Vineyard Edges Increase Bird Richness and Abundance and Conservation Opportunities in Central Chile
Abstract
1. Introduction
2. Materials and Methods
2.1. Study Area
2.2. Bird Surveys
2.3. Land Cover Classification and Analyses
2.4. Bird Models
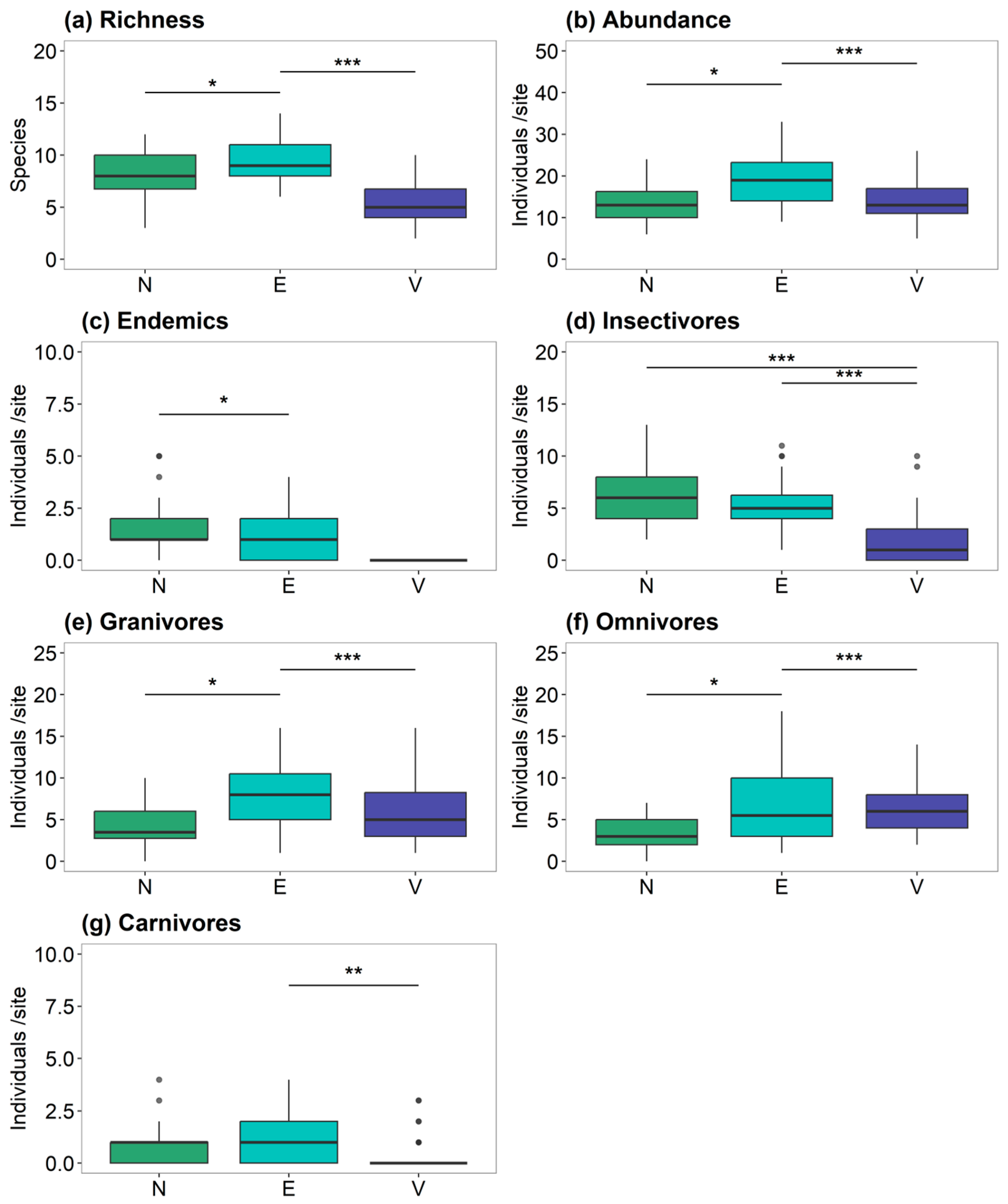
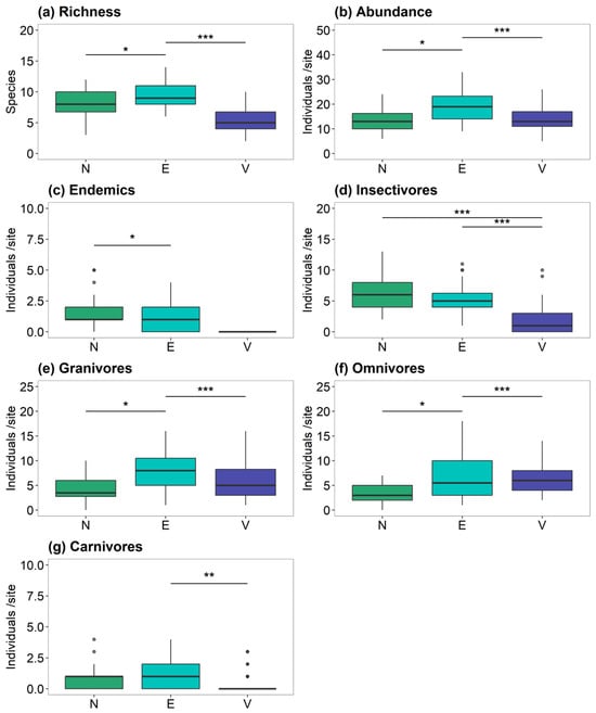
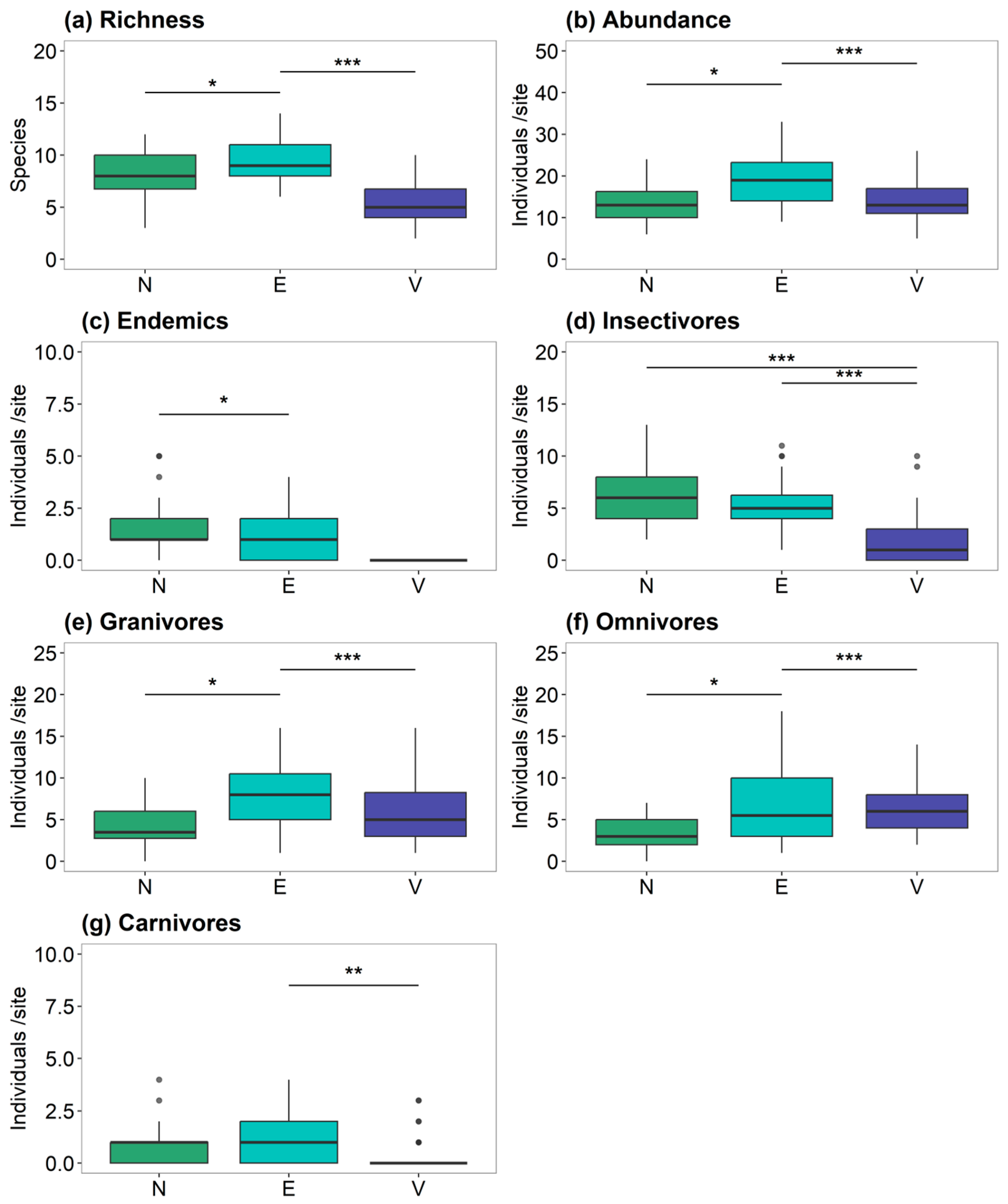
3. Results
4. Discussion
Supplementary Materials
Funding
Institutional Review Board Statement
Data Availability Statement
Acknowledgments
Conflicts of Interest
Appendix A
| Land Cover | Description |
|---|---|
| Tree_hedgerows_100 m | Linear trees that are used to separate properties, for shade, and as a wind breaker. These include exotic and native trees. |
| Annual_crop_100 m | Vegetables (lettuce, tomatoes, peppers) and cereal crops (wheat, corn), including naturally and naturalized grasslands (annual and perennial) mainly from the Poaceae family. Species include Holcus lanatus, Dactylis glomerata, Festuca sp. |
| Water_1 km | Watercourses include irrigation channels, ponds, and the Maipo River. |
| Forest_1 km | Native sclerophyllous forest trees over 2 m high, including species such as Peumus boldus, Quillaja saponaria, Lithraea caustica, Cryptocaria alba, Crinodendron patagua, and Prosopis chilensis, among others, as coexisting species. |
| Shrubland_1 km | Native shrubs less than 2 m high, including species such as Vachellia cavens, Colliguaja odorifera, and Trevoa trinervis, among others, and succulents (Puya sp., Echinopsis chiloensis) as coexisting species. |
| tree_hedgerow_100 m | annual_crop_100 m | water_1 km | forest_1 km | shrubland_1 km | |
|---|---|---|---|---|---|
| tree_hedgerow_100 m | 1 | −0.0167 | −0.044 | −0.001 | −0.064 |
| annual_crop_100 m | 1 | 0.044 | −0.058 | −0.100 | |
| water_1 km | 1 | −0.148 | −0.087 | ||
| forest_1 km | 1 | −0.302 | |||
| shrubland_1 km | 1 |

| Confusion Matrix | Sclerophyllous Forest | Annual Crops | Orchards | Bare Soil | Shrubland | Urban | Farm Buildings | Grassland | Water | Hedgerows | Total | User’s Accuracy (%) | Confusion Error (%) | Kappa (%) |
|---|---|---|---|---|---|---|---|---|---|---|---|---|---|---|
| sclerophyllous forest | 415 | 2 | 5 | 31 | 1 | 454 | 0.914 | 0.086 | ||||||
| annual crops | 2 | 104 | 7 | 1 | 114 | 0.912 | 0.088 | |||||||
| orchards | 3 | 119 | 1 | 123 | 0.967 | 0.033 | ||||||||
| bare soil | 2 | 83 | 4 | 89 | 0.933 | 0.067 | ||||||||
| shrubland | 73 | 1 | 8 | 91 | 1 | 174 | 0.523 | 0.477 | ||||||
| urban | 1 | 1 | 70 | 72 | 0.972 | 0.028 | ||||||||
| farm buildings | 1 | 2 | 2 | 53 | 58 | 0.017 | 0.983 | |||||||
| grassland | 4 | 2 | 1 | 21 | 28 | 0.750 | 0.250 | |||||||
| water | 2 | 3 | 5 | 0.600 | 0.400 | |||||||||
| hedgerows | 0 | 0 | 0.000 | 1.000 | ||||||||||
| Total | 497 | 111 | 130 | 102 | 127 | 70 | 54 | 22 | 3 | 1 | 1117 | |||
| Producer’s Accuracy (%) | 0.835 | 0.937 | 0.915 | 0.814 | 0.717 | 1 | 0.981 | 0.955 | 1 | 0 | 0.859 | |||
| Error of omission (%) | 0.165 | 0.063 | 0.085 | 0.186 | 0.283 | 0 | 0.019 | 0.045 | 0 | 1 | ||||
| Kappa (%) | 0.815 |
References
- Kremen, C.; Merenlender, A.M. Landscapes That Work for Biodiversity and People. Science 2018, 362, eaau6020. [Google Scholar] [CrossRef] [PubMed]
- Foley, J.A.; Ramankutty, N.; Brauman, K.A.; Cassidy, E.S.; Gerber, J.S.; Johnston, M.; Mueller, N.D.; O’Connell, C.; Ray, D.K.; West, P.C.; et al. Solutions for a Cultivated Planet. Nature 2011, 478, 337–342. [Google Scholar] [CrossRef] [PubMed]
- Zabel, F.; Delzeit, R.; Schneider, J.M.; Seppelt, R.; Mauser, W.; Václavík, T. Global Impacts of Future Cropland Expansion and Intensification on Agricultural Markets and Biodiversity. Nat. Commun. 2019, 10, 2844. [Google Scholar] [CrossRef] [PubMed]
- Johnson, R.J.; Jedlicka, J.A.; Quinn, J.E.; Brandle, J.R. Global Perspectives on Birds in Agricultural Landscapes. In Integrating Agriculture, Conservation and Ecotourism: Examples from the Field; Springer: Dordrecht, The Netherlands, 2011; pp. 55–140. ISBN 9789400713093. [Google Scholar]
- UN World Population Projected to Reach 9.8 Billion in 2050, and 11.2 Billion in 2100. Available online: https://www.un.org/sustainabledevelopment/blog/2017/06/world-population-projected-to-reach-9-8-billion-in-2050-and-11-2-billion-in-2100-says-un/ (accessed on 13 February 2020).
- Hunter, M.C.; Smith, R.G.; Schipanski, M.E.; Atwood, L.W.; Mortensen, D.A. Agriculture in 2050: Recalibrating Targets for Sustainable Intensification. Bioscience 2017, 67, 386–391. [Google Scholar] [CrossRef]
- Zhang, W.; Ricketts, T.H.; Kremen, C.; Carney, K.; Swinton, S.M. Ecosystem Services and Dis-Services to Agriculture. Ecol. Econ. 2007, 64, 253–260. [Google Scholar] [CrossRef]
- Whelan, C.J.; Wenny, D.G.; Marquis, R.J. Ecosystem Services Provided by Birds. Ann. N. Y. Acad. Sci. 2008, 1134, 25–60. [Google Scholar] [CrossRef]
- Kremen, C.; Miles, A. Ecosystem Services in Biologically Diversified versus Conventional Farming Systems: Benefits, Externalitites, and Trade-Offs. Ecol. Soc. 2012, 17, 40. [Google Scholar] [CrossRef]
- Whelan, C.J.; Şekercioğlu, Ç.H.; Wenny, D.G. Why Birds Matter: From Economic Ornithology to Ecosystem Services. J. Ornithol. 2015, 156, 227–238. [Google Scholar] [CrossRef]
- Assandri, G.; Bogliani, G.; Pedrini, P.; Brambilla, M. Insectivorous Birds as ‘Non-Traditional’ Flagship Species in Vineyards: Applying a Neglected Conservation Paradigm to Agricultural Systems. Ecol. Indic. 2017, 80, 275–285. [Google Scholar] [CrossRef]
- Jedlicka, J.A.; Greenberg, R.; Letourneau, D.K. Avian Conservation Practices Strengthen Ecosystem Services in California Vineyards. PLoS ONE 2011, 6, e27347. [Google Scholar] [CrossRef]
- Paiola, A.; Assandri, G.; Brambilla, M.; Zottini, M.; Pedrini, P.; Nascimbene, J. Exploring the Potential of Vineyards for Biodiversity Conservation and Delivery of Biodiversity-Mediated Ecosystem Services: A Global-Scale Systematic Review. Sci. Total Environ. 2020, 706, 135839. [Google Scholar] [CrossRef]
- Muñoz-Sáez, A.; Heaton, E.E.; Reynolds, M.; Merenlender, A.M. Agricultural Adapters from the Vineyard Landscape Impact Native Oak Woodland Birds. Agric. Ecosyst. Environ. 2020, 300, 106960. [Google Scholar] [CrossRef]
- Willmer, J.N.G.; Püttker, T.; Prevedello, J.A. Global Impacts of Edge Effects on Species Richness. Biol. Conserv. 2022, 272, 109654. [Google Scholar] [CrossRef]
- Martin, E.A.; Dainese, M.; Clough, Y.; Báldi, A.; Bommarco, R.; Gagic, V.; Garratt, M.P.D.; Holzschuh, A.; Kleijn, D.; Kovács-Hostyánszki, A.; et al. The Interplay of Landscape Composition and Configuration: New Pathways to Manage Functional Biodiversity and Agroecosystem Services across Europe. Ecol. Lett. 2019, 22, 1083–1094. [Google Scholar] [CrossRef] [PubMed]
- Schäckermann, J.; Mandelik, Y.; Weiss, N.; von Wehrden, H.; Klein, A. Natural Habitat Does Not Mediate Vertebrate Seed Predation as an Ecosystem Dis-service to Agriculture. J. Appl. Ecol. 2015, 52, 291–299. [Google Scholar] [CrossRef]
- Muñoz-Sáez, A.; Kitzes, J.; Merenlender, A.M. Bird-Friendly Wine Country through Diversified Vineyards. Conserv. Biol. 2021, 35, 274–284. [Google Scholar] [CrossRef]
- Tschumi, M.; Ekroos, J.; Hjort, C.; Smith, H.G.; Birkhofer, K. Predation-mediated Ecosystem Services and Disservices in Agricultural Landscapes. Ecol. Appl. 2018, 28, 2109–2118. [Google Scholar] [CrossRef]
- Gonthier, D.J.; Sciligo, A.R.; Karp, D.S.; Lu, A.; Garcia, K.; Juarez, G.; Chiba, T.; Gennet, S.; Kremen, C. Bird Services and Disservices to Strawberry Farming in Californian Agricultural Landscapes. J. Appl. Ecol. 2019, 56, 1365–2664.13422. [Google Scholar] [CrossRef]
- Santillán, D.; Iglesias, A.; La Jeunesse, I.; Garrote, L.; Sotes, V. Vineyards in Transition: A Global Assessment of the Adaptation Needs of Grape Producing Regions under Climate Change. Sci. Total Environ. 2019, 657, 839–852. [Google Scholar] [CrossRef]
- ODEPA. Vinos; ODEPA: Santiago, Chile, 2018. [Google Scholar]
- Hannah, L.; Roehrdanz, P.R.; Ikegami, M.; Shepard, A.V.; Shaw, M.R.; Tabor, G.; Zhi, L.L.; Marquet, P.A.; Hijmans, R.J. Climate Change, Wine, and Conservation. Proc. Natl. Acad. Sci. USA 2013, 110, 6907–6912. [Google Scholar] [CrossRef]
- Vinos de Chile, A. Código de Sustentabilidad de La Industria Vitivinícola Chilena. 2015. Available online: https://www.sustainable.cl/ (accessed on 12 November 2024).
- Myers, N.; Mittermeier, R.A.; Mittermeier, C.G.; da Fonseca, G.A.B.; Kent, J. Biodiversity Hotspots for Conservation Priorities. Nature 2000, 403, 853–858. [Google Scholar] [CrossRef] [PubMed]
- Fuentes-Castillo, T.; Scherson, R.A.; Marquet, P.A.; Fajardo, J.; Corcoran, D.; Román, M.J.; Pliscoff, P. Modelling the Current and Future Biodiversity Distribution in the Chilean Mediterranean Hotspot. The Role of Protected Areas Network in a Warmer Future. Divers. Distrib. 2019, 25, 1897–1909. [Google Scholar] [CrossRef]
- Gajardo, R. La Vegetación Natural de Chile: Clasificación y Distribución Geográfica; Editorial Universitaria: Santiago, Chile, 1994; ISBN 9561108258. [Google Scholar]
- Ralph, C.; Droege, S.; Sauer, J. Managing and Monitoring Birds Using Point Counts: Standards and Applications; U.S. Forest Service, Pacific Southwest Research Station: Albany, CA, USA, 1995; pp. 161–168. [Google Scholar]
- Muñoz-Sáez, A.; Perez-Quezada, J.F.J.F.; Estades, C.F.C.F. Agricultural Landscapes as Habitat for Birds in Central Chile. Rev. Chil. Hist. Nat. 2017, 90, 3. [Google Scholar] [CrossRef]
- Remsen, J.V., Jr.; Cadena, C.D.; Jaramillo, A.; Nores, M.; Pacheco, J.F.; Pérez-Emán, J.; Robbins, M.B.; Stiles, F.G.; Stotz, D.F.; Zimmer, K.J. A Classification of the Bird Species of South America; South American Classification Committee: Chicago, IL, USA, 2014. [Google Scholar]
- Mohamadzadeh, N.; Ahmadisharaf, A. Classification Algorithms for Remotely Sensed Images. In Remote Sensing of Soil and Land Surface Processes; Elsevier: Amsterdam, The Netherlands, 2024; pp. 357–368. [Google Scholar]
- QGIS.org. QGIS Geographic Information System. Open Source Geospatial Foundation Project. 2024. Available online: http://qgis.org (accessed on 12 November 2024).
- Braasch, M.; García-Barrios, L.; Ramírez-Marcial, N.; Huber-Sannwald, E.; Cortina-Villar, S. Can Cattle Grazing Substitute Fire for Maintaining Appreciated Pine Savannas at the Frontier of a Montane Forest Biosphere-Reserve? Agric. Ecosyst. Environ. 2017, 250, 59–71. [Google Scholar] [CrossRef]
- Gessesse, B.; Tesfamariam, B.G.; Melgani, F. Understanding Traditional Agro-Ecosystem Dynamics in Response to Systematic Transition Processes and Rainfall Variability Patterns at Watershed-Scale in Southern Ethiopia. Agric. Ecosyst. Environ. 2022, 327, 107832. [Google Scholar] [CrossRef]
- Burnham, K.P.; Anderson, D.R. Model Selection and Multimodel Inference; Burnham, K.P., Anderson, D.R., Eds.; Springer: New York, NY, USA, 2002; Volume 172, ISBN 978-0-387-95364-9. [Google Scholar]
- Dormann, C.F.; Elith, J.; Bacher, S.; Buchmann, C.; Carl, G.; Carré, G.; Marquéz, J.R.G.; Gruber, B.; Lafourcade, B.; Leitão, P.J.; et al. Collinearity: A Review of Methods to Deal with It and a Simulation Study Evaluating Their Performance. Ecography 2013, 36, 27–46. [Google Scholar] [CrossRef]
- Cunningham, R.B.; Lindenmayer, D.B.; Crane, M.; Michael, D.; MacGregor, C.; Montague-Drake, R.; Fischer, J. The Combined Effects of Remnant Vegetation and Tree Planting on Farmland Birds. Conserv. Biol. 2008, 22, 742–752. [Google Scholar] [CrossRef]
- Barton, K. MuMIn: Multi-Model Inference. R Package Version 1.15.6. Available online: https://cran.r-project.org/package=MuMIn (accessed on 1 November 2024).
- Bates, D.; Maechler, M.; Bolker, B.; Walker, S. Fitting Linear Mixed-Effects Models Using Lme4. J. Stat. Softw. 2015, 67, 1–48. [Google Scholar] [CrossRef]
- Hartig, F. DHARMa: Residual Diagnostics for Hierarchical (Multi-Level/Mixed) Regression Models. R Packag. Version 020. 2018. Available online: https://cran.r-project.org/web/packages/DHARMa/vignettes/DHARMa.html (accessed on 1 November 2024).
- Bivand, R. R Packages for Analyzing Spatial Data: A Comparative Case Study with Areal Data. Geogr. Anal. 2022, 54, 488–518. [Google Scholar] [CrossRef]
- Hothorn, T.; Bretz, F.; Westfall, P. Simultaneous Inference in General Parametric Models. Biom. J. 2008, 50, 346–363. [Google Scholar] [CrossRef]
- Wickham, H. Ggplot2: Elegant Graphics for Data Analysis; Springer: New York, NY, USA, 2016; ISBN 978-3-319-24277-4. [Google Scholar]
- Muñoz-Sáez, A. Vineyard Landscapes Impact Bird Community and Interactions in Mediterranean-Climate Agroecosystems. Ph.D. Thesis, University of California Berkeley, Berkeley, CA, USA, 2017. [Google Scholar]
- Martin, A.E.; Collins, S.J.; Crowe, S.; Girard, J.; Naujokaitis-Lewis, I.; Smith, A.C.; Lindsay, K.; Mitchell, S.; Fahrig, L. Effects of Farmland Heterogeneity on Biodiversity Are Similar to—Or Even Larger than—The Effects of Farming Practices. Agric. Ecosyst. Environ. 2020, 288, 106698. [Google Scholar] [CrossRef]
- Pfeifer, M.; Lefebvre, V.; Peres, C.A.; Banks-Leite, C.; Wearn, O.R.; Marsh, C.J.; Butchart, S.H.M.; Arroyo-Rodríguez, V.; Barlow, J.; Cerezo, A.; et al. Creation of Forest Edges Has a Global Impact on Forest Vertebrates. Nature 2017, 551, 187–191. [Google Scholar] [CrossRef]
- Maas, B.; Karp, D.S.; Bumrungsri, S.; Darras, K.; Gonthier, D.; Huang, J.C.-C.; Lindell, C.A.; Maine, J.J.; Mestre, L.; Michel, N.L.; et al. Bird and Bat Predation Services in Tropical Forests and Agroforestry Landscapes. Biol. Rev. 2016, 91, 1081–1101. [Google Scholar] [CrossRef]
- Díaz-Siefer, P.; Olmos-Moya, N.; Fontúrbel, F.E.; Lavandero, B.; Pozo, R.A.; Celis-Diez, J.L. Bird-Mediated Effects of Pest Control Services on Crop Productivity: A Global Synthesis. J. Pest. Sci. 2022, 95, 567–576. [Google Scholar] [CrossRef]
- Garibaldi, L.A.; Oddi, F.J.; Miguez, F.E.; Bartomeus, I.; Orr, M.C.; Jobbágy, E.G.; Kremen, C.; Schulte, L.A.; Hughes, A.C.; Bagnato, C.; et al. Working Landscapes Need at Least 20% Native Habitat. Conserv. Lett. 2021, 14, e12773. [Google Scholar] [CrossRef]
- Dubey, P.K.; Singh, A.; Raghubanshi, A.; Abhilash, P.C. Steering the Restoration of Degraded Agroecosystems during the United Nations Decade on Ecosystem Restoration. J. Environ. Manag. 2021, 280, 111798. [Google Scholar] [CrossRef]
- Garibaldi, L.A.; Zermoglio, P.F.; Jobbágy, E.G.; Andreoni, L.; Ortiz de Urbina, A.; Grass, I.; Oddi, F.J. How to Design Multifunctional Landscapes? J. Appl. Ecol. 2023, 60, 2521–2527. [Google Scholar] [CrossRef]
- Sebastián-González, E.; Sánchez-Zapata, J.A.; Botella, F. Agricultural Ponds as Alternative Habitat for Waterbirds: Spatial and Temporal Patterns of Abundance and Management Strategies. Eur. J. Wildl. Res. 2010, 56, 11–20. [Google Scholar] [CrossRef]
- Cardador, L.; Carrete, M.; Mañosa, S. Can Intensive Agricultural Landscapes Favour Some Raptor Species? The Marsh Harrier in North-eastern Spain. Anim. Conserv. 2011, 14, 382–390. [Google Scholar] [CrossRef]
- Filgueiras, B.K.C.; Peres, C.A.; Melo, F.P.L.; Leal, I.R.; Tabarelli, M. Winner–Loser Species Replacements in Human-Modified Landscapes. Trends Ecol. Evol. 2021, 36, 545–555. [Google Scholar] [CrossRef]
- Brambilla, M.; Scridel, D.; Bazzi, G.; Ilahiane, L.; Iemma, A.; Pedrini, P.; Bassi, E.; Bionda, R.; Marchesi, L.; Genero, F.; et al. Species Interactions and Climate Change: How the Disruption of Species Co-occurrence Will Impact on an Avian Forest Guild. Glob. Chang. Biol. 2020, 26, 1212–1224. [Google Scholar] [CrossRef] [PubMed]
- Hatfield, J.H.; Barlow, J.; Joly, C.A.; Lees, A.C.; de Freitas Parruco, C.H.; Tobias, J.A.; Orme, C.D.L.; Banks-Leite, C. Mediation of Area and Edge Effects in Forest Fragments by Adjacent Land Use. Conserv. Biol. 2020, 34, 395–404. [Google Scholar] [CrossRef]
- Steel, Z.L.; Steel, A.E.; Williams, J.N.; Viers, J.H.; Marquet, P.A.; Barbosa, O. Patterns of Bird Diversity and Habitat Use in Mixed Vineyard-Matorral Landscapes of Central Chile. Ecol. Indic. 2017, 73, 345–357. [Google Scholar] [CrossRef]
- Rodríguez-San Pedro, A.; Ávila, F.; Chaperon, P.N.; Beltrán, C.A.; Allendes, J.L.; Grez, A.A. The Role of the Adjacent Habitat on Promoting Bat Activity in Vineyards: A Case Study from Central Chile. Acta Chiropt. 2021, 23, 177–187. [Google Scholar] [CrossRef]
- Chaperon, P.N.; Rodríguez-San Pedro, A.; Beltrán, C.A.; Allendes, J.L.; Barahona-Segovia, R.M.; Urra, F.; Grez, A.A. Effects of Adjacent Habitat on Nocturnal Flying Insects in Vineyards and Implications for Bat Foraging. Agric. Ecosyst. Environ. 2022, 326, 107780. [Google Scholar] [CrossRef]
- van der Plas, F.; Manning, P.; Soliveres, S.; Allan, E.; Scherer-lorenzen, M.; Wirth, C.; Zavala, M.A.; Ampoorter, E.; Baeten, L.; Barbaro, L.; et al. Biotic Homogenization Can Decrease Landscape-Scale Forest Multifunctionality. Proc. Natl. Acad. Sci. USA 2016, 113, E2549. [Google Scholar] [CrossRef]
- Colléony, A.; Shwartz, A. When the Winners Are the Losers: Invasive Alien Bird Species Outcompete the Native Winners in the Biotic Homogenization Process. Biol. Conserv. 2020, 241, 108314. [Google Scholar] [CrossRef]
- Andrews, B.; Zurita, C.; Jaksic, F.M. The California Quail (Callipepla Californica) in Chile and Argentina: Introduction History, Current Distribution, and Biological Features. Rev. Chil. Hist. Nat. 2023, 96, 2. [Google Scholar] [CrossRef]
- Barbaro, L.; Assandri, G.; Brambilla, M.; Castagneyrol, B.; Froidevaux, J.; Giffard, B.; Pithon, J.; Puig-Montserrat, X.; Torre, I.; Calatayud, F.; et al. Organic Management and Landscape Heterogeneity Combine to Sustain Multifunctional Bird Communities in European Vineyards. J. Appl. Ecol. 2021, 58, 1261–1271. [Google Scholar] [CrossRef]
- Olmos-Moya, N.; Díaz-Siefer, P.; Pozo, R.A.; Fontúrbel, F.E.; Lavandero, B.; Abades, S.; Celis-Diez, J.L. The Use of Cavity-Nesting Wild Birds as Agents of Biological Control in Vineyards of Central Chile. Agric. Ecosyst. Environ. 2022, 334, 107975. [Google Scholar] [CrossRef]
- Somers, C.M.; Morris, R.D. Birds and Wine Grapes: Foraging Activity Causes Small-Scale Damage Patterns in Single Vineyards. J. Appl. Ecol. 2002, 39, 511–523. [Google Scholar] [CrossRef]
- Gonthier, D.J.; Ennis, K.K.; Farinas, S.; Hsieh, H.Y.; Iverson, A.L.; Batáry, P.; Rudolphi, J.; Tscharntke, T.; Cardinale, B.J.; Perfecto, I. Biodiversity Conservation in Agriculture Requires a Multi-Scale Approach. Proc. R. Soc. B Biol. Sci. 2014, 281, 20141358. [Google Scholar] [CrossRef] [PubMed]
- Stanton, R.L.; Morrissey, C.A.; Clark, R.G. Analysis of Trends and Agricultural Drivers of Farmland Bird Declines in North America: A Review. Agric. Ecosyst. Environ. 2018, 254, 244–254. [Google Scholar] [CrossRef]
- Rigal, S.; Dakos, V.; Alonso, H.; Auniņš, A.; Benkő, Z.; Brotons, L.; Chodkiewicz, T.; Chylarecki, P.; de Carli, E.; del Moral, J.C.; et al. Farmland Practices Are Driving Bird Population Decline across Europe. Proc. Natl. Acad. Sci. USA 2023, 120, e2216573120. [Google Scholar] [CrossRef]
- Rösch, V.; Hafner, G.; Reiff, J.M.; Entling, M.H. Increase in Breeding Bird Abundance and Diversity with Semi-Natural Habitat in Vineyard Landscapes. PLoS ONE 2023, 18, e0284254. [Google Scholar] [CrossRef]
- Wezel, A.; Herren, B.G.; Kerr, R.B.; Barrios, E.; Gonçalves, A.L.R.; Sinclair, F. Agroecological Principles and Elements and Their Implications for Transitioning to Sustainable Food Systems. A Review. Agron. Sustain. Dev. 2020, 40, 40. [Google Scholar] [CrossRef]
- Wanger, T.C.; DeClerck, F.; Garibaldi, L.A.; Ghazoul, J.; Kleijn, D.; Klein, A.M.; Kremen, C.; Mooney, H.; Perfecto, I.; Powell, L.L.; et al. Integrating Agroecological Production in a Robust Post-2020 Global Biodiversity Framework. Nat. Ecol. Evol. 2020, 4, 1150–1152. [Google Scholar] [CrossRef]
- Kremen, C.; Iles, A.; Bacon, C. Diversified Farming Systems: An Agroecological, Systems-Based Alternative to Modern Industrial Agriculture. Ecol. Soc. 2012, 17, 44–63. [Google Scholar] [CrossRef]
- Altieri, M.A. The Ecological Role of Biodiversity in Agroecosystems. Agric. Ecosyst. Environ. 1999, 74, 19–31. [Google Scholar] [CrossRef]



| Guild | Environmental Variables | Estimate (±SE) † | Z Value | p Value |
|---|---|---|---|---|
| Richness (N = 946; 48 species) | Forest_1 km | 0.127 ± 0.036 | 3.553 | <0.001 |
| Shrubland_1 km | 0.090 ± 0.035 | 2.596 | 0.009 | |
| Water_1 km | 0.039 ± 0.033 | 1.186 | 0.236 | |
| Abundance (N = 2179; 48 species) | Forest_1 km | 0.055 ± 0.048 | 1.156 | 0.248 |
| Water_1 km | 0.085± 0.046 | 1.872 | 0.061 | |
| Longitude (X) | 0.065 ± 0.047 | 1.386 | 0.166 | |
| Shrubland_1 km | −0.066 ± 0.049 | 1.348 | 0.178 | |
| Annual_crop_100 m | 0.025 ± 0.046 | 0.551 | 0.582 | |
| Endemics (N = 118; 5 species) | Forest_1 km | 0.912 ± 0.164 | 5.566 | <0.001 |
| Shrubland_1 km | 0.557 ± 0.171 | 3.260 | 0.001 | |
| Annual_crop_100 m | 0.156 ± 0.119 | 1.312 | 0.189 | |
| Water_1 km | −0.137 ± 0.152 | 0.898 | 0.369 | |
| Longitude (X) | −0.213 ± 0.244 | 0.872 | 0.383 | |
| Tree_hedgerow_100 m | 0.072 ± 0.097 | 0.747 | 0.455 | |
| Insectivores (N = 556; 15 species) | Tree_hedgerow_100 m | −0.032 ± 0.057 | −0.561 | 0.575 |
| Annual_crop_100 m | 0.081 ± 0.048 | 1.675 | 0.093 | |
| Water_1 km | 0.123 ± 0.061 | 2.015 | 0.044 | |
| Forest_1 km | 0.341 ± 0.069 | 4.907 | <0.001 | |
| Shrubland_1 km | 0.067 ± 0.082 | 0.818 | 0.4133 | |
| Granivores (N = 1019; 16 species) | Water_1 km | 0.156 ± 0.079 | 1.979 | 0.048 |
| Latitude (Y) | −0.088 ± 0.075 | 1.159 | 0.246 | |
| Annual_crop_100 m | 0.073 ± 0.079 | 0.924 | 0.356 | |
| shrubland_1 km | −0.078 ± 0.090 | 0.868 | 0.385 | |
| tree_hedgerow_100 m | −0.065 ± 0.085 | 0.767 | 0.443 | |
| Longitude (X) | 0.052 ± 0.087 | 0.596 | 0.551 | |
| forest_1 km | 0.039 ± 0.081 | 0.481 | 0.630 | |
| Omnivores (N = 738; 7 species) | Forest_1 km | −0.163 ± 0.077 | 2.107 | 0.035 |
| shrubland_1 km | −0.182 ± 0.107 | 1.693 | 0.091 | |
| Annual_crop_100 m | −0.060 ± 0.076 | 0.785 | 0.433 | |
| Water_1 km | 0.042 ± 0.076 | 0.548 | 0.583 | |
| Carnivores (N = 87; 6 species) | Shrubland_1 km | 0.400 ± 0.203 | 1.973 | 0.048 |
| Water_1 km | 0.313 ± 0.112 | 2.801 | 0.005 | |
| Tree_hedgerow_100 m | 0.121 ± 0.080 | 1.516 | 0.129 | |
| Annual_crop_100 m | −0.277 ± 0.310 | 0.894 | 0.371 | |
| Forest_1 km | 0.162 ± 0.150 | 1.079 | 0.281 |
Disclaimer/Publisher’s Note: The statements, opinions and data contained in all publications are solely those of the individual author(s) and contributor(s) and not of MDPI and/or the editor(s). MDPI and/or the editor(s) disclaim responsibility for any injury to people or property resulting from any ideas, methods, instructions or products referred to in the content. |
© 2024 by the author. Licensee MDPI, Basel, Switzerland. This article is an open access article distributed under the terms and conditions of the Creative Commons Attribution (CC BY) license (https://creativecommons.org/licenses/by/4.0/).
Share and Cite
Muñoz-Sáez, A. Vineyard Edges Increase Bird Richness and Abundance and Conservation Opportunities in Central Chile. Agriculture 2024, 14, 2098. https://doi.org/10.3390/agriculture14122098
Muñoz-Sáez A. Vineyard Edges Increase Bird Richness and Abundance and Conservation Opportunities in Central Chile. Agriculture. 2024; 14(12):2098. https://doi.org/10.3390/agriculture14122098
Chicago/Turabian StyleMuñoz-Sáez, Andrés. 2024. "Vineyard Edges Increase Bird Richness and Abundance and Conservation Opportunities in Central Chile" Agriculture 14, no. 12: 2098. https://doi.org/10.3390/agriculture14122098
APA StyleMuñoz-Sáez, A. (2024). Vineyard Edges Increase Bird Richness and Abundance and Conservation Opportunities in Central Chile. Agriculture, 14(12), 2098. https://doi.org/10.3390/agriculture14122098

