Evaluation of Biochar Addition to Digestate, Slurry, and Manure for Mitigating Carbon Emissions
Abstract
1. Introduction
2. Materials and Methods
3. Results and Discussion
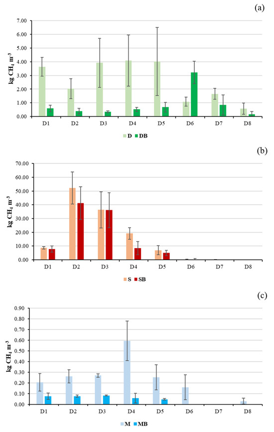
3.1. Emission Trends over Time
3.2. Cumulative CO2 and CH4 Emissions
3.3. Global Warming Potential
4. Conclusions
Author Contributions
Funding
Institutional Review Board Statement
Data Availability Statement
Conflicts of Interest
References
- IPCC. Climate Change 2022: Mitigation of Climate Change Contribution of Working Group III to the Sixth Assessment Report of the Intergovernmental Panel on Climate Change; Shukla, P.R., Skea, J., Slade, R., Al Khourdajie, A., van Diemen, R., McCollum, D., Pathak, M., Some, S., Vyas, P., Fradera, R., et al., Eds.; Cambridge University Press: Cambridge, UK; New York, NY, USA, 2022. [Google Scholar] [CrossRef]
- Ussiri, D.A.; Lal, R. Carbon Sequestration for Climate Change Mitigation and Adaptation; Springer: Cham, Switzerland, 2017; pp. 287–325. [Google Scholar]
- Awasthi, S.K.; Sarsaiya, S.; Awasthi, M.K.; Liu, T.; Zhao, J.; Kumar, S.; Zhang, Z. Changes in global trends in food waste composting: Research challenges and opportunities. Bioresour. Technol. 2020, 299, 122555. [Google Scholar] [CrossRef] [PubMed]
- Wang, G.; Liang, Y.; Zhang, Q.; Jha, S.K.; Gao, Y.; Shen, X.; Sun, J.; Duan, A. Mitigated CH4 and N2O emissions and improved irrigation water use efficiency in winter wheat field with surface drip irrigation in the North China Plain. Agric. Water Manag. 2016, 163, 403–407. [Google Scholar] [CrossRef]
- Różyło, K.; Bohacz, J. Microbial and enzyme analysis of soil after the agricultural utilization of biogas digestate and mineral mining waste. Int. J. Environ. Sci. 2020, 17, 1051–1062. [Google Scholar] [CrossRef]
- Alburquerque, J.A.; De la Fuente, C.; Campoy, M.; Carrasco, L.; Nájera, I.; Baixauli, C.; Caravaca, F.; Roldán, A.; Cegarra, J.; Bernal, M.P. Agricultural use of digestate for horticultural crop production and improvement of soil properties. Eur. J. Agron. 2012, 43, 119–128. [Google Scholar] [CrossRef]
- Schmidt, H.P.; Kammann, C.; Hagemann, N.; Leifeld, J.; Bucheli, T.D.; Sánchez Monedero, M.A.; Cayuela, M.L. Biochar in agriculture–A systematic review of 26 global meta-analyses. GCB Bioenergy 2021, 13, 1708–1730. [Google Scholar] [CrossRef]
- Efosa, N.; Krause, H.M.; Hüppi, R.; Krauss, M.; Vaucher, N.; Zourek, F.; Mayer, J.; Six, J.; Bünemann, E.K. Emissions of nitrous oxide and methane after field application of liquid organic fertilizers and biochar. Agric. Ecosyst. Environ. 2023, 356, 108642. [Google Scholar] [CrossRef]
- Jirka, S.; Tomlinson, T. State of the Biochar Industry 2014; International Biochar Initiative Report; 2015; Available online: https://biochar-international.org/wp-content/uploads/2018/11/ibi_state_of_the_industry_2014_final.pdf (accessed on 5 December 2023).
- Kammann, C.; Ippolito, J.; Hagemann, N.; Borchard, N.; Cayuela, M.L.; Estavillo, J.M.; Fuertes-Mendizabal, T.; Jeffery, S.; Kern, J.; Novak, J.; et al. Biochar as a tool to reduce the agricultural greenhouse-gas burden—Knowns, unknowns and future research needs. J. Environ. Eng. Landsc. Manag. 2017, 25, 114–139. [Google Scholar] [CrossRef]
- Saleem, A.M.; Ribeiro, G.O., Jr.; Yang, W.Z.; Ran, T.; Beauchemin, K.A.; McGeough, E.J.; Ominski, K.H.; Okine, E.K.; McAllister, T.A. Effect of engineered biocarbon on rumen fermentation, microbial protein synthesis, and methane production in an artificial rumen (RUSITEC) fed a high forage diet. J. Anim. Sci. 2018, 96, 3121–3130. [Google Scholar] [CrossRef]
- El-Naggar, A.; Lee, S.S.; Rinklebe, J.; Farooq, M.; Song, H.; Sarmah, A.K.; Zimmerman, A.R.; Ahmad, M.; Shaheen, S.M.; Ok, Y.S. Biochar application to low fertility soils: A review of current status and future prospects. Geoderma 2019, 337, 536–554. [Google Scholar] [CrossRef]
- Cayuela, M.L.; Van Zwieten, L.; Singh, B.P.; Jeffery, S.; Roig, A.; Sánchez-Monedero, M.A. Biochar’s role in mitigating soil nitrous oxide emissions: A review and meta-analysis. Agr. Ecosyst. Environ. 2014, 191, 5–16. [Google Scholar] [CrossRef]
- Lorenz, K.; Lal, R. Biochar application to soil for climate change mitigation by soil organic carbon sequestration. J. Plant Nutr. Soil Sci. 2014, 177, 651–670. [Google Scholar] [CrossRef]
- Ambrose, H.W.; Dalby, F.R.; Feilberg, A.; Kofoed, M.V. Additives and methods for the mitigation of methane emission from stored liquid manure. Biosyst. Eng. 2023, 229, 209–245. [Google Scholar] [CrossRef]
- Yanai, Y.; Toyota, K.; Okazaki, M. Effects of charcoal addition on N2O emissions from soil resulting from rewetting air-dried soil in short-term laboratory experiments. Soil Sci. Plant Nutr. 2007, 53, 181–188. [Google Scholar] [CrossRef]
- Van Zwieten, L.; Kimber, S.; Morris, S.; Downie, A.; Berger, E.; Rust, J.; Scheer, C. Influence of biochars on flux of N2O and CO2 from Ferrosol. Soil Res. 2010, 48, 555–568. [Google Scholar] [CrossRef]
- Jones, D.L.; Murphy, D.V.; Khalid, M.; Ahmad, W.; Edwards-Jones, G.; DeLuca, T.H. Short-term biochar-induced increase in soil CO2 release is both biotically and abiotically mediated. Soil Biol. Biochem. 2011, 43, 1723–1731. [Google Scholar] [CrossRef]
- Wang, J.; Pan, X.; Liu, Y.; Zhang, X.; Xiong, Z. Effects of biochar amendment in two soils on greenhouse gas emissions and crop production. Plant Soil 2012, 360, 287–298. [Google Scholar] [CrossRef]
- Rogovska, N.; Laird, D.; Cruse, R.; Fleming, P.; Parkin, T.; Meek, D. Impact of biochar on manure carbon stabilization and greenhouse gas emissions. Soil Sci. Soc. Am. J. 2011, 75, 871–879. [Google Scholar] [CrossRef]
- Feng, Y.Z.; Xu, Y.P.; Yu, Y.C.; Xie, Z.B.; Lin, X.G. Mechanisms of biochar decreasing methane emission from Chinese paddy soils. Soil Biol. Biochem. 2012, 46, 80–88. [Google Scholar] [CrossRef]
- Zheng, H.; Wang, Z.; Deng, X.; Herbert, S.; Xing, B. Impacts of adding biochar on nitrogen retention and bioavailability in agricultural soil. Geoderma 2013, 206, 32–39. [Google Scholar] [CrossRef]
- Case, S.D.; McNamara, N.P.; Reay, D.S.; Whitaker, J. Can biochar reduce soil greenhouse gas emissions from a M iscanthus bioenergy crop? GCB Bioenergy 2014, 6, 76–89. [Google Scholar] [CrossRef]
- Quin, P.; Joseph, S.; Husson, O.; Donne, S.; Mitchell, D.; Munroe, P.; Phelan, D.; Cowie, A.; Van Zwieten, L. Lowering N2O emissions from soils using eucalypt biochar: The importance of redox reactions. Sci. Rep. 2015, 5, 16773. [Google Scholar] [CrossRef]
- Cao, Y.; Wang, X.; Bai, Z.; Chadwick, D.; Misselbrook, T.; Sommer, S.G.; Qin, W.; Ma, L. Mitigation of ammonia, nitrous oxide and methane emissions during solid waste composting with different additives: A meta-analysis. J. Clean. Prod. 2019, 235, 626–635. [Google Scholar] [CrossRef]
- Xiao, Z.; Rasmann, S.; Yue, L.; Lian, F.; Zou, H.; Wang, Z. The effect of biochar amendment on N-cycling genes in soils: A meta-analysis. Sci. Total Environ. 2019, 696, 133984. [Google Scholar] [CrossRef] [PubMed]
- Al-Wabel, M.I.; Hussain, Q.; Usman, A.R.; Ahmad, M.; Abduljabbar, A.; Sallam, A.S.; Ok, Y.S. Impact of biochar properties on soil conditions and agricultural sustainability: A review. Land Degrad. Dev. 2018, 29, 2124–2161. [Google Scholar] [CrossRef]
- Mao, H.; Lv, Z.; Sun, H.; Li, R.; Zhai, B.; Wang, Z.; Awasthia, M.K.; Wang, Q.; Zhou, L. Improvement of biochar and bacterial powder addition on gaseous emission and bacterial community in pig manure compost. Bioresour. Technol. 2018, 258, 195–202. [Google Scholar] [CrossRef] [PubMed]
- Adviento-Borbe, M.A.; Pittelkow, C.M.; Anders, M.; van Kessel, C.; Hill, J.E.; McClung, A.M.; Six, J.; Linquist, B.A. Optimal fertilizer nitrogen rates and yield-scaled global warming potential in drill seeded rice. J. Environ. Qual. 2013, 42, 1623–1634. [Google Scholar] [CrossRef] [PubMed]
- Mukherjee, S.; Weihermueller, L.; Tappe, W.; Vereecken, H.; Burauel, P. Microbial respiration of biochar-and digestate-based mixtures. Biol. Fert. Soils 2016, 52, 151–164. [Google Scholar] [CrossRef]
- Hu, Y.; Thomsen, T.P.; Fenton, O.; Sommer, S.G.; Shi, W.; Cui, W. Effects of dairy processing sludge and derived biochar on greenhouse gas emissions from Danish and Irish soils. Environ. Res. 2013, 216, 114543. [Google Scholar] [CrossRef]
- Abagandura, G.O.; Chintala, R.; Sandhu, S.S.; Kumar, S.; Schumacher, T.E. Effects of biochar and manure applications on soil carbon dioxide, methane, and nitrous oxide fluxes from two different soils. J. Environ. Qual. 2019, 48, 1664–1674. [Google Scholar] [CrossRef]
- Baldé, H.; VanderZaag, A.C.; Burtt, S.; Evans, L.; Wagner-Riddle, C.; Desjardins, R.L.; MacDonald, J.D. Measured versus modeled methane emissions from separated liquid dairy manure show large model underestimates. Agric. Ecosyst. Environ. 2016, 230, 261–270. [Google Scholar] [CrossRef]
- Kupper, T.; Häni, C.; Neftel, A.; Kincaid, C.; Bühler, M.; Amon, B.; VanderZaag, A. Ammonia and greenhouse gas emissions from slurry storage—A review. Agr. Ecosyst. Environ. 2020, 300, 106963. [Google Scholar] [CrossRef]
- Oertel, C.; Matschullat, J.; Zurba, K.; Zimmermann, F.; Erasmi, S. Greenhouse gas emissions from soils—A review. Geochemistry 2016, 76, 327–352. [Google Scholar] [CrossRef]





| Treatment | Digestate | Slurry | Manure | Biochar |
|---|---|---|---|---|
| D | 3 | - | - | - |
| DB | 3 | - | - | 1.5 |
| S | - | 2 | - | - |
| SB | - | 2 | - | 1 |
| M | - | - | 3 | - |
| MB | - | - | 3 | 1.5 |
| Treatment | C Content (%) | C Content (kg m−3) | Moisture (%) | Volume (m−3) | Density (kg m−3) |
|---|---|---|---|---|---|
| D | 3.04 | 2.00 | 83.20 | 0.004239 | 707.7 |
| DB | 12.69 | 101.00 | 68.80 | 0.005652 | 796.2 |
| S | 4.03 | 22.84 | 88.12 | 0.0035325 | 566.2 |
| SB | 15.20 | 96.83 | 72.00 | 0.00471 | 636.9 |
| M | 9.12 | 37.90 | 74.23 | 0.007222 | 415.4 |
| MB | 18.58 | 108.69 | 62.67 | 0.007693 | 584.9 |
| Biochar | 62.57 | 112.63 | 40.00 | - | 300.00 |
| Treatment | CO2 (kg C m−3) | CH4 (g C m−3) | GWP (kg CO2 eq) |
|---|---|---|---|
| D | 0.65 (±0.06) c | 20.99 (±7.10) c | 1.24 (±0.26) c |
| DB | 0.36 (±0.04) d | 6.77 (±1.87) d | 0.55 (±0.09) d |
| S | 1.02 (±0.10) a | 123.77 (±24.56) a | 4.48 (±0.69) a |
| SB | 0.76 (±0.03) b | 98.78 (±24.62) b | 3.52 (±0.70) b |
| M | 0.28 (±0.07) d | 1.77 (±0.34) e | 0.33 (±0.07) e |
| MB | 0.17 (±0.02) e | 0.34 (±0.08) f | 0.18 (±0.01) f |
Disclaimer/Publisher’s Note: The statements, opinions and data contained in all publications are solely those of the individual author(s) and contributor(s) and not of MDPI and/or the editor(s). MDPI and/or the editor(s) disclaim responsibility for any injury to people or property resulting from any ideas, methods, instructions or products referred to in the content. |
© 2024 by the authors. Licensee MDPI, Basel, Switzerland. This article is an open access article distributed under the terms and conditions of the Creative Commons Attribution (CC BY) license (https://creativecommons.org/licenses/by/4.0/).
Share and Cite
Verdi, L.; Dalla Marta, A.; Orlandini, S.; Maienza, A.; Baronti, S.; Vaccari, F.P. Evaluation of Biochar Addition to Digestate, Slurry, and Manure for Mitigating Carbon Emissions. Agriculture 2024, 14, 162. https://doi.org/10.3390/agriculture14010162
Verdi L, Dalla Marta A, Orlandini S, Maienza A, Baronti S, Vaccari FP. Evaluation of Biochar Addition to Digestate, Slurry, and Manure for Mitigating Carbon Emissions. Agriculture. 2024; 14(1):162. https://doi.org/10.3390/agriculture14010162
Chicago/Turabian StyleVerdi, Leonardo, Anna Dalla Marta, Simone Orlandini, Anita Maienza, Silvia Baronti, and Francesco Primo Vaccari. 2024. "Evaluation of Biochar Addition to Digestate, Slurry, and Manure for Mitigating Carbon Emissions" Agriculture 14, no. 1: 162. https://doi.org/10.3390/agriculture14010162
APA StyleVerdi, L., Dalla Marta, A., Orlandini, S., Maienza, A., Baronti, S., & Vaccari, F. P. (2024). Evaluation of Biochar Addition to Digestate, Slurry, and Manure for Mitigating Carbon Emissions. Agriculture, 14(1), 162. https://doi.org/10.3390/agriculture14010162

