Design and Test of an Arc-Shaped Tooth Press Device for Combined Soil Preparation Equipment for Growing Potatoes
Abstract
1. Introduction
2. Materials and Methods
2.1. Design of the Press Device
2.1.1. Structure and Operation Principle
2.1.2. Key Component Design
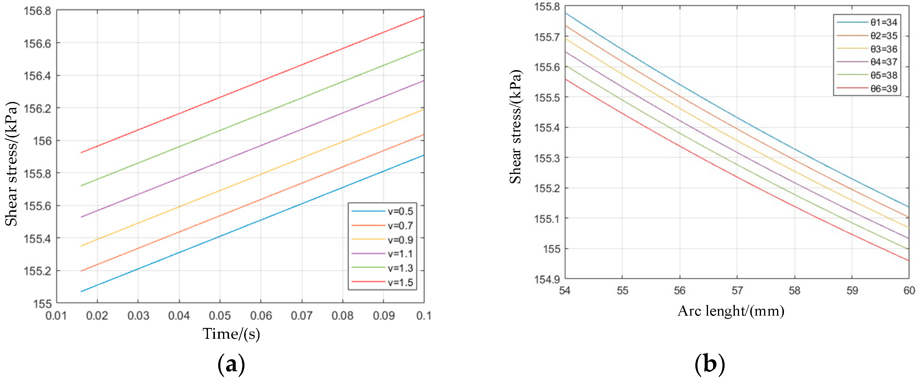
- The forward speed of the press roller;
- The roller tooth arc length;
- The angle between the roller tooth and the vertical direction (ABRTVD).
2.2. Methods
2.2.1. Simulation Model Construction
2.2.2. Simulation Test Program
2.2.3. Field Test Program
3. Results and Discussion
3.1. Analysis of ANOVA
3.2. Field Test
3.3. The Impact of Each Factor on the Performance Evaluation Index
4. Conclusions
- (1)
- An arc-shaped tooth press device was designed to match the combined soil preparation equipment, and the overall structure and working principle of the combined soil preparation equipment are illustrated; the press roller, as a key component of press device, was analyzed for its working force on the soil; the static and dynamic forces of the arc-shaped tooth welded on the roller were analyzed, and the shear stress equation of tooth cutting soil was constructed; and the key factors affecting the magnitude of shear stress were determined and their range were solved by using MATLAB;
- (2)
- Design-Expert 8.0.6 software was used for the test design, recording the forward speed, the roller tooth arc length, and the ABRTVD as test factors, as well as the soil breakage rate and flatness as test indexes. On the basis of SolidWorks modeling, a press roller-soil simulation model was established using EDEM software, and a quadratic regression orthogonal rotation simulation experiment with three-factor and five-level was conducted on the working process of the press roller. A regression mathematical model was established between various experimental factors and experimental indexes, and the optimal parameters combination for the arc-shaped tooth press device was obtained as follows: the tractor forward speed is 0.72~1.15 m·s−1, the roller tooth arc length is 58.7 mm, the ABRTVD is 37.74°, the predicted soil breakage rate is 93.62%, and the flatness is 20.73 mm; simulation verification was conducted on the optimal combination parameters, and it was found that the soil breakage rate under this set of parameters was 93.58% and the flatness was 21.06 mm, which is basically consistent with the optimization results. The feasibility of the DEM to analyze the operational performance of a press device in clay loam was verified, and this provided a new method for later research on press devices;
- (3)
- Field tests were conducted using the optimal combination parameters obtained through analysis; after the operation of the arc-shaped tooth press device of the combined soil preparation machine, the soil breakage rate is 95.6%, the flatness is 20.6 mm, and the operational performance is better than that of the traditional press device. From the perspective of combining theoretical analysis and experiments, a compaction device for a potato joint soil preparation machine was designed in this article, and this broadens the research approach for traditional combined soil preparation machines that only focus on soil breakage devices. This device meets the quality requirements for soil preparation before potato planting, which is beneficial for improving the quality of potato emergence after sowing and thus increasing potato yield.
Author Contributions
Funding
Institutional Review Board Statement
Informed Consent Statement
Data Availability Statement
Acknowledgments
Conflicts of Interest
References
- Singh, P.; Sandhu, A.S. Energy budgeting and economics of potato (Solanum tuberosum L.) cultivation under different sowing methods in north-western India. Energy 2023, 269, 986–993. [Google Scholar] [CrossRef]
- Zhang, Q.; Wang, S.; Sun, Y.; Zhang, Y.; Li, H.; Liu, P.; Wang, X.; Wang, R.; Li, J. Conservation tillage improves soil water storage, spring maize (Zea mays L.) yield and WUE in two types of seasonal rainfall distributions. Soil Tillage Res. 2021, 215, 105237. [Google Scholar] [CrossRef]
- Tang, H.; Xu, C.; Xu, W.; Xu, Y.; Xiang, Y.; Wang, J. Method of straw ditch-buried returning, development of supporting machine and analysis of influencing factors. Front. Plant Sci. 2022, 13, 967838. [Google Scholar] [CrossRef] [PubMed]
- Lyu, J.; Yi, S.; Tao, G.; Tao, G.; Mao, X. Parameter optimization and experiment of splitter sliding-knife opener for potato planter. Trans. CSAE. 2018, 34, 44–54. (In Chinese) [Google Scholar]
- Kazlauskas, M.; Šarauskis, E.; Lekavičienė, K.; Naujokienė, V.; Romaneckas, K.; Bručienė, I.; Buragienė, S.; Steponavičius, D. The Comparison Analysis of Uniform-and Variable-Rate Fertilizations on Winter Wheat Yield Parameters Using Site-Specific Seeding. Processes 2022, 10, 2717. [Google Scholar] [CrossRef]
- Mileusnić, Z.I.; Saljnikov, E.; Radojević, R.L.; Petrović, D.V. Soil compaction due to agricultural machinery impact. J. Terramech. 2022, 100, 51–60. [Google Scholar] [CrossRef]
- Vilakazi, B.S.; Zengeni, R.; Mafongoya, P. Selected Soil Physicochemical Properties under Different Tillage Practices and N Fertilizer Application in Maize Mono-Cropping. Agriculture 2022, 12, 1738. [Google Scholar] [CrossRef]
- Matin, M.A.; Hossain, M.I.; Gathala, M.K.; Timsina, J.; Krupnik, T.J. Optimal design and setting of rotary strip-tiller blades to intensify dry season cropping in Asian wet clay soil conditions. Soil Tillage Res. 2021, 207, 104854. [Google Scholar] [CrossRef]
- Lee, K.S.; Park, S.H.; Park, W.Y.; Lee, C.S. Strip tillage characteristics of rotary tiller blades for use in a dryland direct rice seeder. Soil Tillage Res. 2003, 71, 25–32. [Google Scholar] [CrossRef]
- Zhao, J.; Wang, A.; Ma, Y.; Li, J.; Hao, J.; Nie, Q.; Long, S.; Yang, Q. Design and test of soil preparation machine combined subsoiling, rotary tillage and soil breaking. Trans. CSAE. 2019, 35, 46–54. (In Chinese) [Google Scholar]
- Kang, D.; Sun, W.; Zhang, T.; Li, D.; Wu, J. Study and experiment on subsoiling, stubble-breaking and pressing soil combined tillage machine in arid area. Trans. J. China Agric. Univ. 2018, 23, 133–142. (In Chinese) [Google Scholar]
- Chen, G.; Dong, C.; Zhang, L.; Wang, Q.; He, J.; Long, H. Design and experiment of shajiang black soil preparation machine with double pressing roller. Trans. Chin. Soc. Agric. Mach. 2022, 53, 50–59. (In Chinese) [Google Scholar]
- Dai, F.; Song, X.; Zhao, W.; Wie, W.; Zhang, F.; Ma, H. Design and Experiment of Operation Machine for Filming and Covering Soil on Tiny Ridges. Trans. Chin. Soc. Agric. Mach. 2020, 3, 97–105+129. (In Chinese) [Google Scholar]
- Zhao, S.; Liu, H.; Tan, H.; Yang, Y.; Zhang, X. Design and Experiment of Bidirectional Profiling Press Device for Hilly Area. Trans. Chin. Soc. Agric. Mach. 2017, 48, 82–89. [Google Scholar]
- Okayasu, T.; Morishita, K.; Terao, H.; Mitsuoka, M.; Inoue, E.; Fukami, K. Modeling and prediction of soil cutting behavior by a plow frictional slider. Int. Conf. Agric. Eng. CIGR Ageng. 2012, 23, 23. [Google Scholar]
- Kim, Y.S.; Siddique, M.; Kim, W.S.; Kim, Y.J.; Lim, R.G. DEM simulation for draft force prediction of moldboard plow according to the tillage depth in cohesive soil. Comput. Electron. Agric. 2021, 189, 106368. [Google Scholar] [CrossRef]
- Zhang, G.; Zhang, Z.; Xiao, M.; Pb, B.; Bartos, P.; Bohata, A. Soil-cutting simulation and parameter optimization of rotary blade’s three-axis resistances by response surface method. Comput. Electron. Agric. 2019, 164, 104902. [Google Scholar] [CrossRef]
- Barbosa, L.A.P. Modelling the aggregate structure of a bulk soil to quantify fragmentation properties and energy demand of soil tillage tools in the formation of seedbeds. Biosyst. Eng. 2020, 197, 203–215. [Google Scholar] [CrossRef]
- Du, J.; Heng, Y.; Zheng, K.; Zhang, W.; Zhang, J.; Xia, J. Evaluation of the Performance of a Combined Tillage Implement with Plough and Rotary Tiller by Experiment and DEM Simulation. Processes 2021, 9, 1174. [Google Scholar] [CrossRef]
- Jin, H.; Hongwen, L.I.; Haitao, C.H.E.N.; Caiyun, L.U.; Qingjie, W.A.N.G. Research progress of conservation tillage technology and machine. Trans. Chin. Soc. Agric. Mach. 2018, 49, 1–19. (In Chinese) [Google Scholar]
- Blevins, R.L.; Smith, M.S.; Thomas, G.W.; Frye, W.W. Influence of conservation tillage on soil properties. J. Soil Water Conserv. 1983, 38, 301–305. [Google Scholar]
- De Oliveira, I.N.; de Souza, Z.M.; Bolonhezi, D.; Totti, M.C.V.; de Moraes, M.T.; Lovera, L.H.; de Souza Lima, E.; Esteban, D.A.A.; Oliveira, C.F. Tillage systems impact on soil physical attributes, sugarcane yield and root system propagated by pre-sprouted seedlings. Soil Tillage Res. 2022, 223, 105460. [Google Scholar] [CrossRef]
- China Academy of Agricultural Mechanization Science. Handbook of Agricultural Machinery Design; China Agricultural Science and Technology Press: Beijing, China, 2007. [Google Scholar]
- Luo, X.W.; Perumpral, J.V. Study on soil strength with microwave reflection loss. Trans. CSAE. 1995, 11, 46–51. (In Chinese) [Google Scholar]
- Lapen, D.R.; Hayhoe, H.N.; Topp, G.C.; McLaughlin, N.B.; Gregorich, E.G.; Curnoe, W.E. Measurements of mouldboard plow draft: II Draft-soil-srop and yield-draft association. Precis. Agric. 2002, 3, 237–257. [Google Scholar] [CrossRef]
- Hou, S.; Wang, S.; Ji, Z.; Zhu, X. Design and Test of the Clearing and Covering of a Minimum-Tillage Planter for Corn Stubble. Agriculture 2022, 12, 1209. [Google Scholar] [CrossRef]
- Tang, H.; Xu, C.; Zhao, J.; Wang, J. Stripping mechanism and loss characteristics of a stripping-prior-to-cutting header for rice harvesting based on CFD-DEM simulations and bench experiments. Biosyst. Eng. 2023, 229, 116–136. [Google Scholar] [CrossRef]
- Mousaviraad, M.; Tekeste, M.; Rosentrater, K.A. Calibration and Validation of a Discrete Element Model of Corn Using Grain Flow Simulation in a Commercial Screw Grain Auger. Trans. ASABE 2017, 60, 1403–1415. (In Chinese) [Google Scholar] [CrossRef]
- Tang, H.; Xu, F.D.; Xu, C.S.; Zhao, J.L.; Wang, Y.-J. The influence of a seed drop tube of the inside-filling air-blowing precision seed-metering device on seeding quality. Comput. Electron. Agric. 2023, 204, 107555. [Google Scholar] [CrossRef]
- Tian, X.; Cong, X.; Qi, J.; Guo, H.; Li, M.; Fan, X. Parameter calibration of discrete element model for corn straw–soil mixture in black soil areas. Trans. Chin. Soc. Agric. Mach. 2021, 52, 100–108. [Google Scholar]
- Tang, H.; Xu, C.; Wang, Z.; Wang, Q.; Wang, J. Optimized Design, Monitoring System Development and Experiment for a Long-Belt Finger-Clip Precision Corn Seed Metering Device. Front. Plant Sci. 2022, 13, 814747. [Google Scholar] [CrossRef]
- Lyu, J.; Liu, Q.; Yang, D.; Li, J.; Liu, Z. Design and Test of Key Components of Ploughshare Potato Field Cultivator in Sandy Loam. Trans. Chin. Soc. Agric. Mach. 2021, 52, 27–39. (In Chinese) [Google Scholar]
- Sun, J.; Wang, Y.; Ma, Y.; Tong, J.; Zhang, Z. DEM simulation of bionic subsoilers (tillage depth > 40 cm) with drag reduction and lower soil disturbance characteristics. Adv. Eng. Softw. 2018, 119, 30–37. [Google Scholar] [CrossRef]
- Qin, K.; Ding, W.; Fang, Z.; Du, T.; Zhao, S.; Wang, Z. Design and experiment of plowing and rotary tillage combined machine. Trans. CSAE. 2016, 32, 7–16. (In Chinese) [Google Scholar]








| Parameter | Value | Unit |
|---|---|---|
| Press device overall dimensions (length × width × height) | 700 × 2400 × 1150 | mm × mm × mm |
| Matching power | ≥55 | kW |
| Connection method | Three-point suspension | / |
| Working width | 2200 | mm |
| Working speed | 2.5~4 | km/h |
| Type | Size and Scale | |
|---|---|---|
| Small clods | ![]() | 40 mm≤ 60~75% |
| Middle clods | ![]() | 40~80 mm 10~30% |
| Large clods | ![]() | ≥80 mm 10~15% |
| Item | Value |
|---|---|
| Tangential shear modulus | 5500 |
| Normal modulus of elasticity | 4000 |
| Tangential maximum stress (N) | 9000 |
| Normal maximum stress (N) | 4000 |
| Radius of bonded particles (mm) | 5.5 |
| Properties | 65 Mn/Source | Soil/Source |
|---|---|---|
| Density/(kg·m−3) | 7800 | 2650 |
| Shear’s modulus/Pa | 7.96 × 1010 | 1.0 × 106 |
| Poisson’s ratio | 0.3 | 0.34 |
| Coefficient of rolling friction (to soil) | 0.11 | 0.2 |
| Coefficient of friction (to soil) | 0.65 | 0.3 |
| Coefficient of restitution (to soil) | 0.6 | 0.6 |
| Test Factors | Coded Value | |||||
|---|---|---|---|---|---|---|
| −1.682 | −1 | 0 | 1 | 1.682 | ||
| x1 | Forward speed v/(m·s−1) | 0.16 | 0.5 | 1 | 1.5 | 1.84 |
| x2 | Roller tooth arc length l/(mm) | 52 | 54 | 57 | 60 | 62 |
| x3 | ABRTVD θ/(°) | 32 | 34 | 37 | 40 | 42 |
| Test Number | Factor | Evaluation Index | |||
|---|---|---|---|---|---|
| x1 | x2 | x3 | Y1/% | Y2/mm | |
| 1 | −1.000 | −1.000 | −1.000 | 92.6 | 18 |
| 2 | 1.000 | −1.000 | −1.000 | 93.5 | 27 |
| 3 | −1.000 | 1.000 | −1.000 | 91.4 | 13 |
| 4 | 1.000 | 1.000 | −1.000 | 93.5 | 18 |
| 5 | −1.000 | −1.000 | 1.000 | 91.6 | 19 |
| 6 | 1.000 | −1.000 | 1.000 | 91.5 | 21 |
| 7 | −1.000 | 1.000 | 1.000 | 92.5 | 19 |
| 8 | 1.000 | 1.000 | 1.000 | 94.1 | 13 |
| 9 | −1.682 | 0.000 | 0.000 | 91.5 | 26 |
| 10 | 1.682 | 0.000 | 0.000 | 94.6 | 30 |
| 11 | 0.000 | −1.682 | 0.000 | 91.7 | 22 |
| 12 | 0.000 | 1.682 | 0.000 | 92.3 | 15 |
| 13 | 0.000 | 0.000 | −1.682 | 92.6 | 17 |
| 14 | 0.000 | 0.000 | 1.682 | 91.5 | 10 |
| 15 | 0.000 | 0.000 | 0.000 | 93.5 | 24 |
| 16 | 0.000 | 0.000 | 0.000 | 92.5 | 22 |
| 17 | 0.000 | 0.000 | 0.000 | 92.7 | 21 |
| 18 | 0.000 | 0.000 | 0.000 | 93.2 | 25 |
| 19 | 0.000 | 0.000 | 0.000 | 93.6 | 21 |
| 20 | 0.000 | 0.000 | 0.000 | 92.5 | 25 |
| 21 | 0.000 | 0.000 | 0.000 | 93.3 | 23 |
| 22 | 0.000 | 0.000 | 0.000 | 92.9 | 24 |
| 23 | 0.000 | 0.000 | 0.000 | 93.3 | 25 |
| Source of Variation | Y1 | Y2 | ||||||||
|---|---|---|---|---|---|---|---|---|---|---|
| Sum of Squares | Degree of Squares | Mean Square | F | p | Sum of Squares | Degree of Squares | Mean Square | F | p | |
| Model | 15.6 | 9 | 74 | 10.20 | 0.0001 *** | 500.7 | 9 | 55.64 | 18.47 | <0.0001 *** |
| x1 | 6.9 | 1 | 6.91 | 40.63 | <0.0001 *** | 20.49 | 1 | 20.49 | 6.80 | 0.0217 ** |
| x2 | 0.8 | 1 | 0.80 | 4.72 | 0.0490 ** | 83.5 | 1 | 83.52 | 27.72 | 0.0002 *** |
| x3 | 0.73 | 1 | 0.73 | 4.27 | 0.0592 | 18.22 | 1 | 18.22 | 6.05 | 0.0287 ** |
| x1x2 | 1.05 | 1 | 1.05 | 6.18 | 0.0273 ** | 18.00 | 1 | 18.00 | 5.98 | 0.0295 ** |
| x1x3 | 0.28 | 1 | 0.28 | 1.65 | 0.2208 | 40.5 | 1 | 40.5 | 13.44 | 0.0028 *** |
| x2x3 | 2.76 | 1 | 2.76 | 16.24 | 0.0014 *** | 4.50 | 1 | 4.50 | 1.49 | 0.2433 |
| x12 | 0.044 | 1 | 0.044 | 0.26 | 0.6204 | 30.30 | 1 | 30.30 | 10.06 | 0.0074 *** |
| x22 | 1.61 | 1 | 1.61 | 9.49 | 0.0088 *** | 62.16 | 1 | 62.16 | 20.64 | 0.0006 *** |
| x32 | 1.44 | 1 | 1.44 | 8.47 | 0.0122 ** | 222.93 | 1 | 222.93 | 74.00 | <0.0001 *** |
| Residual | 0.8 | 5 | 0.16 | 17.16 | 5 | 3.43 | ||||
| Lack of fit | 1.40 | 8 | 0.18 | 0.92 | 0.5132 | 22.00 | 8 | 2.75 | 1.25 | 0.3709 |
| Corrected total | 17.83 | 22 | 539.91 | 22 | ||||||
| Type | Soil Breakage Rate/% | Flatness Value/mm |
|---|---|---|
| Arc-shaped tooth | 95.6 | 20.6 |
| 1FY-I type | 92.2 | 31.8 |
| Comparison | Upgraded by 3.4 | Reduced by 11.2 |
Disclaimer/Publisher’s Note: The statements, opinions and data contained in all publications are solely those of the individual author(s) and contributor(s) and not of MDPI and/or the editor(s). MDPI and/or the editor(s) disclaim responsibility for any injury to people or property resulting from any ideas, methods, instructions or products referred to in the content. |
© 2023 by the authors. Licensee MDPI, Basel, Switzerland. This article is an open access article distributed under the terms and conditions of the Creative Commons Attribution (CC BY) license (https://creativecommons.org/licenses/by/4.0/).
Share and Cite
Zhao, Z.; Zhu, X.; Li, J.; Lyu, J.; Qi, Y.; Liu, J. Design and Test of an Arc-Shaped Tooth Press Device for Combined Soil Preparation Equipment for Growing Potatoes. Agriculture 2023, 13, 1193. https://doi.org/10.3390/agriculture13061193
Zhao Z, Zhu X, Li J, Lyu J, Qi Y, Liu J. Design and Test of an Arc-Shaped Tooth Press Device for Combined Soil Preparation Equipment for Growing Potatoes. Agriculture. 2023; 13(6):1193. https://doi.org/10.3390/agriculture13061193
Chicago/Turabian StyleZhao, Zhiming, Xiaoxin Zhu, Jicheng Li, Jinqing Lyu, Yu Qi, and Jinni Liu. 2023. "Design and Test of an Arc-Shaped Tooth Press Device for Combined Soil Preparation Equipment for Growing Potatoes" Agriculture 13, no. 6: 1193. https://doi.org/10.3390/agriculture13061193
APA StyleZhao, Z., Zhu, X., Li, J., Lyu, J., Qi, Y., & Liu, J. (2023). Design and Test of an Arc-Shaped Tooth Press Device for Combined Soil Preparation Equipment for Growing Potatoes. Agriculture, 13(6), 1193. https://doi.org/10.3390/agriculture13061193




