Next Article in Journal
Nondestructive Identification of Internal Potato Defects Using Visible and Short-Wavelength Near-Infrared Spectral Analysis
Next Article in Special Issue
Structural Characterization and Bioactive Compound Evaluation of Fruit and Vegetable Waste for Potential Animal Feed Applications
Previous Article in Journal
Effects of Biochar on the Growth and Physiological and Mechanical Properties of Cucumber Plug Seedlings Before and After Transplanting
Previous Article in Special Issue
Fermented Feed in Broiler Diets Reduces the Antinutritional Factors, Improves Productive Performances and Modulates Gut Microbiome—A Review
 
 
Font Type:
Arial Georgia Verdana
Font Size:
Aa Aa Aa
Line Spacing:
Column Width:
Background:
Article

Effect of Bacillus licheniformis on Growth, Bone Mineralization, and Intestinal Microbiota in Broilers Fed Cowpea Diets

by
Mihaela Dumitru
1,*,
Nicoleta Aurelia Lefter
1,
Georgeta Ciurescu
1 and
Reta Draghici
2
1
Laboratory of Animal Nutrition and Biotechnology, National Research Development Institute for Biology and Animal Nutrition, 077015 Balotesti, Romania
2
Research-Development Station for Plant Culture on Sands Dăbuleni, 217, Petre Banită Street, 207170 Călărasi, Romania
*
Author to whom correspondence should be addressed.
Agriculture 2024, 14(11), 2013; https://doi.org/10.3390/agriculture14112013
Submission received: 16 September 2024 / Revised: 31 October 2024 / Accepted: 6 November 2024 / Published: 8 November 2024
(This article belongs to the Special Issue Rational Use of Feed to Promote Animal Healthy Feeding)

Abstract

This study investigates the effects of the Bacillus licheniformis (BL) ATCC 21424 strain, as a potential bacterial probiotic in broiler diets based on soybean meal (SBM) or cowpea seeds (CWP), on growth performance (GP), bone mineralization, and intestinal/fecal microbiota status (0 to 42 d age). A 2 × 2 factorial arrangement was employed in a completely randomized design, with four dietary treatments: SBM and CWP diets with or without BL supplementation (1.0 × 1011 CFU spores g−1 feed). A total of 480 one-day-old mixed-sex Ross 308 broiler chickens were randomly assigned to the treatments, with 6 pens of 20 chicks each. The results showed that broilers fed with CWP diets showed comparable body weight gain (BWG), feed intake (FI), and feed conversion rate to those fed the SBM diet (p > 0.05). The inclusion of BL improved BWG during the grower and finisher periods (p = 0.01) and overall study (p < 0.001), resulting in a numerical increase in FI (p = 0.054). In addition, BL in birds’ diets reduced abdominal fat (p = 0.032) and influenced cecum weight (p = 0.040). Additionally, BL improved tibia iron (Fe) and phosphorus (P) bone mineralization and reduced the calcium–phosphorus (Ca:P) ratio (p = 0.0001). Microbial analysis revealed that BL inclusion decreased Coliforms counts in the CWP diet (p = 0.073), reduced E. coli in the ileum (p ≤ 0.05), and lowered Clostridium spp. and Enterococcus spp. in the cecum broilers on SBM diets (p ≤ 0.05). The presence of Staphylococcus spp. in broiler feces was also reduced in both SBM and CWP groups (p < 0.05). In conclusion, the addition of BL to broiler diets enhanced growth performance and bone mineralization and positively influenced gut and excreta bacterial populations in both SBM and CWP diets.

1. Introduction

The escalating cost of feed ingredients, particularly cereal grains, and legume seeds, poses a significant challenge within the animal industry, notably in poultry feed manufacturing. This increase is fueled by their expanding use in human food and biofuel production, resulting in limited availability and higher prices. Consequently, the overall expense of poultry feed continues to rise, exerting pressure on poultry producers and impacting production efficiency [1]. Nutrition plays an important role in determining the profitability of animal production, with protein being a key component affecting the costs of feed mixes for poultry [2]. To tackle the challenge of reducing poultry feed costs [3], improving feed efficiency, maximizing growth performance, and minimizing the use of antibiotic growth promoters, nutritionists have been prompted to explore alternative strategies in poultry feed [2]. Therefore, the selected alternative protein source for broiler diets should contain highly digestible protein to ensure efficient utilization for meat production and minimize nitrogen excretion into the environment [4].
Soybean meal (SBM) serves as the main source of protein in broiler diets [5]. Among potential plant protein sources, cereal grains, and legumes, such as cowpeas, could serve as excellent alternatives to SBM due to their comparable amino acid (AA) profiles [6,7]. Recent studies have highlighted the promising potential of cowpea (CWP) as an alternative protein source in poultry feed [5,8,9].
Cowpea [Vigna unguiculata (L.) Walp.], commonly known as “beans”, is cultivated across diverse regions of the tropics and subtropics, including Asia, Oceania, the Middle East, Southern Europe, Africa, the Southern USA, and Central and South America [10]. This low-input, herbaceous annual plant pulse crop can grow either as an erect plant or as a climber. CWP is a versatile crop [11], with both its grains and leaves serving as valuable nutritional resources for humans and animals [12]. Due to its high economic importance, this plant is a vital leguminous cover crop rich in AAs and high-quality protein [13]. It provides essential nutrients, including soluble and insoluble dietary fibers [14], polyunsaturated fatty acids (PUFAs), vitamins (such as A, C, riboflavin, thiamine, niacin, B6, pantothenic acid, and a small amount of folate) [15], minerals (like calcium), carbohydrates, antioxidants, and polyphenolic compounds [4,16]. Besides the presence of beneficial bioactive compounds, cowpea seeds contain anti-nutritional factors like protease inhibitors, phytic acid, lectins, and tannins which can induce some limits for utilization in animal feeding [3,17,18].
According to the literature, diets supplemented with probiotics can enhance production performance, reduce chicken mortality, and decrease environmental pollution [18,19]. As feed additives, probiotics improve the health of the digestive system by regulating the intestinal microbiota structure [20], strengthening immunity to improve disease resistance, ensuring quicker nutrient absorption, and promoting faster growth [21]. These benefits result in improved production performance and positive physiological effects on the host [22,23]. Defined as non-pathogenic living organisms, probiotic bacteria can withstand gastric acid, bile, and digestive enzymes, adhere to the intestinal wall, and combat pathogens, improving by the way, the bioavailability of feed ingredients [4,22]. Different probiotics have been shown to inhibit pathogens effectively based on in vitro and in vivo experiments. Specifically, for broiler chickens, previous studies have demonstrated significant benefits from including species such as Lactobacillus (LAB), Bacillus, Streptococcus, Saccharomyces, and Aspergillus in their diet [19,21,24].
Among probiotic bacteria, Bacillus spp. received significant attention due to their thermophilic, spore-forming nature and status as Gram-positive aerobic bacteria with a strong safety profile [25]. Known for their ability to produce various compounds, including digestive enzymes and vitamins, Bacillus may improve the weight gain and feed conversion ratios in poultry [26]. Generally considered non-pathogenic to humans and animals, these species have shown promising results when used as supplements in poultry diets. For example, the addition of different species such as B. subtilis, B. coagulans, B. amyloliquefaciens, and B. licheniformis has been demonstrated to promote growth effectively [21,27].
To the best of our knowledge, there has been limited research on the utilization of Bacillus licheniformis ATCC 21424 (BL) in broiler chicks, whose diets are based on CWP and SBM inclusion. Therefore, the objective of this study was to assess the effects of BL inclusion in broiler diets containing various protein sources on GP, bone mineralization, and microbial populations (intestinal and excreta content).

2. Materials and Methods

2.1. Preparation of Probiotic Strain

Bacillus licheniformis ATCC 21424 was purchased from the American Tissue Culture Collection (Manassas, VA, USA). A previous study provided BL product preparation details [28].

2.2. Ethical Statement

The care and use protocol for the birds was approved by the Animal Care and Use Committee at the National Research–Development Institute for Biology and Animal Nutrition (INCDBNA-IBNA) from Balotesti, Romania. The protocol followed the guidelines set forth by the EU Directive 2010/63/EU and complied with Romanian Animal Protection Law [9].

2.3. Experimental Design and Husbandry Bird

A total of 480 healthy, one-day-old mixed-sex Ross 308 broiler chickens (starting body weight 46.5 ± 0.23 g) were sourced from a local commercial hatchery. Two protein-based diets were tested: one using local CWP as a potential substitute for SBM. These diets were evaluated in the presence (+) or absence (−) of BL, arranged in a 2 × 2 factorial design within a completely randomized framework. Broiler chicks were randomly assigned to four dietary treatments, with six replicates per treatment and twenty chicks per replicate. BL inclusion was 1 × 1011 CFU/g−1 feed. The study lasted 42 days, with mash feed and freshwater provided ad libitum. The feeding program consisted of three phases: starter (days 1–10), grower (days 11–24), and finisher (days 25–42). Birds were fed isocaloric and isonitrogenous diets with a similar content of total lysine, total sulfur amino acids (TSAAs; Table 1), calcium (Ca), and available phosphorous (P). The diets were formulated to meet or surpass breeder guidelines specified for Ross 308 (Aviagen Ltd., Midlothian, UK). Diets were produced in mash form and did not contain any growth promoters or antibiotics. Nevertheless, all four experimental diets included narasin as a coccidiostat (Monteban G100, Elanco GmbH, Cuxhaven, Germany) and phytase (Axtra PHY 5000 L, Danisco Animal Nutrition, Marlborough, UK) as exogenous enzymes in their premixes. Pens with dimensions of 1.75 × 1.55 m were used. The temperature was initially set at 34 °C for the first 5 days and gradually decreased following standard management protocols. Thermostatically controlled heaters, fans, and adjustable sidewall inlets were utilized to achieve 22 °C. The lighting system provided 23:1 h light/dark conditions per day from day 1 to day 7, then 20:4 h light/dark conditions until the end of the experimental trial. The relative humidity was consistently maintained at approximately 55–60% throughout the entire duration of the trial. This schedule adhered to European Union legislation (EU Council Directive 2007/43/EC). Upon hatching, immediately, the broiler received vaccinations for Marek’s disease, Newcastle disease, and Infectious Bronchitis Disease.

2.4. Feed Analyses and Amino Acid Contents

Samples of ingredients and feeds were analyzed in duplicate for dry matter (DM), crude protein (CP), ether extract (EE), and ash content, using standard procedures outlined in Commission Regulation (EC) no. 152. The neutral detergent fiber (NDF) and acid detergent fiber (ADF) levels were measured with a Fibertec system (automatic Foss-Tecator system, Höganäs, Sweden). Carbohydrate content was calculated as a nitrogen-free extract. The apparent metabolizable energy (AME) content of the diets was estimated using the energy values of individual ingredients, following the European poultry feedstuff energy tables equation (WPSA, 1989). Amino acids (excluding tryptophan, which was not determined) were analyzed using a high-performance liquid chromatography system (HPLC Thermo Fisher Scientific Inc., San Jose, CA, USA) [27]. Trypsin inhibitor activity (TIA) in CWP was measured and expressed as trypsin-inhibited units (TIUs) [29]. All data and AME values are reported on a DM basis.

2.5. Growth Performance Data

The body weights (BWs) of the chicks and their feed intakes (FIs) were weighed at 1, 10, 24, and 42 days of age in each pen at the same times. BW gain (BWG) and feed conversion ratio (FCR) were calculated during different periods. Mortality was recorded daily, and FI was corrected for mortality as it occurred. FCR was calculated by dividing the FI by the BWG.

2.6. Carcass Traits and Bone Mineralization

At the end of the experimental period, on day 42, the six chickens from each treatment group, with a BW close to the respective group averages, after 12 h of fasting for complete gut evacuation were selected randomly for euthanasia and individual weighing. After removing the head, neck, feet, and viscera, the carcasses, breast, legs, abdominal fat, liver, spleen, pancreas, heart, gizzard, and small intestine were weighed individually and expressed as a percentage of their carcass weight [30]. Also, the length of the small intestine (duodenum, jejunum, ileum, and cecum) was measured and recorded. The relative weight and size of internal organs were quantified as percentages of the hot carcass weight. Until analyzed, the tibia from the left leg was removed, deboned, packed into polyethylene bags, sealed, and promptly stored in the deep freezer at −20 °C. In brief, the tibias of euthanized broilers were autoclaved to remove tissues and cartilage caps, enabling the determination of relative bone weight and length [9]. After microwave digestion, the fat-free bones were ground, dried, and analyzed using flame atomic absorption spectrometry (FAAS) at the following specific wavelengths: 422.7 nm for Ca, 213.9 nm for zinc (Zn), 372.0 nm for Fe, and 403.1 nm for manganese (Mn). P concentration in the bones was determined via UV-VIS spectrometry, while ash content was measured using a gravimetric method. Mineral content in the samples was expressed in milligrams (mg) or micrograms (μg) per gram of ash.

2.7. Intestinal and Feces Bacterial Counts

The same batch of slaughtered broilers (n = 6 per treatment) underwent microbial analysis. The intestinal content, comprising the ileum (1 cm distal to Meckel’s diverticulum to the ileocecal junction) and the cecum, was aseptically collected and stored in sterile plastic bags on ice. In the laboratory, 10-fold serial dilutions of 1 g of sample from both the ileum and cecum were prepared. These dilutions were homogenized with 7.0 mL of Brain Heart Infusion (BHI) broth supplemented with 2.0 mL of glycerol and then immediately frozen at −20 °C for subsequent analysis [31]. Upon thawing, decimal dilutions in Phosphate-Buffered Saline (PBS; Oxoid LTD, Basingstoke, UK) were performed. Subsequently, the samples were evaluated for Lactic Acid Bacteria (LABs), Escherichia coli (E. coli; biotype β-hemolytic), Salmonella spp., Clostridium spp., Coliforms, Bacillus spp., and Enterococcus spp. LABs were cultured on de Man, Rogosa, and Sharpe agar (MRS; Oxoid CM0361) under anaerobic conditions at 37 °C for 48 h (Oxoid jar with Anaerogen 2.5 L). Coliforms were cultured on MacConkey agar (Oxoid CM0007) incubated aerobically at 37 °C for 24 h. E. coli was determined by inoculating 0.01 mL from 10−1 dilution onto sheep blood agar [trypticase soy agar (TSA) 5% (w/v)] and incubating at 37 °C for 24 h under aerobic conditions [32]. Clostridium spp. was cultured on Reinforced Clostridial Agar (Oxoid CM0151) incubated anaerobically at 37 °C for 48 h. Enterococcus spp. were enumerated on Slanetz–Bartley agar (Oxoid CM0377) incubated at 37 °C for 48 h in anaerobic conditions [31]. Bacillus spp. and Salmonella spp. were counted on a nutritive agar medium, respectively, with Salmonella-Shigella agar (Oxoid CM0099) incubating aerobically at 37 °C for 24 h. Every sample’s procedure was repeated three times. Finally, the microbiota enumerations were reported as a mean of 10 logarithm colony-forming units (log10 CFUs) per gram.
The fecal microbial count was assessed at d 42 (n = 24 samples). Paper drop-sheets were placed in each pen to collect fresh excreta samples using sterile plastic containers. The fecal sample was well homogenized by vortexing for 1 min. with PBS (1:10, w/v), and used for bacterial counting. LABs and Salmonella spp. followed the same protocol method from the intestinal bacterial count. Enterobacteriaceae were enumerated using Levine medium agar (g/L: pancreatic digest of gelatine 10; lactose 10; potassium phosphate 2; eosin Y 0.4; methylene blue 0.065; bacteriological agar 15; pH 7.1 ± 0.2) and Staphylococcus spp. on Baird-Parker Agar supplemented with an egg yolk tellurite emulsion (BPA; Oxoid LTD, Basingstoke, UK); both determinations were incubated at 37 °C for 48 h in aerobic conditions.

2.8. Measurement of Intestinal pH

To determine the pH of intestinal content (ileum and cecum; n = 6 per treatment), approximately 1 g of digesta from each bird was collected and thoroughly homogenized in distilled water (DW, 1:10, w/v). The pH was measured using a portable pH meter (series pH 7.0 + DHS, XS Instruments, Carpi, Italy), with the final pH value representing the average of three readings.

2.9. Statistical Analysis

Statistical analysis was performed using a two-way ANOVA with the GLM procedure of SPSS, version 20.0 (SPSS Inc., Chicago, IL, USA). Data were analyzed as a 2 × 2 factorial design of dietary treatments. The statistical model included the effects of protein sources (Ps), probiotic supplementation (BL), and their interactions. For the analysis of growth performance (BWG, FI, and FCR), replicate pens were used as the experimental unit, while carcass traits, tibia bone characteristics, pH, and bacterial counts from digesta (ileum and cecum) were analyzed based on individual broilers (n = 6 per treatment). Tukey’s post hoc test was used for multiple comparisons. The significant differences between treatments were considered statistically significant at p < 0.05, and a p-value between 0.05 and 0.10 was classified as a tendency to be influenced by the treatment. The graphics were generated using GraphPad Prism software V. 9.1.2 (Boston, MA, USA).

3. Results

3.1. Feed Analyses

The main compounds of the chemical composition of CWP seeds (cultivar Aura 26) and AA profile are presented in Table 2. The results show that the variety of CWP has substantial crude protein (288 g/kg DM) and AME value (12.8 MJ kg DM), highlighting its potential as a protein-rich and energy-dense feed source. Regarding the mineral content, the CWP seed showed a high concentration of Ca (1.1 g/kg) and P (5.6 g/kg). The composition can vary based on varietal differences, climatic conditions, and agronomic practices. The protein quality or nutrient value of food depends on its AA content and the physiological utilization of specific AAs after digestion, absorption, and metabolism. The CWP source is rich in essential AAs such as arginine, leucine, lysine, isoleucine, and valine, while the sulfur AAs (methionine, cysteine, and threonine) are found in lower amounts. For non-essential AAs, the results showed that glutamic and aspartic acids are predominant, followed by serine and glycine contributing to the overall AA profile, enhancing, by the end, the nutritional value of CWP. The ratio of essential amino acids (EAAs) to the total non-essential amino acids (NEAAs) in CWP was noted as 0.95. This balance in AA composition can enhance other dietary components, making it a suitable candidate for use as a partial protein source in broiler feed.

3.2. Growth Performance Data

Table 3 shows the main effect of protein source (Ps), probiotic inclusion (BL), and their interaction (Ps × BL) on the performance growth of broiler chickens. The results demonstrate that broilers fed diets with CWP exhibited growth performance (BWG, FI, and FCR) like those fed SBM throughout the study period (days 1 to 42; p > 0.05). BL inclusion in broiler diets increased BWG in the grower and finisher period (p = 0.01), respectively, during the entire study period (p < 0.001). Further, probiotic addition tended to increase FCR during the grower period (d 11–24) and led to a slight increase in FI for the overall period (d 0–42), resulting in a tendency to be influenced by the treatment (p = 0.054T). Regarding the main factors (Ps × BL) for all GP variables measured, there was no significant interaction. Mortality was low (less than 3%) and unrelated to the treatments. All deaths occurred within the first week of age and were attributed to transportation-related stress.

3.3. Carcass Traits and Bone Mineralization

Table 4 presents the effects of BL probiotic supplementation on carcass characteristics (breast and leg yield and abdominal fat) and organ weights (heart, liver, gizzard, pancreas, small intestine, and cecum), along with the weight and length of the small intestine and cecum in broilers at 42 days of age. For all carcass characteristics measured, no significant interaction between the main factors (Ps × BL) was noticed. Diets for broilers up to 42 days with SBM and CWP significantly affect the abdominal fat (p = 0.026). CWP diets involved an increase in small intestine weight (SIW) for the jejunum section (p = 0.032) vs. birds fed SBM diets. Further, the Ps effect was observed as well in the small intestine length (SIL), more exactly in the jejunum portion, whose length was increased (p = 0.084). The inclusion of BL in birds’ diets decreased the abdominal fat (p = 0.032), respectively, affecting the cecum weight (p = 0.040) compared to the treatments without BL inclusion.
Tibia traits and bone mineralization results in broiler feed diets with different Ps in the presence (+)/absence (−) of BL are presented in Table 5. Ps diets did not involve significant differences in tibia bone development (relative weight and length) as well as ash, Ca, P, and Zn content (p > 0.05). Tibia Fe content registered significant differences between birds fed different diets (p = 0.044). Supplementation with BL significantly increased P tibia concentration on day 42 (4.88%; p = 0.027) compared to bird diets without probiotic inclusion. A similar but non-significant trend in Zn mineral content was noted (p = 0.098). A reduction in the Ca:P ratio (3.7%; p = 0.0001) in BL treatments was observed. There was no interaction between the main factors (Ps × BL) for any of the tibia parameters measured at d 42, except for P content (p = 0.588), Fe content (p = 0.377), and the Ca:P ratio (p = 0.443).

3.4. Intestinal and Feces Bacterial Counts

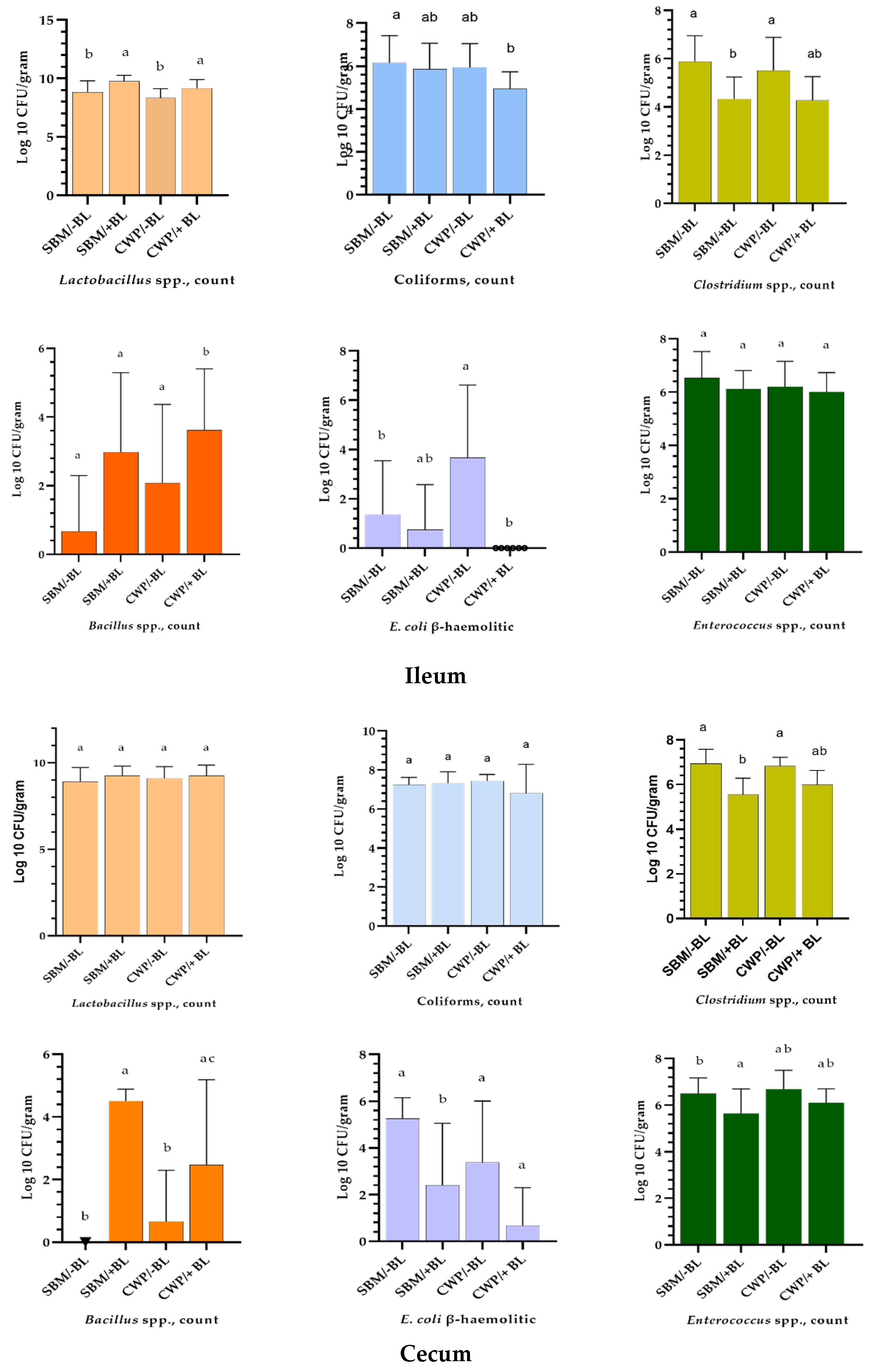
The treatment effects of the diets using different protein sources (SBM and CWP) with and without BL (log10 CFU/g) on the microbial population of broilers (d 42) are presented in Figure 1.
At d 42, the inclusion of BL in birds’ diets showed a significant increase in LABs (p ≤ 0.05) from the ileum content of broiler chickens. Moreover, the Lactobacilli count from SBM/+BL compared with the SBM/-BL group was significantly influenced by BL supplementation (9.76 vs. 8.82 Log10 CFU/g, p ≤ 0.05). The BL addition increased CWP vs. CWP/−BL in birds’ diets (p = 0.087). The presence of BL in CWP broilers’ diet demonstrates significantly stronger impacts on microbial populations, exhibiting a significant decrease in Coliforms (p = 0.073) vs. the SBM/-BL group. Notably, the Clostridium spp. from ileum content decreased by 27.12% in SBM/+BL vs. CWP/−BL (p = 0.078), respectively, and by 28.84% in CWP/+BL compared to CWP/−BL (p = 0.065). As expected, the probiotic inclusion had a more pronounced effect on Bacillus spp. in the SBM/+BL group (p = 0.063); also, in the CWP/+BL treatment, an increase of 21.70% vs. the SBM/+BL group was noted. Harmful microbes such as E. coli in ileum content were significantly influenced by BL addition (p < 0.05). An exhibited decrease was noted in CWP/+BL (CWP/+BL, p = 0.005). Further, the presence of BL seems to counteract the potential reduction in Enterococcus spp. (p > 0.05). However, the interaction between BL and protein diet sources reaches statistical significance (p ≤ 0.05) and is particularly more evident for LAB, Coliforms, Bacillus spp., and E. coli counts. This indicates that the combination of BL with SBM and CWP develops a significant impact on microbial populations in the ileum content of broilers.
Regarding the cecum area, the population size of LABs from treatment groups/+BL inclusion involves a slow improvement (p > 0.05). Also, the product inclusion led to a decrease in the number of Coliforms (p > 0.05), Clostridium spp. (SBM/±BL, p = 0.001; CWP/−BL vs. SBM/+BL, p = 0.002), and Enterococcus spp. (SBM/± BL, p ≤ 0.05). The inclusion of BL in bird diets involved lower microbial counts, especially for E. coli (SBM/−BL vs. SBM/+BL, p = 0.001). More significant differences were noted for Bacillus spp. generated by BL administration (CWP/+BL vs. CWP/−BL, p = 0.065; SBM/+BL vs. SBM/−BL, p = 0.0001) than those in SBM and CWP groups without product addition (p > 0.05).
The results of the feces bacterial population of broilers at 42 d are shown in Figure 2. As can be observed, the LAB and Enterobacteriaceae populations in all treatment groups showed similar growth rates (p > 0.05). Regarding the Staphylococcus spp., the feed supplementation with BL decreased the count number (p = 0.0001).

3.5. Measurement of Intestinal pH

The inclusion of BL as a dietary probiotic resulted in higher pH values in the ileum content of broilers compared to SBM/-BL (p > 0.05) (Figure 3). Conversely, the pH values of CWP/−BL were significantly lower (p < 0.05) vs. CWP/+BL. Moreover, the pH differed between SBM groups in the cecum broiler segment (p < 0.05); the pH data from CWP/+BL involved a decrease vs. CWP/−BL (p > 0.05).

4. Discussion

In recent decades, probiotics have been widely studied and incorporated into chicken feed as natural additives to support poultry health [33]. These probiotics enhance the viability of beneficial bacteria, promoting a balanced intestinal microbiota that is crucial for digestion and nutrient absorption [6,9,18,21]. Additionally, protein source supplementation has emerged as another important factor in improving poultry growth and feed efficiency [27,30]. The combined use of probiotics and protein sources may offer synergistic effects, promoting both the balance of intestinal microbiota and efficient nutrient utilization, thereby improving overall poultry health and productivity [31].
Bacillus licheniformis ATCC 21424, the strain used in this study, was selected as a potential candidate based on its properties and capabilities and was prepared to act as probiotic bacteria in broilers’ diets [32]. The present study was focused on evaluating the efficacy of BL in promoting a balance of microbiota and intestinal pH values, supporting, by the end, as a natural alternative, the growth and health of broilers. By exploring these aspects, the aim was to provide valuable insights into using BL as a sustainable and effective probiotic solution for enhancing poultry health and productivity.
Cowpeas, like other legumes, are recognized for their relatively high protein content, which enhances the nutritional profile of starchy tuber-based diets. The crude protein (CP) level of 28.8% and fiber content of 5.1% found in the recent study align well with values reported in other studies in the literature, which generally range from 20% to 30% for protein content [8,34,35,36]. Instead, the high protein content of CWP makes them an excellent substrate for producing protein hydrolysates providing peptides and free AAs, which are essential nutrients for the growth and metabolic activity of Bacillus probiotics. These nutrients help the probiotics to thrive in the gut, enhancing their ability to maintain a balanced microbial population [14]. Moreover, the hydrolysates, by offering a readily available source of nitrogen and energy, promote the proliferation of Bacillus species, which in turn enhances digestion and nutrient absorption through enzyme production [37]. This interaction directly supports the previously mentioned benefits of spore-based probiotics, such as improved feed conversion efficiency, better growth rates, and overall enhanced health of poultry. The synergy between CWP protein hydrolysates and Bacillus probiotics thus contributes to maintaining gut health and boosting immune function, ultimately leading to higher productivity and better-quality meat in broiler chickens. Moreover, environmental factors, CWP variety, and growing conditions influence the chemical composition of hydrolysates, adding another dimension to their effectiveness in poultry diets [38]. In addition to their direct benefits, CWP seeds improve the overall nutritional quality of diets when combined with cereals, creating complementary protein mixtures [8]. Furthermore, as indicated in Table 2, the apparent metabolizable energy (AME) values of CWP seeds observed in the recent study are comparable to those reported in earlier literature [35]. This similarity in AME values underscores the consistency of CWP seeds as a reliable energy source in animal feed, supporting their continued use in diverse dietary formulations.
The AA composition of CWP further highlights its value as a dietary ingredient in poultry nutrition. In addition to high levels of arginine, leucine, and lysine, which are crucial for growth, immune function, and overall health, cowpea seeds also contain significant amounts of other essential amino acids (EAAs) such as valine, isoleucine, and threonine [39]. Analyzing the AA concentrations revealed that essential amino acids (EAAs) comprised 133.10% of the total AAs in CWP, while non-essential amino acids (NEAAs) accounted for 139.70%, yielding an EAA-to-NEAA ratio of 0.95. Our ratio suggests a good balance, making them a versatile protein source that can be successfully incorporated into poultry diets. Consistent with the typical characteristics of legumes, CWP was found to have high levels of arginine, leucine, and lysine (27.20%, 22.50%, and 19.20% of DM), which are essential for promoting growth, supporting immune function, and maintaining overall health in poultry [40]. However, to achieve optimal nutrition, it may be necessary to supplement these seeds with other protein sources to balance AAs such as methionine, which is relatively lower in cowpea seeds, enhancing overall dietary quality.
Previous studies have indicated that supplementing with probiotics can enhance growth performance and improve feed utilization in chickens [9,41,42,43]. Known for their stability and resistance to harsh environmental conditions [44], these probiotics have been shown to significantly improve the feed conversion efficiency, growth rates, bird health [8,9,41], and better-quality meat of broiler chickens [35,45].
Spore-based Bacillus probiotics, such as B. licheniformis, have been used successfully in poultry feed due to their high environmental tolerance, easy storage, and ability to enhance growth performance and optimize the microbial profile within the gastrointestinal tract (GIT) of broilers [46]. This bacterium is particularly effective due to its capacity to produce a variety of beneficial compounds [47], including enzymes, antimicrobials, and other bioactive substances that promote gut health, improving digestion and nutrient absorption [48]. Moreover, these bacteria can form endospores (spores) involving a highly resilient structure, allowing them to survive the gastric barrier and enzymatic challenges of the broiler’s GIT [49]. In the present study, we observed that the BW of broilers fed with BL was improved during the overall period. Our data showed consistency with ref. [9], who found that the inclusion of Bacillus spp. promotes an increase in broiler performances. The absence of notable differences in BW, FI, and FCR, as presented in Table 3, aligns with findings from comparable studies investigating the effects of different types of CWP used as alternative protein sources or probiotics on broiler growth [8,41]. Instead, ref. [8] affirmed that different levels of CWP (0–20%) did not affect broiler performance, indicating that CWP can be used as a protein source and can successfully replace the SBM. Moreover, Embaye et al. [8] found that including different levels of CWP in broiler diets, up to 20%, did not negatively affect their performance. Also, probiotic addition in broiler diets containing CWP increased BW and FCR compared to the birds without probiotic inclusion. Moreover, other studies have demonstrated the efficiency of dietary B. licheniformis or Bacillus subtilis supplementation, showing that it can improve broiler growth parameters [21,50]. One hypothesis suggests that enhanced growth performance could be linked to beneficial metabolites produced by B. licheniformis, including its ability to produce a broad range of extracellular enzymes that enhance digestive processes. Additionally, our results showed that improvements in broilers’ BW over the entire period were significantly greater in the BL supplement groups than those without probiotic inclusion. This suggests that CWP inclusion of up to 15% can be effectively used as a partial substitute for SBM in poultry diets without compromising growth, feed efficiency, or overall broiler health [9]. However, if a higher replacement level is desired, the feed formulation may need to be adjusted with AA supplementation, anti-nutritional factor reduction, and energy-balancing strategies to avoid any potential negative effects on poultry performance.
Carcass characteristics provide important indices in broiler production [51], especially when following the meat performance of broilers [41]. In our report, BL significantly decreased the abdominal fat of broiler chickens, a result that is in line with other studies [9,51,52]. Moreover, abdominal fat is an important index used to measure lipid deposition in broilers [53]. The addition of BL to broiler diets did not significantly alter the breast and leg yield compared to diets without probiotics. According to our data, Sarangi et al. [54] reported that the percentage of carcass yield in broiler chickens did not significantly increase with probiotic inclusion compared to the control group. Various other studies showed that Bacillus spp. or other probiotic products involve beneficial effects on different organ weights [21,43,55]. Our results showed that BL inclusion was more effective on birds’ cecum weight.
Introducing Bacillus species into broiler diets can positively influence bone mineralization, which is essential for maintaining skeletal health and preventing leg disorders [56]. Bacillus species produce enzymes like phytases [57] that enhance the bioavailability of minerals such as Ca and P, which are vital for the growth and development of broilers, particularly in bone formation and mineralization. The enhanced bioavailability and distribution of these minerals, facilitated by the enzymatic activity of Bacillus bacteria, contribute to stronger and healthier bone structures. This aspect is very important for bone tibial growth, a key indicator of skeletal health in broilers [58]. In the current research, the inclusion of BL improved several bone quality traits such as increased Fe, P, and Zn content, and a reduction in the Ca:P ratio. Further, the Ca:P ratio plays a crucial role in broiler health, working synergically to create strong bone development, skeletal integrity, and overall metabolic function. If the Ca is in excess, P absorption can be impaired, which can lead to chondroplasia and/or osteoporosis in broiler chickens, as shown by Liu et al. 2023 [59]. Conversely, if the Ca:P ratio is deficient (excess P), Ca may not be adequately available for bone mineralization, causing conditions like rickets, where bones become soft and brittle, due to the disorders in the body’s mineral metabolism [59]. These improvements could result from the probiotic’s ability to secrete exogenous enzymes. Consistent with our findings, several studies have reported that dietary probiotic supplements containing Bacillus spp. benefit tibial bone growth [9,56,60]. The inclusion of Bacillus in animal diets promotes the secretion of exogenous enzymes, like phytases and proteases, that increase mineral availability. These enzymes are important in breaking down phytic acid and anti-nutritional factors commonly present in plant-based feeds [61]. When Bacillus species produce phytases, they break down phytic acid, freeing up Ca and P so they can be absorbed more effectively in the gut. Once absorbed, Ca and P are essential for bone mineralization and strength, particularly in the tibia, a key bone for structural integrity in broilers. Consistently, the addition of BL leads to better bone density, stronger tibial structures, and overall bone development in broilers.
Establishing microbial equilibrium within the GIT is crucial for maintaining optimal digestive function and effectively controlling potentially pathogenic microorganisms in the intestine of the host [62]. Each section of the GIT provides unique niches, with distinct environmental conditions like pH, oxygen availability, and nutrient composition, which shape the microbiota composition. For example, the inclusion of spore-forming probiotics (like Bacillus species) in poultry diets can significantly impact bacteria communities, potentially enhancing health, growth performance, and feed efficiency [63]. In the present study, it was found that 1 × 1011 CFUs of BL-ATCC 21424/g feed for 42 days provided beneficial effects on the concentration of LABs in the ileum content of both corn wheat protein (CWP) and soybean meal (SBM) groups. Several studies [33,41,44] have demonstrated that the inclusion of probiotics based on Bacillus spp. can significantly increase the proliferation of lactobacilli in the intestinal content of poultry. This positive effect is attributed to the ability of Bacillus-based probiotics and Bacillus species-fermented products to produce catalase enzyme, which helps create a more favorable environment for lactobacilli growth (106 to 108 CFU/g of intestinal content). This level of lactobacilli increase promotes better intestinal health by enhancing pathogen inhibition and nutrient absorption, leading to stronger immune responses and overall improved performance in broilers [64,65]. Additionally, the presence of lactobacilli supports balanced gut microbiota by outcompeting harmful bacteria, helping to maintain intestinal stability and prevent infections [66]. The diet supplemented with BL exerted a decrease in harmful bacteria. So, a balanced intestinal microbiota is essential for maintaining the structural integrity of the intestinal lining. Coliforms, Clostridium spp., E. coli β-hemolytic, and Enterococcus spp. developed a lower growth, especially in the groups with BL diet inclusions. Our study’s findings align closely with recent research that demonstrates the positive impact of probiotic supplementation on the gut microbiota of broilers [62,67]. Probiotic inclusion, particularly involving spore-forming bacteria, has been shown to significantly increase the population of viable LABs while concurrently reducing the number of pathogenic microorganisms in the animal GIT [67].
The cecum is an essential intestinal organ in broilers, hosting the most abundant and concentrated intestinal microbiota, which plays critical roles in various physiological and metabolic functions [68]. It is a key site for biological fermentation processes, including the production of short-chain fatty acids (SCFAs). Additionally, the gut microbiota in the cecum can ferment feed through diverse pathways, leading to the production of a range of metabolites [21]. In our study, the abundance of Clostridium spp. and Enterococcus spp. in the cecum area was significantly decreased by BL addition in the SBM/+BL treatment group. This is in accordance with previous studies that reported similar outcomes in broiler diets [44,69,70]. It has been demonstrated that disruptions to the normal intestinal microbiota can be restored with probiotic administration, which also helps animals resist infections by pathogenic bacteria [71]. Furthermore, previous studies found that Bacillus licheniformis can inhibit the proliferation of harmful bacteria by secreting some antimicrobial peptides or inhibiting biofilm formation [72,73]. The findings of the current research on intestinal microbiota populations showed that the dynamics of microorganisms are affected by the addition of BL as a probiotic in broiler diets, which significantly reduces the growth of pathogens. Once they reach the intestine, these spores germinate and colonize the gut effectively, establishing a beneficial microbial community that supports digestive health and inhibits the growth of pathogenic bacteria. This colonization not only enhances nutrient absorption and growth performance but also contributes to the overall health and well-being of the broilers, leading to improved production outcomes in poultry farming.
Dietary treatments did not involve a notable impact on the count of Lactobacilli and Enterobacteriaceae in broiler feces. Similarly, other probiotics did not have significant modulation on LAB count in broiler chickens [74]. Instead, the inclusion of BL in broiler diets involved a more pronounced effect on the size of Staphylococcus spp. in SBM and CWP groups at 42 d. These findings align with studies in the literature indicating that including Bacillus probiotics in broiler diets can reduce the number of E. coli, Salmonella, Clostridium, and Campylobacter counts, ultimately inhibiting their growth, followed by reducing the incidence of infections [75,76,77,78]. Also, all samples were found to be negative for Salmonella spp.
The pH of the poultry GIT is a dynamic characteristic influenced by multiple factors, such as feed composition, endogenous secretions (e.g., gastric acid, bile salts, pancreatic enzymes), and the gut microbiome [79]. The pH levels vary significantly across different sections of the GIT, ranging from 2.6 in the gizzard to 6.3 in the large intestine [80]. These variations are not only a normal physiological feature but also play a crucial role in the health and functionality of the gut, as many pathogens are highly sensitive to low pH levels. This sensitivity directly impacts their survival and proliferation, emphasizing the importance of maintaining appropriate pH conditions within the GIT. Our findings align with these observations and highlight the role of Bacillus-based probiotics (BL) in modulating pH levels in different parts of the poultry GIT. Specifically, the results indicate that the addition of Bacillus-based probiotics to diets containing SBM and CWP increased the pH in the ileum by 10% to 13% compared to groups without supplementation. This increase in ileum pH could be attributed to the metabolic activities of Bacillus spp. which may alter the fermentation profile and microbial composition within this segment, leading to a shift in pH. Conversely, a different effect was observed in the cecum, where the same Bacillus-based probiotic treatments resulted in a gradual pH reduction of 3% to 5%. This pH decrease can be explained by the production of lactic acid and other organic acids by Bacillus species during fermentation. The production of these acids lowers the pH of the intestinal environment, creating conditions that inhibit the growth of pathogenic bacteria and favor the proliferation of beneficial microbiota, such as Lactobacilli [81]. This shift in microbial populations can improve gut integrity, immune function, and nutrient utilization over time. In terms of long-term effects, maintaining a stable and favorable gut environment through pH modulation has been linked to improved FCR, reduced disease incidence, and enhanced overall productivity in broilers. By lowering pathogenic load and improving nutrient absorption, these pH changes contribute to better growth rates, healthier flocks, and higher-quality meat production. Thus, while pH changes alone may seem minor, they are integral to sustaining long-term gut health and productivity in broilers. The ability of probiotics to manage pH levels and reduce the population of harmful pathogens is a critical aspect of maintaining a balanced gut microbiome. By enhancing the gut’s natural acidity, probiotics create an environment less favorable for pathogenic bacteria such as E. coli and more conducive to beneficial bacteria like LABs [82]. Although Bacillus licheniformis, a commonly used probiotic, is not a native component of the chicken’s intestinal flora and does not colonize the GIT for extended periods, it quickly consumes oxygen and reduces pH levels. The findings of our study suggest that managing the pH levels within the poultry GIT through targeted dietary strategies, including the use of probiotics, is essential for promoting gut health and reducing the risk of infections. However, further research is needed to fully understand the mechanisms by which probiotics influence pH in various sections of the GIT and to determine the optimal types and dosages of probiotics for specific dietary formulations. Additionally, studies should explore the long-term effects of such dietary interventions on poultry health and productivity. In conclusion, our study supports the use of Bacillus-based probiotics as an effective strategy for modulating gut pH and promoting a healthier gut environment in poultry. By creating conditions that inhibit pathogens and support beneficial microbiota, these probiotics can play a significant role in improving overall gut health and potentially enhancing poultry performance.

5. Conclusions

Cowpea seeds (V. unguiculata [L.] Walp, cv. Aura) can effectively serve as an alternative protein source to replace SBM in broiler chick diets, with inclusion levels of up to 15% showing no negative effects on bird growth. Cowpea is an important source of nutrients (AAs such as lysine and tryptophan) and bioactive compounds, such as fiber. The addition of B. licheniformis ATCC 21424 (10 Log10 CFUs) improved GP, which was associated with a slight increase in FI and a reduction in abdominal fat. The probiotic affected bone mineralization by increasing tibia Fe and P content. Additionally, the inclusion of BL positively influenced the GIT microbiota by promoting the growth of beneficial bacteria (Lactobacillus and Bacillus spp.), while suppressing potential pathogens (E. coli and Coliforms). Considering these findings, supplementation with BL demonstrates promising potential as a probiotic in poultry feed by enhancing growth performance, supporting bone mineralization, and positively impacting the microbiota profile.

Author Contributions

Conceptualization, M.D. and G.C.; methodology, M.D. and G.C.; software, M.D., N.A.L. and G.C.; validation, M.D. and G.C.; formal analysis, M.D., N.A.L. and G.C.; investigation, M.D., G.C. and R.D.; resources, M.D., R.D. and G.C.; data curation M.D.; writing—original draft preparation, M.D.; writing—review and editing, M.D.; project administration, M.D. and G.C.; funding acquisition, M.D. and G.C. All authors have read and agreed to the published version of the manuscript.

Funding

This research was funded by the Romanian Ministry of Agriculture and Rural Development (Project ADER 8.1.7) and the Ministry of Research, Innovation, and Digitalization (Project PN23-20.04.01).

Institutional Review Board Statement

This study was conducted according to the experimental protocol (no. 5183/08.05.2018) approved by the Ethics Commission of the National Research–Development Institute for Animal Biology and Nutrition and complied with European Directive (2010/63/EU) and Law 43/04.2014 on the protection of animals used for scientific purposes.

Data Availability Statement

The original contributions presented in the study are included in the article; further inquiries can be directed to the corresponding author.

Conflicts of Interest

The authors declare no conflicts of interest.

References

  1. Muscat, A.; De Olde, E.M.; de Boer, I.J.; Ripoll-Bosch, R. The battle for biomass: A systematic review of food-feed-fuel competition. Glob. Food Secur. 2019, 25, 100330. [Google Scholar] [CrossRef]
  2. Zhai, W.; Peebles, E.D.; Zumwalt, C.D.; Mejia, L.; Corzo, A. Effects of dietary amino acid density regimens on growth performance and meat yield of Cobb × Cobb 700 broilers. J. Appl. Poult. Res. 2013, 22, 447–460. [Google Scholar] [CrossRef]
  3. Maidala, A.; Dass, Y.H. Utilization of cowpea seeds (Vigna Unguiculata (L) Walp) by Broiler chickens: An overview. Res. J. Food Sci. Qual. Control 2017, 3, 50–56. [Google Scholar]
  4. Bumhira, E.; Madzimure, J. Effect of incorporating Cowpea (Vigna unguiculata) Meal into broiler diets on environmental pollution by nitrogen from poultry excreta: A Review. J. Agric. Chem. Environ. 2023, 12, 84–92. [Google Scholar] [CrossRef]
  5. Ciurescu, G.; Idriceanu, L.; Gheorghe, A.; Ropotă, M.; Drăghici, R. Meat quality in broiler chickens fed on cowpea (Vigna unguiculata [L.] Walp) seeds. Sci. Rep. 2022, 12, 9685. [Google Scholar] [CrossRef] [PubMed]
  6. Kana, J.R.; Teguia, A.; Fomekong, A. Effect of substituting soybean meal with cowpea (Vigna unguiculata WAL) supplemented with natural plant charcoals in broiler diet on growth performances and carcass characteristics. Iran. J. Appl. Anim. Sci. 2012, 2, 377–381. [Google Scholar]
  7. Abdelgani, A.A.; Abdelatti, K.A.; Elamin, K.M.; Dafalla, K.Y.; Malik, H.; Dousa, B.M. Effect of dietary cowpea (Vigna unguiculata) seeds on the performance of broiler chicks. Wayamba J. Anim. Sci. 2013, 1, 678–684. [Google Scholar]
  8. Embaye, T.N.; Ameha, N.; Yusuf, Y. Effect of cowpea (Vigna unguiculata) grain on growth performance of Cobb 500 broiler chickens. Int. J. Livest. Prod. 2018, 9, 326–333. [Google Scholar] [CrossRef]
  9. Ciurescu, G.; Dumitru, M.; Gheorghe, A.; Untea, A.E.; Drăghici, R. Effect of Bacillus subtilis on growth performance, bone mineralization, and bacterial population of broilers fed with different protein sources. Poult. Sci. 2020, 99, 5960–5971. [Google Scholar] [CrossRef]
  10. Soul, W. Effects of Vigna unguiculata and Lablab purpureus on Methanogenesis, Haematological Parameters and the Quality of Meat from Xhosa Lop Ear Goats. Ph.D. Thesis, University of Fort Hare, Alice, South Africa, 17 April 2024. [Google Scholar]
  11. Pottorff, M.; Ehlers, J.D.; Fatokun, C.; Roberts, P.A.; Close, T.J. Leaf morphology in Cowpea [Vigna unguiculata (L.) Walp]: QTL analysis, physical mapping and identifying a candidate gene using synteny with model legume species. BMC Genom. 2012, 13, 234. [Google Scholar] [CrossRef]
  12. Gutema, T.; Tolesa, G.N. Effects of traditional processing techniques on nutritional quality and sensory acceptability of value-added products made from cowpea (Vigna unguiculata L. walp.) produced in Ethiopia. J. Food Nutr. Res. 2024, 8, 32–43. [Google Scholar] [CrossRef]
  13. Akuru, E.A.; Ani, A.O.; Orji, J.A.; Oyeagu, C.E.; Osita, C.O.; Idamokoro, M.E.; Ogwuegbu, M.C.; Lewu, F.B. Nutrient digestibility, growth, carcass, and bio-marker traits of weaner rabbits fed diets containing graded levels of cowpea (Vigna unguiculata) hull meal. J. Appl. Anim. Res. 2021, 49, 39–45. [Google Scholar] [CrossRef]
  14. Tolba, S.A.; Amer, S.A.; Gouda, A.; Osman, A.; Sherief, W.R.; Ahmed, A.I.; El-Rahmanf, G.I.A.; Abdel-Warith, A.-W.A.; Younis, E.M.; Davies, S.J.; et al. Potential use of cowpea protein hydrolysate as a dietary supplement in broiler chickens: Effects on growth, intestinal morphology, muscle lipid profile, and immune status. Ital. J. Anim. Sci. 2023, 22, 1204–1218. [Google Scholar] [CrossRef]
  15. Asare, A.T.; Agbemafle, R.; Adukpo, G.E.; Diabor, E.; Adamtey, K.A. Assessment of functional properties and nutritional composition of some cowpea (Vigna unguiculata L.) genotypes in Ghana. J. Appl. Behav. Sci. 2013, 8, 465–469. [Google Scholar]
  16. Baptista, A.; Pinho, O.; Pinto, E.; Casal, S.; Mota, C.; Ferreira, I.M. Characterization of protein and fat composition of seeds from common beans (Phaseolus vulgaris L.), cowpea (Vigna unguiculata L. Walp) and bambara groundnuts (Vigna subterranea L. Verdc) from Mozambique. J. Food Meas. Charact. 2017, 11, 442–450. [Google Scholar] [CrossRef]
  17. Duranti, M. Grain legume proteins and nutraceutical properties. Fitoterapia 2006, 77, 67–82. [Google Scholar] [CrossRef]
  18. Dumitru, M.; Hăbeanu, M.; Sorescu, I.; Tabuc, C. Effects of Bacillus spp. as a supplemental probiotic in diets for weaned piglets. S. Afr. J. Anim. Sci. 2021, 51, 578–586. [Google Scholar] [CrossRef]
  19. Naghibi, F.; Aliakbarpour, H.R.; Rezaeipour, V. Effects of different sources of probiotics on performance, carcass, intestinal morphology and bone characteristics in broiler chickens. Iran. J. Appl. Anim. Sci. 2023, 13, 535–543. [Google Scholar]
  20. Aziz Mousavi, S.M.A.; Mahmoodzadeh Hosseini, H.; Mirhosseini, S. A review of dietary probiotics in poultry. J. Appl. Biotechnol. Rep. 2018, 5, 48–54. [Google Scholar] [CrossRef]
  21. Xu, Y.; Yu, Y.; Shen, Y.; Li, Q.; Lan, J.; Wu, Y.; Zhang, R.; Cao, G.; Yang, C. Effects of Bacillus subtilis and Bacillus licheniformis on growth performance, immunity, short chain fatty acid production, antioxidant capacity, and cecal microflora in broilers. Poult. Sci. 2021, 100, 101358. [Google Scholar] [CrossRef]
  22. Alagawany, M.; Abd El-Hack, M.E.; Farag, M.R.; Sachan, S.; Karthik, K.; Dhama, K. The use of probiotics as eco-friendly alternatives for antibiotics in poultry nutrition. Environ. Sci. Pollut. Res. 2018, 25, 10611–10618. [Google Scholar] [CrossRef] [PubMed]
  23. Santacroce, L.; Charitos, I.A.; Bottalico, L. A successful history: Probiotics and their potential as antimicrobials. Expert Rev. Anti-Infect. Ther. 2019, 17, 635–645. [Google Scholar] [CrossRef] [PubMed]
  24. Czech, A.; Merska-Kazanowska, M.; Całyniuk, Z. Redox status, biochemical parameters and mineral elements content in blood of turkey hens fed a diet supplemented with Yarrowia lipolytica yeast and two Bacillus species. Animals 2020, 10, 459. [Google Scholar] [CrossRef] [PubMed]
  25. Payne, J.; Bellmer, D.; Jadeja, R.; Muriana, P. The Potential of Bacillus species as probiotics in the food industry: A Review. Foods 2024, 13, 2444. [Google Scholar] [CrossRef]
  26. Hollensteiner, J.; Wemheuer, F.; Harting, R.; Kolarzyk, A.M.; Diaz Valerio, S.M.; Poehlein, A.; Brzuszkiewicz, E.B.; Nesemann, K.; Braus-Stromeyer, S.A.; Braus, G.H.; et al. Bacillus thuringiensis and Bacillus weihenstephanensis inhibit the growth of phytopathogenic Verticillium species. Front. Microbiol. 2017, 7, 2171. [Google Scholar] [CrossRef]
  27. Ciurescu, G.; Toncea, I.; Ropota, M.; Habeanu, M. Seeds composition and their nutrients quality of some pea (Pisum sativum L.) and lentil (Lens culinaris medik.) cultivars. Rom. Agric. Res. 2018, 35, 101–108. [Google Scholar] [CrossRef]
  28. Dumitru, M.; Sorescu, I.; Habeanu, M.; Tabuc, C.; Jurcoane, Ș. Preliminary characterization in vitro of Bacillus licheniformis strain for used as a dietary probiotic. Sci. Bull. Ser. F Biotechnol. 2019, 23, 164–172. [Google Scholar]
  29. Valdebouze, P.; Bergeron, E.; Gaborit, T.; Delort-Laval, J. Content and distribution of trypsin inhibitors and haemaglutinins in some legume seeds. Can. J. Plant Sci. 1980, 60, 695–701. [Google Scholar] [CrossRef]
  30. Elleithy, E.M.; Bawish, B.M.; Kamel, S.; Ismael, E.; Bashir, D.W.; Hamza, D.; Fahmy, K.N.E.D. Influence of dietary Bacillus coagulans and/or Bacillus licheniformis-based probiotics on performance, gut health, gene expression, and litter quality of broiler chickens. Trop. Anim. Health Prod. 2023, 55, 38. [Google Scholar] [CrossRef]
  31. Ren, H.; Vahjen, W.; Dadi, T.; Saliu, E.M.; Boroojeni, F.G.; Zentek, J. Synergistic effects of probiotics and phytobiotics on the intestinal microbiota in young broiler chicken. Microorganisms 2019, 7, 684. [Google Scholar] [CrossRef]
  32. Dumitru, M.; Sorescu, I.; Hăbeanu, M.; Tabuc, C.; Idriceanu, L.; Jurcoane, S. Preliminary characterisation of Bacillus subtilis strain use as a dietary probiotic bio-additive in weaning piglet. Food Feed. Res. 2018, 45, 203–211. [Google Scholar] [CrossRef]
  33. Al-Khalaifa, H.; Al-Nasser, A.; Al-Surayee, T.; Al-Kandari, S.; Al-Enzi, N.; Al-Sharrah, T.; Ragheb, G.; Al-Qalaf, S.; Mohammed, A. Effect of dietary probiotics and prebiotics on the performance of broiler chickens. Poult. Sci. 2019, 98, 4465–4479. [Google Scholar] [CrossRef] [PubMed]
  34. Abdel-Shafi, S.; Al-Mohammadi, A.R.; Osman, A.; Enan, G.; Abdel-Hameid, S.; Sitohy, M. Characterization and antibacterial activity of 7S and 11S globulins isolated from cowpea seed protein. Molecules 2019, 24, 1082. [Google Scholar] [CrossRef] [PubMed]
  35. Ciurescu, G.; Vasilachi, A.; Ropotă, M. Effect of dietary cowpea (Vigna unguiculata [L] walp) and chickpea (Cicer arietinum L.) seeds on growth performance, blood parameters and breast meat fatty acids in broiler chickens. Ital. J. Anim. Sci. 2022, 21, 97–105. [Google Scholar] [CrossRef]
  36. Manole, M.; Ciurescu, G.; Dumitru, M. The use of cowpeas ([L] Walp) in poultry diets: A review. Arch. Zootech. 2024, 27, 23–47. [Google Scholar] [CrossRef]
  37. Gómez, A.; Gay, C.; Tironi, V.; Avanza, M.V. Structural and antioxidant properties of cowpea protein hydrolysates. Food Biosci. 2021, 41, 101074. [Google Scholar] [CrossRef]
  38. Mfeka, N.; Mulidzi, R.A.; Lewu, F.B. Growth and yield parameters of three cowpea (Vigna unguiculata L. Walp) lines as affected by planting date and zinc application rate. S. Afr. J. Sci. 2019, 115, 1–9. [Google Scholar] [CrossRef]
  39. Affrifah, N.S.; Phillips, R.D.; Saalia, F.K. Cowpeas: Nutritional profile, processing methods and products—A review. Legum. Sci. 2022, 4, e131. [Google Scholar] [CrossRef]
  40. Abebe, B.K.; Alemayehu, M.T. A review of the nutritional use of cowpea (Vigna unguiculata L. Walp) for human and animal diets. J. Agric. Food Res. 2022, 10, 100383. [Google Scholar] [CrossRef]
  41. Lefter, N.A.; Gheorghe, A.; Habeanu, M.; Ciurescu, G.; Dumitru, M.; Untea, A.E.; Vlaicu, P.A. Assessing the effects of microencapsulated Lactobacillus salivarius and cowpea seed supplementation on broiler chicken growth and health status. Front. Vet. Sci. 2023, 10, 1279819. [Google Scholar] [CrossRef]
  42. Ahmat, M.; Cheng, J.; Abbas, Z.; Cheng, Q.; Fan, Z.; Ahmad, B.; Zhang, R. Effects of Bacillus amyloliquefaciens LFB112 on growth performance, carcass traits, immune, and serum biochemical response in broiler chickens. Antibiotics 2021, 10, 1427. [Google Scholar] [CrossRef] [PubMed]
  43. Abed, A.H.; Radwan, I.A.; Orabi, A.; Abdelaziz, K. The combined effects of probiotic CLOSTAT and Aviboost supplement on growth performance, intestinal morphology, and immune response of broiler chickens. Ger. J. Vet. Res. 2023, 3, 7–18. [Google Scholar] [CrossRef]
  44. Dumitru, M.; Vodnar, D.C.; Elemer, S.; Ciurescu, G.; Habeanu, M.; Sorescu, I.; Georgescu, S.E.; Dudu, A. Evaluation of non-encapsulated and microencapsulated lactic acid bacteria. Appl. Sci. 2021, 11, 9867. [Google Scholar] [CrossRef]
  45. Neveling, D.P.; Dicks, L.M.T. Probiotics: An antibiotic replacement strategy for healthy broilers and productive rearing. Probiotics Antimicrob. Proteins 2021, 13, 1–11. [Google Scholar] [CrossRef] [PubMed]
  46. Bromfield, J.I.; Niknafs, S.; Chen, X.; von Hellens, J.; Horyanto, D.; Sun, B.; Yu, L.; Tran, V.H.; Navarro, M.; Roura, E. The evaluation of next-generation probiotics on broiler growth performance, gut morphology, gut microbiome, nutrient digestibility, in addition to enzyme production of Bacillus spp. in vitro. Anim. Nutr. 2024, 18, 133–144. [Google Scholar] [CrossRef]
  47. Rambu, D.; Dumitru, M.; Ciurescu, G.; Vamanu, E. Solid-state fermentation using Bacillus licheniformis-driven changes in composition, viability and in vitro protein digestibility of oilseed cakes. Agriculture 2024, 14, 639. [Google Scholar] [CrossRef]
  48. Saggese, A.; Baccigalupi, L.; Ricca, E. Spore formers as beneficial microbes for humans and animals. Appl. Microbiol. 2021, 1, 498–509. [Google Scholar] [CrossRef]
  49. Fakhry, S.; Sorrentini, I.; Ricca, E.; De Felice, M.; Baccigalupi, L. Characterization of spore forming Bacilli isolated from the human gastrointestinal tract. J. Appl. Microbiol. 2008, 105, 2178–2186. [Google Scholar] [CrossRef]
  50. Sokale, A.O.; Menconi, A.; Mathis, G.F.; Lumpkins, B.; Sims, M.D.; Whelan, R.A.; Doranalli, K. Effect of Bacillus subtilis DSM 32315 on the intestinal structural integrity and growth performance of broiler chickens under necrotic enteritis challenge. Poult. Sci. 2019, 98, 5392–5400. [Google Scholar] [CrossRef]
  51. Tang, X.; Liu, X.; Liu, H. Effects of dietary probiotic (Bacillus subtilis) supplementation on carcass traits, meat quality, amino acid, and fatty acid profile of broiler chickens. Front. Vet. Sci. 2021, 8, 767802. [Google Scholar] [CrossRef]
  52. Khajeh Bami, M.; Afsharmanesh, M.; Ebrahimnejad, H. Effect of dietary Bacillus coagulans and different forms of zinc on performance, intestinal microbiota, carcass and meat quality of broiler chickens. Probiotics Antimicrob. Proteins 2020, 12, 461–472. [Google Scholar] [CrossRef] [PubMed]
  53. Wan, X.; Yang, Z.; Ji, H.; Li, N.; Yang, Z.; Xu, L.; Yang, H.; Wang, Z. Effects of lycopene on abdominal fat deposition, serum lipids levels and hepatic lipid metabolism-related enzymes in broiler chickens. Anim. Biosci. 2021, 34, 385–392. [Google Scholar] [CrossRef] [PubMed]
  54. Sarangi, N.R.; Babu, L.K.; Kumar, A.; Pradhan, C.R.; Pati, P.K.; Mishra, J.P. Effect of dietary supplementation of prebiotic, probiotic, and synbiotic on growth performance and carcass characteristics of broiler chickens. Vet. World 2016, 9, 313–319. [Google Scholar] [CrossRef] [PubMed]
  55. Park, J.H.; Kim, I.H. Supplemental effect of probiotic Bacillus subtilis B2A on productivity, organ weight, intestinal Salmonella microflora, and breast meat quality of growing broiler chicks. Poult. Sci. 2014, 93, 2054–2059. [Google Scholar] [CrossRef]
  56. Mohammed, A.A.; Zaki, R.S.; Negm, E.A.; Mahmoud, M.A.; Cheng, H.W. Effects of dietary supplementation of a probiotic (Bacillus subtilis) on bone mass and meat quality of broiler chickens. Poult. Sci. 2021, 100, 100906. [Google Scholar] [CrossRef]
  57. Latorre, J.D.; Hernandez-Velasco, X.; Wolfenden, R.E.; Vicente, J.L.; Wolfenden, A.D.; Menconi, A.; Bielke, L.R.; Hargis, B.M.; Tellez, G. Evaluation and selection of Bacillus species based on enzyme production, antimicrobial activity, and biofilm synthesis as direct-fed microbial candidates for poultry. Front. Vet. Sci. 2016, 3, 1–9. [Google Scholar] [CrossRef]
  58. Moyo, S.; Jaja, I.F.; Mopipi, K.; Masika, P.; Muchenje, V. Effect of graded levels of Imbrasia belina meal on blood lipid profile, bone morphometric and mineral content of broiler chickens. Anim. Feed. Sci. Technol. 2021, 271, 114736. [Google Scholar] [CrossRef]
  59. Liu, K.L.; He, Y.F.; Xu, B.W.; Lin, L.X.; Chen, P.; Iqbal, M.K.; Mehmood, K.; Huang, S.C. Leg disorders in broiler chickens: A review of current knowledge. Anim. Biotechnol. 2023, 34, 5124–5138. [Google Scholar] [CrossRef]
  60. Rizzoli, R.; Biver, E. Are probiotics the new calcium and vitamin D for bone health? Curr. Osteoporos. Rep. 2020, 18, 273–284. [Google Scholar] [CrossRef]
  61. Rizwanuddin, S.; Kumar, V.; Naik, B.; Singh, P.; Mishra, S.; Rustagi, S.; Kumar, V. Microbial phytase: Their sources, production, and role in the enhancement of nutritional aspects of food and feed additives. J. Agric. Res. 2023, 12, 100559. [Google Scholar] [CrossRef]
  62. Song, J.; Xiao, K.; Ke, Y.L.; Jiao, L.F.; Hu, C.H.; Diao, Q.Y.; Zou, X.T. Effect of a probiotic mixture on intestinal microflora, morphology, and barrier integrity of broilers subjected to heat stress. Poult. Sci. 2014, 93, 581–588. [Google Scholar] [CrossRef] [PubMed]
  63. Yadav, S.; Jha, R. Strategies to modulate the intestinal microbiota and their effects on nutrient utilization, performance, and health of poultry. J. Anim. Sci. Biotechnol. 2019, 10, 2. [Google Scholar] [CrossRef] [PubMed]
  64. Bonos, E.; Giannenas, I.; Sidiropoulou, E.; Stylianaki, I.; Tzora, A.; Skoufos, I.; Barbe, F.; Demey, V.; Christaki, E. Effect of Bacillus pumilus supplementation on performance, intestinal morphology, gut microflora and meat quality of broilers fed different energy concentrations. Anim. Feed Sci. Technol. 2021, 274, 114859. [Google Scholar] [CrossRef]
  65. Chen, J.Y.; Yu, Y.H. Bacillus subtilis-fermented products ameliorate the growth performance and alter cecal microbiota community in broilers under lipopolysaccharide challenge. Poult. Sci. 2021, 100, 875–886. [Google Scholar] [CrossRef]
  66. Ma, T.; Shen, X.; Shi, X.; Sakandar, H.A.; Quan, K.; Li, Y.; Jin, H.; Kwok, L.Y.; Zhang, H.; Sun, Z. Targeting gut microbiota and metabolism as the major probiotic mechanism-An evidence-based review. Trends Food Sci. Technol. 2023, 138, 178–198. [Google Scholar] [CrossRef]
  67. Fang, S.; Fan, X.; Xu, S.; Gao, S.; Wang, T.; Chen, Z.; Li, D. Effects of dietary supplementation of postbiotic derived from Bacillus subtilis ACCC 11025 on growth performance, meat yield, meat quality, excreta bacteria, and excreta ammonia emission of broiler chicks. Poult. Sci. 2024, 103, 103444. [Google Scholar] [CrossRef]
  68. Kamada, N.; Kim, Y.G.; Sham, H.P.; Vallance, B.A.; Puente, J.L.; Martens, E.C.; Núñez, G. Regulated virulence controls the ability of a pathogen to compete with the gut microbiota. Science 2012, 336, 1325–1329. [Google Scholar] [CrossRef]
  69. Mountzouris, K.C.; Tsirtsikos, P.; Kalamara, E.; Nitsch, S.; Schatzmayr, G.; Fegeros, K. Evaluation of the efficacy of a probiotic containing Lactobacillus, Bifidobacterium, Enterococcus, and Pediococcus strains in promoting broiler performance and modulating cecal microflora composition and metabolic activities. Poult. Sci. 2007, 86, 309–317. [Google Scholar] [CrossRef]
  70. Park, J.H.; Yun, H.M.; Kim, I.H. The effect of dietary Bacillus subtilis supplementation on the growth performance, blood profile, nutrient retention, and caecal microflora in broiler chickens. J. Appl. Anim. Res. 2018, 46, 868–872. [Google Scholar] [CrossRef]
  71. Martin, F.P.J.; Wang, Y.; Sprenger, N.; Yap, I.K.S.; Lundstedt, T.; Lek, P.; Rezzi, S.; Ramadan, Z.; Nicholson, J.K. Probiotic modulation of symbiotic gut microbial-host metabolic interactions in a humanized microbiome mouse model. Mol. Syst. Biol. 2008, 4, 157. [Google Scholar] [CrossRef]
  72. Lin, Y.; Xu, S.; Zeng, D.; Ni, X.; Zhou, M.; Zeng, Y.; Li, G. Disruption in the cecal microbiota of chickens challenged with Clostridium perfringens and other factors was alleviated by Bacillus licheniformis supplementation. PLoS ONE 2017, 12, 182426. [Google Scholar] [CrossRef] [PubMed][Green Version]
  73. Arif, M.; Akteruzzaman, M.; Islam, S.S.; Das, B.C.; Siddique, M.P.; Kabir, S.L. Dietary supplementation of Bacillus-based probiotics on the growth performance, gut morphology, intestinal microbiota and immune response in low biosecurity broiler chickens. Vet. Anim. Sci. 2021, 14, 100216. [Google Scholar] [CrossRef] [PubMed]
  74. Hahn-Didde, D.; Purdum, S.E. Prebiotics and probiotics used alone or in combination and effects on pullet growth and intestinal microbiology. J. Appl. Poult. Res. 2016, 25, 1–11. [Google Scholar] [CrossRef]
  75. Zhang, L.; Cao, G.T.; Zeng, X.F.; Zhou, L.; Ferket, P.R.; Xiao, Y.P.; Chen, A.G.; Yang, C.M. Effects of Clostridium butyricum on growth performance, immune function, and cecal microflora in broiler chickens challenged with Escherichia coli K88. Poult. Sci. 2014, 93, 46–53. [Google Scholar] [CrossRef]
  76. Ding, J.; Dai, R.; Yang, L.; He, C.; Xu, K.; Liu, S.; Zhao, W.; Xiao, L.; Luo, L.; Zhang, Y.; et al. Inheritance and Establishment of gut microbiota in chickens. Front. Microbiol. 2017, 8, 1967. [Google Scholar] [CrossRef]
  77. Castañeda, C.D.; Gamble, J.N.; Wamsley, K.G.S.; McDaniel, C.D.; Kiess, A.S. In ovo administration of Bacillus subtilis serotypes effect hatchability, 21-day performance, and intestinal microflora. Poult. Sci. 2021, 100, 101125. [Google Scholar] [CrossRef]
  78. Luise, D.; Bosi, P.; Raff, L.; Amatucci, L.; Virdis, S.; Trevisi, P. Bacillus spp. probiotic strains as a potential tool for limiting the use of antibiotics, and improving the growth and health of pigs and chickens. Front. Microbiol. 2022, 13, 801827. [Google Scholar] [CrossRef]
  79. Reis, M.P.; Fassani, E.J.; Júnior, A.G.; Rodrigues, P.B.; Bertechini, A.G.; Barrett, N.; Persia, M.E.; Schmidt, C.J. Effect of Bacillus subtilis (DSM 17299) on performance, digestibility, intestine morphology, and pH in broiler chickens. J. Appl. Poult. Res. 2017, 26, 573–583. [Google Scholar] [CrossRef]
  80. Svihus, B. Function of the digestive system. J. Appl. Poult. Res. 2014, 23, 306–314. [Google Scholar] [CrossRef]
  81. Wang, J.; Yao, L.; Su, J.; Fan, R.; Zheng, J.; Han, Y. Effects of Lactobacillus plantarum and its fermentation products on growth performance, immune function, intestinal pH, and cecal microorganisms of Lingnan yellow chicken. Poult. Sci. 2023, 102, 102610. [Google Scholar] [CrossRef]
  82. Wu, B.Q.; Zhang, T.; Guo, L.Q.; Lin, J.F. Effects of Bacillus subtilis KD1 on broiler intestinal flora. Poult. Sci. 2011, 90, 2493–2499. [Google Scholar] [CrossRef]
Figure 1. Effects of dietary supplementation with Bacillus on the intestinal microbiota count of broiler chickens. Bars represent the mean SD. The use of distinct lowercase letters in the graph corresponds to the results of Tukey’s post hoc comparisons.
Figure 1. Effects of dietary supplementation with Bacillus on the intestinal microbiota count of broiler chickens. Bars represent the mean SD. The use of distinct lowercase letters in the graph corresponds to the results of Tukey’s post hoc comparisons.
Agriculture 14 02013 g001
Figure 2. Effects of dietary supplementation with Bacillus on the fecal microbiota count of broiler chickens. Bars represent the mean SD. The use of distinct lowercase letters in the graph corresponds to the results of Tukey’s post hoc comparisons.
Figure 2. Effects of dietary supplementation with Bacillus on the fecal microbiota count of broiler chickens. Bars represent the mean SD. The use of distinct lowercase letters in the graph corresponds to the results of Tukey’s post hoc comparisons.
Agriculture 14 02013 g002
Figure 3. Effects of dietary supplementation with Bacillus on the intestinal pH of broiler chickens. Bars represent the mean SD. The use of distinct lowercase letters in the graph corresponds to the results of Tukey’s post hoc comparisons.
Figure 3. Effects of dietary supplementation with Bacillus on the intestinal pH of broiler chickens. Bars represent the mean SD. The use of distinct lowercase letters in the graph corresponds to the results of Tukey’s post hoc comparisons.
Agriculture 14 02013 g003
Table 1. Ingredients and chemical compositions of the experimental diets.
Table 1. Ingredients and chemical compositions of the experimental diets.
StarterGrowerFinisher
(0 to 10 d)(11 to 24 d)(25 to 42 d)
SBMCWPSBMCWPSBMCWPs
Ingredients (%)
Corn55.7346.1256.6647.2864.2654.73
Soybean meal (45%) 33.1027.2031.5625.5025.1019.10
Corn gluten4.304.304.004.003.503.50
Cowpea (24%)0.0015.000.0015.000.0015.00
Soybean oil1.502.102.903.402.503.10
Monocalcium phosphate1.671.631.661.651.471.44
Calcium carbonate1.711.721.461.461.271.28
Salt (NaCl)0.280.280.280.280.280.28
L-lysine HCl0.320.240.170.100.290.22
DL-methionine0.310.330.230.250.260.28
Choline chloride (50%)0.080.080.080.080.070.07
Vitamin–mineral supplement 11.001.001.001.001.001.00
Bacillus licheniformis ATCC 21424 2 −/+−/+−/+−/+−/+−/+
Total ingredients100100100100100100
Calculated chemical composition
ME (MJ/kg)12.5612.5712.9812.9713.2013.21
Crude protein (%)23.023.022.022.019.5019.50
Lysine, total (%)1.401.401.321.241.161.16
Lysine, digestible1.341.341.181.161.051.04
Methionine + cysteine, total1.051.050.950.950.910.91
Methionine + cysteine, digestible0.970.970.870.860.840.83
Calcium (%)1.001.000.900.900.790.79
Available phosphorus (%)0.450.450.450.450.400.40
Crude fat4.385.105.776.405.576.29
Crude fiber2.853.272.793.202.613.02
Analyzed chemical composition (%)
Dry matter88.9788.5088.2088.7389.9589.98
Crude protein23.0922.9022.0522.1019.5819.60
Crude fat4.405.055.696.365.406.19
Crude fiber2.903.302.823.252.703.10
Calcium0.980.960.880.890.800.82
Total phosphorous0.790.750.760.780.730.75
Abbreviations: SBM, soybean meal; CWP, cowpea. 1 Supplied per kg diet: 12,000 IU vitamin A, 5000 IU vitamin D3, 75 mg vitamin E, 3 mg vitamin K3, 3 mg vitamin B1, 8 mg vitamin B2, 5 mg vitamin B6, 0.016 mg vitamin B12, 13 mg pantothenic acid, 55 mg nicotinic acid, 2 mg folic acid, 0.2 mg biotin, 120 mg Mn, 100 mg Zn, 40 mg Fe, 16 mg Cu, 1.25 mg I, 0.3 mg Se, 70 mg Monteban G100, 0.2 g Axtra PHY 5000 L (1000 FTU). 2 − = probiotic not included in the diet; + = probiotic included in the diet.
Table 2. Composition and amino acid content of cowpea seeds (cultivar Aura 26).
Table 2. Composition and amino acid content of cowpea seeds (cultivar Aura 26).
ItemCowpea
Nutrient (g/kg dry matter)
   Dry matter910
   Crude protein288
   Ether extract12.00
   Crude fiber51.00
   Ash45.00
   Nitrogen-free extract514
   Calcium1.10
   Phosphorous, total5.60
   AME (MJ/kg) 112.80
Amino acids (g/kg dry matter)Amount (g/kg)Relative to
lysine (%)
   Lysine19.20100
   Methionine + cysteine6.60 34
   Threonine12.80 66
   Arginine27.20 142
   Leucine22.50 117
   Isoleucine12.90 67
   Phenylalanine15.60 81
   Valine16.30 85
Essential amino acids (EAAs)133.10133.10
   Tyrosine8.7045
   Serine17.5091
   Glycine12.6065
   Alanine8.8046
   Aspartic acid37.40195
   Glutamic acid54.70285
Non-essential amino acids (NEAAs)139.70139.70
   Essential/non-essential AA ratio0.950.95
1 Calculated value; European Table of Energy Values for Poultry Feedstuffs (WPSA, 1989). AME = metabolizable energy.
Table 3. Effects of the diets with different protein sources without and with Bacillus licheniformis ATCC 21424 (BL) on performance variables (mean values 1) of broilers.
Table 3. Effects of the diets with different protein sources without and with Bacillus licheniformis ATCC 21424 (BL) on performance variables (mean values 1) of broilers.
ItemsProtein
Source
Probiotic
Inclusion 2
Starter (d 0–10)Grower (d 11–24)Finisher (d 25–42)Overall (d 0–42)
BWG (g)FI
(g)
FCR
(g/g)
BWG (g)FI
(g)
FCR
(g/g)
BWG (g)FI
(g)
FCR
(g/g)
FBW
(g)
BWG (g)FI
(g)
FCR
(g/g)
1SBMNo2442981.22769 b12451.621707 ab31801.86 a2765 ab2720 ab47251.74
2CWPNo2433001.23762 b12301.611677 b31401.87 a2727 b2682 b46701.74
3SBMYes2453001.22806 a12801.591733 a32051.86 a2783 ab2738 ab47951.75
4CWPYes2473031.23819 a12851.571785 a32251.82 b2851 a2806 a48231.72
SEM 37.609.700.0119.1325.500.0227.5436.500.0328.7723.1465.500.03
Main effects 4
Protein source (Ps)
SBM2442991.2278812631.61172031921.862774272947591.74
CWP 2453021.2379012581.59173131831.852789274447471.73
Probiotic inclusion (BL)
No2452991.23766 b12381.611692 b31601.87 a2746 b2701 b46971.74
Yes2463021.23812 a12821.581759 a32151.84 b2817 a2772 a48091.73
p-value
Ps effect0.5770.3170.3480.7640.5430.2440.2340.4540.7700.3430.3130.4460.654
BL effect0.6560.0980.9830.0100.3450.067 T0.0100.1150.0430.0240.0010.054 T0.535
Ps × BL effect0.7870.933 0.7570.3560.0890.7980.5530.2620.7550.0420.3530.5580.627
Abbreviation: SBM, soybean meal; CWP, cowpea; FBW, final body weight. 1 Data are means of 6 replicate pens with 20 birds per pen. 2 Bacillus licheniformis ATCC 21424 strain: 1 × 1011 CFU/g−1 feed. 3 SEM, standard error of the mean. 4 Data were analyzed as a 2 × 2 factorial arrangement. a,b Means with different superscripts in a row differ significantly (p < 0.05). T: the tendency to be influenced by treatment.
Table 4. Effects of the diets with different protein sources without and with Bacillus licheniformis ATCC 21424 (BL) on the carcass traits (mean values 1) of broilers (d 42).
Table 4. Effects of the diets with different protein sources without and with Bacillus licheniformis ATCC 21424 (BL) on the carcass traits (mean values 1) of broilers (d 42).
ItemsProtein SourceProbiotic Inclusion 2Carcass 5Breast 6Legs 6Abdominal,
Fat 6
Organs (g)SIW 7 (g)SIL 7 (cm)
Heart 6Liver 6Gizzard 6Pancreas 6Duodenum 6Jejunum 6Ileum 6Cecum 6Jejunum 7Ileum 7Cecum 7
1SBMNo72.4537.9627.701.780.602.851.810.220.842.922.350.774.294.251.82
2CWPNo71.9737.2527.401.540.532.871.830.260.963.402.430.854.524.391.70
3SBMYes72.5537.3427.551.720.543.101.900.240.932.942.500.744.224.371.75
4CWPYes72.3437.8227.851.430.592.791.820.270.903.332.550.704.454.441.69
SEM 30.670.530.440.090.010.260.090.050.090.170.160.110.150.170.13
Main effects 4
Protein source (Ps)
SBM72.5037.6527.621.75 a0.572.971.860.230.892.93 b2.430.764.264.311.78
CWP 72.1637.5427.631.49 b0.562.831.830.260.933.37 a2.490.784.484.421.70
Probiotic (BL)
No72.2137.6027.551.66 a0.572.861.820.240.903.162.390.81 a4.404.321.76
Yes72.4437.5826.701.57 b0.572.951.860.260.913.142.530.72 b4.344.411.72
p-value
Ps effect0.2530.9980.6220.0260.8580.1040.6320.1520.5370.0320.5540.2370.0840.6190.103
BL effect0.5520.6540.1220.0320.9940.2350.6430.2750.8660.4230.2010.0400.3650.6630.118
Ps × BL effect0.7890.2770.5050.6550.7850.1960.5220.6460.3520.2440.1190.2750.2240.7450.587
Abbreviation: SBM, soybean meal; CWP, cowpea; SIW, small intestine weight; SIL, small intestine length. 1 Data are means of 6 birds per treatment; 2 Bacillus licheniformis, ATCC 21424 strain: 5.0 × 1011 CFU/g−1 feed. 3 SEM, standard error of the mean. 4 Data were analyzed as a 2 × 2 factorial arrangement. 5 Represents the weight (g) without head, neck, feet, and viscera carcass as 100 g of live body weight. 6,7 Calculated as weight or length (g or cm) of organs as 100 g of carcass weight. a,b Means with different superscripts in a row differ significantly (p < 0.05).
Table 5. Effects of the diets with different protein sources with and without Bacillus licheniformis ATCC 21424 (BL) on tibia bone development and mineralization (mean values 1) of broilers (d 42).
Table 5. Effects of the diets with different protein sources with and without Bacillus licheniformis ATCC 21424 (BL) on tibia bone development and mineralization (mean values 1) of broilers (d 42).
ItemsProtein SourceProbiotic Inclusion 2Tibia, Weight 5Tibia, Length 5Ash, %Mineral Contents
Ca, mg/gP, mg/gFe, µg/gZn, µg/gCa:P Ratio
1SBMNo0.630.4657.02319.89167.41174.42346.371.91
2CWPNo0.640.4758.20319.36158.80195.45333.882.01
3SBMYes0.650.4757.38321.54166.27170.29356.481.93
4CWPYes0.680.4957.57325.33175.90204.03349.331.85
SEM 30.060.020.442.793.2727.8515.570.03
Main effects 4
Protein source (Ps)
SBM0.640.4757.20320.72166.84172.35 b354.431.92
CWP 0.660.4857.89322.34167.35199.74 a341.611.93
Probiotic (BL)
No0.640.4757.61319.63163.11 b184.93340.121.96 a
Yes0.670.4857.48323.44171.08 a187.16352.901.89 b
p-value
Ps effect0.4070.9820.7620.4230.3950.0440.1110.968
BL effect0.7540.9870.6430.5020.0270.3320.098 T0.001
Ps × BL effect0.5560.7710.4050.4960.5880.3770.3930.443
Abbreviation: SBM, soybean meal; CWP, cowpea. 1 Data are means of 6 birds per treatment. 2 Bacillus licheniformis, ATCC 21,424 strain: 5.0 × 1011 CFU/g−1 feed. 3 SEM, standard error of the mean. 4 Data were analyzed as a 2 × 2 factorial arrangement. 5 Represents the weight (g) without head, neck, feet, and viscera carcass as 100 g of live body weight. a,b Means with different superscripts in a row differ significantly (p < 0.05). T: the tendency to be influenced by treatment.
Disclaimer/Publisher’s Note: The statements, opinions and data contained in all publications are solely those of the individual author(s) and contributor(s) and not of MDPI and/or the editor(s). MDPI and/or the editor(s) disclaim responsibility for any injury to people or property resulting from any ideas, methods, instructions or products referred to in the content.

Share and Cite

MDPI and ACS Style

Dumitru, M.; Lefter, N.A.; Ciurescu, G.; Draghici, R. Effect of Bacillus licheniformis on Growth, Bone Mineralization, and Intestinal Microbiota in Broilers Fed Cowpea Diets. Agriculture 2024, 14, 2013. https://doi.org/10.3390/agriculture14112013

AMA Style

Dumitru M, Lefter NA, Ciurescu G, Draghici R. Effect of Bacillus licheniformis on Growth, Bone Mineralization, and Intestinal Microbiota in Broilers Fed Cowpea Diets. Agriculture. 2024; 14(11):2013. https://doi.org/10.3390/agriculture14112013

Chicago/Turabian Style

Dumitru, Mihaela, Nicoleta Aurelia Lefter, Georgeta Ciurescu, and Reta Draghici. 2024. "Effect of Bacillus licheniformis on Growth, Bone Mineralization, and Intestinal Microbiota in Broilers Fed Cowpea Diets" Agriculture 14, no. 11: 2013. https://doi.org/10.3390/agriculture14112013

APA Style

Dumitru, M., Lefter, N. A., Ciurescu, G., & Draghici, R. (2024). Effect of Bacillus licheniformis on Growth, Bone Mineralization, and Intestinal Microbiota in Broilers Fed Cowpea Diets. Agriculture, 14(11), 2013. https://doi.org/10.3390/agriculture14112013

Note that from the first issue of 2016, this journal uses article numbers instead of page numbers. See further details here.

Article Metrics

Back to TopTop