New, Low-Cost, Hand-Held Multispectral Device for In-Field Fruit-Ripening Assessment
Abstract
1. Introduction
2. Materials and Methods
2.1. Device Description
2.1.1. Hardware: Electronic components
- AMS AS7265x development board (AMS AG, Premstätten, Austria): This board is composed of three main chips: AS72651, AS72652, and AS72653. These chips are sensible to six different bands (by including six optical filters each) in the range between 410 nm and 940 nm, with a full width at half maximum (FWHM) of 20 nm. The AS72651 acts as a master for the chip arrangement and the communication with the rest of the components is performed with this chip. This development board results in a low-cost, 18-channel multispectral sensor.
- Arduino MKRZero Board (Arduino LLC, Monza, Italy): The Arduino MKR Zero board was selected because of its small form factor, low power consumption, low cost, and the availability of an SD card slot. A custom software was developed using the Arduino IDE (described in the software section). This board communicates with the AS7265x development board, OLED screen, and LED PCB to perform data acquisition.
- Interconnection board: There is a high number of interconnected components on the system. An interconnection board was designed and manufactured to generate a reliable connection between them. This board serves as the core of the system, adapting the voltage from the battery, regulating LEDs’ signal intensity, and interfacing the different components of the sensor with connectors to different subsystems. A constant-current LED driver (RCD-24, RECOM, Germany) installed on the PCB allows us to modulate capturing parameters (light intensity and power on time), controlled by the Arduino MKR. A schema of the different connections between device components is depicted below (Figure 1).
- LED PCB: The samples to be measured must be illuminated to obtain the reflectance measurement. An array of three IR-broadband LED emitters (OSLON P1616 SFH 4737, OSRAM, Germany), was used to achieve this goal. This component was developed specifically for spectroscopy applications, providing a wide emission spectrum in the VNIR with the advantage of less power and heat dissipation requirements than a halogen lamp. The PCB allows us to install three LEDs and easily attaches to the 3D-printed reflective dome of the instrument. Although the LEDs are only powered when a measurement is taken, the PCB also acts as a heat dissipator to reduce the damage to this component due to heat build-up.
- OLED Screen: The screen serves as a guide for the user during measurement. The developed device included an OLED display, specifically a 1.3-inch panel with a resolution of 128 by 64 pixels. The availability of an integrated display avoids the necessity of a computer or some other external device to verify the status of the device and its proper operation in the field. The screen shows real-time data, the file name, the number of measurements taken, and the configuration parameters (Figure 2).
- Battery: The system can be powered from any DC source up to 35 V through a barrel connector (2.1 × 5.5 mm). During the experiments, the prototype was powered by a 2s LiPo (Lithium-ion Polymer) battery connected to the device controller board. The low-power consumption of the sensor allows for extended operation time lasting beyond a workday. In any case, the battery is placed outside the device, so it is easy to replace the depleted battery and continue capturing data in the field.
2.1.2. Hardware: 3D-Printed Enclosure
- Main enclosure: A box-type enclosure was designed as the main body of the device. The AMS AS7265x development board, Arduino MKR Zero, and interconnection board are stacked inside and held in place with help from two 3D-printed separators.
- Lid with screen: This lid seals the sensor to allow in-field operation. The OLED screen is fixed to the lid of the main enclosure, and its position allows for easy visualization of the data when taking a measurement.
- Reflective dome and diffuser bracket: A dome that holds the light source (LED PCB) and integrates a light-diffusion film (OptSaver L-9960, Kimoto LDT, Switzerland). The diffuser is placed in front of the sensor to homogenize the illumination and the signal measured an obtain a representative measurement. Data acquisition is performed by making contact between the sample and the diffusive film. The dome is developed to guarantee that the sample is placed at a 45° angle with the light source and the sensor.
- Handle with trigger: This part allows for the simultaneous support and operation of the device with one hand (enabling the use of the other hand for sample manipulation). An end stop switch is used as a trigger. The switch is installed inside the handle and the wires to connect to the interconnection board are conducted inside the handle to the main enclosure.
2.1.3. Software
- The first step is the initialization of all the components of the system, including the input/output configuration and the serial comm parameters definition. Two main serial connections are defined: a connection with the AMS AS7265x development board and with a computer to allow for device control and data monitorization over a computer. Moreover, the OLED screen is connected by a SPI (Serial Peripheral Interface).
- The sensor board (AMS AS7265x) is configured using AT commands over a serial port. Primarily, sensor gain and integration time must be established. Other parameters for calibration can also be configured. All the initialization steps are displayed on the OLED Screen and optionally on the serial connection using a virtual comm over USB. This allows the user to quickly debug any failures during the configuration (i.e., a lost connection with the sensor).
- The next step is to initiate the SD card. A scan of the contents of the card is performed, and a new file is created with the format “dataXXX.csv” where XXX is the last file number stored plus one. Every time the device is powered-up a new file is created, preserving the previously acquired data. The file has a header with a description of the configuration used (mainly integration time, gain, and LED current). The captured spectrum is stored as one measurement per row with reflectance separated by a comma, allowing the file to be processed by standard software compatible with CSV file format.
- After the initialization is completed, the system waits for user input in which the trigger is pressed or a command is sent via serial connection. This dual implementation allows for the control of the system autonomously in the field (via the trigger) or through a connection to a computer, which can be more interesting for in-laboratory operation as it allows for real-time supervision of the measurements.
- When an input is detected, the device begins the capturing process:
- ○
- LEDs are turned on with the configured current at 0–1000 mA.
- ○
- A command is sent to the AMS AS7265X sensor board to perform the acquisition, and the system waits for correct data reception.
- ○
- The LEDs are turned off as soon as all the data are received.
- ○
- Finally, the data are stored in the SD card. Following this, the system is ready for another measurement.
2.2. Validation Experiment
2.2.1. Study Site Description
2.2.2. Spectral Collection
2.2.3. Reference Analysis
2.3. Methodology for Ripening Status Estimation from Multispectral Information
2.3.1. Data Pre-Processing
2.3.2. Estimation Model Development
2.4. Criteria for Model Performance Evaluation
3. Results
3.1. Actual Quality Status of Grape Samples
3.2. Spectral Signature of Samples
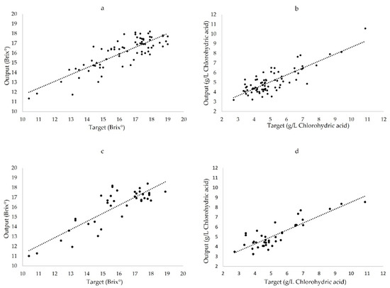
3.3. Evaluation of the Performance of the Estimation Models
4. Discussion
5. Conclusions
Author Contributions
Funding
Institutional Review Board Statement
Informed Consent Statement
Data Availability Statement
Acknowledgments
Conflicts of Interest
References
- López, M.I.; Sánchez, M.T.; Díaz, A.; Ramírez, P.; Morales, J. Influence of a deficit irrigation regime during ripening on berry composition in grapevines (Vitis vinifera L.) grown in semi-arid areas. Int. J. Food Sci. Nutr. 2007, 58, 491–507. [Google Scholar] [CrossRef] [PubMed]
- Vanoli, M.; Buccheri, M. Overview of the methods for assessing harvest maturity. Stewart Postharvest Rev. 2012, 8, 1–11. [Google Scholar] [CrossRef]
- Cattaneo, T.M.P.; Stellari, A. Review: NIR Spectroscopy as a Suitable Tool for the Investigation of the Horticultural Field. Agronomy 2019, 9, 503. [Google Scholar] [CrossRef]
- Lu, R.; Van Beers, R.; Saeys, W.; Li, C.; Cen, H. Measurement of optical properties of fruits and vegetables: A review. Postharvest Biol. Technol. 2020, 159, 111003. [Google Scholar] [CrossRef]
- Nicolaï, B.M.; Beullens, K.; Bobelyn, E.; Peirs, A.; Saeys, W.; Theron, K.I.; Lammertyn, J. Nondestructive measurement of fruit and vegetable quality by means of NIR spectroscopy: A review. Postharvest Biol. Technol. 2007, 46, 99–118. [Google Scholar] [CrossRef]
- Comino, F.; Ayora-Cañada, M.J.; Aranda, V.; Díaz, A.; Domínguez-Vidal, A. Near-infrared spectroscopy and X-ray fluorescence data fusion for olive leaf analysis and crop nutritional status determination. Talanta 2018, 188, 676–684. [Google Scholar] [CrossRef] [PubMed]
- Guzmán, E.; Baeten, V.; Pierna, J.A.F.; García-Mesa, J.A. A portable Raman sensor for the rapid discrimination of olives according to fruit quality. Talanta 2012, 93, 94–98. [Google Scholar] [CrossRef]
- Noguera, M.; Aquino, A.; Ponce, J.M.; Cordeiro, A.; Silvestre, J.; Arias-Calderón, R.; da Marcelo, M.E.; Jordão, P.; Andújar, J.M. Nutritional status assessment of olive crops by means of the analysis and modelling of multispectral images taken with UAVs. Biosyst. Eng. 2021, 211, 1–18. [Google Scholar] [CrossRef]
- Wang, Y.J.; Jin, G.; Li, L.Q.; Liu, Y.; Kianpoor Kalkhajeh, Y.; Ning, J.M.; Zhang, Z.Z. NIR hyperspectral imaging coupled with chemometrics for nondestructive assessment of phosphorus and potassium contents in tea leaves. Infrared Phys. Technol. 2020, 108, 103365. [Google Scholar] [CrossRef]
- Walsh, K.B.; Blasco, J.; Zude-Sasse, M.; Sun, X. Visible-NIR ‘point’ spectroscopy in postharvest fruit and vegetable assessment: The science behind three decades of commercial use. Postharvest Biol. Technol. 2020, 168, 111246. [Google Scholar] [CrossRef]
- Li, B.; Lecourt, J.; Bishop, G. Advances in Non-Destructive Early Assessment of Fruit Ripeness towards Defining Optimal Time of Harvest and Yield Prediction—A Review. Plants 2018, 7, 3. [Google Scholar] [CrossRef] [PubMed]
- Walsh, K.B.; McGlone, V.A.; Han, D.H. The uses of near infra-red spectroscopy in postharvest decision support: A review. Postharvest Biol. Technol. 2020, 163, 111139. [Google Scholar] [CrossRef]
- Millan, B.; Velasco-Forero, S.; Aquino, A.; Tardaguila, J. On-the-go grapevine yield estimation using image analysis and boolean model. J. Sensors 2018, 2018, 14. [Google Scholar] [CrossRef]
- Diago, M.P.; Aquino, A.; Millan, B.; Palacios, F.; Tardaguila, J. On-the-go assessment of vineyard canopy porosity, bunch and leaf exposure by image analysis. Aust. J. Grape Wine Res. 2019, 25, 363–374. [Google Scholar] [CrossRef]
- Bec, K.B.; Grabska, J.; Huck, C.W. Miniaturized NIR Spectroscopy in Food Analysis and Quality Control: Promises, Challenges, and Perspectives. Foods 2022, 11, 1465. [Google Scholar] [CrossRef]
- Krause, J.; Grüger, H.; Gebauer, L.; Zheng, X.; Knobbe, J.; Pügner, T.; Kicherer, A.; Gruna, R.; Längle, T.; Beyerer, J. SmartSpectrometer—Embedded Optical Spectroscopy for Applications in Agriculture and Industry. Sensors 2021, 21, 4476. [Google Scholar] [CrossRef]
- Noguera, M.; Millan, B.; Aquino, A.; Andujar, J.M. Methodology for Olive Fruit Quality Assessment by Means of a Low-Cost Multispectral Device. Agronomy 2022, 12, 979. [Google Scholar] [CrossRef]
- Moinard, S.; Brunel, G.; Ducanchez, A.; Crestey, T.; Rousseau, J.; Tisseyre, B. Testing the potential of a new low-cost multispectral sensor for decision support in agriculture. Precis. Agric. 2021, 21, 411–418. [Google Scholar] [CrossRef]
- Zhang, M.; Shen, M.; Pu, Y.; Li, H.; Zhang, B.; Zhang, Z.; Ren, X.; Zhao, J. Rapid Identification of Apple Maturity Based on Multispectral Sensor Combined with Spectral Shape Features. Horticulturae 2022, 8, 361. [Google Scholar] [CrossRef]
- Leon-salas, W.D.; Rajendran, J.; Vizcardo, M.A.; Postigo-malaga, M. Measuring Photosynthetically Active Radiation with a Multi-Channel Integrated Spectral Sensor. In Proceedings of the 2021 IEEE International Symposium on Circuits and Systems (ISCAS), Daegu, Republic of Korea, 23–26 May 2021; IEEE Xplore: Piscataway, NJ, USA, 2021; pp. 1–5. [Google Scholar]
- Trang, N.M.; Duy, T.K.; Huyen, T.T.N.; Danh, L.V.Q.; Dinh, A. An investigation into the use of a low-Cost NIR integrated circuit spectrometer to measure chlorophyll content index. Int. J. Innov. Technol. Explor. Eng. 2019, 8, 35–38. [Google Scholar]
- Li, M.; Qian, Z.; Shi, B.; Medlicott, J.; East, A. Evaluating the performance of a consumer scale SCiOTM molecular sensor to predict quality of horticultural products. Postharvest Biol. Technol. 2018, 145, 183–192. [Google Scholar] [CrossRef]
- de Toda Fernández, M. Claves de la Viticultura de Calidad: Nuevas Técnicas de Estimación y Control de la Calidad de la Uva en el Viñedo, 2nd ed.; Ediciones Mundi-Prensa: Madrid, Spain, 2011; ISBN 9788484764229. [Google Scholar]
- Gomes, V.M.; Fernandes, A.M.; Faia, A.; Melo-Pinto, P. Comparison of different approaches for the prediction of sugar content in new vintages of whole Port wine grape berries using hyperspectral imaging. Comput. Electron. Agric. 2017, 140, 244–254. [Google Scholar] [CrossRef]
- International Organisation of Vine and Wine. Compendium of International Methods of Wine and Must Analysis, 2020th ed.; International Organisation of Vine and Wine: Paris, France, 2020; ISBN 9782850380167. [Google Scholar]
- Demšar, J.; Erjavec, A.; Hočevar, T.; Milutinovič, M.; Možina, M.; Toplak, M.; Umek, L.; Zbontar, J.; Zupan, B. Orange: Data Mining Toolbox in Python. J. Mach. Learn. Res. 2013, 14, 2349–2353. [Google Scholar]
- Vrochidou, E.; Bazinas, C.; Manios, M.; Papakostas, G.A.; Pachidis, T.P.; Kaburlasos, V.G. Machine Vision for Ripeness Estimation in Viticulture Automation. Horticulturae 2021, 7, 282. [Google Scholar] [CrossRef]
- Dambergs, R.; Gishen, M.; Cozzolino, D. A Review of the State of the Art, Limitations, and Perspectives of Infrared Spectroscopy for the Analysis of Wine Grapes, Must, and Grapevine Tissue. Appl. Spectrosc. Rev. 2014, 50, 261–278. [Google Scholar] [CrossRef]
- Nuske, S.; Nuske, S. Automated Assessment and Mapping of Grape Quality through Image-cased Color Analysis. IFAC-PapersOnLine 2016, 49, 72–78. [Google Scholar] [CrossRef]
- Rahman, A.; Hellicar, A. Identification of Mature Grape Bunches using Image Processing and Computational Intelligence Methods. In Proceedings of the 2014 IEEE Symposium on Computational Intelligence for Multimedia, Signal and Vision Processing (CIMSIVP), Orlando, FL, USA, 9–12 December 2014; IEEE Xplore: Piscataway, NJ, USA, 2014; pp. 1–6. [Google Scholar]
- Cavallo, D.P.; Cefola, M.; Pace, B.; Logrieco, A.F.; Attolico, G. Non-destructive and contactless quality evaluation of table grapes by a computer vision system. Comput. Electron. Agric. 2019, 156, 558–564. [Google Scholar] [CrossRef]
- Kangune, K.; Kulkarni, V.; Kosamkar, P. Grapes Ripeness Estimation using Convolutional Neural network and Support Vector Machine. In Proceedings of the 2019 Global Conference for Advancement in Technology (GCAT), Bangalroe, India, 18–20 October 2019; IEEE Xplore: Piscataway, NJ, USA, 2019; pp. 1–5. [Google Scholar]
- Baiano, A.; Terracone, C.; Peri, G.; Romaniello, R. Application of hyperspectral imaging for prediction of physico-chemical and sensory characteristics of table grapes. Comput. Electron. Agric. 2012, 87, 142–151. [Google Scholar] [CrossRef]
- Fernandes, A.M.; Franco, C.; Mendes-Ferreira, A.; Mendes-Faia, A.; da Costa, P.L.; Melo-Pinto, P. Brix, pH and anthocyanin content determination in whole Port wine grape berries by hyperspectral imaging and neural networks. Comput. Electron. Agric. 2015, 115, 88–96. [Google Scholar] [CrossRef]
- Gabrielli, M.; Lançon-Verdier, V.; Picouet, P.; Maury, C. Hyperspectral Imaging to Characterize Table Grapes. Chemosensors 2021, 9, 71. [Google Scholar] [CrossRef]
- Piazzolla, F.; Amodio, M.L.; Colelli, G. Spectra evolution over on-vine holding of Italia table grapes: Prediction of maturity and discrimination for harvest times using a Vis-NIR hyperspectral device. J. Agric. Eng. 2017, 48, 109–116. [Google Scholar] [CrossRef][Green Version]
- Fernández-Novales, J.; López, M.-I.; Sánchez, M.-T.; García-Mesa, J.-A.; González-Caballero, V. Assessment of quality parameters in grapes during ripening using a miniature fiber-optic near-infrared spectrometer. Int. J. Food Sci. Nutr. 2009, 60, 265–277. [Google Scholar] [CrossRef] [PubMed]
- Fernández-Novales, J.; Barrio, I.; Diago, M.P. Non-invasive monitoring of berry ripening using on-the-go hyperspectral imaging in the vineyard. Agronomy 2021, 11, 2534. [Google Scholar] [CrossRef]
- Guidetti, R.; Beghi, R.; Bodria, L. Evaluation of Grape Quality Parameters by a Simple Vis/NIR System. Am. Soc. Agric. Biol. Eng. 2010, 53, 477–484. [Google Scholar] [CrossRef]
- Urraca, R.; Sanz-Garcia, A.; Tardaguila, J.; Diago, M.P. Estimation of total soluble solids in grape berries using a hand-held NIR spectrometer under field conditions. J. Sci. Food Agric. 2016, 96, 3007–3016. [Google Scholar] [CrossRef]








| Range | Mean | SD | |
|---|---|---|---|
| SSC (°Brix) | 10.4–19 | 16.1 | 1.87 |
| TA (g/L Chlorohydric acid) | 2.7–10.9 | 5.1 | 1.50 |
| LOOCV | Random Sampling | |||||||
|---|---|---|---|---|---|---|---|---|
| R2 | RMSE | CVRMSE | p | R2 | RMSE | CVRMSE | p | |
| SSC (°Brix) | 0.70 | 1.00 | 0.06 | 0.15 | 0.72 | 1.1 | 0.07 | 0.20 |
| TA (g/L Chlorohydric acid) | 0.67 | 0.83 | 0.16 | 0.66 | 0.74 | 0.84 | 0.17 | 0.53 |
Disclaimer/Publisher’s Note: The statements, opinions and data contained in all publications are solely those of the individual author(s) and contributor(s) and not of MDPI and/or the editor(s). MDPI and/or the editor(s) disclaim responsibility for any injury to people or property resulting from any ideas, methods, instructions or products referred to in the content. |
© 2022 by the authors. Licensee MDPI, Basel, Switzerland. This article is an open access article distributed under the terms and conditions of the Creative Commons Attribution (CC BY) license (https://creativecommons.org/licenses/by/4.0/).
Share and Cite
Noguera, M.; Millan, B.; Andújar, J.M. New, Low-Cost, Hand-Held Multispectral Device for In-Field Fruit-Ripening Assessment. Agriculture 2023, 13, 4. https://doi.org/10.3390/agriculture13010004
Noguera M, Millan B, Andújar JM. New, Low-Cost, Hand-Held Multispectral Device for In-Field Fruit-Ripening Assessment. Agriculture. 2023; 13(1):4. https://doi.org/10.3390/agriculture13010004
Chicago/Turabian StyleNoguera, Miguel, Borja Millan, and José Manuel Andújar. 2023. "New, Low-Cost, Hand-Held Multispectral Device for In-Field Fruit-Ripening Assessment" Agriculture 13, no. 1: 4. https://doi.org/10.3390/agriculture13010004
APA StyleNoguera, M., Millan, B., & Andújar, J. M. (2023). New, Low-Cost, Hand-Held Multispectral Device for In-Field Fruit-Ripening Assessment. Agriculture, 13(1), 4. https://doi.org/10.3390/agriculture13010004

