Effects of Biodegradable Plastic Film on Carbon Footprint of Crop Production
Abstract
1. Introduction
2. Materials and Methods
2.1. Carbon Footprint of Crop Production in Different Cultivation Systems
2.2. Experiment Preparation to Characterize Carbon Footprint
2.3. GHG Emissions Associated with Agricultural Input
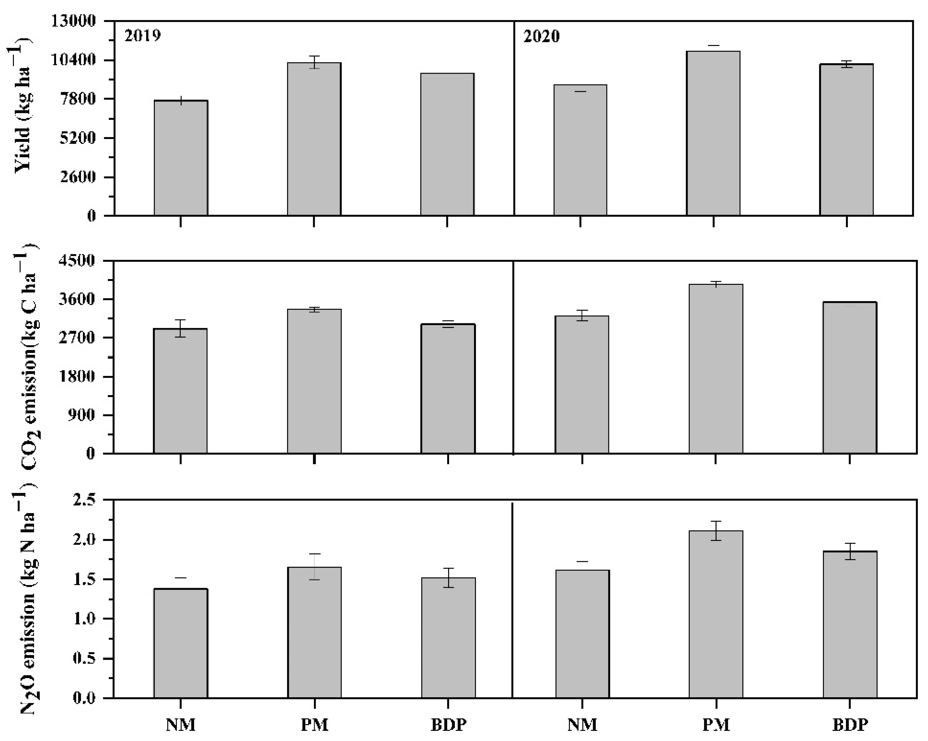
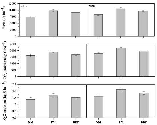
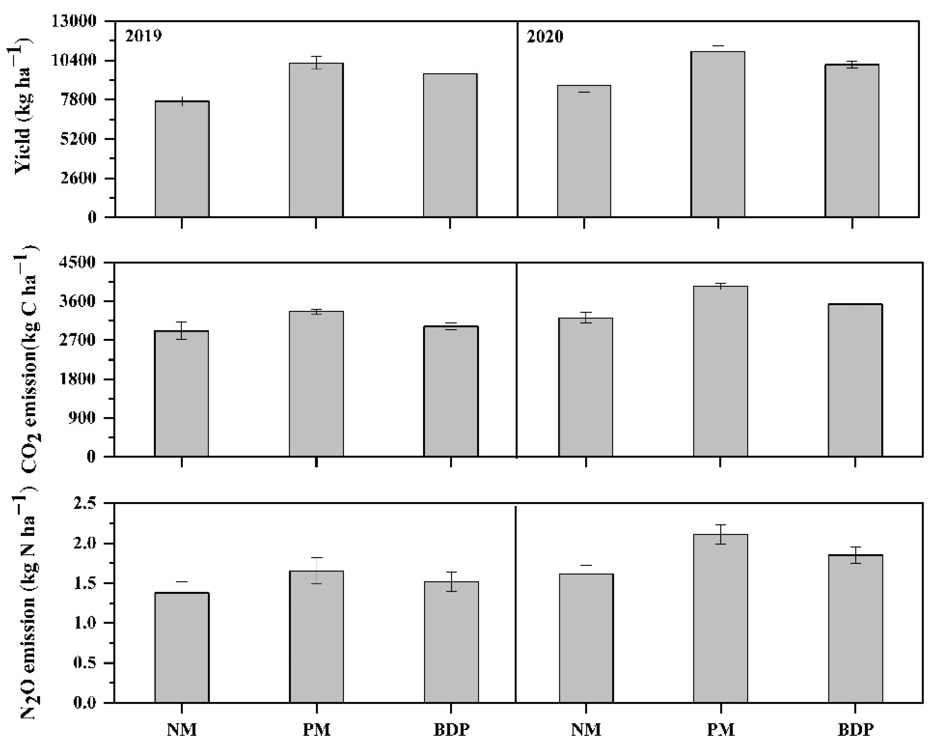
3. Result and Discussion
3.1. GHG Emissions Associated with Agricultural Input
3.2. GHG Emissions during Growing Season
3.3. Effects on Total GHG Emissions
4. Conclusions
Author Contributions
Funding
Institutional Review Board Statement
Informed Consent Statement
Data Availability Statement
Conflicts of Interest
References
- Kasirajan, S.; Ngouajio, M. Polyethylene and biodegradable mulches for agricultural applications: A review. Agron. Sustain. Dev. 2012, 32, 501–529. [Google Scholar] [CrossRef]
- Sun, D.; Li, H.; Wang, E.; He, W.; Hao, W.; Yan, C.; Li, Y.; Mei, X.; Zhang, Y.; Sun, Z.; et al. An overview of the use of plastic-film mulching in China to increase crop yield and water-use efficiency. Natl. Sci. Rev. 2020, 7, 1523–1526. [Google Scholar] [CrossRef] [PubMed]
- Zhang, D.; Ng, E.L.; Hu, W.; Wang, H.; Galaviz, P.; Yang, H.; Sun, W.; Li, C.; Ma, X.; Fu, B.; et al. Plastic pollution in croplands threatens long-term food security. Glob. Chang. Biol. 2020, 26, 3356–3367. [Google Scholar] [CrossRef] [PubMed]
- Gao, H.; Yan, C.; Liu, Q.; Ding, W.; Chen, B.; Li, Z. Effects of plastic mulching and plastic residue on agricultural production: A meta-analysis. Sci. Total Environ. 2019, 651, 484–492. [Google Scholar] [CrossRef] [PubMed]
- Liu, E.K.; He, W.Q.; Yan, C.R. ‘White revolution’ to ‘white pollution’-agricultural plastic film mulch in China. Environ. Res. Lett. 2014, 9, 091001. [Google Scholar] [CrossRef]
- Zhang, F.; Zhang, W.; Li, M.; Yang, Y.; Li, F.-M. Does long-term plastic film mulching really decrease sequestration of organic carbon in soil in the Loess Plateau? Eur. J. Agron. 2017, 89, 53–60. [Google Scholar] [CrossRef]
- Jiang, X.J.; Liu, W.; Wang, E.; Zhou, T.; Xin, P. Residual plastic mulch fragments effects on soil physical properties and water flow behavior in the Minqin Oasis, northwestern China. Soil Tillage Res. 2017, 166, 100–107. [Google Scholar] [CrossRef]
- Miles, C.; De Vetter, L.; Ghimire, S.; Hayes, D.G. Suitability of Biodegradable Plastic Mulches for Organic and Sustainable Agricultural Production Systems. HortScience 2017, 52, 10–15. [Google Scholar] [CrossRef]
- Sintim, H.Y.; Flury, M. Is biodegradable plastic mulch the solution to agriculture’s plastic problem? Environ. Sci. Technol. 2017, 51, 1068–1069. [Google Scholar] [CrossRef]
- Zumstein, M.T.; Schintlmeister, A.; Nelson, T.F.; Baumgartner, R.; Woebken, D.; Wagner, M.; Kohler, H.-P.E.; McNeill, K.; Sander, M. Biodegradation of synthetic polymers in soils: Tracking carbon into CO2 and microbial biomass. Sci. Adv. 2018, 4, eaas9024. [Google Scholar] [CrossRef]
- Zheng, J.; Suh, S. Strategies to reduce the global carbon footprint of plastics. Nat. Clim. Chang. 2019, 9, 374–378. [Google Scholar] [CrossRef]
- Chen, B.; Cui, J.; Man, X.; Dong, W.; Yan, C.; Mei, X. The climate cost of saving water by different plastic mulching patterns. J. Clean. Prod. 2022, 359, 132011. [Google Scholar] [CrossRef]
- Jiao, J.; Zeng, X.; Huang, X. An overview on synthesis, properties and applications of poly(butylene-adipate-co-terephthalate)-PBAT. Adv. Indus. Engr. Polym. Res. 2020, 3, 19–26. [Google Scholar] [CrossRef]
- Ferreira, F.V.; Cividanes, L.S.; Gouveia, R.F.; Lona, L.M.F. An overview on properties and applications of poly(butylene adipate-co-terephthalate)-PBAT based composites. Polym. Eng. Sci. 2019, 59, E7–E15. [Google Scholar] [CrossRef]
- Elsawy, M.A.; Kim, K.H.; Park, J.W.; Deep, A. Hydrolytic degradation of polylactic acid (PLA) and its composites. Renew. Sust. Energy Rev. 2017, 79, 1346–1352. [Google Scholar] [CrossRef]
- Chen, B.; Baram, S.; Dong, W.; He, W.; Liu, E.; Yan, C. Response of carbon footprint to plastic film mulch application in spring maize production and mitigation strategy. J. Integr. Agr. 2021, 20, 1933–1943. [Google Scholar] [CrossRef]
- Choi, B.; Yoo, S.; Park, S.-i. Carbon Footprint of Packaging Films Made from LDPE, PLA, and PLA/PBAT Blends in South Korea. Sustainability 2018, 10, 2369. [Google Scholar] [CrossRef]
- Liu, Z.; Wang, B.; Li, Z.; Huang, F.; Zhao, C.; Zhang, P.; Jia, Z. Plastic film mulch combined with adding biochar improved soil carbon budget, carbon footprint, and maize yield in a rainfed region. Field Crops Res. 2022, 284, 108574. [Google Scholar] [CrossRef]
- Huang, J.; Chen, Y.; Pan, J.; Liu, W.; Yang, G.; Xiao, X.; Zheng, H.; Tang, W.; Tang, H.; Zhou, L. Carbon footprint of different agricultural systems in China estimated by different evaluation metrics. J. Clean. Prod. 2019, 225, 939–948. [Google Scholar] [CrossRef]
- Xue, J.-F.; Yuan, Y.-Q.; Zhang, H.-L.; Ren, A.-X.; Lin, W.; Sun, M.; Gao, Z.-Q.; Sun, D.-S. Carbon footprint of dryland winter wheat under film mulching during summer-fallow season and sowing method on the Loess Plateau. Ecol. Indic. 2018, 95, 12–20. [Google Scholar] [CrossRef]
- Smith, P.; Lanigan, G.; Kutsch, W.L.; Buchmann, N.; Eugster, W.; Aubinet, M.; Ceschia, E.; Beziat, P.; Yeluripati, J.B.; Osborne, B.; et al. Measurements necessary for assessing the net ecosystem carbon budget of croplands. Agr. Ecosyst. Environ. 2010, 139, 302–315. [Google Scholar] [CrossRef]
- Lee, J.G.; Chae, H.G.; Cho, S.R.; Song, H.-J.; Kim, P.J.; Jeong, S.T. Impact of plastic film mulching on global warming in entire chemical and organic cropping systems: Life cycle assessment. J. Clean. Prod. 2021, 308, 127256. [Google Scholar] [CrossRef]
- Hutchinson, G.L.; Mosier, A.R. Improved soil cover method for field measurement of nitrous oxide fluxes. Soil Sci. Soc. Am. J. 1981, 45, 311–316. [Google Scholar] [CrossRef]
- Cuello, J.P.; Hwang, H.Y.; Gutierrez, J.; Kim, S.Y.; Kim, P.J. Impact of plastic film mulching on increasing greenhouse gas emissions in temperate upland soil during maize cultivation. Appl. Soil Ecol. 2015, 91, 48–57. [Google Scholar] [CrossRef]
- Pachauri, R.K.; Allen, M.R.; Barros, V.R.; Broome, J.; Cramer, W.; Christ, R.; Church, J.A.; Clarke, L.; Dahe, Q.; Dasgupta, P.; et al. Intergovernmental Panel on Climate Change. In Climate Change 2014: Synthesis Report. Contribution of Working Groups I, II and III to the Fifth Assessment Report of the Intergovernmental Panel on Climate Change; IPCC: Geneva, Switzerland, 2014. [Google Scholar]
- Guo, X.; Yao, Y.; Zhao, H.; Chi, C.; Zeng, F.; Qian, F.; Liu, Z.; Huo, L.; Lv, Y. Environmental impacts of functional fillers in polylactide (PLA)-based bottles using life cycle assessment methodology. Sci. Total Environ. 2021, 788, 147852. [Google Scholar] [CrossRef] [PubMed]
- Huang, F.; Liu, Z.; Li, Z.; Wang, B.; Zhang, P.; Jia, Z. Is biodegradable film an alternative to polyethylene plastic film for improving maize productivity in rainfed agricultural areas?—Evidence from field experiments. Agr. Water Manag. 2022, 272, 107868. [Google Scholar] [CrossRef]
- Wang, Z.; Li, M.; Flury, M.; Schaeffer, S.M.; Yi, C.; Zhao, T.; Jia, Z.; Li, S.; Fan, D.; Wang, J. Agronomic performance of polyethylene and biodegradable plastic film mulches in a maize cropping system in a humid continental climate. Sci. Total Environ. 2021, 786, 147460. [Google Scholar] [CrossRef] [PubMed]
- Wei, H.; Zhang, F.; Zhang, K.; Qin, R.; Zhang, W.; Sun, G.; Huang, J. Effects of soil mulching on staple crop yield and greenhouse gas emissions in China: A meta-analysis. Field Crops Res. 2022, 284, 108566. [Google Scholar] [CrossRef]
- Yu, Y.; Zhang, Y.; Xiao, M.; Zhao, C.; Yao, H. A meta-analysis of film mulching cultivation effects on soil organic carbon and soil greenhouse gas fluxes. CATENA 2021, 206, 105483. [Google Scholar] [CrossRef]
- Zhang, F.; Li, M.; Qi, J.; Li, F.; Sun, G. Plastic Film Mulching Increases Soil Respiration in Ridge-furrow Maize Management. Arid Land Res. Manag. 2015, 29, 432–453. [Google Scholar] [CrossRef]
- Yu, Y.; Tao, H.; Yao, H.; Zhao, C. Assessment of the effect of plastic mulching on soil respiration in the arid agricultural region of China under future climate scenarios. Agr. Forest Meteorol. 2018, 256, 1–9. [Google Scholar] [CrossRef]
- Dong, W.; Zhang, Z.; Chen, B.; Sun, D.; Liu, E. Plastic mulch stimulates denitrification by interaction between soil environment and denitrifying bacteria. Plant Soil 2022. [Google Scholar] [CrossRef]
- Kim, G.W.; Das, S.; Hwang, H.Y.; Kim, P.J. Nitrous oxide emissions from soils amended by cover-crops and under plastic film mulching: Fluxes, emission factors and yield-scaled emissions. Atmos. Environ. 2017, 152, 377–388. [Google Scholar] [CrossRef]
- Samantaray, P.K.; Ellingford, C.; Farris, S.; O’Sullivan, D.; Tan, B.; Sun, Z.; McNally, T.; Wan, C. Electron Beam-Mediated Cross-Linking of Blown Film-Extruded Biodegradable PGA/PBAT Blends toward High Toughness and Low Oxygen Permeation. ACS Sustain. Chem. Eng. 2022, 10, 1267–1276. [Google Scholar] [CrossRef]
- Wang, W.; Han, L.; Zhang, X.; Wei, K. Plastic film mulching affects N2O emission and ammonia oxidizers in drip irrigated potato soil in northwest China. Sci. Total Environ. 2021, 754, 142113. [Google Scholar] [CrossRef] [PubMed]
- Liu, Z.; Wang, B.; Li, Z.; Zhao, C.; Qian, R.; Huang, F.; Zhang, P.; Li, H.; Jia, Z. Ameliorating C and N balance without loss of productivity by applying mulching measures in rainfed areas. Agr. Ecosyst. Environ. 2023, 343, 108267. [Google Scholar] [CrossRef]
- Zhang, M.; Han, X.; Dang, P.; Wang, H.; Chen, Y.; Qin, X.; Siddique, K. Decreased carbon footprint and increased grain yield under ridge–furrow plastic film mulch with ditch-buried straw returning: A sustainable option for spring maize production in China. Sci. Total Environ. 2022, 838, 156412. [Google Scholar] [CrossRef] [PubMed]




| NECB | N2O | GHG | GHGIs | ||
|---|---|---|---|---|---|
| kg CO2-eq ha−1 | kg CO2-eq kg−1 Grain | ||||
| 2019 | NM | −4253 (155) | 645 (67) | 4898 (166) | 0.64 (0.03) |
| PM | −4437 (188) | 775 (77) | 5211 (228) | 0.51 (0.02) | |
| BDP | −4327 (116) | 712 (57) | 5038 (158) | 0.53 (0.02) | |
| 2020 | NM | −4693 (109) | 757 (49) | 5451 (74) | 0.62 (0.04) |
| PM | −5757 (213) | 989 (56) | 6746 (235) | 0.61 (0.02) | |
| BDP | −4913 (234) | 866 (47) | 5780 (356) | 0.57(0.03) | |
| Average | NM | −4473 (123) | 701 (58) | 5174 (110) | 0.63 (0.03) |
| PM | −5097 (200) | 882 (67) | 5979 (230) | 0.56 (0.02) | |
| BDP | −4620 (239) | 789 (52) | 5409 (226) | 0.55 (0.03) | |
Disclaimer/Publisher’s Note: The statements, opinions and data contained in all publications are solely those of the individual author(s) and contributor(s) and not of MDPI and/or the editor(s). MDPI and/or the editor(s) disclaim responsibility for any injury to people or property resulting from any ideas, methods, instructions or products referred to in the content. |
© 2023 by the authors. Licensee MDPI, Basel, Switzerland. This article is an open access article distributed under the terms and conditions of the Creative Commons Attribution (CC BY) license (https://creativecommons.org/licenses/by/4.0/).
Share and Cite
Chen, B.; Cui, J.; Dong, W.; Yan, C. Effects of Biodegradable Plastic Film on Carbon Footprint of Crop Production. Agriculture 2023, 13, 816. https://doi.org/10.3390/agriculture13040816
Chen B, Cui J, Dong W, Yan C. Effects of Biodegradable Plastic Film on Carbon Footprint of Crop Production. Agriculture. 2023; 13(4):816. https://doi.org/10.3390/agriculture13040816
Chicago/Turabian StyleChen, Baoqing, Jixiao Cui, Wenyi Dong, and Changrong Yan. 2023. "Effects of Biodegradable Plastic Film on Carbon Footprint of Crop Production" Agriculture 13, no. 4: 816. https://doi.org/10.3390/agriculture13040816
APA StyleChen, B., Cui, J., Dong, W., & Yan, C. (2023). Effects of Biodegradable Plastic Film on Carbon Footprint of Crop Production. Agriculture, 13(4), 816. https://doi.org/10.3390/agriculture13040816
