Optimal Relationship Between As and Cd in Porewater of Paddy Soils with Variations in pe + pH: Insight from Trade-Off Value Analysis
Abstract
1. Introduction
2. Materials and Methods
2.1. Incubation Experiment
2.1.1. Soil Preparation
2.1.2. Microcosm System Design
2.2. Sampling and Testing
2.2.1. Porewater Samples
2.2.2. Soil Samples
2.2.3. DOM Characteristic
2.3. Data Analysis
3. Results and Discussion
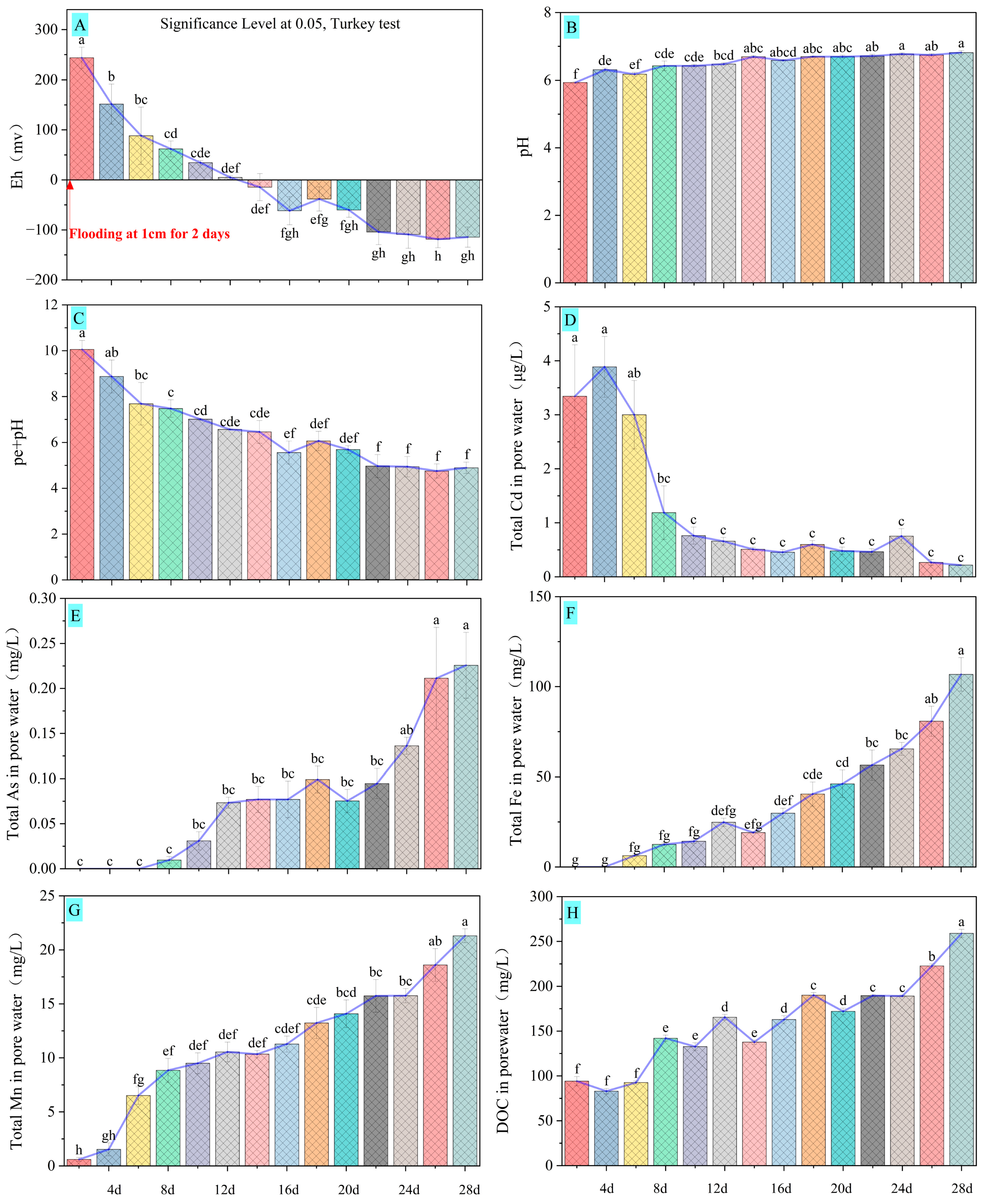
3.1. Dynamic Changes in the Dissolution of As and Cd During Flooding
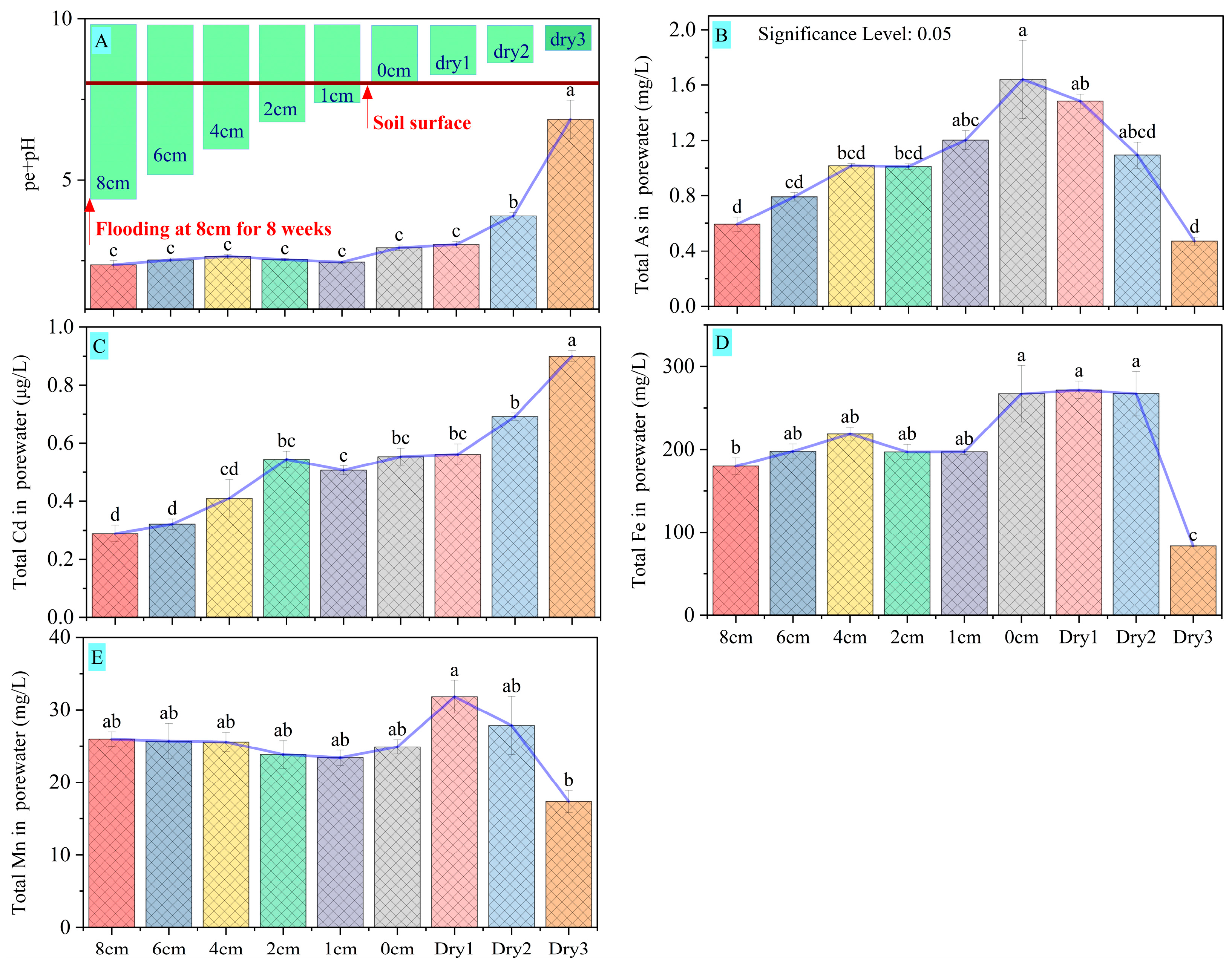
3.2. Response of As and Cd Dissolution to the Flooding Depth
3.3. DOM Characteristics in Porewater During the Duration of the Flooding
3.4. Optimal pe + pH for Simultaneously Decreasing Dissolved As and Cd
4. Conclusions
Supplementary Materials
Author Contributions
Funding
Institutional Review Board Statement
Data Availability Statement
Acknowledgments
Conflicts of Interest
References
- Dai, J.; Tang, Z.; Gao, A.X.; Planer-Friedrich, B.; Kopittke, P.M.; Zhao, F.J.; Wang, P. Widespread occurrence of the highly toxic dimethylated monothioarsenate (DMMTA) in rice clobally. Environ. Sci. Technol. 2022, 56, 3575–3586. [Google Scholar] [CrossRef] [PubMed]
- Zhao, F.J.; McGrath, S.P.; Meharg, A.A. Arsenic as a food chain contaminant: Mechanisms of plant uptake and metabolism and mitigation strategies. Annu. Rev. Plant Biol. 2010, 61, 535–559. [Google Scholar] [CrossRef] [PubMed]
- Yao, B.M.; Wang, S.Q.; Xie, S.T.; Li, G.; Sun, G.X. Optimal soil Eh, pH for simultaneous decrease of bioavailable Cd, As in co-contaminated paddy soil under water management strategies. Sci. Total Environ. 2022, 806, 151342. [Google Scholar] [CrossRef] [PubMed]
- Zhao, F.J.; Wang, P. Arsenic and cadmium accumulation in rice and mitigation strategies. Plant Soil 2020, 446, 1–21. [Google Scholar] [CrossRef]
- Ali, W.; Mao, K.; Zhang, H.; Junaid, M.; Xu, N.; Rasool, A.; Feng, X.B.; Yang, Z.G. Comprehensive review of the basic chemical behaviours, sources, processes, and endpoints of trace element contamination in paddy soil-rice systems in rice-growing countries. J. Hazard. Mater. 2020, 397, 122720. [Google Scholar] [CrossRef]
- Carrijo, D.R.; LaHue, G.T.; Parikh, S.J.; Chaney, R.L.; Linquist, B.A. Mitigating the accumulation of arsenic and cadmium in rice grain: A quantitative review of the role of water management. Sci. Total Environ. 2022, 839, 156245. [Google Scholar] [CrossRef]
- Yang, Q.Q.; Li, Z.Y.; Lu, X.N.; Duan, Q.N.; Huang, L.; Bi, J. A review of soil heavy metal pollution from industrial and agricultural regions in China: Pollution and risk assessment. Sci. Total Environ. 2018, 642, 690–700. [Google Scholar] [CrossRef]
- Chen, H.P.; Yang, X.P.; Wang, P.; Wang, Z.X.; Li, M.; Zhao, F.J. Dietary cadmium intake from rice and vegetables and potential health risk: A case study in Xiangtan, southern China. Sci. Total Environ. 2018, 639, 271–277. [Google Scholar] [CrossRef]
- Li, S.S.; Lei, X.Q.; Qin, L.Y.; Sun, X.Y.; Wang, L.F.; Zhao, S.W.; Wang, M.; Chen, S.B. Fe(III) reduction due to low pe + pH contributes to reducing Cd transfer within a soil-rice system. J. Hazard. Mater. 2021, 415, 125668. [Google Scholar] [CrossRef]
- Wang, J.; Wang, P.M.; Gu, Y.; Kopittke, P.M.; Zhao, F.J.; Wang, P. Iron-manganese (oxyhydro)oxides, rather than oxidation of sulfides, determine mobilization of cd during soil drainage in paddy soil systems. Environ. Sci. Technol. 2019, 53, 2500–2508. [Google Scholar] [CrossRef]
- Zhang, F.; Peng, R.; Wang, L.F.; Jiang, H.D. Iron and sulfur reduction caused by different growth seasons inhibits cadmium transfer in the soil-rice system. Ecotoxicol. Environ. Saf. 2022, 236, 113479. [Google Scholar]
- Miao, F.; Zhang, X.; Fu, Q.L.; Hu, H.Q.; Islam, M.S.; Fang, L.C.; Zhu, J. Sulfur enhances iron plaque formation and stress resistance to reduce the transfer of Cd and As in the soil-rice system. Sci. Total Environ. 2024, 927, 171689. [Google Scholar] [CrossRef] [PubMed]
- Qiao, J.T.; Li, X.M.; Li, F.B.; Liu, T.X.; Young, L.Y.; Huang, W.L.; Sun, K.; Tong, H.; Hu, M. Humic substances facilitate arsenic reduction and release in flooded paddy soil. Environ. Sci. Technol. 2019, 53, 5034–5042. [Google Scholar] [CrossRef] [PubMed]
- Li, B.; Zhang, T.; Zhang, Q.; Zhu, Q.H.; Huang, D.Y.; Zhu, H.H.; Xu, C.; Su, S.M.; Zeng, X.B. Influence of straw-derived humic acid-like substance on the availability of Cd/As in paddy soil and their accumulation in rice grain. Chemosphere 2022, 300, 134368. [Google Scholar] [CrossRef] [PubMed]
- Linam, F.; Limmer, M.A.; Tappero, R.; Seyfferth, A.L. Rice husk and charred husk amendments increase porewater and plant Si but water management determines grain As and Cd concentration. Plant Soil 2022, 477, 135–152. [Google Scholar] [CrossRef]
- Honma, T.; Ohba, H.; Kaneko-Kadokura, A.; Makino, T.; Nakamura, K.; Katou, H. Optimal soil Eh, pH, and water management for simultaneously minimizing arsenic and cadmium concentrations in rice grains. Environ. Sci. Technol. 2016, 50, 4178–4185. [Google Scholar] [CrossRef]
- Chi, Y.H.; Tam, N.F.Y.; Li, W.C.; Ye, Z.H. Multiple geochemical and microbial processes regulated by redox and organic matter control the vertical heterogeneity of As and Cd in paddy soil. Sci. Total Environ. 2022, 839, 156229. [Google Scholar] [CrossRef]
- Shen, B.B.; Wang, X.M.; Zhang, Y.; Zhang, M.; Wang, K.; Xie, P.; Ji, H.B. The optimum pH and Eh for simultaneously minimizing bioavailable cadmium and arsenic contents in soils under the organic fertilizer application. Sci. Total Environ. 2020, 711, 135229. [Google Scholar] [CrossRef]
- Yin, N.Y.; Li, Y.P.; Cai, X.L.; Du, H.L.; Wang, P.F.; Han, Z.L.; Sun, G.X.; Cui, Y.S. The role of soil arsenic fractionation in the bioaccessibility, transformation, and fate of arsenic in the presence of human gut microbiota. J. Hazard. Mater. 2020, 401, 123366. [Google Scholar] [CrossRef]
- Chen, S.B.; Chen, L.; Wang, D.; Wang, M. Low pe plus pH induces inhibition of cadmium sulfide precipitation by methanogenesis in paddy soil. J. Hazard. Mater. 2022, 437, 129297. [Google Scholar] [CrossRef]
- Yan, S.W.; Yang, J.H.; Si, Y.B.; Tang, X.J.; Ma, Y.H.; Ye, W.L. Arsenic and cadmium bioavailability to rice (Oryza sativa L.) plant in paddy soil: Influence of sulfate application. Chemosphere 2022, 307, 135641. [Google Scholar] [CrossRef] [PubMed]
- Yin, Y.P.; Wang, Y.R.; Ding, C.F.; Zhou, Z.G.; Tang, X.; He, L.Q.; Li, Z.Y.; Zhang, T.L.; Wang, X.X. Impact of iron and sulfur cycling on the bioavailability of cadmium and arsenic in co-contaminated paddy soil. J. Hazard. Mater. 2024, 465, 133408. [Google Scholar] [CrossRef] [PubMed]
- Wang, J.; Yu, L.; Qin, L.Y.; Sun, X.Y.; Zhou, W.N.; Wang, M.; Chen, S.B. Low pe + pH inhibits Cd transfer from paddy soil to rice tissues driven by S addition. Chemosphere 2023, 335, 139126. [Google Scholar] [CrossRef] [PubMed]
- Jiku, M.A.S.; Zeng, X.B.; Li, L.Y.; Li, L.J.; Zhang, Y.; Huo, L.J.; Shan, H.; Zhang, Y.; Wu, C.X.; Su, S.M. Soil ridge cultivation maintains grain As and Cd at low levels and inhibits As methylation by changing arsM-harboring bacterial communities in paddy soils. J. Hazard. Mater. 2022, 429, 128325. [Google Scholar] [CrossRef]
- GB15618-2018; Soil Environmental Quality Risk Control Standard for Soil Contamination of Agricultural Land. MEE: Beijing, China, 2018.
- Tian, X.S.; Chai, G.Q.; Lu, M.; Xiao, R.; Xie, Q.; Luo, L.Z. A new insight into the role of iron plaque in arsenic and cadmium accumulation in rice (Oryza sativa L.) roots. Ecotoxicol. Environ. Saf. 2023, 254, 114714. [Google Scholar] [CrossRef]
- Huang, H.; Chen, H.P.; Kretzschmar, R.; Zhao, F.J.; Wang, P. The voltaic effect as a novel mechanism controlling the remobilization of cadmium in paddy soils during drainage. Environ. Sci. Technol. 2021, 55, 1750–1758. [Google Scholar] [CrossRef]
- Wu, J.Z.; Li, Z.T.; Huang, D.; Liu, X.M.; Tang, C.X.; Parikh, S.J.; Xu, J.M. A novel calcium-based magnetic biochar is effective in stabilization of arsenic and cadmium co-contamination in aerobic soils. J. Hazard. Mater. 2020, 387, 122010. [Google Scholar] [CrossRef]
- Sun, T.; Xie, Q.; Li, C.X.; Huang, J.Y.; Yue, C.P.; Zhao, X.J.; Wang, D.Y. Inorganic versus organic fertilizers: How do they lead to methylmercury accumulation in rice grains. Environ. Pollut. 2022, 314, 120341. [Google Scholar] [CrossRef]
- Jiang, T.; Chen, X.X.; Wang, D.Y.; Liang, J.; Bai, W.Y.; Zhang, C.; Wang, Q.L.; Wei, S.Q. Dynamics of dissolved organic matter (DOM) in a typical inland lake of the Three Gorges Reservoir area: Fluorescent properties and their implications for dissolved mercury species. J. Environ. Manag. 2018, 206, 418–429. [Google Scholar] [CrossRef]
- Jiang, T.; Wang, D.Y.; Wei, S.Q.; Yan, J.L.; Liang, J.; Chen, X.S.; Liu, J.; Wang, Q.L.; Lu, S.; Gao, J.; et al. Influences of the alternation of wet-dry periods on the variability of chromophoric dissolved organic matter in the water level fluctuation zone of the Three Gorges Reservoir area, China. Sci. Total Environ. 2018, 636, 249–259. [Google Scholar] [CrossRef]
- Li, S.S.; Chen, S.B.; Wang, M.; Lei, X.Q.; Han, Y. Iron fractions responsible for the variation of Cd bioavailability in paddy soil under variable pe + pH conditions. Chemosphere 2020, 251, 126355. [Google Scholar] [CrossRef] [PubMed]
- Yamaguchi, N.; Nakamura, T.; Dong, D.; Takahashi, Y.; Amachi, S.; Makino, T. Arsenic release from flooded paddy soils is influenced by speciation, Eh, pH, and iron dissolution. Chemosphere 2011, 83, 925–932. [Google Scholar] [CrossRef] [PubMed]
- Zhang, H.; Shao, J.G.; Zhang, S.H.; Zhang, X.; Chen, H.P. Effect of phosphorus-modified biochars on immobilization of Cu (ii), Cd (ii), and As (v) in paddy soil. J. Hazard. Mater. 2019, 390, 121349. [Google Scholar] [CrossRef] [PubMed]
- Yu, H.Y.; Li, F.B.; Liu, C.S.; Huang, W.; Liu, T.X.; Yu, W.M. Iron redox cycling coupled to transformation and immobilization of heavy metals: Implications for paddy rice safety in the red soil of South China. Adv. Agron. 2016, 137, 279–317. [Google Scholar]
- Das, S.; Chou, M.L.; Jean, J.S.; Liu, C.C.; Yang, H.J. Water management impacts on arsenic behavior and rhizosphere bacterial communities and activities in a rice agro-ecosystem. Sci. Total Environ. 2016, 542, 642–652. [Google Scholar] [CrossRef]
- Qin, L.; Wang, L.; Zhao, S.; Sun, X.; Yu, L.; Wang, M.; Chen, S. A new insight into Cd reduction by flooding in paddy soil: The different dominant roles of Fe and S on Cd immobilization under fluctuant pe + pH conditions. Sci. Total Environ. 2022, 847, 157604. [Google Scholar] [CrossRef]
- Wiggenhauser, M.; Aucour, A.-M.; Bureau, S.; Campillo, S.; Telouk, P.; Romani, M.; Ma, J.F.; Landrot, G.; Sarret, G. Cadmium transfer in contaminated soil-rice systems: Insights from solid-state speciation analysis and stable isotope fractionation. Environ. Pollut. 2021, 269, 115934. [Google Scholar] [CrossRef]
- Ji, L.C.; Yu, Z.P.; Cao, Q.; Gui, X.Y.; Fan, X.J.; Wei, C.C.; Jiang, F.; Wang, J.; Meng, F.B.; Li, F.Y.; et al. Effect of hydrothermal temperature on the optical properties of hydrochar-derived dissolved organic matter and their interactions with copper (II). Biochar 2024, 6, 64. [Google Scholar] [CrossRef]
- Wang, J.J.; Liu, Y.; Bowden, R.D.; Lajtha, K.; Simpson, A.J.; Huang, W.L.; Simpson, M.J. Long-term nitrogen addition alters the composition of soil-derived dissolved organic matter. ACS Earth Space Chem. 2020, 4, 189–201. [Google Scholar] [CrossRef]
- Zhou, G.W.; Yang, X.R.; Li, H.; Marshall, C.W.; Zheng, B.X.; Yan, Y.; Su, J.Q.; Zhu, Y.G. Electron Shuttles Enhance Anaerobic Ammonium Oxidation Coupled to Iron(III) Reduction. Sci. Total Environ. 2016, 50, 9298–9307. [Google Scholar] [CrossRef]
- Huang, D.D.; Ge, Y.; Zhou, Q.S. Effect of redox processes on soil Cd activity under submerged conditions. Acta Sci. Circumstantiae 2009, 29, 373–380. (In Chinese) [Google Scholar]






Disclaimer/Publisher’s Note: The statements, opinions and data contained in all publications are solely those of the individual author(s) and contributor(s) and not of MDPI and/or the editor(s). MDPI and/or the editor(s) disclaim responsibility for any injury to people or property resulting from any ideas, methods, instructions or products referred to in the content. |
© 2024 by the authors. Licensee MDPI, Basel, Switzerland. This article is an open access article distributed under the terms and conditions of the Creative Commons Attribution (CC BY) license (https://creativecommons.org/licenses/by/4.0/).
Share and Cite
Tian, X.; Li, J.; Chai, G.; Luo, D.; Gong, Y.; Liu, H.; Xie, Q.; Li, G. Optimal Relationship Between As and Cd in Porewater of Paddy Soils with Variations in pe + pH: Insight from Trade-Off Value Analysis. Agriculture 2024, 14, 1933. https://doi.org/10.3390/agriculture14111933
Tian X, Li J, Chai G, Luo D, Gong Y, Liu H, Xie Q, Li G. Optimal Relationship Between As and Cd in Porewater of Paddy Soils with Variations in pe + pH: Insight from Trade-Off Value Analysis. Agriculture. 2024; 14(11):1933. https://doi.org/10.3390/agriculture14111933
Chicago/Turabian StyleTian, Xiaosong, Jiahang Li, Guanqun Chai, Dayong Luo, Yalong Gong, Huang Liu, Qing Xie, and Guanghui Li. 2024. "Optimal Relationship Between As and Cd in Porewater of Paddy Soils with Variations in pe + pH: Insight from Trade-Off Value Analysis" Agriculture 14, no. 11: 1933. https://doi.org/10.3390/agriculture14111933
APA StyleTian, X., Li, J., Chai, G., Luo, D., Gong, Y., Liu, H., Xie, Q., & Li, G. (2024). Optimal Relationship Between As and Cd in Porewater of Paddy Soils with Variations in pe + pH: Insight from Trade-Off Value Analysis. Agriculture, 14(11), 1933. https://doi.org/10.3390/agriculture14111933

