Abstract
Background: Traditional polyethylene film mulching is widely used in the Loess Plateau region of China to improve crop yields. However, whether long-term polyethylene film mulching can continue to ensure crop yield under future climate change conditions is questionable. First, we conducted a four-year field experiment to calibrate and validate the biogeochemical DeNitrification–DeComposition (DNDC) model. Then, based on the calibrated and validated model, we evaluated the spring maize yield and water use efficiency under different film mulching methods (no mulching, traditional polyethylene film mulching, and biodegradable film mulching) in the Loess Plateau region. Results: The temperature and rainfall in the Loess Plateau region are predicted to increase in the future (2021–2100) under four scenarios due to higher CO2 concentrations. Through 252 simulation results, we found that future climate change will have positive impacts under no mulching, traditional polyethylene film mulching, and degradable film mulching conditions. The yield increase will be greater with no mulching, but in the future, film mulching will continue to reduce crop yields. Additionally, the crop yield reduction under traditional polyethylene film mulching is greater. A sensitivity analysis indicated that rainfall will have a major effect on yield, and polyethylene film mulching will reduce the sensitivity of the yield to rainfall. As the rainfall increases, the differences between the yield and water use efficiency under ordinary plastic film and degradable film will become smaller. In the later period with a warmer and wetter climate under the SSP585 scenario, the water use efficiency will be higher under degradable film than traditional polyethylene film mulching. Conclusion: It can be seen that degradable film is more adaptable to the warmer and wetter climate in the future.
1. Introduction
The Loess Plateau region in China is a typical dryland farming area that plays an essential role in ensuring food security in China [1]. However, due to long-term water shortages, soil impoverishment, and other limitations, the crop yields in this area are low and unstable throughout the year [2]. In recent years, plastic film mulching has significantly improved the crop yields in this region by inhibiting evaporation, retaining moisture, and increasing the temperature, making it the most widely used cultivation practice in the Loess Plateau region [3,4]. In particular, the most widely used mulch material is ordinary polyethylene plastic film. However, this material requires a long time to degrade and is difficult to recycle; therefore, large amounts of residual plastic film accumulate in the soil. This can detrimentally affect the physical and chemical properties of the soil and the growth and development of crops, limiting the sustainability of production [5,6]. Moreover, in the future, climate warming caused by greenhouse gas emissions will change the spatial and temporal rainfall patterns to severely impact dryland agricultural production [7], and it is not clear whether sustainable, stable yields can be achieved under long-term film cover mulching in a changing climate. Therefore, there is an urgent need to understand the performance of plastic film mulching under future climate change conditions to ensure food security [8].
Recently, there has been increasing global awareness of plastic pollution, raising the question of whether biodegradable films can serve as substitute for polyethylene films. Under natural conditions, biodegradable film can be degraded into CO2, H2O, and microbial biomass through oxidation and microbial decomposition to effectively avoid the environmental pollution problem caused by the use of plastic film [9,10,11]. However, studies on the effectiveness of biodegradable film have obtained contradictory results. In particular, Huang et al. found that in years with lower than normal precipitation, the water retaining effect of degradable film was lower and insufficient to offset the impacts of drought [12]. Liu et al. also suggested that it is too early to promote degradable film based on their bibliometric analysis [13]. In contrast, Gu et al. conducted a meta-analysis and showed that degradable film can potentially be used in northern China to eliminate the negative impacts of plastic film while also improving the yield and water use efficiency (WUE) [14].
Previous studies have analyzed the short-term changes in the soil water temperature and crop yield under mulching with different film materials. However, the long-term benefits of film mulch application under future climate change remains unclear. Therefore, it is necessary to use modeling as an effective tool to evaluate the responses in terms of the WUE and yield to different film mulching methods under climate change. The DeNitrification–DeComposition (DNDC) model, which is based on the carbon and nitrogen cycles in agroecosystems, has been widely used and verified for simulating the WUE and yield [15,16].
SSP126 assumes that global annual greenhouse gas emissions (measured in units of CO2 equivalent concentration level (ppm)) will reach a peak of 490 ppm before 2100, followed by a significant decline. In SSP245, the peak of 650 ppm occurs in 2100 before stabilizing. In SSP370, the emissions will peak at 850 ppm and then stabilize after 2100. In SSP585, the emissions will continue to rise and reach a peak of 1370 ppm by 2100 [17]. Many previous studies only considered two future climate change scenarios: SSP245 and SSP585. In the present study, we considered all four greenhouse gas emission scenarios to assess the future climate. The effects of different mulching methods on the maize yield and WUE in the southern part of the Loess Plateau region were evaluated by testing no mulching (CK), traditional polyethylene film mulching (P), and biodegradable film mulching (B) methods. The starting point of this study is as follows: (1) under long-term polyethylene film treatment, the physical and chemical properties of the soil are deteriorated due to the large amount of residual film left in the soil, which compromises production sustainability and causes white pollution. (2) Biodegradable films offer significant advantages in terms of environmental protection, and we aimed to investigate whether the future phase can serve as an environmentally friendly alternative to polyethylene films while ensuring sustainable yields. The aims of this study were as follows: (1) to conduct DNDC model simulations to evaluate the performance of different mulching methods in terms of the maize yield and WUE, based on four years of field test data; (2) to predict the trend of maize yield and WUE under different material film mulching methods in the future climate; and (3) to assess whether degradable biofilm can be widely used in maize-producing areas in the Loess Plateau region of China under future climate conditions.
2. Materials and Methods
2.1. Study Area
The field study was conducted in Yangling, Shaanxi (34°20′ N, 108°04′ E; altitude, 490 m) at the southern boundary of the Loess Plateau in China (Figure 1). The climate in this area is mild and semi-humid, with an average annual precipitation of 600 mm (65% of the rainfall is concentrated from June to September), an average annual evaporation of 933 mm, and an average annual temperature of 13.5 °C. The soil type is Lou soil (Eum–Orthic Anthrosol), with an average bulk density of 1.40 g cm−3. The soil texture (0–10 cm) is silty clay loam, consisting of 8% sand, 75% silt, and 17% clay [18]. At the beginning of the experiment, the basic soil properties of the 0–20 cm soil layer are shown in the Table 1. The daily meteorological data used in the test stage were acquired from the Yangling meteorological observation station located approximately 100 m from the test site.
Figure 1.
The geographical location of the experimental area.
Table 1.
Basic soil properties of the 0–20 cm soil layer.
2.2. Experimental Design and Field Management
The field experiment was conducted from 2015 to 2018. A complete, randomized block design was employed with no mulching, traditional polyethylene film mulching, and biodegradable film mulching methods. The plastic film used for covering was a transparent polyethylene film, 120 cm wide and 0.008 mm thick (Gansu Tianbao Plastics Factory, Tianshui, China). The biodegradable film with a width of 120 cm and thickness of 0.008 mm (Showa Electric Co., Ltd., Fukaya, Japan) was made of polybutylene succinate. The film mulching was conducted before the end of the autumn rainfall. Three replicates were constructed for each treatment, with a total of nine plots spaced 1 m apart. The experiment was conducted in the same field. Spring maize (Dafeng 30) was sown in late April and harvested in mid-August each year. Maize was planted with 66,667 plants ha−1, at a sowing depth of 4–5 cm. The film treatments were applied before sowing. Basal fertilizer was applied at sowing (N = 140 kg ha−1 and P = 150 kg ha−1) and as a top dressing (N = 145 kg ha−1) between the maize plants approximately 60 days after sowing (fertilization depth = 4–5 cm). None of the treatments received irrigation throughout the growth period. After the harvest, the plastic film was removed. Detailed information on tillage management methods is shown in Table 2. Among them, the depth of the machine farming was 30 cm.
Table 2.
Farming management practices during the study period from 2015 to 2018.
2.3. Soil Sampling and Yield
Soil samples were collected from the 0−10 cm soil layer at five randomly selected points in each plot with a 5 cm soil drill. The five samples from the same plot were mixed to form one sample. The fresh soil was weighed immediately, then the soil sample was dried to a constant weight at 105 degrees. The dry soil was reweighed, and the soil water content (SWC, %) was calculated as follows:
SWC = [(fresh soil weight − dry soil weight)/dry soil weight] × 100%
The soil temperature was measured at a depth of 5 cm using a curved tube mercury thermometer. The thermometers were placed between the maize plants in each plot. When the maize was harvested each year from 2015 to 2018, 4 rows of maize were randomly selected in each plot, and 10 plants were continuously selected in each row for yield measurements [19].
2.4. WUE
The WUE is used an index to measure the relationship between the crop yield and water consumption in the field. It represents the dry matter produced by crop evapotranspiration per unit mass of water, and it indicates the energy conversion efficiency in plant production. The WUE was calculated as follows:
where ET is the crop water consumption, IWP is the initial water pool in the farmland, Pr is the precipitation, Le is the amount of water leaching, RO is the surface run-off, and EWP is the end water pool in farmland.
ET = IWP + Pr − Le − RO − EWP
2.5. DNDC Model
The DNDC (DeNitrification–DeComposition, version 9.5) model is a process-based biogeochemical model. The first part of the model consists of three sub-models for soil climate, crop growth, and soil organic matter decomposition, using ecological drivers (i.e., climate, soil, vegetation, and human activities) to simulate soil environmental conditions (i.e., soil temperature, moisture, pH, redox potential, and associated chemical substrate concentration gradients). The second part includes three sub-models for nitrification, denitrification, and fermentation, which simulate the effects of soil environmental conditions on microbial activity and calculate the emissions and consumption of various gases (CO2, CH4, NH3, N2O, NO, N) in the plant–soil system. The functions used in the DNDC are derived from classical laws of physics, chemistry, and biology, or from empirical equations derived from laboratory studies. When the DNDC model is used to simulate biogeochemical processes at any point, basic parameters such as meteorological, soil, and crop data can be used as inputs according to the local planting and cultivation conditions, and the simulation can be conducted from 1 year up to many years. DNDC version 9.5 was used in this study, which allowed for simulations of film mulching by adjusting the film mulch area and duration. It was also used to quantify the effects of film mulching on the soil temperature and moisture under different heat transfer, water evapotranspiration, and runoff rates [16].
2.6. Model Testing
There were many differences between the basic parameters obtained in the experiment and the default data values provided in the model. In order to accurately simulate the growth of spring maize, we used the actual observational data to correct the parameters (Table 3). The model validation involved comparing historical measured data and model simulation data to determine whether the simulation results obtained by the model were consistent with the actual situation. Model validation was a necessary step before applying the model to a specific point.
Table 3.
Parameters used for the DNDC simulation.
The fitting degree of the model is generally evaluated by calculating the deviations between the model simulation data and historical measured data. We used the coefficient of determination (R2), normalized root mean square error (nRMSE), and Willmott index of agreement (d) to evaluate the suitability of the DNDC model for the study area:
where n is the number of actual observations, Oi and O are the actual observations and their averages, respectively, and Si and S are the model simulations and their averages.
2.7. Climate Models and Future Meteorological Scenarios
To assess the climate in future phases, the Intergovernmental Panel on Climate Change (IPCC) Fifth Assessment Report, published in 2014, established new future climate change typical concentration path scenarios with four different greenhouse gas concentration trajectories: SSP126, SSP245, SSP370, and SSP585 [19].
GCMs are major tools for predicting future climate change. In this study, a coupled model was used to compare 21 atmospheric circulation models under different emissions scenarios in phase 6 of the plan (CMIP6). We used raw prediction data from 21 different global circulation models (GCMs) to reduce the uncertainty when applying a single GCM (Table S1). Based on the DNDC model, the effects of climate change on maize production were simulated under four different emissions scenarios. Therefore, 252 simulations were conducted: four climate scenarios × 21 GCMs × three mulching treatments. The baseline simulation period was 1981–2010, and the future simulation lasted from 2021 to 2100.
3. Results
3.1. Applicability of Evaluation of the Model
3.1.1. Soil Temperature and Soil Moisture
In order to verify the suitability of the DNDC model for simulating the soil water temperature in this study, the soil temperature fitted by the model was compared with the actual observed soil temperature (at a depth of 5 cm) in the field. The correlation was calculated between the simulated value and actual observed value. The results showed that there was a significant correlation between the soil temperature simulated by the model and the measured value (p < 0.01). The simulation results were found to be good to excellent (nRMSE: 9.12–10.94%; R2: 0.906–0.910; d: 0.956–0.970) (Figure 2). The soil temperatures were significantly higher under different mulching methods compared to those without film mulching.
Figure 2.
Measured and simulated temperatures (5 cm) of the soil. The vertical represent the standard deviation of the observed values. CK—Conventional tillage without mulching. P—plastic film mulching with transparent polyethylene film, B—biodegradable film mulching.
After analyzing the measured and simulated soil water contents (10 cm) under each treatment, we found significant correlations between the simulated soil water contents and the measured values for all the three treatments (p < 0.01). The simulation results ranged from medium to good (nRMSE: 16.63–21.03%, R2: 0.56–0.63, d: 0.86–0.88) (Figure 3). The field observations showed that the soil water content was slightly higher under P than B, and the soil water contents under both P and B were significantly higher than that under CK. Comparisons between the simulated and measured values showed that the model slightly underestimated the soil water content without film mulching and the soil temperature under film mulching, but overestimated the soil water content under different film mulching methods and the soil temperature without film mulching. In general, the model performed well in simulating soil water and temperature.
Figure 3.
The precipitation data and the simulated and observed soil water content in the 0–10 cm depth range. The vertical bars represent the standard deviations, which were calculated based on three replicates. The abbreviations used in the figure are as follows: CK refers to conventional tillage without mulching, P represents plastic film mulching with transparent polyethylene film, and B indicates biodegradable film mulching.
3.1.2. Verification of Spring Maize Yield and WUE
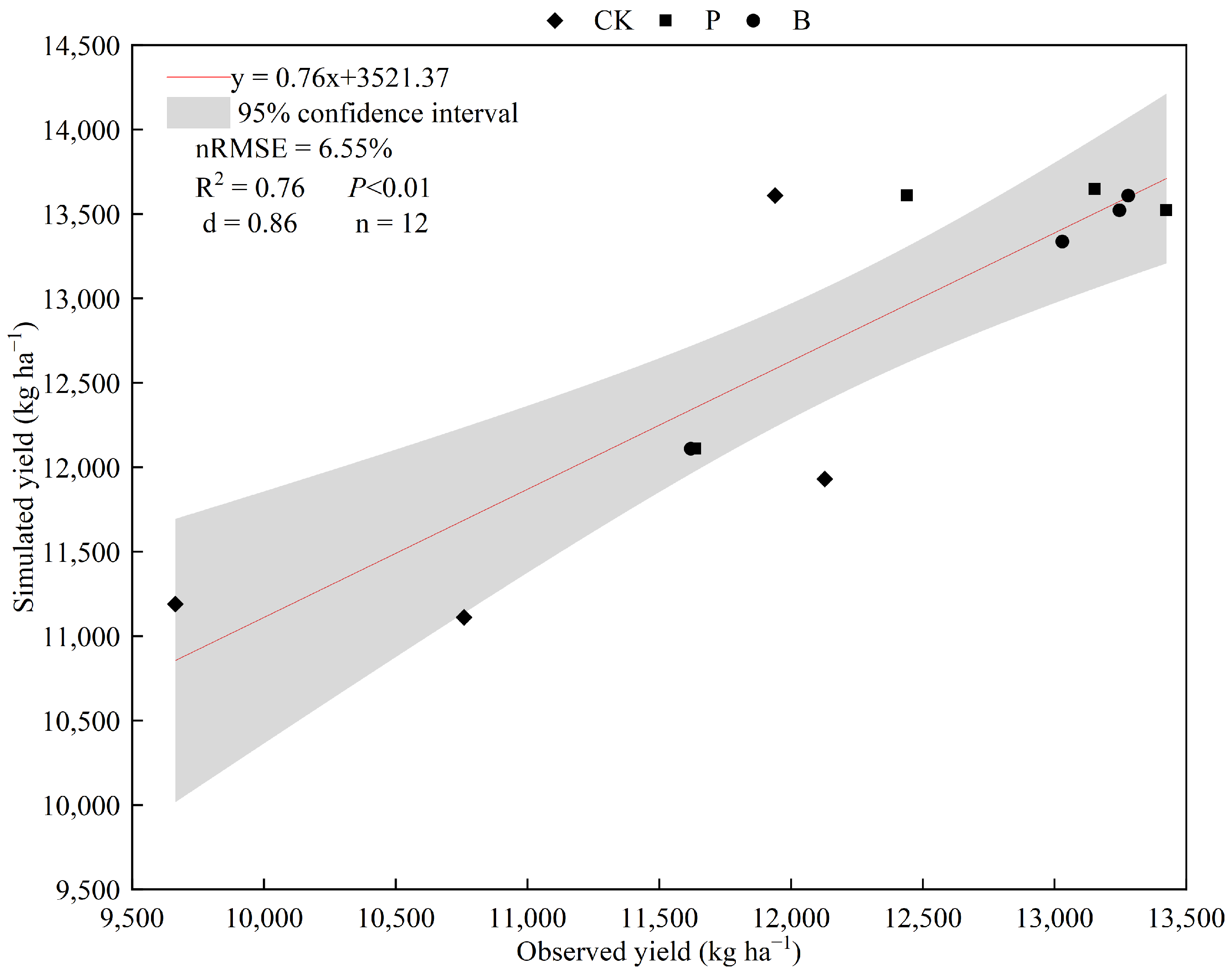
According to the selected parameters, the spring maize yields were simulated under each treatment from 2015 to 2018. Comparisons of the simulated and actual yields showed that the simulated values were generally consistent with the measured values (Figure 4). In addition, the DNDC model simulated an increase in maize yield under different mulching methods compared to the no-mulch treatment, but the model overestimated the maize yields under film mulching. The nRMSE values under CK, P, and B were determined to be 10.33%, 5.35%, and 2.82%, respectively. This indicated that the fits were better for the film treatments than for CK. The overall R2, d, and nRMSE values were 0.76, 0.86, and 6.55%, respectively. Therefore, the model obtained excellent fits to the yields. Moreover, the model simulated the inter-annual differences. Due to the high temperature and low rain in the late maize growth stage in 2017, the yield was lower compared to other years.
Figure 4.
Verification of maize yields under each treatment in a four-year field experiment (n = 12). The abbreviations used in the figure are as follows: R2 refers to coefficient of determination, nRMSE indicates normalized root mean square error, and d represents Willmott index of agreement. CK refers to conventional tillage without mulching, P represents plastic film mulching with transparent polyethylene film, and B indicates biodegradable film mulching.
3.2. Future Climate Change in the Experimental Area
Under the four climate change scenarios, the mean temperature and precipitation values were calculated for each future period using 21 GCM models. The temperature and precipitation increased over time (Figure 5). The mean annual rainfall during the baseline period (1981–2010) was 600 mm, and the mean annual temperature was 13.5 °C. The following 80 years (2021–2100) were divided into four periods: 2021–2040, 2041–2060, 2061–2080, and 2081–2100. The average temperatures in the next 80 years under the SSP126, SSP245, SSP370, and SSP585 scenarios were determined to be 15.73 °C, 16.17 °C, 16.54 °C, and 17.23 °C, respectively. The temperature growth rate continued to decrease over time under the SSP126 and SSP245 scenarios. The average temperature under SSP126 did not increase throughout 2081–2100 compared with 2061–2080. In contrast, the temperature continued to increase under the SSP585 and SSP370 scenarios. The increases in the temperature under the four scenarios followed the order of: SSP585 > SSP370 > SSP245 > SSP126.
Figure 5.
The left figure shows the mean value of the atmospheric temperature predicted by 21 GCMs under the four concentration scenarios in the future, and the shadow part represents the 95% confidence interval. The right figure shows the rainfall of each stage predicted by 21 GCMs under the four concentration scenarios in the future. Among them, the boundaries of the boxes represent the 25th and 75th percentiles, and the whiskers represent the 10th and 90th percentiles. The black line in the box represents the median, and the small square represents the average. The dashed lines indicate the average annual temperature and rainfall for the baseline period (1981–2010).
The average rainfall amounts in the next 80 years under the SSP126, SSP245, SSP370, and SSP585 scenarios increased by 12.59%, 9.20%, 9.97%, and 16.18%, respectively, compared with the baseline. In addition, the rainfall in each period was compared with the previous period. The results showed that the increase in rainfall in the SSP126 scenario decreased with time. The increase in rainfall under the SSP245 scenario was the largest during 2041–2060. Under the SSP370 and SSP585 scenarios, the rainfall and its increase peaked in the last 20 years of the 21st century. In addition, we divided the annual rainfall amounts predicted by the GCMs under the four scenarios into less than 400 mm, 400–800 mm, and greater than 800 mm. The results showed that years with annual rainfalls of 400–800 mm were more frequent than years with the other two annual rainfall amounts (Figure 6).
Figure 6.
Maize yield of each treatment under different annual rainfall. The black line in the box represents the median, and the small square represents the average. The boundaries of the boxes represent the 25th and 75th percentiles, and the whiskers represent the 10th and 90th percentiles. CK—Conventional tillage without mulching. P—plastic film mulching with transparent polyethylene film, B—biodegradable film mulching.
3.3. Effects of Future Climate Change on Spring Maize Yield and WUE
3.3.1. Spring Maize Yield
The yields simulated by the DNDC model in the baseline period (1981–2010) and future period (2021–2100) under four concentration scenarios is shown in Figure 7. The simulated yields under CK in the future periods (2021–2100) under the SSP126, SSP245, SSP370, and SSP585 scenarios increased by 28.53%, 29.55%, 31.43%, and 26.30%, respectively, compared with the baseline period. The simulated yields under B in the next four periods (2021–2100) under the SSP126, SSP245, SSP370, and SSP585 scenarios increased by 19.34%,17.26%, 16.49%, and 12.60%, respectively, compared with the baseline period. The simulated yields under P in the next four periods (2021–2100) under the SSP126, SSP245, SSP370, and SSP585 scenarios increased by 8.63%, 7.90%, 6.43%, and 2.67%, respectively, compared with the baseline period. The overall yield tended to increase under CK as the atmospheric CO2 concentration increased. Under the SSP126 scenario, the CK treatment showed an increasing trend over time, and the yields of the P and B treatments did not change significantly over time. In the SSP245, SSP370, and SSP585 scenarios, the yields of the P and B treatments gradually decreased over time, and the yield of the P treatment decreased more. The average yields at the 2081–2100 stage under the SSP370 scenario and 2061–2100 under the SSP585 scenario were lower than the average yields at the baseline stage. A sensitivity analysis based on the effects of rainfall and temperature on the maize yield showed that rainfall had a significantly greater effect on the yield than temperature, and both rainfall and temperature had the greatest impacts under CK (Table S2). The simulated yields under each treatment during years with different annual rainfall amounts under the four scenarios are shown in Figure 6. In the years with rainfall less than 400 mm, the yields under P and B increased significantly by 41.93–72.48% and 38.20–69.04%, respectively, compared with C. However, the difference was not significant between P and B. In the years with precipitation more than 800 mm, the yields under P and B only increased by 2.34–7.51% and 2.26–7.50%, respectively, compared with CK. The fitted curves for the effects of rainfall and temperature on the yield are shown in Figure 8. The yield under CK was highest when the annual rainfall was 690 mm, and the maximum yields under P and B occurred with rainfalls of 561 mm and 601 mm, respectively. As the temperature increased, the yields decreased under the film mulching treatments, whereas the yield increased with increasing temperatures under CK. The highest yield was obtained when the temperature reached 17.01 °C, then the yield decreased above this temperature threshold.
Figure 7.
Maize yield at each stage in the future simulated under four concentration scenarios. Each box represents 21 maize yields simulated by the DNDC model using meteorological data predicted by 21 GCMs. Among them, the boundaries of the boxes represent the 25th and 75th percentiles, and the whiskers represent the 10th and 90th percentiles. The black line in the box represents the median, and the small square represents the average. The dashed line represents the maize yield of each treatment in the baseline period (1981–2010) predicted by the model. Among them, the red line, yellow line and green line represent the maize yield of CK, P and B treatments at the baseline stage, respectively. CK—Conventional tillage without mulching. P—plastic film mulching with transparent polyethylene film, B—biodegradable film mulching.
Figure 8.
The maize yield simulated by DNDC under different temperature and precipitation years in the future stage (2021–2100). Shaded areas indicate 95% confidence intervals. CK—Conventional tillage without mulching. P—plastic film mulching with transparent polyethylene film, B—biodegradable film mulching.
3.3.2. WUE of Spring Maize
The simulated WUE values obtained under each treatment in each period under the four scenarios during 2021–2100 are shown in Figure 9. Compared with the baseline, the WUE increased by 17.12–23.78% under CK, by 19.20–25.25% under B, and by −8.30–2.97% under P. Comparisons of the WUE under each treatment and future scenarios showed that as the greenhouse gas emissions increased, the WUE tended to first increase and then decrease under each treatment, and the peak WUE occurred under the SSP370 scenario. The curves fitted between the temperature and WUE under the four scenarios are shown in Figure 10. As the temperature increased, the WUE under each treatment tended to increase initially before then decreasing. The maximum WUE values under CK, P, and B were obtained at 16.74 °C, 17.13 °C, and 16.57 °C, respectively. The WUE under CK was significantly correlated with the rainfall amount (Figure 10). The WUE values under each treatment decreased slightly as the rainfall amount increased. The WUE values differed significantly among the three treatments at the baseline. In the next 80 years, the differences in WUE were not significant between P and B, but significant differences were found between the WUE values under P and B compared with those under CK.
Figure 9.
WUE at each stage simulated under four concentration scenarios in the future. Each box represents 21 WUEs simulated by the DNDC model using meteorological data predicted by 21 GCMs. Among them, the boundaries of the boxes represent the 25th and 75th percentiles, and the whiskers represent the 10th and 90th percentiles. The black line in the box represents the median, and the small square represents the average. The dashed line represents the WUE of each treatment in the baseline period (1981–2010) predicted by the model. Among them, the red line, yellow line and green line represent the maize yield of CK, P and B treatments at the baseline stage, respectively. CK—Conventional tillage without mulching. P—plastic film mulching with transparent polyethylene film, B—biodegradable film mulching.
Figure 10.
The WUE simulated by DNDC under different temperature and precipitation years in the future stage (2021–2100). Shaded areas indicate 95% confidence intervals. CK—Conventional tillage without mulching. P—plastic film mulching with transparent polyethylene film, B—biodegradable film mulching.
4. Discussion
4.1. Evaluation of Model Fitting Results under Different Mulching Methods
The calibrated DNDC model was effective at simulating maize growth, development, and the changes in the soil hydrothermal conditions (Figure 2 and Figure 3). The field measurements showed that the film mulch materials had different effects on the soil hydrothermal conditions, and the model accurately simulated the changes in the soil water and temperature conditions under film mulching with different materials. The differences between the field measurements and simulated values could be explained by the timing of temperature and moisture measurements, which were taken in the morning or the afternoon, whereas the simulation output provided daily average values [20]. In addition, the model showed better fit to the soil temperature compared to the soil moisture because tit accounted for daily precipitation at the earliest time of the day, whereas the output water content was based on water infiltration and evaporation from the surface soil after the rainfall events ended. Thus, the simulation results may have missed the actual high soil moisture measurements due to larger fluctuations in the actual water measurements compared to the simulation results [21].
The predicted yields also verified that the DNDC model could accurately simulate the maize yield under different mulch materials (Figure 3). The accuracy of the DNDC yield simulation has also been verified in many parts of the world [22,23]. In this study, the model overestimated the maize yield under film mulching, probably due to an inaccurate prediction of water evaporation under film mulching [16], leading to overestimation of the soil water content under film mulching. Similar conclusions were also reported by Yu et al. [24].
4.2. Changes in Maize Yield and WUE under Future Climate Change Conditions
4.2.1. Maize Yield
The changes in the crop yield under future climate conditions will be influenced by the combined effects of the temperature, precipitation, atmospheric CO2 concentration, and other factors [20]. The Monte Carlo method was used to analyze the sensitivity of simulated maize yield. The results showed that rainfall had the greatest impact on the yield of each treatment, indicating that rainfall was the main limiting factor for agricultural production in this area. Compared with no mulching, the film mulching treatments reduced the sensitivity of the yield to rainfall due to the inhibition of water evaporation under mulching, and the improved water content under the film could alleviate the limitations on maize production due to scarce water resources [25].
The 21 GCMs used in this study had different climate predictions, but the average temperature and rainfall all tended to increase under the four future scenarios [26]. Compared with film mulching, the absence of mulching mainly obtained lower yields due to the low soil temperature and soil moisture contents, but the increases in the temperature, precipitation, and CO2 concentration in the future climate conditions had positive effects on the yield increases [27]. Our results also indicated that the yield without mulching continued to increase under future climatic conditions, as also shown by Zhang et al. [28].
In the early growth stage of maize, film mulching improved the soil hydrothermal environment and alleviated the effects of insufficient rainfall and accumulated temperature on maize growth. Therefore, the yield was higher with film mulching compared with the yield without film mulching. However, in the future four emissions scenarios, the yields under film mulching were reduced in the later periods compared with the earlier period, and the maize yield decreased more under traditional polyethylene mulch, as also shown in a previous study [20]. In rainfed agricultural regions, heat resources are adequate in the late maize growth, and the temperature does not limit productivity. However, traditional polyethylene film mulching can lead to crop failures when used throughout the whole growing season because soil temperatures above a certain threshold will accelerate root and leaf senescence. Consequently, the time period when light energy can be intercepted to support photosynthesis by crops is reduced, thereby decreasing the accumulated biomass and yield [29]. Xiao et al. also reported a negative relationship between film mulching and the maize yield due to future temperature changes exceeding the optimal temperature range for growth [30,31]. In contrast, the soil temperature will not continue to rise under biodegradable film due to its degradation in the later maize growth stage and changes in the soil hydrothermal environment. Thus, mulching with biodegradable film is more advantageous than polyethylene film for yield formation in the later stage. The curves fitted between the temperature and yield under future climate conditions are shown in Figure 8. The yield decreased rapidly as the temperature increased in the future period under polyethylene film mulching, thereby demonstrating that biodegradable film will be more effective than traditional polyethylene film in the future.
4.2.2. WUE
The WUE depends on the ratio of the crop yield relative to water consumption. In our study, film mulching significantly improved the WUE of maize compared with the absence of mulching (Figure 9), as also shown by Gu et al. [32]. Film mulching provides a more suitable hydrothermal environment for crop growth by inhibiting the ineffective evaporation of soil water and maintaining the soil temperature, which is conducive to the accumulation of biomass and enhancing transpiration to increase the WUE of crops [4,33].
In this study, the WUE values with no mulching and biodegradable film mulching under all scenarios were higher in future periods than the baseline period, but the WUE values with polyethylene film mulching were generally lower than those in the baseline period. The absence of mulching led to ineffective evaporation of water, and insufficient rainfall greatly limited formation of the maize yield. However, the utilization of water by the roots under increased rainfall in the future will improve the crop yield and WUE [28]. The WUE continued to decrease under traditional polyethylene film mulching, possibly due to the long-term excessive consumption of soil water over several years of film mulching. This can lead to a lack of available water in the deep soil [34]. In addition, the accelerated growth of crops in the early growth stage would consume excessive water under film mulching. Moreover, the film will form a barrier in the late growth stage to prevent rainfall from penetrating into the soil and being absorbed by the roots. Therefore, the crops will lack sufficient water and nutrients in the late growth stage [11]. Long-term localization studies have also shown that the accumulation of residual film reduces the available water and nutrients [20] and inhibits the accumulation of dry matter [35]. This decreases the yield and WUE over time under plastic film mulching. We observed a greater decrease in the WUE in the warmer and wetter conditions under SSP585.
The effects of polyethylene film mulching and biodegradable film mulching on the WUEs of crops varied with the number of years under mulching due to the different properties of these materials [11]. In the late maize growth stage, degradation of the biodegradable film decreased the thermal insulation effect and water retaining capacity of the plastic film [36]. Consequently, the premature root senescence caused by high temperature stress in the later growth stage of maize was alleviated, and the degraded film had no adverse effects on the soil physical and chemical properties. Therefore, the WUE increased under biodegradable film mulching. In the warmer and wetter conditions in the future under the SSP585 scenario, the WUE values under biodegradable film mulching were higher than those under polyethylene film in the following four periods (2021–2100) (Figure 9), thereby indicating that biodegradable film mulch may adapt better to warmer and more humid climate conditions in the future.
5. Conclusions
Under future climate conditions, the southern Loess Plateau region will experience increased temperature and precipitation. The magnitude of warming and wetter conditions follows the order of: SSP585 > SSP370 > SSP245 > SSP126. Across the four future scenarios, the yields under no mulching, traditional polyethylene film, and biodegradable film mulching increased by different amounts over time compared with the baseline period. However, under the higher temperature and rainfall conditions in the future, the crop yield and WUE under the mulching measures showed a downward trend with time. The yield and WUE under the traditional polyethylene film decreased more, and there was no advantage of the polyethylene film compared with the degradable film. Moreover, in the wetter and warmer conditions under the SSP585 scenario, the WUE was higher with biodegradable film compared to traditional polyethylene film.
Supplementary Materials
The following supporting information can be downloaded at: https://www.mdpi.com/article/10.3390/agriculture13061252/s1, Figure S1: Degradation rate of degradable membrane used in this study. Figure S2: Average daily temperature and average annual precipitation in the Loess Plateau from 1990 to 2019. Figure S3. Structure of the DNDC model. Table S1. List of 21 global climate models (GCM) used in this study. Table S2. Sensitivity analysis of model response to climate change.
Author Contributions
Conceptualization, B.W., P.Z. and Z.J.; methodology, B.W., Z.L. (Zhaoyang Li), Z.L. (Zihan Liu) and J.P.; investigation, B.W. and Z.L. (Zhaoyang Li); formal analysis, B.W., Z.L. (Zhaoyang Li), Z.L. (Zihan Liu) and J.P.; writing—original draft preparation, B.W.; writing—review and editing, B.W., P.Z. and Z.J. All authors have read and agreed to the published version of the manuscript.
Funding
This research was supported by the National Natural Science Foundation of China (No. 41671226), the Research and Demonstration on Sustainable Intensification Technology of Dry Farming in Ningxia (No. 2019BBF03011), and the China 111 Project (No. B12007). The funders of the above three fund projects are all Professor Zhikuan Jia.
Institutional Review Board Statement
Not applicable.
Informed Consent Statement
Not applicable.
Data Availability Statement
The authors do not have permission to share data.
Acknowledgments
We are grateful to Junfeng Nie, Hui Li, Baoping Yang, and Ruixia Ding for their help with the experiments. We also would like to thank the reviewers of this study.
Conflicts of Interest
The authors declare no conflict of interest.
References
- Zhang, A.; Bian, R.; Hussain, Q.; Li, L.; Pan, G.; Zheng, J.; Zhang, X.; Zheng, J. Change in net global warming potential of a rice–wheat cropping system with biochar soil amendment in a rice paddy from China. Agric. Ecosyst. Environ. 2013, 173, 37–45. [Google Scholar] [CrossRef]
- Zhang, P.; Wei, T.; Han, Q.; Ren, X.; Jia, Z. Effects of different film mulching methods on soil water productivity and maize yield in a semiarid area of China. Agric. Water Manag. 2020, 241, 106382. [Google Scholar] [CrossRef]
- Li, R.; Chai, S.; Chai, Y.; Li, Y.; Lan, X.; Ma, J.; Cheng, H.; Chang, L. Mulching optimizes water consumption characteristics and improves crop water productivity on the semi-arid Loess Plateau of China. Agric. Water Manag. 2021, 254, 106965. [Google Scholar] [CrossRef]
- Gan, Y.; Siddique, K.H.M.; Turner, N.C.; Li, X.-G.; Niu, J.-Y.; Yang, C.; Liu, L.; Chai, Q. Chapter Seven-Ridge-Furrow Mulching Systems—An Innovative Technique for Boosting Crop Productivity in Semiarid Rain-Fed Environments. In Advances in Agronomy, Advances in Agronomy; Sparks, D.L., Ed.; Academic Press: Cambridge, MA, USA, 2013; pp. 429–476. [Google Scholar] [CrossRef]
- Huang, Y.; Liu, Q.; Jia, W.; Yan, C.; Wang, J. Agricultural plastic mulching as a source of microplastics in the terrestrial environment. Environ. Pollut. 2020, 260, 114096. [Google Scholar] [CrossRef]
- Castan, S.; Henkel, C.; Hüffer, T.; Hofmann, T. Microplastics and nanoplastics barely enhance contaminant mobility in agricultural soils. Commun. Earth Environ. 2021, 2, 193. [Google Scholar] [CrossRef]
- Piao, S.; Ciais, P.; Huang, Y.; Shen, Z.; Peng, S.; Li, J.; Zhou, L.; Liu, H.; Ma, Y.; Ding, Y.; et al. The impacts of climate change on water resources and agriculture in China. Nature 2010, 467, 43–51. [Google Scholar] [CrossRef] [PubMed]
- Liu, Z.; Huang, F.; Wang, B.; Li, Z.; Zhang, P.; Jia, Z. Impacts of mulching measures on crop production and soil organic carbon storage in a rainfed farmland area under future climate. Field Crops Res. 2021, 273, 108303. [Google Scholar] [CrossRef]
- Sander, M. Biodegradation of Polymeric Mulch Films in Agricultural Soils: Concepts, Knowledge Gaps, and Future Research Directions. Environ. Sci. Technol. 2019, 53, 2304–2315. [Google Scholar] [CrossRef]
- Sintim, H.Y.; Bandopadhyay, S.; English, M.E.; Bary, A.I.; DeBruyn, J.M.; Schaeffer, S.M.; Miles, C.A.; Reganold, J.P.; Flury, M. Impacts of biodegradable plastic mulches on soil health. Agric. Ecosyst. Environ. 2019, 273, 36–49. [Google Scholar] [CrossRef]
- Huang, F.; Liu, Z.; Li, Z.; Wang, B.; Zhang, P.; Jia, Z. Is biodegradable film an alternative to polyethylene plastic film for improving maize productivity in rainfed agricultural areas?—Evidence from field experiments. Agric. Water Manag. 2022, 272, 107868. [Google Scholar] [CrossRef]
- Huang, F.; Wang, B.; Li, Z.; Liu, Z.; Wu, P.; Wang, J.; Ye, X.; Zhang, P.; Jia, Z. Continuous years of biodegradable film mulching enhances the soil environment and maize yield sustainability in the dryland of northwest China. Field Crops Res. 2022, 288, 108698. [Google Scholar] [CrossRef]
- Liu, L.; Zou, G.; Zuo, Q.; Li, S.; Bao, Z.; Jin, T.; Liu, D.; Du, L. It is still too early to promote biodegradable mulch film on a large scale: A bibliometric analysis. Environ. Technol. Innov. 2022, 27, 102487. [Google Scholar] [CrossRef]
- Gu, X.; Cai, H.; Fang, H.; Li, Y.; Chen, P.; Li, Y. Effects of degradable film mulching on crop yield and water use efficiency in China: A meta-analysis. Soil Tillage Res. 2020, 202, 104676. [Google Scholar] [CrossRef]
- Li, C.; Frolking, S.; Crocker, G.J.; Grace, P.R.; Klír, J.; Körchens, M.; Poulton, P.R. Simulating trends in soil organic carbon in long-term experiments using the DNDC model. Geoderma. Eval. Comp. Soil Org. Matter Model. 1997, 81, 45–60. [Google Scholar] [CrossRef]
- Han, J.; Jia, Z.; Wu, W.; Li, C.; Han, Q.; Zhang, J. Modeling impacts of film mulching on rainfed crop yield in Northern China with DNDC. Field Crops Res. 2014, 155, 202–212. [Google Scholar] [CrossRef]
- Zhao, J.; Ma, J.; Hou, M.; Li, S. Spatial–temporal variations of carbon storage of the global forest ecosystem under future climate change. Mitig. Adapt. Strateg. Glob. Chang. 2020, 25, 603–624. [Google Scholar] [CrossRef]
- Chen, H.; Liu, J.; Zhang, A.; Chen, J.; Cheng, G.; Sun, B.; Pi, X.; Dyck, M.; Si, B.; Zhao, Y.; et al. Effects of straw and plastic film mulching on greenhouse gas emissions in Loess Plateau, China: A field study of 2 consecutive wheat-maize rotation cycles. Sci. Total Environ. 2017, 579, 814–824. [Google Scholar] [CrossRef]
- Intergovernmental Panel on Climate Change. Detection and Attribution of Climate Change: From Global to Regional. In Climate Change 2013—The Physical Science Basis; Cambridge University Press: Cambridge, UK, 2014; pp. 867–952. [Google Scholar] [CrossRef]
- Chen, H.; Li, L.; Luo, X.; Li, Y.; Liu, D.L.; Zhao, Y.; Feng, H.; Deng, J. Modeling impacts of mulching and climate change on crop production and N2O emission in the Loess Plateau of China. Agric. For. Meteorol. 2019, 268, 86–97. [Google Scholar] [CrossRef]
- Deng, J.; Zhou, Z.; Zheng, X.; Li, C. Modeling impacts of fertilization alternatives on nitrous oxide and nitric oxide emissions from conventional vegetable fields in southeastern China. Atmos. Environ. 2013, 81, 642–650. [Google Scholar] [CrossRef]
- Abdalla, M.; Song, X.; Ju, X.; Topp, C.F.E.; Smith, P. Calibration and validation of the DNDC model to estimate nitrous oxide emissions and crop productivity for a summer maize-winter wheat double cropping system in Hebei, China. Environ. Pollut. 2020, 262, 114199. [Google Scholar] [CrossRef]
- Chen, H.; Zhao, Y.; Feng, H.; Li, H.; Sun, B. Assessment of climate change impacts on soil organic carbon and crop yield based on long-term fertilization applications in Loess Plateau, China. Plant Soil 2015, 390, 401–417. [Google Scholar] [CrossRef]
- Yu, Y.; Tao, H.; Jia, H.; Zhao, C. Impact of plastic mulching on nitrous oxide emissions in China’s arid agricultural region under climate change conditions. Atmos. Environ. 2017, 158, 76–84. [Google Scholar] [CrossRef]
- Zhang, F.; Zhang, W.; Li, M.; Zhang, Y.; Li, F.; Li, C. Is crop biomass and soil carbon storage sustainable with long-term application of full plastic film mulching under future climate change? Agric. Syst. 2017, 150, 67–77. [Google Scholar] [CrossRef]
- Xu, C.; Xu, Y. The Projection of Temperature and Precipitation over China under RCP Scenarios using a CMIP5 Multi-Model Ensemble. Atmos. Ocean. Sci. Lett. 2012, 5, 527–533. [Google Scholar] [CrossRef]
- Yang, X.; Chen, F.; Lin, X.; Liu, Z.; Zhang, H.; Zhao, J.; Li, K.; Ye, Q.; Li, Y.; Lv, S.; et al. Potential benefits of climate change for crop productivity in China. Agric. For. Meteorol. 2015, 208, 76–84. [Google Scholar] [CrossRef]
- Zhang, F.; Zhang, W.; Qi, J.; Li, F.-M. A regional evaluation of plastic film mulching for improving crop yields on the Loess Plateau of China. Agric. For. Meteorol. 2018, 248, 458–468. [Google Scholar] [CrossRef]
- Asseng, S.; Ewert, F.; Martre, P.; Rötter, R.P.; Lobell, D.B.; Cammarano, D.; Kimball, B.A.; Ottman, M.J.; Wall, G.W.; White, J.W.; et al. Rising temperatures reduce global wheat production. Nature Clim. Chang. 2015, 5, 143–147. [Google Scholar] [CrossRef]
- Xiao, D.; Liu, D.L.; Feng, P.; Wang, B.; Waters, C.; Shen, Y.; Qi, Y.; Bai, H.; Tang, J. Future climate change impacts on grain yield and groundwater use under different cropping systems in the North China Plain. Agric. Water Manag. 2021, 246, 106685. [Google Scholar] [CrossRef]
- Xiao, D.; Tao, F. Contributions of cultivars, management and climate change to winter wheat yield in the North China Plain in the past three decades. Eur. J. Agron. 2014, 52, 112–122. [Google Scholar] [CrossRef]
- Gu, X.; Li, Y.; Du, Y. Continuous ridges with film mulching improve soil water content, root growth, seed yield and water use efficiency of winter oilseed rape. Ind. Crops Prod. 2016, 85, 139–148. [Google Scholar] [CrossRef]
- Wang, Z.; Wu, Q.; Fan, B.; Zheng, X.; Zhang, J.; Li, W.; Guo, L. Effects of mulching biodegradable films under drip irrigation on soil hydrothermal conditions and cotton (Gossypium hirsutum L.) yield. Agric. Water Manag. 2019, 213, 477–485. [Google Scholar] [CrossRef]
- Steinmetz, Z.; Wollmann, C.; Schaefer, M.; Buchmann, C.; David, J.; Tröger, J.; Muñoz, K.; Frör, O.; Schaumann, G.E. Plastic mulching in agriculture. Trading short-term agronomic benefits for long-term soil degradation? Sci. Total Environ. 2016, 550, 690–705. [Google Scholar] [CrossRef] [PubMed]
- Gao, H.; Yan, C.; Liu, Q.; Ding, W.; Chen, B.; Li, Z. Effects of plastic mulching and plastic residue on agricultural production: A meta-analysis. Sci. Total Environ. 2019, 651, 484–492. [Google Scholar] [CrossRef] [PubMed]
- Gu, X.; Li, Y.; Du, Y. Biodegradable film mulching improves soil temperature, moisture and seed yield of winter oilseed rape (Brassica napus L.). Soil Tillage Res. 2017, 171, 42–50. [Google Scholar] [CrossRef]
Disclaimer/Publisher’s Note: The statements, opinions and data contained in all publications are solely those of the individual author(s) and contributor(s) and not of MDPI and/or the editor(s). MDPI and/or the editor(s) disclaim responsibility for any injury to people or property resulting from any ideas, methods, instructions or products referred to in the content. |
© 2023 by the authors. Licensee MDPI, Basel, Switzerland. This article is an open access article distributed under the terms and conditions of the Creative Commons Attribution (CC BY) license (https://creativecommons.org/licenses/by/4.0/).









