-test | 0.051 | NS # | NS |
Disclaimer/Publisher’s Note: The statements, opinions and data contained in all publications are solely those of the individual author(s) and contributor(s) and not of MDPI and/or the editor(s). MDPI and/or the editor(s) disclaim responsibility for any injury to people or property resulting from any ideas, methods, instructions or products referred to in the content. |
© 2024 by the authors. Licensee MDPI, Basel, Switzerland. This article is an open access article distributed under the terms and conditions of the Creative Commons Attribution (CC BY) license (https://creativecommons.org/licenses/by/4.0/).
Share and Cite
Paschalidis, K.; Fanourakis, D.; Tsaniklidis, G.; Tsichlas, I.; Tzanakakis, V.A.; Bilias, F.; Samara, E.; Ipsilantis, I.; Grigoriadou, K.; Matsi, T.; et al. Integrated Nutrient Management Boosts Inflorescence Biomass and Antioxidant Profile of Carlina diae (Asteraceae)—An Endangered Local Endemic Plant of Crete with Medicinal and Ornamental Value. Agriculture 2024, 14, 259. https://doi.org/10.3390/agriculture14020259
Paschalidis K, Fanourakis D, Tsaniklidis G, Tsichlas I, Tzanakakis VA, Bilias F, Samara E, Ipsilantis I, Grigoriadou K, Matsi T, et al. Integrated Nutrient Management Boosts Inflorescence Biomass and Antioxidant Profile of Carlina diae (Asteraceae)—An Endangered Local Endemic Plant of Crete with Medicinal and Ornamental Value. Agriculture. 2024; 14(2):259. https://doi.org/10.3390/agriculture14020259
Chicago/Turabian StylePaschalidis, Konstantinos, Dimitrios Fanourakis, Georgios Tsaniklidis, Ioannis Tsichlas, Vasileios A. Tzanakakis, Fotis Bilias, Eftihia Samara, Ioannis Ipsilantis, Katerina Grigoriadou, Theodora Matsi, and et al. 2024. "Integrated Nutrient Management Boosts Inflorescence Biomass and Antioxidant Profile of Carlina diae (Asteraceae)—An Endangered Local Endemic Plant of Crete with Medicinal and Ornamental Value" Agriculture 14, no. 2: 259. https://doi.org/10.3390/agriculture14020259
APA StylePaschalidis, K., Fanourakis, D., Tsaniklidis, G., Tsichlas, I., Tzanakakis, V. A., Bilias, F., Samara, E., Ipsilantis, I., Grigoriadou, K., Matsi, T., Krigas, N., & Tsoktouridis, G. (2024). Integrated Nutrient Management Boosts Inflorescence Biomass and Antioxidant Profile of Carlina diae (Asteraceae)—An Endangered Local Endemic Plant of Crete with Medicinal and Ornamental Value. Agriculture, 14(2), 259. https://doi.org/10.3390/agriculture14020259

