Short-Term Biochar Impacts on Crop Performance and Soil Quality in Arid Sandy Loam Soil
Abstract
1. Introduction
2. Materials and Methods
2.1. Experimental Field Site
2.2. Cultural Practices
2.3. Plant Growth Parameters and Harvest Measurements
2.4. Soil Moisture Depletion Measurements and Other Soil Measurements
2.5. Statistical Analysis
3. Results
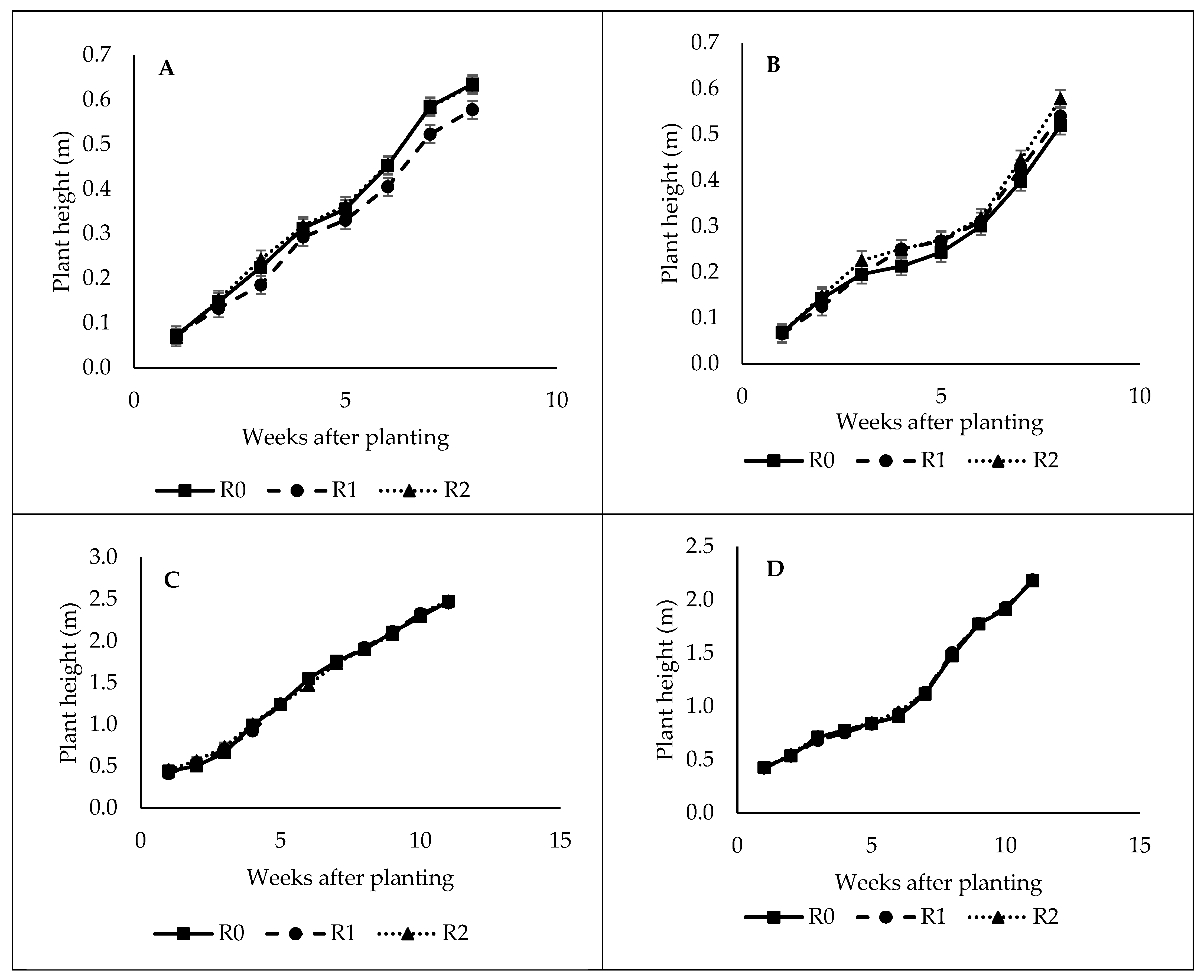
3.1. Plant Growth Parameters
3.2. Yield Parameters
3.3. Soil Measurements
3.4. Soil Moisture Depletion
4. Discussion
4.1. Biochar Effect on Crop Growth and Yields
4.2. Biochar Effects on Soil Moisture
4.3. Biochar Effects on Soil Quality Indicators
5. Conclusions
Author Contributions
Funding
Data Availability Statement
Acknowledgments
Conflicts of Interest
References
- Agegnehu, G.; Srivastava, A.K.; Bird, M.I. The Role of Biochar and Biochar-Compost in Improving Soil Quality and Crop Performance: A Review. Appl. Soil Ecol. 2017, 119, 156–170. [Google Scholar] [CrossRef]
- Wiedemeier, D.B.; Abiven, S.; Hockaday, W.C.; Keiluweit, M.; Kleber, M.; Masiello, C.A.; McBeath, A.V.; Nico, P.S.; Pyle, L.A.; Schneider, M.P.W.; et al. Aromaticity and Degree of Aromatic Condensation of Char. Org. Geochem. 2015, 78, 135–143. [Google Scholar] [CrossRef]
- Wang, J.; Xiong, Z.; Kuzyakov, Y. Biochar Stability in Soil: Meta-Analysis of Decomposition and Priming Effects. GCB Bioenergy 2016, 8, 512–523. [Google Scholar] [CrossRef]
- Haynes, R.J. Labile Organic Matter Fractions as Central Components of the Quality of Agricultural Soils: An Overview. Adv. Agron. 2005, 85, 221–268. [Google Scholar]
- Carter, M.R. Soil Quality for Sustainable Land Management: Organic Matter and Aggregation Interactions That Maintain Soil Functions. Agron. J. 2002, 94, 38–47. [Google Scholar] [CrossRef]
- Downie, A.; Crosky, A.; Munroe, P. Physical Properties of Biochar. In Biochar for Environmental Management; Lehmann, J., Joseph, S., Eds.; Earthscan: London, UK; Sterling, VA, USA, 2009; pp. 13–30. [Google Scholar]
- Ippolito, J.A.; Ducey, T.F.; Cantrell, K.B.; Novak, J.M.; Lentz, R.D. Designer, Acidic Biochar Influences Calcareous Soil Characteristics. Chemosphere 2015, 142, 184–191. [Google Scholar] [CrossRef]
- Spokas, K.A.; Cantrell, K.B.; Novak, J.M.; Archer, D.W.; Ippolito, J.A.; Collins, H.P.; Boateng, A.A.; Lima, I.M.; Lamb, M.C.; Mcaloon, A.J.; et al. Biochar: A Synthesis of Its Agronomic Impact beyond Carbon Sequestration. J. Environ. Qual. 2012, 41, 973–989. [Google Scholar] [CrossRef]
- Zhang, Y.; Idowu, O.; Brewer, C. Using Agricultural Residue Biochar to Improve Soil Quality of Desert Soils. Agriculture 2016, 6, 10. [Google Scholar] [CrossRef]
- Liu, X.-H.; Zhang, X.-C. Effect of Biochar on PH of Alkaline Soils in the Loess Plateau: Results from Incubation Experiments. Int. J. Agric. Biol. 2012, 14, 745–750. [Google Scholar]
- Mahmoodabadi, M.; Yazdanpanah, N.; Sinobas, L.R.; Pazira, E.; Neshat, A. Reclamation of Calcareous Saline Sodic Soil with Different Amendments (I): Redistribution of Soluble Cations within the Soil Profile. Agric. Water Manag. 2013, 120, 30–38. [Google Scholar] [CrossRef]
- Kuncoro, P.H.; Koga, K.; Satta, N.; Muto, Y. A Study on the Effect of Compaction on Transport Properties of Soil Gas and Water. II: Soil Pore Structure Indices. Soil Tillage Res. 2014, 143, 180–187. [Google Scholar] [CrossRef]
- Eibisch, N.; Durner, W.; Bechtold, M.; Helfrich, M.; Fub, R.; Mikutta, R.; Woche, S.K. Does Water Repellency of Pyrochars and Hydrochars Counter Their Positive Effects on Soil Hydraulic Properties? Geoderma 2015, 245–246, 31–39. [Google Scholar] [CrossRef]
- Ajayi, A.E.; Horn, R. Biochar-Induced Changes in Soil Resilience: Effects of Soil Texture and Biochar Dosage. Pedosphere 2017, 27, 236–247. [Google Scholar] [CrossRef]
- Artiola, J.F.; Rasmussen, C.; Freitas, R. Effects of a Biochar-Amended Alkaline Soil on the Growth of Romaine Lettuce and Bermudagrass. Soil Sci. 2012, 177, 561–570. [Google Scholar] [CrossRef]
- Grattan, S.; Grieve, C.M. Salinity-Mineral Nutrient Relations in Horticultural Crops. Sci. Hortic. 1998, 78, 127–157. [Google Scholar] [CrossRef]
- Hussain, M.; Farooq, M.; Nawaz, A.; Al-Sadi, A.M.; Solaiman, Z.M.; Alghamdi, S.S.; Ammara, U.; Ok, Y.S.; Siddique, K.H. Biochar for Crop Production: Potential Benefits and Risks. J. Soils Sediments 2017, 17, 685–716. [Google Scholar] [CrossRef]
- Farhangi-Abriz, S.; Torabian, S. Biochar Increased Plant Growth-Promoting Hormones and Helped to Alleviates Salt Stress in Common Bean Seedlings. J. Plant Growth Regul. 2018, 37, 591–601. [Google Scholar] [CrossRef]
- Rondon, M.A.; Lehmann, J.; Ramírez, J.; Hurtado, M. Biological Nitrogen Fixation by Common Beans (Phaseolus vulgaris L.) Increases with Bio-Char Additions. Biol. Fertil. Soils 2007, 43, 699–708. [Google Scholar] [CrossRef]
- Egamberdieva, D.; Zoghi, Z.; Nazarov, K.; Wirth, S.; Bellingrath-Kimura, S.D. Plant Growth Response of Broad Bean (Vicia faba L.) to Biochar Amendment of Loamy Sand Soil under Irrigated and Drought Conditions. Environ. Sustain. 2020, 3, 319–324. [Google Scholar] [CrossRef]
- Jeffery, S.; Verheijen, F.G.; van der Velde, M.; Bastos, A.C. A Quantitative Review of the Effects of Biochar Application to Soils on Crop Productivity Using Meta-Analysis. Agric. Ecosyst. Environ. 2011, 144, 175–187. [Google Scholar] [CrossRef]
- Mukherjee, A.; Lal, R. The Biochar Dilemma. Soil Res. 2014, 52, 217–230. [Google Scholar] [CrossRef]
- Prapagdee, S.; Tawinteung, N. Effects of Biochar on Enhanced Nutrient Use Efficiency of Green Bean, Vigna radiata L. Environ. Sci. Pollut. Res. 2017, 24, 9460–9467. [Google Scholar] [CrossRef] [PubMed]
- Idowu, J.; Flynn, R. Understanding Soil Health for Production Agriculture in New Mexico; NM State University, Cooperative Extension Service: Las Cruces, NM, USA, 2013. [Google Scholar]
- Soil Survey Staff. Keys to Soil Taxonomy; Natural Resources Conservation Service and Agriculture Department: Washington, DC, USA, 2014. [Google Scholar]
- Rajkovich, S.; Enders, A.; Hanley, K.; Hyland, C.; Zimmerman, A.R.; Lehmann, J. Corn Growth and Nitrogen Nutrition after Additions of Biochars of Various Properties to a Temperate Soil. Biol. Fertil. Soils 2012, 48, 271–284. [Google Scholar] [CrossRef]
- Rhoades, J.D. Soluble Salts. In Methods of Soil Analysis, Part 2; Miller, R.H., Keeney, D.R., Eds.; SSSA, ASA: Madison, WI, USA, 1982; pp. 168–170. [Google Scholar]
- Lindsay, W.L.; Norvell, W.A. Development of a DTPA Soil Test for Zinc, Iron, Manganese and Copper. Soil Sci. Soc. Am. J. 1978, 42, 421–428. [Google Scholar] [CrossRef]
- Walkley, A.; Black, I.A. An Examination of Degtjareff Method for Determining Soil Organic Matter and a Proposed Modification of the Chromic Acid Titration Method. Soil Sci. 1934, 37, 29–38. [Google Scholar] [CrossRef]
- Olsen, S.R.; Sommers, I.E. Phosphorus. In Methods of Soil Analysis, Part 2; Miller, R.H., Keeney, D.R., Eds.; SSSA, ASA: Madison, WI, USA, 1982; pp. 421–422. [Google Scholar]
- Weil, R.R.; Islam, K.R.; Stine, M.A.; Gruver, J.B.; Samson-Liebig, S.E. Estimating Active Carbon for Soil Quality Assessment: A Simplified Method for Laboratory and Field Use. Am. J. Altern. Agric. 2003, 18, 3–17. [Google Scholar]
- Idowu, O.J.; Kircher, P. Soil Quality of Semi-Arid Conservation Reserve Program Lands in Eastern New Mexico. Arid Land Res. Manag. 2016, 30, 153–165. [Google Scholar] [CrossRef]
- Ogden, C.B.; Van Es, H.M.; Schindelbeck, R.R. Miniature Rain Simulator for Field Measurement of Soil Infiltration. Soil Sci. Soc. Am. J. 1997, 61, 1041–1043. [Google Scholar] [CrossRef]
- IBM Corp. IBM SPSS Statistics for Windows, Version 26.0; IBM Corp.: Armonk, NY, USA, 2019. [Google Scholar]
- Diatta, A.A.; Fike, J.H.; Battaglia, M.L.; Galbraith, J.M.; Baig, M.B. Effects of Biochar on Soil Fertility and Crop Productivity in Arid Regions: A Review. Arab. J. Geosci. 2020, 13, 595. [Google Scholar] [CrossRef]
- Castro, A.; da Silva Batista, N.; Latawiec, A.E.; Rodrigues, A.; Strassburg, B.; Silva, D.; Araujo, E.; De Moraes, L.F.D.; Guerra, J.G.; Galvão, G. The Effects of Gliricidia-Derived Biochar on Sequential Maize and Bean Farming. Sustainability 2018, 10, 578. [Google Scholar] [CrossRef]
- Lima, J.R.D.S.; Goes, M.D.C.C.D.; Hammecker, C.; Antonino, A.C.D.; Medeiros, É.V.D.; Sampaio, E.V.D.S.B.; Leite, M.C.D.B.S.; Silva, V.P.D.; de Souza, E.S.; Souza, R. Effects of Poultry Manure and Biochar on Acrisol Soil Properties and Yield of Common Bean. A Short-Term Field Experiment. Agriculture 2021, 11, 290. [Google Scholar] [CrossRef]
- Al-Wabel, M.I.; Hussain, Q.; Usman, A.R.; Ahmad, M.; Abduljabbar, A.; Sallam, A.S.; Ok, Y.S. Impact of Biochar Properties on Soil Conditions and Agricultural Sustainability: A Review. Land Degrad. Dev. 2018, 29, 2124–2161. [Google Scholar] [CrossRef]
- Fischer, B.M.; Manzoni, S.; Morillas, L.; Garcia, M.; Johnson, M.S.; Lyon, S.W. Improving Agricultural Water Use Efficiency with Biochar–A Synthesis of Biochar Effects on Water Storage and Fluxes across Scales. Sci. Total Environ. 2019, 657, 853–862. [Google Scholar] [CrossRef] [PubMed]
- Razzaghi, F.; Obour, P.B.; Arthur, E. Does Biochar Improve Soil Water Retention? A Systematic Review and Meta-Analysis. Geoderma 2020, 361, 114055. [Google Scholar] [CrossRef]
- Kumar, N.; Hazra, K.K.; Nath, C.P.; Praharaj, C.S.; Singh, U. Grain Legumes for Resource Conservation and Agricultural Sustainability in South Asia. In Legumes for Soil Health and Sustainable Management; Springer: Singapore, 2018; pp. 77–107. [Google Scholar]
- Bai, Z.; Caspari, T.; Gonzalez, M.R.; Batjes, N.H.; Mäder, P.; Bünemann, E.K.; de Goede, R.; Brussaard, L.; Xu, M.; Ferreira, C.S.S.; et al. Effects of Agricultural Management Practices on Soil Quality: A Review of Long-Term Experiments for Europe and China. Agric. Ecosyst. Environ. 2018, 265, 1–7. [Google Scholar] [CrossRef]
- Clark, A. Managing Cover Crops Profitably, 3rd ed.; Sustainable Agriculture Network: Beltsville, MD, USA, 2012. [Google Scholar]
- Magdoff, F.; Weil, R.R. Soil Organic Matter Management Strategies. In Soil Organic Matter in Sustainable Agriculture; CRC Press: Boca Raton, LA, USA, 2004; pp. 45–65. [Google Scholar]
- Bongiorno, G.; Bünemann, E.K.; Oguejiofor, C.U.; Meier, J.; Gort, G.; Comans, R.; Mäder, P.; Brussaard, L.; de Goede, R. Sensitivity of Labile Carbon Fractions to Tillage and Organic Matter Management and Their Potential as Comprehensive Soil Quality Indicators across Pedoclimatic Conditions in Europe. Ecol. Indic. 2019, 99, 38–50. [Google Scholar] [CrossRef]
- Lucas, S.; Weil, R. Can Permanganate Oxidizable Carbon Predict Soil Function Responses to Soil Organic Matter Management? Soil Sci. Soc. Am. J. 2021, 85, 1768–1784. [Google Scholar] [CrossRef]
- Flynn, R. Interpreting Soil Tests: Unlock the Secrets of Your Soil; Circular 676; New Mexico State University, Cooperative Extension Service: Las Cruces, NM, USA, 2015. [Google Scholar]




| Year | 2017 | 2018 |
|---|---|---|
| Moisture 1 (% wet wt.) | 6.2 | 30.5 |
| Organic Carbon 2 (% tot. dry mass) | 89.5 | 86.2 |
| Bulk Density 3 (g cm−3) | 0.13 | 0.08 |
| Total Ash 1 (% tot. dry mass) | 1.6 | 5.1 |
| Electrical Conductivity 3 (dS m−1) | 0.23 | 1.86 |
| pH 3 | 8.43 | 9.35 |
| Surface Area 4 (m2 g−1) | 308 | 567 |
| Pinto Bean | Sorghum–Sudan | |||
|---|---|---|---|---|
| Rate | Dry Biomass (kg ha−1) | Seed Yield (kg ha−1) | Harvest Index | Dry Biomass (Mg ha−1) |
| R0 | 4114.1 | 2304.7 | 0.55 | 16.47 |
| R1 | 5143.6 | 2444.0 | 0.49 | 16.37 |
| R2 | 4220.8 | 1954.5 | 0.46 | 17.47 |
| p-value | 0.697 | 0.667 | 0.503 | 0.809 |
| Year | ||||
| 2017 | 4949.6 | 2469.1 | 0.52 | 16.76 |
| 2018 | 4036.1 | 1999.7 | 0.49 | 16.78 |
| p-value | 0.182 | 0.190 | 0.577 | 0.987 |
| Soil Measurements | Biochar Rates | Sampling Time | Biochar Rates × Sampling Time |
|---|---|---|---|
| POXC (mg kg−1) | NS | ** | NS |
| SOM (%) | NS | NS | NS |
| pH | NS | ** | NS |
| EC (dS m−1) | NS | ** | NS |
| SAR | NS | ** | NS |
| Olsen-P (mg kg−1) | NS | * | ** |
| Potassium (mg kg−1) | NS | * | NS |
| Copper (mg kg−1) | NS | ** | NS |
| Iron (mg kg−1) | NS | ** | NS |
| Manganese (mg kg−1) | NS | ** | NS |
| Zinc (mg kg−1) | NS | ** | NS |
| Soil Measurements | Biochar Rates | Sampling Time | ||||
|---|---|---|---|---|---|---|
| R0 | R1 | R2 | 2017 PL | 2017 HA | 2018 HA | |
| POXC (mg kg−1) | 349 | 348 | 347 | 310 B | 335 B | 398 A |
| SOM (%) | 0.73 | 0.78 | 0.87 | 0.77 | 0.89 | 0.71 |
| pH | 7.92 | 7.88 | 7.83 | 7.73 B | 7.77 B | 8.13 A |
| EC (dS m−1) | 2.95 | 2.44 | 2.93 | 4.36 A | 2.45 AB | 1.52 B |
| SAR | 3.17 | 3.11 | 3.09 | 3.19 AB | 3.86 A | 2.31 B |
| Olsen-P (mg kg−1) | 10.50 | 8.56 | 9.69 | 8.97 B | 9.89 A | 9.90 A |
| Potassium (mg kg−1) | 24.2 | 26.2 | 25.1 | 27.8 A | 26.2 AB | 21.4 B |
| Copper (mg kg−1) | 0.86 | 0.94 | 0.86 | 0.92 A | 1.01 A | 0.73 B |
| Iron (mg kg−1) | 3.71 | 3.66 | 3.73 | 3.75 B | 4.34 A | 3.01 C |
| Manganese (mg kg−1) | 6.83 | 7.11 | 7.11 | 9.59 A | 8.53 B | 2.92 C |
| Zinc (mg kg−1) | 0.98 | 0.96 | 0.97 | 1.05 A | 1.02 A | 0.83 B |
| Soil Measurements | Biochar Rates | Sampling Time | Biochar Rates × Sampling Time |
|---|---|---|---|
| POXC (mg kg−1) | NS | ** | NS |
| SOM (%) | ** | ** | * |
| pH | NS | ** | NS |
| EC (dS m−1) | NS | ** | NS |
| SAR | NS | ** | NS |
| Olsen-P (mg kg−1) | NS | NS | NS |
| Potassium (mg kg−1) | NS | ** | NS |
| Copper (mg kg−1) | NS | ** | NS |
| Iron (mg kg−1) | NS | ** | NS |
| Manganese (mg kg−1) | NS | ** | NS |
| Zinc (mg kg−1) | NS | ** | NS |
| Soil Measurements | Biochar Rates | Sampling Time | ||||
|---|---|---|---|---|---|---|
| R0 | R1 | R2 | 2017 PL | 2017 HA | 2018 HA | |
| POXC (mg kg−1) | 331 | 350 | 343 | 314 B | 307 B | 403 A |
| SOM (%) | 0.82 b | 0.78 b | 1.02 a | 0.71 B | 0.98 A | 0.94 A |
| pH | 7.88 | 7.88 | 7.85 | 7.71 B | 7.72 B | 8.18 A |
| EC (dS m−1) | 1.30 | 1.30 | 1.33 | 1.43 A | 1.59 A | 0.90 B |
| SAR | 1.57 | 1.63 | 1.58 | 2.26 A | 1.30 B | 1.22 B |
| Olsen-P (mg kg−1) | 10.31 | 9.66 | 10.11 | 9.29 | 10.29 | 10.50 |
| Potassium (mg kg−1) | 29.8 | 28.6 | 29.4 | 25.1 B | 33.3 A | 29.4 AB |
| Copper (mg kg−1) | 0.93 | 0.82 | 0.90 | 0.91 A | 1.05 A | 0.69 B |
| Iron (mg kg−1) | 4.19 | 4.46 | 4.53 | 4.19 B | 4.78 A | 4.20 B |
| Manganese (mg kg−1) | 10.30 | 9.86 | 9.38 | 9.33 A | 16.49 B | 3.72 C |
| Zinc (mg kg−1) | 0.98 | 0.92 | 0.90 | 1.03 A | 0.97 A | 0.80 B |
| Pinto Bean | |||||||
|---|---|---|---|---|---|---|---|
| Biochar Rates | Sampling Time | ||||||
| R0 | R1 | R2 | p-Value | 2018 PL | 2018 HA | p-Value | |
| MWD (mm) | 0.149 | 0.149 | 0.165 | 0.068 | 0.147 B | 0.163 A | 0.018 * |
| AGG > 2 mm (%) | 1.42 | 1.48 | 2.05 | 0.125 | 1.27 B | 2.04 A | 0.005 ** |
| WAS (%) | 23.05 | 22.97 | 26.66 | 0.677 | 23.77 | 24.68 | 0.596 |
| Sorghum–Sudan | |||||||
| Biochar Rates | Sampling Time | ||||||
| R0 | R1 | R2 | p-value | 2018 PL | 2018 HA | p-value | |
| MWD (mm) | 0.147 | 0.156 | 0.154 | 0.391 | 0.143 B | 0.162 A | 0.003 ** |
| AGG > 2 mm (%) | 1.15 | 1.41 | 1.42 | 0.379 | 0.81 B | 1.83 A | 0.0001 ** |
| WAS (%) | 15.43 | 14.50 | 15.39 | 0.511 | 15.53 | 14.69 | 0.456 |
Disclaimer/Publisher’s Note: The statements, opinions and data contained in all publications are solely those of the individual author(s) and contributor(s) and not of MDPI and/or the editor(s). MDPI and/or the editor(s) disclaim responsibility for any injury to people or property resulting from any ideas, methods, instructions or products referred to in the content. |
© 2023 by the authors. Licensee MDPI, Basel, Switzerland. This article is an open access article distributed under the terms and conditions of the Creative Commons Attribution (CC BY) license (https://creativecommons.org/licenses/by/4.0/).
Share and Cite
Keller, L.; Idowu, O.J.; Ulery, A.; Omer, M.; Brewer, C.E. Short-Term Biochar Impacts on Crop Performance and Soil Quality in Arid Sandy Loam Soil. Agriculture 2023, 13, 782. https://doi.org/10.3390/agriculture13040782
Keller L, Idowu OJ, Ulery A, Omer M, Brewer CE. Short-Term Biochar Impacts on Crop Performance and Soil Quality in Arid Sandy Loam Soil. Agriculture. 2023; 13(4):782. https://doi.org/10.3390/agriculture13040782
Chicago/Turabian StyleKeller, Lindsay, Omololu John Idowu, April Ulery, Mohammed Omer, and Catherine E. Brewer. 2023. "Short-Term Biochar Impacts on Crop Performance and Soil Quality in Arid Sandy Loam Soil" Agriculture 13, no. 4: 782. https://doi.org/10.3390/agriculture13040782
APA StyleKeller, L., Idowu, O. J., Ulery, A., Omer, M., & Brewer, C. E. (2023). Short-Term Biochar Impacts on Crop Performance and Soil Quality in Arid Sandy Loam Soil. Agriculture, 13(4), 782. https://doi.org/10.3390/agriculture13040782

