Effects of Cover Crops on Soil Inorganic Nitrogen and Organic Carbon Dynamics in Paddy Fields
Abstract
1. Introduction
2. Materials and Methods
2.1. Field Study
2.1.1. Study Site and Design
2.1.2. Crop and Weed Sampling
2.1.3. Soil Sampling
2.2. Incubation Study
2.2.1. Soil Used
2.2.2. Plant Residue Used
2.2.3. Study Design
2.2.4. Plant and Soil Analysis
2.3. Statistical Analysis
3. Results
3.1. Field Study
3.1.1. Cover Crops and Rice Growth in the Field
3.1.2. Soil Inorganic N in the Field upon Cover Crop and Fallow
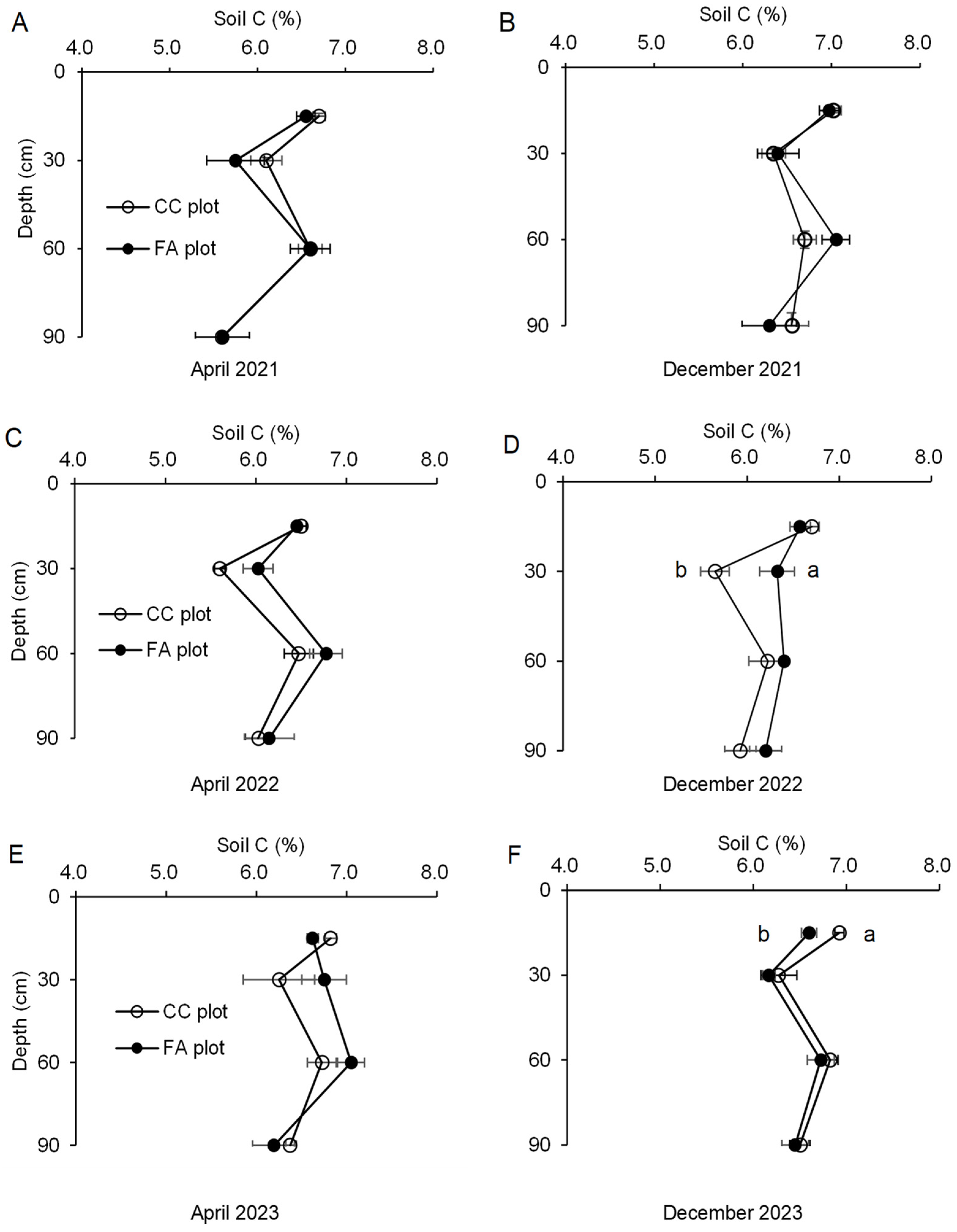
3.1.3. Soil Total Organic C upon Cover Crop and Fallow
3.2. Incubation Study: Measuring the Effect of Soil Management, Cover Crop Input, and Fertilization on Soil N Mineralization
4. Discussion
4.1. Biomass Production and the Impact of Precipitation on Cover Crop Growth
4.2. Legacy Effect of Long-Term Italian Ryegrass Cultivation on Cover Crop and Soil N Accumulation
4.3. Effect of Cover Crop Residues on Soil C Stocks in Paddy Fields
4.4. N Mineralization Resulting from the Decomposition of Cover Crop
5. Conclusions
Author Contributions
Funding
Institutional Review Board Statement
Data Availability Statement
Conflicts of Interest
References
- Lei, B.; Wang, J.; Yao, H. Ecological and Environmental Benefits of Planting Green Manure in Paddy Fields. Agriculture 2022, 12, 223. [Google Scholar] [CrossRef]
- Komatsuzaki, M. Environmentally harmonised agriculture and land fertility maintenance. In Cultivation and Use of Fodder and Green Manure Crops; Oomura, H., Okumura, K., Eds.; Asakura Syoten: Tokyo, Japan, 2017; pp. 171–182. [Google Scholar]
- Ministry of Agriculture. Circumstances Surrounding Organic Farming 2022. Available online: https://www.maff.go.jp/j/seisan/kankyo/yuuki/attach/pdf/meguji-full.pdf (accessed on 10 October 2024).
- Sekiya, S. Function of Paddy Fields; Ieno Hikari Association: Tokyo, Japan, 1992. [Google Scholar]
- Ministry of Agriculture. Circumstances Surrounding Organic Farming 2024. Available online: https://www.maff.go.jp/j/seisan/kankyo/yuuki/attach/pdf/index-130.pdf (accessed on 10 October 2024).
- Matsumura, A.; Oomura, H. Summer green manure crops. In Cultivation and Use of Fodder and Green Manure Crops; Oomura, H., Okumura, K., Eds.; Asakura Syoten: Tokyo, Japan, 2017; pp. 183–206. [Google Scholar]
- Matsunaka, T. Japan’s food self-sufficiency and forage crops. In Cultivation and Use of Fodder and Green Manure Crops; Oomura, H., Okumura, K., Eds.; Asakura Syoten: Tokyo, Japan, 2017; pp. 1–12. [Google Scholar]
- Asagi, N. Attempts at environmentally friendly rice cultivation. In Latest Agricultural Technology, Crops; Noubunkyo: Tokyo, Japan, 2014; pp. 241–250. [Google Scholar]
- Ueno, H. Current status and prospects for the use of green manure in paddy fields. Agric. Hortic. 2010, 85, 136–146. Available online: https://agriknowledge.affrc.go.jp/RN/2010782492.pdf (accessed on 11 October 2024).
- Yasue, T. Importance of lotus root cultivation and the current situation in our country. Agric. Technol. 1989, 12, 1–20. Available online: https://repository.kulib.kyoto-u.ac.jp/dspace/bitstream/2433/278554/1/nobunken_12_001.pdf (accessed on 16 October 2024).
- Araki, H. Winter green manure crops. In Cultivation and Use of Fodder and Green Manure Crops; Oomura, H., Okumura, K., Eds.; Asakura Syoten: Tokyo, Japan, 2017; pp. 207–228. [Google Scholar]
- Sato, T.; Nagumo, Y.; Ichikawa, T.; Hattori, M.; Azuma, S.; Fujita, Y. Growth of Green Manure “Hairy Vetch”of Upland and Lowland Field in Niigata Prefecture. Hokuriku Crop Sci. 2010, 45, 42–45. Available online: https://www.jstage.jst.go.jp/article/hokurikucs/45/0/45_KJ00006396428/_pdf (accessed on 16 October 2024).
- Matsuoka, T.; Asagi, N.; Komatsuzaki, M. Response of weeds and rice yield to Italian ryegrass as a cover crop and planting density in organic farming. Agron. J. 2021, 114, 689–699. [Google Scholar] [CrossRef]
- Kakar, K.; Nitta, Y.; Asagi, N.; Komatsuzaki, M.; Shiotsu, F.; Kokubo, T.; Xuan, T. Morphological analysis on comparison of organic and chemical fertilizers on grain quality of rice at different planting densities. Plant Prod. Sci. 2019, 22, 510–518. [Google Scholar] [CrossRef]
- Komatsuzaki, M. Italian ryegrass as a secondary crop in paddy fields—Mr Motomu Takamatsu, Ushiku, Ibaraki, Japan. Hatake 2011, 5, 116–124. [Google Scholar]
- Hirsh, S.; Duiker, S.; Graybill, J.; Nichols, K.; Weil, R. Scavenging and recycling deep soil nitrogen using cover crops on mid-Atlantic, USA farms. Agric. Ecosyst. Environ. 2021, 309, 107274. [Google Scholar] [CrossRef]
- Dermiyati; Niswati, A. Improving Biodiversity in Rice Paddy Fields to Promote Land Sustainability. In Sustainable Living with Environmental Risks; Springer: Tokyo, Japan, 2014; pp. 45–55. [Google Scholar] [CrossRef]
- Japan Soil Association. A Clear Understanding of the Basics of Soil and Fertilizer; Seibundo-Shinkousha: Tokyo, Japan, 2014. [Google Scholar]
- Japan Meteorological Agency. Historical Weather Data. Available online: https://www.data.jma.go.jp/stats/etrn/index.php (accessed on 11 October 2024).
- Colbach, N.; Dessaint, F.; Forcella, F. Evaluating field-scale sampling methods for the estimation of mean plant densities of weeds. Weed Res. 2000, 40, 411–430. [Google Scholar] [CrossRef]
- Hasegawa, M.; Tsuda, M.; Kobayashi, M.; Yagi, J.; Nakayama, K. A Comparison of the Kjeldahl and Improved Dumas Methods for Determination of the Total Nitrogen in Foods and Animal Feed. Central Customs Laboratory Report. 2016. No. 56. pp. 31–36. Available online: https://www.customs.go.jp/ccl_search/info_search/foodstuffs/r_56_05_j.pdf (accessed on 7 December 2024).
- Yamaki, A. A Rapid UV Absorption Method for Determination of Nitrate in Soil Extracts. Jpn. J. Soil Sci. Plant Nutr. 2003, 74, 195–197. [Google Scholar] [CrossRef]
- He, H.; Li, W.; Zhang, Y.; Cheng, J.; Jia, X.; Li, S.; Yang, H.; Chen, B.; Xin, G. Effects of Italian ryegrass residues as green manure on soil properties and bacterial communities under an Italian ryegrass (Lolium multiflorum L.)-rice (Oryza sativa L.) rotation. Soil Tillage Res. 2020, 196, 104487. [Google Scholar] [CrossRef]
- Zebarth, B.; Moorehead, A.; Kunelius, H.; Sharifi, M. Italian Ryegrass Management Effects on Nitrogen Supply to a Subsequent Potato Crop. Agron. J. 2009, 101, 1573–1580. [Google Scholar] [CrossRef]
- Zhou, G.; Cao, W.; Bai, J.; Xu, C.; Zeng, N.; Gao, S.; Rees, R.; Dou, F. Co-incorporation of rice straw and leguminous green manure can increase soil available nitrogen (N) and reduce carbon and N losses: An incubation study. Pedosphere 2020, 30, 661–670. [Google Scholar] [CrossRef]
- Song, H.; Lee, J.; Canatoy, R.; Lee, J.; Kim, P. Strongmitigation of greenhouse gas emission impact via aerobic short pre-digestion of green manure amended soils during rice cropping. Sci. Total Environ. 2021, 761, 143193. [Google Scholar] [CrossRef] [PubMed]
- Gentile, R.; Vanlauwe, B.; Kessel, C.; Six, J. Managing N availability and losses by combining fertilizer-N with different quality residues in Kenya. Agric. Ecosyst. Environ. 2009, 131, 308–314. [Google Scholar] [CrossRef]












| Plants | C (%) | N (%) | C/N | |
|---|---|---|---|---|
| 2021 | Italian ryegrass | 42.5 ± 1.1 | 0.6 ± 0.0 | 73.7 ± 4.5 |
| Weed | 43.4 ± 0.5 | 0.8 ± 0.2 | 63.8 ± 17.1 | |
| 2022 | Italian ryegrass | 43.6 ± 0.2 | 0.7 ± 0.0 | 65.3 ± 4.4 |
| Weed | 44.5 ± 0.2 | 1.3 ± 0.0 | 35.0 ± 1.1 | |
| 2023 | Italian ryegrass | 43.3 ± 1.3 | 1.7 ± 0.3 | 28.0 ± 4.8 |
| Hairy vetch | 46.6 ± 0.3 | 3.4 ± 0.1 | 13.9 ± 0.4 | |
| Weed | 44.4 ± 0.2 | 1.4 ± 0.1 | 33.6 ± 3.2 |
| Effect | p-Value |
|---|---|
| Soil type 1 | NS |
| Sampling period 2 | *** |
| Soil type × Sampling period | NS |
| Effect | p-Value |
|---|---|
| Soil type 1 | NS |
| Sampling period 2 | *** |
| Soil type × Sampling period | ** |
| p-Value | |||||
|---|---|---|---|---|---|
| Treatment | Week 1 | Week 2 | Week 3 | Week 4 | Week 8 |
| Soil type 1 | NS | NS | NS | * | NS |
| Plant input 2 | *** | *** | *** | *** | *** |
| Soil × Plant input | NS | NS | NS | NS 3 | * |
| p-Value | |||||
|---|---|---|---|---|---|
| Treatment | Week 1 | Week 2 | Week 3 | Week 4 | Week 8 |
| Soil type 1 | * | NS | NS | *** | NS |
| CC input 2 | NS | NS | NS | NS | *** |
| Fertilizer input 3 | * | * | ** | *** | *** |
| Soil × CC input | NS | * | NS | *** | NS |
| Soil × Fertilizer input | NS | NS | NS | NS | NS |
| CC input × Fertilizer input | NS | NS | NS | NS | NS |
| Soil × CC input × Fertilizer input | NS | NS | NS | NS | NS |
Disclaimer/Publisher’s Note: The statements, opinions and data contained in all publications are solely those of the individual author(s) and contributor(s) and not of MDPI and/or the editor(s). MDPI and/or the editor(s) disclaim responsibility for any injury to people or property resulting from any ideas, methods, instructions or products referred to in the content. |
© 2024 by the authors. Licensee MDPI, Basel, Switzerland. This article is an open access article distributed under the terms and conditions of the Creative Commons Attribution (CC BY) license (https://creativecommons.org/licenses/by/4.0/).
Share and Cite
Sugai, J.; Takashima, N.; Muto, K.; Kaku, T.; Nakayama, H.; Asagi, N.; Komatsuzaki, M. Effects of Cover Crops on Soil Inorganic Nitrogen and Organic Carbon Dynamics in Paddy Fields. Agriculture 2024, 14, 2365. https://doi.org/10.3390/agriculture14122365
Sugai J, Takashima N, Muto K, Kaku T, Nakayama H, Asagi N, Komatsuzaki M. Effects of Cover Crops on Soil Inorganic Nitrogen and Organic Carbon Dynamics in Paddy Fields. Agriculture. 2024; 14(12):2365. https://doi.org/10.3390/agriculture14122365
Chicago/Turabian StyleSugai, Jun, Naoya Takashima, Koki Muto, Takatoki Kaku, Honoka Nakayama, Naomi Asagi, and Masakazu Komatsuzaki. 2024. "Effects of Cover Crops on Soil Inorganic Nitrogen and Organic Carbon Dynamics in Paddy Fields" Agriculture 14, no. 12: 2365. https://doi.org/10.3390/agriculture14122365
APA StyleSugai, J., Takashima, N., Muto, K., Kaku, T., Nakayama, H., Asagi, N., & Komatsuzaki, M. (2024). Effects of Cover Crops on Soil Inorganic Nitrogen and Organic Carbon Dynamics in Paddy Fields. Agriculture, 14(12), 2365. https://doi.org/10.3390/agriculture14122365

