Next Article in Journal
Non-Contact Measurement of Pregnant Sows’ Backfat Thickness Based on a Hybrid CNN-ViT Model
Next Article in Special Issue
Seed Germination Behavior, Molecular Analysis of Four Populations of Arbutus andrachne Species from Greece, and Cultivation Practice for Producing High-Quality Plants
Previous Article in Journal
Sustainable Use of Pesticides
Previous Article in Special Issue
Morphological and Molecular Characterization of a New Self-Compatible Almond Variety
 
 
Font Type:
Arial Georgia Verdana
Font Size:
Aa Aa Aa
Line Spacing:
Column Width:
Background:
Article

Evaluation of Greek Tobacco Varieties (Nicotiana tabacum L.) Grown in Different Regions οf Greece

by
Eleni Tsaliki
1,*,
Theodoros Moysiadis
2,
Evripidis Toumpas
3,
Apostolos Kalivas
1,
Ioannis Panoras
1 and
Ioannis Grigoriadis
1
1
Hellenic Agricultural Organization DIMITRA, Plant Breeding and Genetic Resources Institute, Thermi, 57001 Thessaloniki, Greece
2
Department of Computer Science, School of Sciences and Engineering, University of Nicosia, Nicosia 2417, Cyprus
3
Hellenic Agricultural Organization DIMITRA, Plant Breeding and Genetic Resources Institute, 66133 Drama, Greece
*
Author to whom correspondence should be addressed.
Agriculture 2023, 13(7), 1394; https://doi.org/10.3390/agriculture13071394
Submission received: 21 May 2023 / Revised: 1 July 2023 / Accepted: 7 July 2023 / Published: 13 July 2023
(This article belongs to the Special Issue Plant Breeding through Conventional and Biotechnological Methods)

Abstract

Tobacco (Nicotiana tabacum L.) is an important industrial crop grown in more than one hundred countries worldwide, with high adaptability on a great variety of soils, and under quite diverse climatic conditions. Information regarding the chemical composition of tobacco leaves is important for the tobacco industry because it generally may exhibit important differences among different locations. In this study, five oriental and six flue and air-cured type tobacco varieties were cultivated in five areas of Greece for three cultivation periods, in order to evaluate the effect of these three factors (variety, area, and period), on the yield as well as nicotine content, and sugar and nitrate content of the produced leaves. For the oriental type varieties, the results showed that the area exhibited significant interaction with both variety and the cultivation year, related to the yield. Concerning the nicotine content, no significant differences were observed regarding the areas of experimentation; however, it significantly varied within the varieties. In particular, the nicotine content of Katerini 53 exhibited a significant difference compared to Xanthi 2A, which had the highest content of all tested varieties. Sugar content was affected significantly by all the factors considered, with the area of Xanthi exhibiting lower values compared to all other varieties. Regarding the flue and air-cured varieties, the only interaction that was found to be statistically significant, when the yield was assessed, was between the cultivation year and the area. It was found that there was a significant interaction between cultivation year and area for the nicotine content as well. Furthermore, cultivation year and variety significantly affected the sugar content. The varieties Burley 21E and NC7LC gave the lowest sugars. In general, it was observed that in the case of the oriental type varieties, the variety adaptation in specific regions resulted in higher yields, with the paradigmatic example of the variety Katerini 53 in the Katerini area, and Xanthi 81 in the Xanthi area. On the other hand, in the case of the flue and air-cured varieties, Karditsa was the area that exhibited the lowest yield of all tested varieties.

1. Introduction

Tobacco (Nicotiana tabacum L.) belongs to the family Solanaceae and is one of the most important industrial crops with a worldwide production of 4,900,000 tonnes. Raw tobacco produced in the EU accounts for about 3.7% of the world’s total production, and 7.5% of the world’s marketing. Nowadays, Greece still is in the enviable position of being the world’s second-largest producer of oriental tobacco and belongs to the eight countries that produce 99% of EU tobacco production [1,2]. The structural features of Greek agriculture with the many small size farms, and the surplus of labor with high expertise in the agricultural sector were key factors that reinforced the spread of tobacco growing in the north and central part of the country, where soil and climatic conditions were favorable [3]. However, due to changes in the agriculture sector and raising awareness against smoking, tobacco consumption has declined, both nationally and globally [4].
Tobacco varieties are characterized as sun-cured, flue-cured, air-cured, and fire-cured according to the curing process during which the raw tobacco leaves are dried, lose their green color, and obtain a different color, ranging from yellow to red-brown or black-brown. The main cultivated varieties in Greece are the sun-cured varieties of oriental type, and to a lesser degree, the flue-cured Virginia and light air-cured Burley, which are large-leaf tobaccos that require more inputs [5]. Greek oriental tobacco has high-quality color, aroma, and flavor and has excellent burning properties because of suitable soil characteristics and climate conditions. [6]. Therefore, Greek oriental varieties are used as references in newly introduced varieties and areas with different ecological conditions [7,8,9].
Nicotine is the primary alkaloid in tobacco and is one of the main reasons for its commercial production, while sugars provide mildness when smoking tobacco and had been found to positively affect its quality [10]. Oriental tobacco has sufficient sugar content with less nicotine, as well as a more favorable aroma than the other types. Therefore, oriental tobacco is usually blended with Virginia and Burley tobacco varieties, which exhibit a higher level of nicotine [11] and are used in American blend type cigarettes [12].
In the frame of this research, five oriental and six flue and air-cured type varieties were cultivated in five regions of Greece, for three years, to evaluate the yield and the physicochemical properties of the leaves. Greek varieties and production of tobacco in Greece are considered to be of the best quality, but very limited research has been focused on the yield and the quality characteristics of varieties, as well as on the impact inflicted by the area of cultivation. In traditional tobacco countries, such as Greece, farmers often may give up the crop, when the yields of tobacco are insufficient because of too much attention to quality. Thus, it is crucial to aid growers overcome the difficulties in growing and processing, in order not only to support the increase in production and quality but also to solidify the income of growers.

2. Materials and Methods

The tobacco varieties tested were separated into two groups. The first group (A oriental type) consisted of Katerini 53 (K53), Xanthi 81 (X81), Xanthi 2A (2A), Doxato, and Nigrita 34 (N34) varieties. The corresponding experimentation fields were established in the areas of Xanthi (41.06136; 24.96317), Serres (41.06149; 23.74729), Katerini (40.31725; 22.57558) Karditsa (39.34094; 21.83569) and Aitoloakarnania (38.60507; 21.48515). The second group (B flue and air-cured type) consisted of the varieties Niki, Virginia E9 (VE9), Burley 21E, Klio, NC297, and NC7L. The related experimentation fields were established in the areas of Xanthi, Karditsa, and Aitolokarnania. All the varieties tested (except NC 297 and NC7L) were registered to the Greek national catalogue of cultivated varieties from the Hellenic Agricultural Organization DIMITRA, and the breeder is the Institute of Plant Breeding and Genetic Resources. The hybrids NC 297 and NC7 were bred by the North Carolina State University and have been produced by the Gold Leaf Seed Company.
The characteristics of the Greek origin varieties, presented in Table 1, are the plant shape, the plant height (cm) from the base up to two leaves before the inflorescence, the number of useful leaves from the base up to two leaves before the inflorescence at the stage of full growth, and 50% flourished plants, the leaf shape along with the length/width ratio of the middle useful leaf, the leaf basis type with petiole or not, and the period of harvesting as days from the beginning till the end of the harvest. All these characteristics are according to the UPOV guidelines for the conduct of tests for distinctness, uniformity, and stability [13].
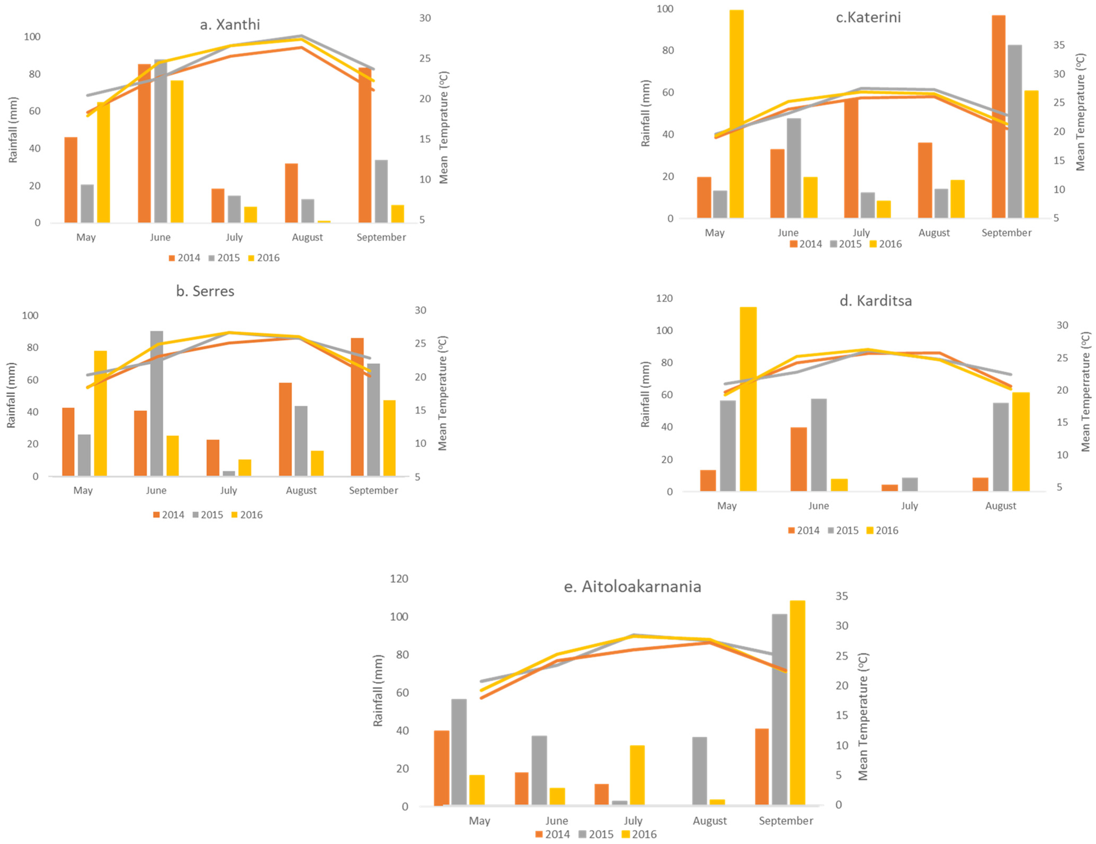
The experimental fields were established for three years, as a split-plot design with three replications. Each plot consisted of four rows of 10 m each with a 1 m distance between rows. The areas were chosen, in cooperation with high-expertise farmers, as the most proper for tobacco cultivation in Greece. The farmers followed the standard cultivation practices and during the growing season, four measurements were conducted, regarding leaf fresh weight per hand reaping and total leaf dry weight in Kg per ha. The harvesting was performed by hand, and the harvesting dates along with the number of hands reaping in each area are presented in Table 2. Mean monthly values of temperature and rainfall data during the three growing seasons, as recorded in each area (www.meteo.gr, accessed on 23 Arpil 2023), are given in Figure 1.
After the harvesting and curing, samples were used for chemical determinations. Samples were dried at 100 °C for 3 h, to constant dry weight, in a forced-air oven, and were ground in a Wiley mill using a 1 mm sieve and were measured at the laboratory of Plant Breeding and Genetic Resources Institute in Drama regarding the percentage of (a) nitrates, according to Coresta method No 36 (ISO 15152: 2002) [14], (b) nicotine percentage, with Coresta method Νο 35 (ISO 15153:2002) [15], and (c) sugars, according to Coresta method Νο 38 (ISO 15154: 2002) [16].
The primary endpoint of the statistical analysis was to assess the impact of three independent factors, (i) the cultivation year, (ii) the area/location, and (iii) the variety, on three different dependent variables, the yield, the nicotine, and the sugars. The assessment was performed, separately and independently, for (A) the oriental, and (B) the flue and air-cured type varieties. To this end, in each case, the three-factor analysis of variance (ANOVA) without replication was employed for each dependent variable, to assess these three factors as main effects, along with their pairwise interactions (the three-way interaction was not assessed). Thus, in each ANOVA performed, six hypotheses were tested in total, three related to each of the main effects, and three more related to each of the three pairwise interactions. For the hypotheses concerning the main effects, post hoc comparison was employed, when appropriate, using the Tukey HSD post hoc test. More specifically, all the pairwise comparisons were performed, and, in addition, the groups of each factor were included in different homogeneous subsets. Interaction plots were used to visualize the pairwise interactions. The Pearson correlation coefficient was computed to assess the linear relationship among the yield, and the nitrates, sugars, and nicotine within the different categories of the cultivation year, the area, and the variety. In the case of the oriental type varieties, the Pearson correlation coefficient was not computed for the area Serres due to missing values in nitrates, sugars, and nicotine. Similarly, in the flue and air-cured type varieties, it was not computed for the area Xanthi due to missing values in nitrates, sugars, and nicotine. The significance level was set to 0.05. The analysis has been performed with SPSS v22.

3. Results

3.1. A—Oriental Type Varieties

Concerning the yield, the results of the three-Factor ANOVA are shown in Table 3, and it was found that all three factors as main effects, were statistically significant (Cultivation year: p < 0.001, Area: p = 0.001, Variety: p < 0.001). The results of the corresponding post hoc analysis are shown in the Supplementary Materials (Supplementary Tables S4–S6). Particularly, regarding the cultivation year, statistically significant differences in the yield were observed between 2014 and both 2015 (p = 0.007), and 2016 (p < 0.001), but not between 2015 and 2016 (p = 0.322) (Supplementary Table S4A). The Tukey HSD included cultivation years 2015 and 2016 in the first homogeneous subset, while the year 2014 exhibited a much larger yield mean value and constituted by itself the second homogeneous subset (Supplementary Table S4B). Concerning the factor area, statistically significant differences were observed between Aitoloakarnania, both Serres (p = 0.002) and Xanthi (p = 0.032), and between Karditsa and Serres (p = 0.010), (Supplementary Table S5A). The three homogeneous subsets obtained in this case were not distinct from each other as in the case of the cultivation year, on the contrary, they all exhibited overlaps (Supplementary Table S5B). In the case of variety, post hoc analysis detected four statistically significant differences in the yield, which were all related to K53 (vs. DOXATO, p < 0.001; vs. N34, p < 0.001; vs. X2A, p < 0.001; vs. X81, p = 0.007) (Supplementary Table S6A). More specifically, K53 exhibited a mean value that was statistically significantly higher compared to all other varieties. This is further shown in (Supplementary Table S6B), where K53 with a yield of 1652.367 kg/ha constituted the second subset, while all other varieties were included in the first one.
Regarding the pairwise interactions of the three factors (Table 3), it was found that the area exhibited significant interaction related to yield with both variety (p = 0.023), and cultivation year (p < 0.001). The corresponding plots, where the mean yield is displayed for all combinations of the factors’ categories in each of the three pairwise interaction assessments are presented in Figure 2A–C, respectively. In Figure 2A, it is shown that the interaction between area and variety may be attributed to a large extent to the fact that variety K53 exhibited a much larger mean value in Katerini (1979.633 kg/ha), compared to the remaining four varieties in Katerini, which exhibited an overall mean value of 1309.075 kg/ha (see Supplementary Table S1 for the specific values in the remaining four varieties), while, e.g., in Aitoloakarnania, and in Xanthi, K53 exhibited a lower mean value compared to two of the remaining varieties. At the same time, the variety X81 exhibited a larger mean value in Xanthi (1631.667 kg/ha), compared to the remaining four varieties (overall mean = 1429.834 kg/ha), while in all other areas, it exhibited a lower value compared to, at least, variety K53. Similarly, X2A exhibited a larger mean value in Xanthi (1550.000 kg/ha), compared to the remaining three varieties (only excluding X81), while in the remaining areas it exhibited, in general, lower values, particularly, the lowest mean yield in Aitoloakarnania, and Katerini. In Figure 2B, it is shown that the interaction between area and cultivation year is very strong. A characteristic example is that the yield exhibited far larger mean values in 2014, compared to 2015 and 2016, in Aitoloakarnania, Karditsa, Katerini, and, Xanthi, while in Serres, it exhibited the lowest mean value (Supplementary Table S2). In Figure 2C, it is shown that the interaction between variety and cultivation year is mild, with the pattern of the mean yield across the five different varieties being similar in the three years of cultivation considered (Supplementary Table S3).
In addition, the Pearson correlation coefficient values among the yield, and the nitrates, sugars, and nicotine were computed, and the results are shown in Table 4. It is shown that the value of the Pearson correlation coefficient exhibited great variation between different groups of the same factor. For example, within the factor area, it was equal to 0.755 (p = 0.001) between the yield and the nitrates in Karditsa, while it was almost zero (0.022, p = 0.939) in Katerini. Also, this linear correlation between the yield and the nitrates in Karditsa was the only positive linear correlation that was found to be statistically significant. There were also two statistically significant negative linear correlations corresponding to the yield and the sugars in Karditsa (−0.538, p = 0.039), and the yield and the sugars in 2016 (−0.501, p = 0.024).
Regarding nicotine content, the results of the three-factor ANOVA are shown in Table 5. It was found that two of the factors were statistically significant as main effects (Cultivation year: p = 0.012, and Variety: p = 0.033). The corresponding results of the post hoc analysis are shown in the Supplementary Materials (Supplementary Tables S10–S12). As far as the cultivation year is concerned, statistically significant differences in nicotine were only observed between 2015 and 2016 (p = 0.009) (Supplementary Table S10A). Concerning area, no statistically significant differences were observed (Supplementary Table S11A,B). In the case of variety, only one statistically significant difference was detected, related to K53 and X2A with p = 0.045 (Supplementary Table S12A).
Regarding pairwise interactions, the only statistically significant one was found in the case of cultivation year and area (p = 0.023) (Table 5). In the corresponding plot (Figure 3B), it is shown, in particular, that the year 2015 exhibited different patterns across the different areas, with the mean nicotine in Katerini assuming the lowest value of all 1.252%, (Supplementary Table S8). In accordance with Table 5, Figure 3A,C shows that the corresponding interactions are non-existent for area vs. both variety and cultivation year.
In Table 6, the results of the three-Factor ANOVA concerning the sugar content are displayed. It was found that all factors were statistically significant as main effects (Cultivation year: p < 0.001, Area: p < 0.001, and Variety: p = 0.005). The results of the related post hoc analysis are shown in the Supplementary Materials (Supplementary Tables S16–S18). Regarding the cultivation year, statistically significant differences in the sugars were obtained between 2015, and both 2014 and 2016 (p < 0.001 in both cases) (Supplementary Table S16A). The year 2015 exhibited higher mean sugars value compared to both other years and was, thus, discerned from them, constituting a separate subset in itself (Supplementary Table S16B), while the years 2014 and 2016 were included in another subset. Concerning area, statistically significant differences were observed in the cases of Aitoloakarnania and both Karditsa (p = 0.001), and Xanthi (p < 0.001), and Katerini and Xanthi (p = 0.003) (Supplementary Table S17A). In the case of variety, two statistically significant differences were detected (K53 vs. N34, p = 0.050, and N34 vs. X2A p = 0.002, Supplementary Table S18A).
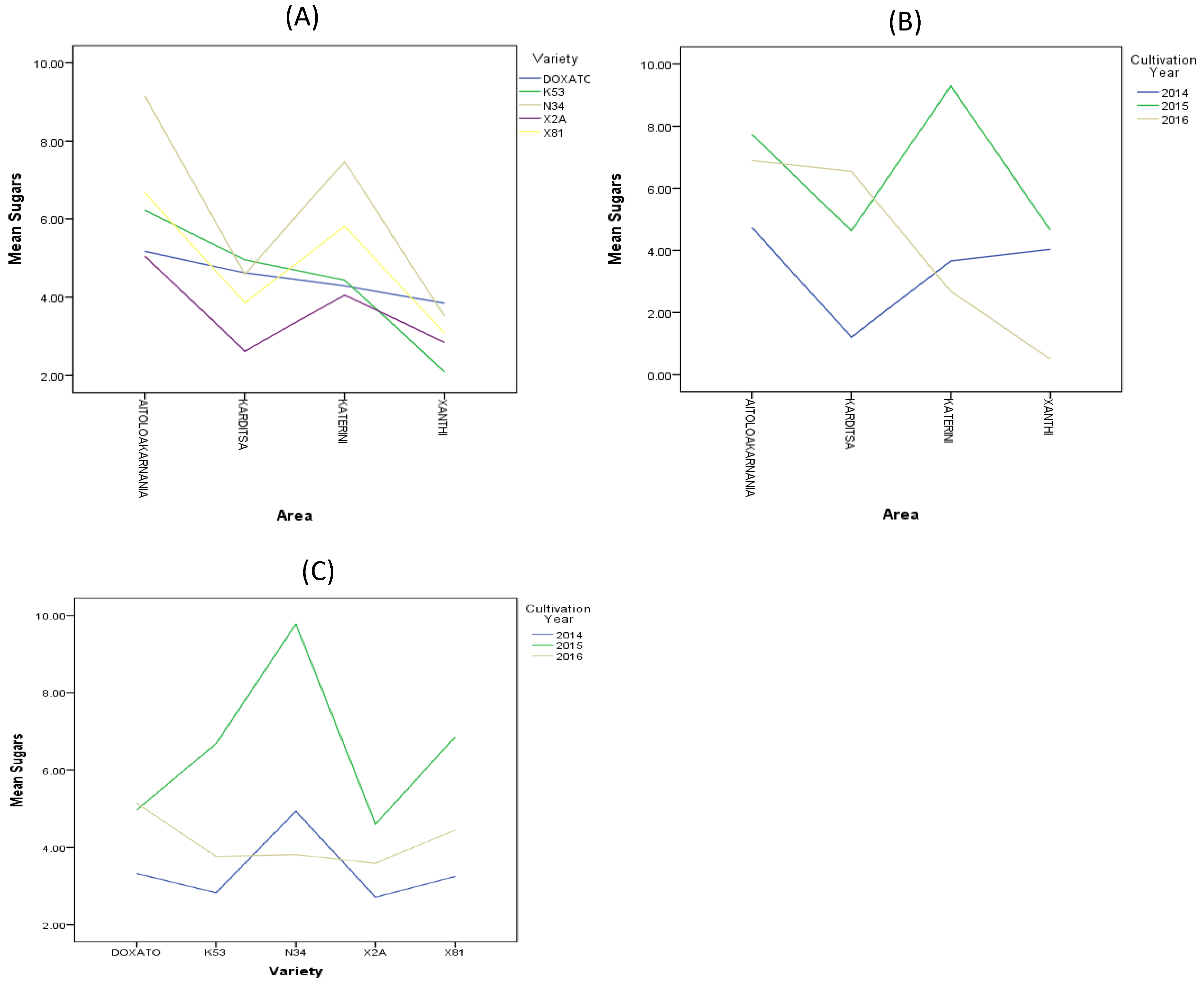
Regarding the pairwise interactions of the three factors (Table 6), it was found that the cultivation year with both area and variety exhibited significant interactions (p < 0.001, p = 0.030, respectively). In Figure 4B, it is further shown that area and cultivation year interact, particularly, the year 2016 exhibited different patterns across the different areas compared to years 2014 and 2015 (see Supplementary Table S14 for specific sugars values). Figure 4C demonstrates that the interaction found between cultivation year and variety was marginal, again mainly attributed to the year 2016, while Figure 4A shows that the corresponding interaction is not strong.

3.2. B—Flue and Air Cured Type Varieties

Concerning the yield of B-type tested varieties, the results of the three-factor ANOVA are shown in Table 7. It was found that all three factors as main effects were statistically significant (Cultivation year: p = 0.003, Area: p < 0.001, Variety: p = 0.017). The results of the post hoc analysis regarding the main effects are shown in the Supplementary Materials (Supplementary Tables S22–S24). More specifically, in the case of cultivation year, the year 2014 exhibited the highest mean yield value 3343.889 kg/ha—(Supplementary Table S22B), and statistically significant differences compared to both other years (vs. 2015: p = 0.006, vs. 2016: p = 0.009, Supplementary Table S22A). Consequently, the Tukey HSD included cultivation years 2015 and 2016 in the first homogeneous subset, and the year 2014 in the second homogeneous subset (Supplementary Table S22B). Concerning the factor area, two statistically significant differences were observed (Aitoloakarnania vs. Karditsa: p < 0.001, and Xanthi vs. Karditsa: p < 0.001, Supplementary Table S23A). More specifically, Karditsa exhibited by far the lowest mean yield value 1967.788 kg/ha (Supplementary Table S23B). Thus, Karditsa constituted a separate homogeneous subset, based on Tukey HSD, while Aitoloakarnania and Xanthi constituted the second one (Supplementary Table S23B). As for varieties, the only statistically significant difference was observed when comparing the variety Burley 21E with NC297 (p = 0.007) (Supplementary Table S24A). Thus, the corresponding Tukey homogeneous subsets exhibited great overlap (Supplementary Table S24B).
By evaluating the pairwise interactions (Table 7), it was found that the only interaction that was found to be statistically significant was between the cultivation year and area (p = 0.007). The corresponding plots, where the mean yield is displayed for all combinations of the factors’ categories are presented in Figure 5A–C, respectively. In Figure 5A, it is shown that the interaction between area and variety is mild. The different varieties follow the same pattern across the three areas with the exception of the yield mean value that is observed in Aitoloakarnania for the variety Burley 21E, which appears to be much lower than in the remaining varieties (see also Supplementary Table S19). In Figure 5B, it is visually shown how area and cultivation year interact, in particular, the mean yield value in Aitoloakarnania during 2016 (3163.317 kg/ha, Supplementary Table S20) was much lower than expected in case no interaction was present.
The results of the Pearson correlation coefficient values among the yield of B type varieties, and the nitrates, sugars, and nicotine were computed and are displayed in Table 8. It is shown that the value of the Pearson correlation coefficient exhibited great variation. For example, within the factor area, it was equal to −0.622 (p = 0.006) between the yield and the nitrates in Aitoloakarnania, while it was almost zero (−0.057, p = 0.824) in Karditsa. Within the cultivation year, it was found that the yield and the nicotine were negatively linearly correlated in 2016 (−0.608, p = 0.036), while they were positively linearly correlated in 2014 (0.710, p = 0.010). The strongest positive linear correlation was obtained between the yield and the nitrates within the variety VE9 (0.859, p = 0.029). On the other hand, the strongest negative linear correlation was obtained between the yield and the sugars within the variety Burley 21E (−0.841, p = 0.036).
In Table 9, the results of the three-Factor ANOVA concerning the % nicotine content of B type varieties are presented. It was found that two of the factors were statistically significant as main effects (Cultivation year: p = 0.025, and Area: p = 0.043). The corresponding results of the post hoc analysis are shown in the Supplementary Materials (Supplementary Tables S28 and S29). In the case of cultivation year, statistically significant differences in nicotine were only observed between 2014 and 2016 (p = 0.022) (Supplementary Table S28A). In the case of area, only two areas were assessed (Aitoloakarnania and Karditsa), thus post hoc analysis was not performed. Concerning variety, no statistically significant results were obtained (Supplementary Table S29).
Regarding pairwise interactions, it was found that only cultivation year and area exhibited significant interaction (p = 0.002, Table 9). This is clearly shown in the corresponding Figure 6B, with the year 2016 exhibiting different value pattern across areas compared to 2014 and 2015. Particularly, during 2016 in Karditsa, nicotine assumed its highest mean value 1.892% (Supplementary Table S26).
The results of the ANOVA concerning the sugars content (%) of B-type varieties are shown in Table 10. It was found that two factors were statistically significant as main effects (Cultivation year: p = 0.014, and Variety: p < 0.001). The results of the post hoc analysis regarding the main effects are shown in the Supplementary Materials (Supplementary Tables S33 and S34). Regarding the cultivation year, statistically significant differences in the sugars were observed between 2015, and both 2014 and 2016 (p = 0.030, and p = 0.021, respectively) (Supplementary Table S33A). The year 2015 exhibited larger mean sugars value (10.445%) compared to both other years and was, thus, discerned from them, constituting a separate Tukey HSD subset in itself (Supplementary Table S33B). In the case of area, since only two areas were assessed, post hoc analysis was not performed. Concerning variety, statistically significant differences were observed in ten cases, (see Supplementary Table S34A). As far as the pairwise interactions of the three factors are concerned (Table 10), it was found that the area and both variety, and cultivation year exhibited significant results (p = 0.008, and p = 0.006, respectively), as it is also shown in Figure 7A,B.

4. Discussion

Tobacco is a plant grown for its leaves and is an important crop for farmers in Greece through the years [17]. The characteristics of tobacco genotypes are the consequence of the common effect of the genotype, environment, and their interaction [18]. The results of this study indicate the differences between the varieties regarding their yield and quality in different regions of Greece and it serves to identify the components of tobacco thought to be influential in determining the quality parameters of tobacco leaves.
Dried leaf yield has been the characteristic that interests not only plant breeders but also tobacco producers [19]. For A type varieties (Supplementary Table S1), K53 variety in Katerini area exhibited its maximum yield (1979.63 kg/ha), followed by Serres (1815.77 kg/ha) and Karditsa (1672.10 kg/ha), while in Aitoloakarnania the higher yield was observed by the variety Doxato (1372.77 kg/ha). In the area of Xanthi, the X81 variety had the optimum yield (1631.67 kg/ha) followed by X2A (1550.00 kg/ha). The genetic potential of each tobacco variety theoretically exceeds some limits in the appearance of a particular trait [20]. Thus, the higher yields of the varieties K53 and X81 were observed in Katerini, and in Xanthi areas, respectively, which was expected and is mainly explained because of the variety adaptation in the above regions [7,21].
Regarding the B type varieties (Supplementary Table S19), Aitoloakarnania area exhibited high yields during all the years of experimentation, with the higher values obtained in the case of NC297 (4058.00 kg/ha), followed by Klio (4044.67 kg/ha), and NC7LC (3799.00 kg/ha). Only the yield of variety Burley 21E (2673.63 kg/ha), appears to be much lower than the remaining varieties in the above region. In Xanthi area, the most productive variety was NIKI (3626.67 kg/ha) and in Karditsa the NC297 (2390.67 kg/ha). The results showed that in areas located in the central and south part of Greece, such as Karditsa and Aitoloakarnania, B type varieties demonstrated greater adaptability.
During the current experimentation, both A and B type varieties reached their optimum yield in 2014 cultivation year, with statistically significant differences with the other two years. The data are in accordance with the results of [13], where the interaction of the year with the cultivar was also significant for total yield and nicotine content.
The aroma and basic quality characteristics of tobacco largely depend on the climate of the region which affect the performance of plant growth, productivity, and chemical composition of tobacco plants [22]. Through the experimentation years of this study, the Pearson correlation coefficient values for oriental type varieties shown that there is no statistically significant correlation in the experimental fields between yield and content of nitrates and sugars (except for Karditsa), while for B type of varieties the strongest positive linear correlation was obtained between the yield and the nitrates in variety VE9, and the strongest negative linear correlation was obtained between the yield and the sugars within the variety Burley 21E. According to [23], time selection for leaf harvest, which is defined by mature period, is important for yield and quality of tobacco leaves, despite the great variability of soil and climatic conditions.
Oriental tobaccos are famous for their quality characteristics and the high aroma of their small leaves with low sugar and nicotine contents but the relationship between the many components of tobacco and tobacco quality is complex [12]. Our experimentation showed that the nicotine level of the X2A variety was the highest during all years, and in all areas of experimentation, and ranged from 2.19 to 3.05% (Supplementary Table S9). The only exception was the area of Xanthi where the variety Doxato exhibited the highest value of nicotine 2.83% (Supplementary Table S7). The variety X81 followed with nicotine levels ranging from 1.77 to 2.60% (Supplementary Table S9), which is also in agreement with [20], where X81 had statistically significantly higher nicotine when compared to the other tested varieties (K53 and Myrodata Agriniou). In Turkey, nicotine contents of dried oriental tobacco leaves have been reported to vary from 1.5 to 3.5% [24], and from 2.1 to 3.3% [25], while [26] found nicotine content values of oriental tobacco to lie within 0.96–2.06% in other regions of Turkey, and 0.47% in Samsun region. The chemical composition of tobacco leaves was significantly different among locations where ecological conditions such as light, humidity, precipitation, altitude, and temperature were different [27], and previous results have shown that the chemical characteristics of tobacco are affected by soil and climate, except for the genetic potential [26]. The content of nicotine and soluble carbohydrates is positively correlated with temperature and negatively with rainfall [28]. Oriental tobaccos have a different flavor, and lower nicotine levels compared to commercial flue-cured and air-cured tobaccos, while the most important agronomic decision affecting nicotine levels in flue-cured tobacco leaves is the variety choice [11]. As reported in [29], the oriental tobaccos have better quality characteristics compared to Virginia and Burley tobaccos. The results of our experiments showed that the mean nicotine content % of B-type varieties is around 1.3% with a range of 0.66–2.12% (Supplementary Table S27), lower than A type. Τhe differences can be explained by the fact that the tobacco genotypes and cultivars showed differences depending on their adaptation, genetic properties, and survival in different places. In addition, the soil contents as organic matter can affect the nicotine of tobacco [30].
Tobacco leaves’ sugar content is an important measure of chemical quality in tobacco and is directly related to the taste and flavor of tobacco. In general, tobacco varieties with high sugar contents are considered to be, of better quality [31]. Leaf glucose content in oriental tobacco leaves was reported to be 2.0% [32], 2.98% [27], and 4.2% [28]. The sugar content values for oriental-type varieties, in the present study, were higher than those reported in the previous referred studies and ranged from 2.71 to 9.78% (Supplementary Table S15). The only exceptions were the Karditsa area in 2014 with a sugar content of 1.21%, and the Xanthi area in 2016, which exhibited an extremely low value of 0.51% (Supplementary Table S14). The year 2015 demonstrated the highest sugar content of all other years (Supplementary Table S14), while Aitoloakarnania and Katerini regions resulted in higher values of sugars (Supplementary Table S13). For the B-type varieties, VE9 had the higher content of all tested varieties (15.06% sugars in Karditsa and 14.51% in Aitoloakarnania), while Burley 21E and NC7LC had the lowest (Supplementary Table S30) sugar content.
Previous studies in Greek tobacco varieties, which took place in the Tobacco Institute of Drama [33] showed for Basma type variety nicotine content of 2–3% and sugars 10–12%, while the K53 variety had nicotine of 1.5–2.0% and sugars 18%. For the Virginia variety nicotine content was 2.1% and sugars 17%, while for the Burley variety 2% and 0%. Although the above experimentation has been materialized many years ago, these results are in accordance with the current results, implying that nicotine and sugar content is mainly related to the genotype of tobacco, and secondly to agronomical practices [34]. Moreover, the present study showed that the Greek varieties registered to the Greek National catalogue were stabilized and their quality parameters are not only unchanged but, in addition, they fulfill the task for new varieties and hybrids, mentioned by [28], for reducing sugar content of 8–12% and nicotine content of 2.2–2.7%. Further studies should be conducted on the evaluation of the effects of several agronomic practices on growth, yield, and quality, especially for the less studied varieties of tobacco or new hybrids that gain marketplace.

5. Conclusions

Variety selection is the most important aspect for achieving the desired yield and quality of tobacco and the results of this research confirmed that variety adaptation in particular regions resulted in higher yields. Referring to reducing sugar and nicotine contents of cured leaves, the major chemical quality properties of tobacco, the A-type varieties exhibited higher levels of nicotine compared to B type and reducing sugars content was found to be at the optimum desirable level. Τhis study would be helpful, for tobacco producers and users, to understand the chemical contents in Greek tobacco varieties, which are cultivated and known worldwide. This study would be helpful, for tobacco producers and users, to understand the chemical contents in Greek tobacco varieties, which are cultivated in specific areas and are known worldwide. This need is intensified by the fact that recent and proposed changes in the tobacco industry may require more precise management of tobacco quality mainly through the cultivation of varieties well adapted to specific environments.

Supplementary Materials

The following supporting information can be downloaded at: https://www.mdpi.com/article/10.3390/agriculture13071394/s1, Supplementary Table S1: The mean yield (kg/ha) for the Oriental type varieties, along with the 95% confidence interval, for all categories’ combinations of the factors area and variety; Supplementary Table S2: The mean yield (kg/ha) for the Oriental type varieties, along with the 95% confidence interval, for all categories’ combinations of the factors area and cultivation year; Supplementary Table S3: The mean yield (kg/ha) for the Oriental type varieties, along with the 95% confidence interval, for all categories’ combinations of the factors variety and cultivation year; Supplementary Table S4: (A) Post hoc analysis (Tukey HSD) for the factor cultivation year (dependent Variable: Yield) for the Oriental type varieties. (B) The groups of cultivation year are displayed within the homogeneous subsets obtained by Tukey HSD for the Oriental type varieties; Supplementary Table S5: (A) Post hoc analysis (Tukey HSD) for the factor area (dependent Variable: Yield) for the Oriental type varieties. (B) The groups of area are displayed within the homogeneous subsets obtained by Tukey HSD for the Oriental type varieties; Supplementary Table S6: (A) Post hoc analysis (Tukey HSD) for the factor variety (dependent Variable: Yield) for the Oriental type varieties. (B) The groups of variety are displayed within the homogeneous subsets obtained by Tukey HSD for the Oriental type varieties; Supplementary Table S7: The mean nicotine (%) for the Oriental type varieties, along with the 95% confidence interval, for all categories’ combinations of the factors area and variety; Supplementary Table S8: The mean nicotine (%) for the Oriental type varieties, along with the 95% confidence interval, for all categories’ combinations of the factors area and cultivation year; Supplementary Table S9: The mean nicotine (%) for the Oriental type varieties, along with the 95% confidence interval, for all categories’ combinations of the factors variety and cultivation year; Supplementary Table S10: (A) Post hoc analysis (Tukey HSD) for the factor cultivation year (dependent Variable: Nicotine) for the Oriental type varieties. (B) The groups of cultivation year within the homogeneous subsets obtained by Tukey HSD for the Oriental type varieties; Supplementary Table S11: (A) Post hoc analysis (Tukey HSD) for the factor area (dependent Variable: Nicotine) for the Oriental type varieties. (B) The groups of area within the homogeneous subsets obtained by Tukey HSD for the Oriental type varieties; Supplementary Table S12: (A) Post hoc analysis (Tukey HSD) for the factor variety (dependent Variable: Nicotine) for the Oriental type varieties. (B) The groups of variety within the homogeneous subsets obtained by Tukey HSD for the Oriental type varieties; Supplementary Table S13: The mean sugars content (%) for the Oriental type varieties, along with the 95% confidence interval, for all categories’ combinations of the factors area and variety; Supplementary Table S14: The mean sugars content (%) for the Oriental type varieties, along with the 95% confidence interval, for all categories’ combinations of the factors area and cultivation year; Supplementary Table S15: The mean sugars content (%) for the Oriental type varieties, along with the 95% confidence interval, for all categories’ combinations of the factors variety and cultivation years; Supplementary Table S16: (A) Post hoc analysis (Tukey HSD) for the factor cultivation year (dependent Variable: Sugars) for the Oriental type varieties. (B) The groups of cultivation year are displayed within the homogeneous subsets obtained by Tukey HSD for the Oriental type varieties; Supplementary Table S17: (A) Post hoc analysis (Tukey HSD) for the factor area (dependent Variable: Sugars) for the Oriental type varieties. (B) The groups of area within the homogeneous subsets obtained by Tukey HSD for the Oriental type varieties; Supplementary Table S18: (A) Post hoc analysis (Tukey HSD) for the factor variety (dependent Variable: Sugars) for the Oriental type varieties. (B) The groups of variety within the homogeneous subsets obtained by Tukey HSD for the Oriental type varieties; Supplementary Table S19: The mean yield (kg/ha) for the flue and air-cured type varieties, along with the 95% confidence interval, for all categories’ combinations of the factors area and variety; Supplementary Table S20: The mean yield (kg/ha) for the flue and air cured type varieties, along with the 95% confidence interval, for all categories’ combinations of the factors area and cultivation year; Supplementary Table S21: The mean yield (kg/ha) for the flue and air-cured type varieties, along with the 95% confidence interval, for all categories’ combinations of the factors variety and cultivation year; Supplementary Table S22: (A) Post hoc analysis (Tukey HSD) for the factor cultivation year (dependent Variable: Yield) for the flue and air-cured type varieties. (B) The groups of cultivation year within the homogeneous subset s obtained by Tukey HSD for the flue and air cured type varieties; Supplementary Table S23: (A) Post hoc analysis (Tukey HSD) for the factor area (dependent Variable: Yield) for the flue and air cured type varieties. (B) The groups of area within the homogeneous subsets obtained by Tukey HSD for the flue and air cured type varieties; Supplementary Table S24: (A) Post hoc analysis (Tukey HSD) for the factor variety (dependent Variable: Yield) for the flue and air cured type varieties. (B) The groups of variety within the homogeneous subsets obtained by Tukey HSD for the flue and air-cured type varieties; Supplementary Table S25: The mean nicotine (%) for the flue and air-cured type varieties, along with the 95% confidence interval, for all categories’ combinations of the factors area and variety; Supplementary Table S26: The mean nicotine (%) for the flue and air-cured type varieties, along with the 95% confidence interval, for all categories’ combinations of the factors area and cultivation year; Supplementary Table S27: The mean nicotine (%) for the flue and air-cured type varieties, along with the 95% confidence interval, for all categories’ combinations of the factors variety and cultivation year; Supplementary Table S28: (A) Post hoc analysis (Tukey HSD) for the factor cultivation year (dependent Variable: Nicotine) for the flue and air-cured type varieties. (B) The groups of cultivation year within the homogeneous subsets obtained by Tukey HSD for the flue and air-cured type varieties; Supplementary Table S29: (A) Post hoc analysis (Tukey HSD) for the factor variety (dependent Variable: Nicotine) for the flue and air-cured type varieties. (B) The groups of variety within the homogeneous subsets obtained by Tukey HSD for the flue and air-cured type varieties; Supplementary Table S30: The mean of sugars (%) for the flue and air-cured type varieties, along with the 95% confidence interval, for all categories’ combinations of the factors area and variety; Supplementary Table S31: The mean of sugars (%) for the flue and air-cured type varieties, along with the 95% confidence interval, for all categories’ combinations of the factors area and cultivation year; Supplementary Table S32: The mean of sugars (%) for the flue and air cured type varieties, along with the 95% confidence interval, for all categories’ combinations of the factors variety and cultivation year; Supplementary Table S33: (A) Post hoc analysis (Tukey HSD) for the factor cultivation year (dependent Variable: Sugars) for the flue and air cured type varieties. (B) The groups of cultivation year within the homogeneous subsets obtained by Tukey HSD for the flue and air-cured type varieties; Supplementary Table S34: (A) Post hoc analysis (Tukey HSD) for the factor variety (dependent Variable: Sugars) for the flue and air-cured type varieties. (B) The groups of variety within the homogeneous subsets obtained by Tukey HSD for the flue and air cured type varieties.

Author Contributions

E.T. (Eleni Tsaliki) and A.K. conceptualized, designed, and supervised the experiments; T.M. performed statistical analysis; I.G. and I.P. carried out the field experiments; E.T. (Evripidis Toumpas) carried out the chemical analysis and measurements; E.T. and T.M. wrote and review manuscript preparation. All authors have read and agreed to the published version of the manuscript.

Funding

This research received no external funding.

Data Availability Statement

The data presented in this study are available in Supplementary Materials.

Conflicts of Interest

The authors declare no conflict of interest.

References

  1. FAOSTAT. Food and Agriculture Organization of the United Nations, Production of the Tobacco Unmanufactured: Top Ten Producers, 2020. 2021. Available online: https://www.fao.org/faostat/en/#data/QCL/visualize (accessed on 23 April 2023).
  2. European Commission. Tobacco. 2018. Available online: https://agriculture.ec.europa.eu/farming/crop-productions-and-plant-based-products/tobacco_en (accessed on 23 April 2023).
  3. Bilalis, D.J.; Travlos, I.S.; Portugal, J.; Tsioros, S.; Papastylianou, Y.; Papatheohari, Y.; Avgoulas, C.; Tabaxi, I.; Alexopoulou, E.; Kanatas, P.J. Narrow row spacing increased yield and decreased nicotine content in sun-cured tobacco (Nicotiana tabacum L.). Ind. Crops Prod. 2015, 75, 212–217. [Google Scholar] [CrossRef]
  4. Tsaballa, A.; Sarrou, E.; Xanthopoulou, A.; Tsaliki, E.; Kissoudis, C.; Karagiannis, E.; Michailidis, M.; Martens, S.; Sperdouli, E.; Hilioti, Z.; et al. Comprehensive approaches reveal key transcripts and metabolites highlighting metabolic diversity among three oriental tobacco varieties. Ind. Crops Prod. 2020, 143, 11193. [Google Scholar] [CrossRef]
  5. Kalivas, A.; Ganopoulos, I.; Bosmali, I.; Tsaliki, E.; Osathanunkul, M.; Xanthopoulou, A.; Moysiadis, T.; Avramidou, E.; Grigoriadis, I.; Zambounis, A.; et al. Genetic Diversity and Structure of Tobacco in Greece on the Basis of Morphological and Microsatellite Markers. Crop. Sci. 2016, 56, 2652–2662. [Google Scholar] [CrossRef]
  6. Travlos, I.S.; Kanatas, P.J.; Tsioros, S.; Papastylianou, P.; Papatheohari, Y.; Bilalis, D. Green Manure and Pendimethalin Impact on Oriental Sun-Cured Tobacco. Agron. J. 2014, 106, 1225–1230. [Google Scholar] [CrossRef]
  7. Dimanov, D.; Masheva, V.; Vitanova, D. Introduction of oriental tobacco varieties under the environment of the area Nevrokop. Tobacco 2013, 63, 7–12. [Google Scholar]
  8. Dinh Dung, D.; Van Chin, N.; Thai Binh, H.; Van Lu, N.; Van Van, N.; Ngoc Tuan, T.; Ha Thanh, P. Results of Trial Oriental Tobacco Varieties Planting in Ninh Thuan and Dak Lak Province, Vietnam in 2021. J. Exp. Agric. Int. 2022, 44, 78–87. [Google Scholar] [CrossRef]
  9. Saygili, I.; Kinay, A.; Kurt, D.; Kandemir, N. Genetic and agronomic diversity of Basma tobacco (Nicotiana tabacum L.) landrace in Turkey. Base 2021, 25, 279–290. [Google Scholar] [CrossRef]
  10. Leffingwell, J.C. Leaf Chemistry BA Basic Chemical Constituents of Tobacco Leaf and Differences among Tobacco Types. In Tobacco: Production, Chemistry and Technology; Davis, D.L., Nielson, M.T., Eds.; Blackwell Science: Hoboken, NJ, USA, 1999; pp. 265–284. [Google Scholar]
  11. Henry, J.B.; Vann, M.C.; Lewis, R.S. Agronomic Practices Affecting Nicotine Concentration in Flue-Cured Tobacco: A Review. Agron. J. 2019, 111, 3067–3075. [Google Scholar] [CrossRef]
  12. Darvishzadeh, R.; Mirzaei, L.; Maleki, H.H.; Laurentin, H.; Alaviet, S.R. Genetic variation in oriental tobacco (Nicotiana tabacum L.) by agro-morphological traits and simple sequence repeat markers. Rev. Ciência Agronômica 2013, 44, 347–355. [Google Scholar] [CrossRef]
  13. UPOV—International Union for the Protection of New Varieties of Plants. Guidelines for the Conduct of Tests for Distinctness, Uniformity and Stability. Tobacco. 2022. Available online: https://www.upov.int/edocs/tgdocs/en/tg195.pdf (accessed on 23 April 2023).
  14. CORESTA. CORESTA Recommended Method No 36. Determination of Nitrate in Tobacco and Smokeless Tobacco Products by Reduction to Nitrite and Continuous Flow Analysis, 4th ed. 2015. Available online: https://www.coresta.org/sites/default/files/technical_documents/main/CRM_36-updateJan15.pdf (accessed on 23 April 2023).
  15. CORESTA. CORESTA Recommended Method No 35. Determination of Total Alkaloids (as Nicotine) in Tobacco by Continuous Flow Analysis, 2nd ed. 2010. Available online: https://www.coresta.Org/sites/default/files/technical_documents/main/CRM_35-updateAug10.pdf (accessed on 23 April 2023).
  16. CORESTA. CORESTA Recommended Method No 38. Determination of Reducing Carbohydrates in Tobacco by Continuous Flow Analysis, 2nd ed. 2010. Available online: https://www.coresta.org/sites//default/files/technical_documents/main/CRM_38-update%28Aug10%29.pdf (accessed on 23 April 2023).
  17. Karaivazoglou, N.A.; Papakosta, D.K.; Divanidis, S. Effect of Chloride in Irrigation Water on Oriental (Sun-Cured) Tobacco. J. Plant Nutr. 2006, 29, 1413–1431. [Google Scholar] [CrossRef]
  18. Kurt, D.; Yilmaz, G.; Kinay, A. GE interaction and stability analysis in some Basma type oriental tobacco (Nicotiana tabacum L.) lines. J. Agric. Sci. 2021, 27, 312–320. [Google Scholar] [CrossRef]
  19. Kurt, D.; Kınay, A.; Saygılı, İ.; Kandemir, N. Determining the Genetic and Agronomic Variations in Lines from Samsun Tobacco Growing Areas. Anadolu J. Agric. Sci. 2022, 37, 617–636. [Google Scholar] [CrossRef]
  20. Tabaxi, I.; Roussis, I.; Karydogianni, S.; Kakabouki, I.; Kalivas, A.; Folina, A.E.; Bilalis, D. Influence of chloride content in irrigation water on yield, morphological features and chemical composition of leaves of three Oriental tobacco (Nicotiana tabacum L.) cultivars. J. Elementol. 2020, 25, 581–594. [Google Scholar] [CrossRef]
  21. Lolas, P.; Galopoulos, A.; Sficas, G. Growth Characteristics of Oriental Tobacco as affected by cultivar and type. Agron. J. 1984, 76, 917–921. [Google Scholar] [CrossRef]
  22. Zhang, L.; Zhang, X.; Ji, H.; Wang, W.; Liu, J.; Wang, F.; Xie, F.; Yu, Y.; Qin, Y.; Wang, X. Metabolic profiling of tobacco leaves at different growth stages or different stalk positions by gas chromatography–mass spectrometry. Ind. Crops Prod. 2018, 116, 46–55. [Google Scholar] [CrossRef]
  23. Tang, Z.; Chen, L.; Chen, Z. Climatic factors determine the yield and quality of Honghe flue-cured tobacco. Sci. Rep. 2020, 10, 19868. [Google Scholar] [CrossRef] [PubMed]
  24. Camas, N.; Caliskan, O.; Odabas, M.S.; Ayan, A.K. The effects of organic originated fertilizer doses on yield and quality of Esendal tobacco cultivar. In Proceeding of the Turkey VIII Field Crops Congress, Hatay, Turkey, 18–22 September 2009. [Google Scholar]
  25. Yilmaz, G.; Kinay, A. Effects of different nitrogen rates on yield and quality of tobacco (Nicotiana tabacum L.). In Proceedings of the Turkey IX. Field Crops Congress, Bursa, Turkey, 12–25 September 2021. [Google Scholar]
  26. Kurt, D.; Yilmaz, G.; Kinay, A. Effects of environmental variations on yield of oriental tobaccos. Int. J. Agric. Wildl. Sci. 2020, 6, 310–324. [Google Scholar] [CrossRef]
  27. Kurt, D. Impacts of environmental variations on quality and chemical contents of oriental tobacco. Contrib. Tob. Nic. Res. 2021, 30, 51–63. [Google Scholar] [CrossRef]
  28. Kinay, A.; Yilmaz, G.; Kandemir, N. Yield and quality properties of some oriental tobacco (Nicotiana tabacum L.) hybrids. Genetica 2016, 52, 735–750. [Google Scholar] [CrossRef]
  29. Radoukova, T.; Dyulgerski, Y. Comparative study on the effect of the climatic conditions on biological, economic and chemical characteristics of large-leaved tobacco samples of Burley and Virginia groups. Ecol. Balk. 2014, 5, 49–54. [Google Scholar]
  30. Camlica, Μ.; Yaldiz, G. Analyses and evaluation of the main chemical components in different tobacco (Nicotiana tabacum L.) genotypes. Grasas Aceites 2021, 72, 389. [Google Scholar] [CrossRef]
  31. Hasebe, H.; Subara, S. The quality estimation of different tobacco types examined by headspace vapor analysis. Contrib. Tob. Nic. Res. 1999, 18, 213–222. [Google Scholar] [CrossRef]
  32. Ramusino, M.C.; Dattilo, B.S.; Lucibello, A.; Rossi, S.G. Determination of 25 low molecular weight carbohydrates in tobacco by high performance ion chromatography. Contrib. Tob. Nic. Res. 1994, 16, 77–84. [Google Scholar] [CrossRef]
  33. Chalivopoulos, S. Tobacco Chemistry. In Manual of Tobacco Cultivation; Tobacco Research Institute of Greece: Drama, Greece, 1996; pp. 189–192. (In Greek) [Google Scholar]
  34. Damalas, C.; Koutroubas, S. Determinants of farmers’ decisions on pesticide use in oriental tobacco: A survey of common practices. Int. J. Pest Manag. 2014, 60, 224–231. [Google Scholar] [CrossRef]
Figure 1. Mean Temperature (°C) and rainfall (mm) the years 2014, 2015 and 2016 in the experimental areas.
Figure 1. Mean Temperature (°C) and rainfall (mm) the years 2014, 2015 and 2016 in the experimental areas.
Agriculture 13 01394 g001
Figure 2. The mean yield (kg/ha) of oriental type varieties is displayed for all combinations of the factors’ categories in each of the three pairwise interactions. (A) Area-variety, (B) area-cultivation year and (C) variety-cultivation year.
Figure 2. The mean yield (kg/ha) of oriental type varieties is displayed for all combinations of the factors’ categories in each of the three pairwise interactions. (A) Area-variety, (B) area-cultivation year and (C) variety-cultivation year.
Agriculture 13 01394 g002
Figure 3. The nicotine content (%) for the Oriental type varieties is displayed for all combinations of the factors’ categories in each of the three pairwise interactions. (A) Area-variety, (B) area-cultivation year, and (C) variety-cultivation year.
Figure 3. The nicotine content (%) for the Oriental type varieties is displayed for all combinations of the factors’ categories in each of the three pairwise interactions. (A) Area-variety, (B) area-cultivation year, and (C) variety-cultivation year.
Agriculture 13 01394 g003
Figure 4. The mean sugars content (%) for the Oriental type varieties is displayed for all combinations of the factors’ categories in each of the three pairwise interactions. (A) Area-variety, (B) area-cultivation year and (C) variety-cultivation year.
Figure 4. The mean sugars content (%) for the Oriental type varieties is displayed for all combinations of the factors’ categories in each of the three pairwise interactions. (A) Area-variety, (B) area-cultivation year and (C) variety-cultivation year.
Agriculture 13 01394 g004
Figure 5. The mean yield (kg/ha) for the flue and air-cured type varieties is displayed for all combinations of the factors’ categories in each of the three pairwise interactions. (A) Area-variety, (B) area-cultivation year and (C) variety-cultivation year.
Figure 5. The mean yield (kg/ha) for the flue and air-cured type varieties is displayed for all combinations of the factors’ categories in each of the three pairwise interactions. (A) Area-variety, (B) area-cultivation year and (C) variety-cultivation year.
Agriculture 13 01394 g005
Figure 6. The mean nicotine content (%) for the flue and air cured type varieties is displayed for all combinations of the factors’ categories in each of the three pairwise interactions. (A) Area-variety, (B) area-cultivation year, and (C) variety-cultivation year.
Figure 6. The mean nicotine content (%) for the flue and air cured type varieties is displayed for all combinations of the factors’ categories in each of the three pairwise interactions. (A) Area-variety, (B) area-cultivation year, and (C) variety-cultivation year.
Agriculture 13 01394 g006
Figure 7. The sugars content (%) of flue and air cured type varieties is displayed for all combinations of the factors’ categories in each of the three pairwise interactions. (A) Area-variety, (B) area-cultivation year, and (C) variety-cultivation year.
Figure 7. The sugars content (%) of flue and air cured type varieties is displayed for all combinations of the factors’ categories in each of the three pairwise interactions. (A) Area-variety, (B) area-cultivation year, and (C) variety-cultivation year.
Agriculture 13 01394 g007
Table 1. Morphological and agronomical characteristics of Greek origin tested varieties.
Table 1. Morphological and agronomical characteristics of Greek origin tested varieties.
VarietyTypePlant ShapeHeight 1Number of Useful LeavesLeaf ShapeLength/Width Ratio 2 Leaf Basis TypePeriod of Harvesting (Days)
Katerini 53sun cured–basicconicalmedium26–30cordate<1.8petiolate46–52
Xanthi 81sun cured–aromaticconicalmedium26–30elliptic1.8–2.2sessile with auricles39–45
Xanthi 2Asun cured–aromaticconical medium 21–25 elliptic 1.8–2.2 sessile without auricles 39–45
Doxatosun cured–aromaticconicalhigh26–30elliptic1.8–2.2sessile with auricles46–52
Nigrita 34sun cured–aromaticconicalvery high21–25elliptic<1.8sessile with auricles39–45
Nikiflue curedconicalhigh26–30elliptic1.8–2.2sessile with auricles>60
Virginia E9flue curedconicalvery high26–30elliptic1.8–2.2sessile with auricles53–59
Klioflue curedconicalvery high21–25elliptic1.8–2.2sessile with auricles>60
Burley 21Eair curedconicalvery high21–25elliptic1.8–2.2sessile with auricles39–45
1 Medium (76–90 cm); high (91–105 cm); very high (106 cm). 2 of the middle useful leaf.
Table 2. The harvesting dates and the number of hands reaping in the tobacco cultivation areas for the years 2014, 2015, and 2016.
Table 2. The harvesting dates and the number of hands reaping in the tobacco cultivation areas for the years 2014, 2015, and 2016.
Cultivation Area of Greece
YearXanthiSerresKateriniKarditsaAitoloakarnania
Transplanting20142 June30 May15 May25 May3 June
20158 June25 May18 May11 May18 May
201610 June28 May20 May29 May25 June
1st hand 201410 August21 July28 July10 August18 July
20152 August13 July14 July27 July10 July
201625 August27 June27 June30 July20 July
2nd hand 20145 September17 August13 August28 August31 July
201525 August26 July3 August11 August22 July
20165 September18 July12 August14 August30 July
3rd hand201415 October7 September27 August14 September18 August
201512 September17 August14 August30 August14 August
201615 September16 August30 August22 August10 August
4th hand2014-2 October12 August-30 August
2015-9 September3 September10 September28 August
2016-20 September15 September1 September20 August
Table 3. Three-factor analysis of variance for the Oriental type varieties. Yield was considered as the dependent variable and cultivation year, area, and variety as the three independent factors. Main effects, along with the pairwise interactions are assessed.
Table 3. Three-factor analysis of variance for the Oriental type varieties. Yield was considered as the dependent variable and cultivation year, area, and variety as the three independent factors. Main effects, along with the pairwise interactions are assessed.
F Statisticp-Value
Corrected Model4.454<0.001
Intercept5175.763<0.001
Area × Variety2.2760.023
Cultivation year × Area6.892<0.001
Cultivation year × Variety0.5960.774
Cultivation year11.639<0.001
Area6.0970.001
Variety10.768<0.001
Table 4. The Pearson correlation coefficient for the Oriental type varieties, between the yield, and the nitrates, sugars, and nicotine, within the different categories of the cultivation year, the area, and the variety is displayed, along with the corresponding p-values.
Table 4. The Pearson correlation coefficient for the Oriental type varieties, between the yield, and the nitrates, sugars, and nicotine, within the different categories of the cultivation year, the area, and the variety is displayed, along with the corresponding p-values.
Cultivation Year NitratesSugarsNicotine
2014Pearson Correlation0.301−0.204−0.095
p-value0.1970.3880.689
2015Pearson Correlation−0.3130.274−0.326
p-value0.1790.2430.161
2016Pearson Correlation0.316−0.501 *0.267
p-value0.1740.0240.255
Area NitratesSugarsNicotine
AitoloakarnaniaPearson Correlation0.162−0.1480.018
p-value0.5650.5990.948
KarditsaPearson Correlation0.755 **−0.538 *0.225
p-value0.0010.0390.420
KateriniPearson Correlation0.022−0.050−0.272
p-value0.9390.8610.327
XanthiPearson Correlation0.151−0.2140.065
p-value0.5910.4450.818
Variety NitratesSugarsNicotine
DoxatoPearson Correlation0.412−0.4750.300
p-value0.1830.1190.343
K53Pearson Correlation0.124−0.3300.531
p-value0.7010.2950.076
N34Pearson Correlation0.1310.132−0.451
p-value0.6860.6820.141
X2APearson Correlation0.575−0.364−0.055
p-value0.0510.2440.865
X81Pearson Correlation0.508−0.4840.206
p-value0.0920.1110.521
** Correlation is significant at the 0.01 level (2-tailed). * Correlation is significant at the 0.05 level (2-tailed).
Table 5. Three-Factor analysis of variance for the Oriental type varieties. Nicotine was considered as the dependent variable, and cultivation year, area, and variety as the three independent factors. Main effects, along with the pairwise interactions are assessed.
Table 5. Three-Factor analysis of variance for the Oriental type varieties. Nicotine was considered as the dependent variable, and cultivation year, area, and variety as the three independent factors. Main effects, along with the pairwise interactions are assessed.
F Statisticp-Value
Corrected Model1.6670.097
Intercept604.4080.000
Area × Variety0.3460.971
Cultivation year × Area3.0590.023
Cultivation year × Variety0.7190.673
Cultivation Year5.3640.012
Area2.2890.104
Variety3.1220.033
Table 6. Three-Factor analysis of variance for the Oriental type varieties. Sugars was considered as the dependent variable, and cultivation year, area, and variety as the three independent factors. Main effects, along with the pairwise interactions are assessed.
Table 6. Three-Factor analysis of variance for the Oriental type varieties. Sugars was considered as the dependent variable, and cultivation year, area, and variety as the three independent factors. Main effects, along with the pairwise interactions are assessed.
F Statisticp-Value
Corrected Model6.5790.000
Intercept629.5200.000
Area × Variety1.2670.298
Cultivation year × Area12.9370.000
Cultivation year × Variety2.6670.030
Area14.9200.000
Variety4.8920.005
Cultivation year25.8790.000
Table 7. Three-Factor analysis of variance for the flue and air-cured type varieties. Yield was considered as the dependent variable, and cultivation year, area, and variety as the three independent factors. Main effects, along with the pairwise interactions, are assessed.
Table 7. Three-Factor analysis of variance for the flue and air-cured type varieties. Yield was considered as the dependent variable, and cultivation year, area, and variety as the three independent factors. Main effects, along with the pairwise interactions, are assessed.
F Statisticp-Value
Corrected Model8.746<0.001
Intercept3314.602<0.001
Area × Variety1.8500.116
Cultivation year × Area4.7660.007
Cultivation year × Variety0.7400.681
Cultivation year7.7640.003
Area105.024<0.001
Variety3.6160.017
Table 8. The Pearson correlation coefficient for the flue and air cured type varieties, between the yield, and the nitrates, sugars, and nicotine, within the different categories of the cultivation year, the area, and the variety is displayed, along with the corresponding p-values.
Table 8. The Pearson correlation coefficient for the flue and air cured type varieties, between the yield, and the nitrates, sugars, and nicotine, within the different categories of the cultivation year, the area, and the variety is displayed, along with the corresponding p-values.
Cultivation Year NitratesSugarsNicotine
2014Pearson Correlation0.1370.2100.710 **
p-value0.6720.5130.010
2015Pearson Correlation0.599 *−0.1480.040
p-value0.0390.6450.901
2016Pearson Correlation0.1330.441−0.608 *
p-value0.6800.1520.036
Area NitratesSugarsNicotine
AitoloakarnaniaPearson Correlation−0.622 **0.3760.301
p-value0.0060.1240.224
KarditsaPearson Correlation−0.057−0.139−0.022
p-value0.8240.5820.930
Variety NitratesSugarsNicotine
Burley 21EPearson Correlation0.363−0.841 *0.139
p-value0.4790.0360.793
KLIOPearson Correlation0.6760.373−0.009
p-value0.1410.4670.986
NC297Pearson Correlation0.784−0.3550.039
p-value0.0650.4900.942
NC7LCPearson Correlation−0.379−0.623−0.049
p-value0.4580.1860.927
NIKIPearson Correlation0.3400.756−0.770
p-value0.5100.0820.073
VE9Pearson Correlation0.859 *−0.323−0.110
p-value0.0290.5320.836
** Correlation is significant at the 0.01 level (2-tailed). * Correlation is significant at the 0.05 level (2-tailed).
Table 9. Three-Factor analysis of variance for the flue and air-cured type varieties. Nicotine was considered as the dependent variable, and cultivation year, area, and variety as the three independent factors. Main effects, along with the pairwise interactions are assessed.
Table 9. Three-Factor analysis of variance for the flue and air-cured type varieties. Nicotine was considered as the dependent variable, and cultivation year, area, and variety as the three independent factors. Main effects, along with the pairwise interactions are assessed.
F Statisticp-Value
Corrected Model2.3750.077
Intercept947.0130.000
Area × Variety1.2230.366
Cultivation year × Area12.3430.002
Cultivation year × Variety0.8830.576
Cultivation year5.4260.025
Area5.3590.043
Variety0.7080.631
Table 10. Three-factor analysis of variance for the flue and air cured type varieties. Sugars was considered as the dependent variable, and cultivation year, area, and variety as the three independent factors. Main effects, along with the pairwise interactions are assessed.
Table 10. Three-factor analysis of variance for the flue and air cured type varieties. Sugars was considered as the dependent variable, and cultivation year, area, and variety as the three independent factors. Main effects, along with the pairwise interactions are assessed.
F Statisticp-Value
Corrected Model14.673<0.001
Intercept1294.624<0.001
Area × Variety6.1090.008
Cultivation Year × Area8.9550.006
Cultivation Year × Variety2.1470.122
Cultivation Year6.6820.014
Area1.1350.312
Variety56.478<0.001
Disclaimer/Publisher’s Note: The statements, opinions and data contained in all publications are solely those of the individual author(s) and contributor(s) and not of MDPI and/or the editor(s). MDPI and/or the editor(s) disclaim responsibility for any injury to people or property resulting from any ideas, methods, instructions or products referred to in the content.

Share and Cite

MDPI and ACS Style

Tsaliki, E.; Moysiadis, T.; Toumpas, E.; Kalivas, A.; Panoras, I.; Grigoriadis, I. Evaluation of Greek Tobacco Varieties (Nicotiana tabacum L.) Grown in Different Regions οf Greece. Agriculture 2023, 13, 1394. https://doi.org/10.3390/agriculture13071394

AMA Style

Tsaliki E, Moysiadis T, Toumpas E, Kalivas A, Panoras I, Grigoriadis I. Evaluation of Greek Tobacco Varieties (Nicotiana tabacum L.) Grown in Different Regions οf Greece. Agriculture. 2023; 13(7):1394. https://doi.org/10.3390/agriculture13071394

Chicago/Turabian Style

Tsaliki, Eleni, Theodoros Moysiadis, Evripidis Toumpas, Apostolos Kalivas, Ioannis Panoras, and Ioannis Grigoriadis. 2023. "Evaluation of Greek Tobacco Varieties (Nicotiana tabacum L.) Grown in Different Regions οf Greece" Agriculture 13, no. 7: 1394. https://doi.org/10.3390/agriculture13071394

APA Style

Tsaliki, E., Moysiadis, T., Toumpas, E., Kalivas, A., Panoras, I., & Grigoriadis, I. (2023). Evaluation of Greek Tobacco Varieties (Nicotiana tabacum L.) Grown in Different Regions οf Greece. Agriculture, 13(7), 1394. https://doi.org/10.3390/agriculture13071394

Note that from the first issue of 2016, this journal uses article numbers instead of page numbers. See further details here.

Article Metrics

Back to TopTop