New Insights on Coding Mutations and mRNA Levels of Candidate Genes Associated with Diarrhea Susceptibility in Baladi Goat
Abstract
1. Introduction
2. Materials and Methods
2.1. Ethics Statement
2.2. Animals, Study Design, and Experimental Samples
2.3. DNA Extraction and Polymerase Chain Reaction (PCR)
2.4. DNA Sequencing and Polymorphism Detection
2.5. Total RNA Extraction, Reverse Transcription, and Quantitative Real-Time PCR
2.6. Statistical Analysis
3. Results
3.1. PCR-DNA Sequencing of Candidate Genes
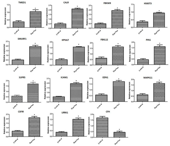
3.2. Gene Expression Pattern
4. Discussion
5. Conclusions
Supplementary Materials
Author Contributions
Funding
Data Availability Statement
Acknowledgments
Conflicts of Interest
References
- Skapetas, B.; Bampidis, V. Goat production in the world: Present situation and trends. Livest. Res. Rural. Dev. 2016, 28, 200. [Google Scholar]
- Gall, C. Goat Breeds Around the World; CTA; Margraf/FAO: Weikersheim, Germany, 1996; p. 186. [Google Scholar]
- Zeder, M.A.; Hesse, B. The initial domestication of goats (Capra hircus) in the Zagros Mountains 10,000 years ago. Science 2000, 287, 2254–2257. [Google Scholar] [CrossRef] [PubMed]
- MacHugh, D.E.; Bradley, D.G. Livestock genetic origins: Goats buck the trend. Proc. Natl. Acad. Sci. USA 2001, 98, 5382–5384. [Google Scholar] [CrossRef] [PubMed]
- Qureshi, M. Review of modern strategies to enhance livestock genetic performance: From molecular markers to next-generation sequencing technologies in goats. J. Food Agric. Environ. 2014, 12, 752–761. [Google Scholar]
- Haftu, A.B.B.; Gebrehiwot, T. Study on prevalence of gastrointestinal nematodes and coccidian parasites affecting cattle in West Arsi zone, Ormia Regional State, Ethiopia. J. Biol. Agric. Healthcare. 2014, 4, 32–38. [Google Scholar]
- Ahmed, J.; Ararsa, D.; Dareje, R.; Dinaol, B.; Roba, J. Gastrointestinal nematode parasites of small ruminants and anthelmintics efficacy test in sheep of Haramaya District, Eastern Ethiopia. Anim. Vet. Sci. 2017, 5, 39. [Google Scholar] [CrossRef][Green Version]
- Arfuso, F.; Fazio, F.; Panzera, M.; Giannetto, C.; Di Pietro, S.; Giudice, E.; Piccione, G. Lipid and lipoprotein profile changes in newborn calves in response to the perinatal period. Acta. Veterinaria. 2017, 67, 25. [Google Scholar] [CrossRef]
- Piccione, G.; Casella, S.; Pennisi, P.; Giannetto, C.; Costa, A.; Caola, G. Monitoring of physiological and blood parameters during perinatal and neonatal period in calves. Arq. Bras. Med. Vet. Zootec. 2010, 62, 1–12. [Google Scholar] [CrossRef]
- Barr, W.; Smith, A. Acute diarrhea. Am. Fam. Physician. 2014, 89, 180–189. [Google Scholar]
- Dwyer, C.M.; Conington, J.; Corbiere, F.; Holmy, I.H.; Gautier, J.M. Invited review: Improving neonatal survival in small ruminants: Science into practice. Animal 2015, 10, 449–459. [Google Scholar] [CrossRef]
- Hodgson, J.C.; King, T.; Moon, G.; Donachie, W.; Quirie, M. Host responses during infection in newborn lambs. Fems. Microbiol. Immunol. 1989, 1, 311–312. [Google Scholar] [CrossRef] [PubMed]
- Navarro, M.A.; McClane, B.A.; Uzal, F.A. Mechanisms of Action and Cell Death Associated with Clostridium perfringens Toxins. Toxins 2018, 10, 212. [Google Scholar] [CrossRef] [PubMed]
- Uzal, F.A.; Navarro, M.A.; Li, J.; Freedman, J.C.; Shrestha, A.; McClane, B.A. Comparative pathogenesis of enteric clostridial infections in humans and animals. Anaerobe 2018, 53, 11–20. [Google Scholar] [CrossRef] [PubMed]
- Mohiuddin, M.; Iqbal, Z.; Siddique, A.; Liao, S.; Salamat, M.K.F.; Qi, N.; Din, A.M.; Sun, M. Prevalence, Genotypic and Phenotypic Characterization and Antibiotic Resistance Profile of Clostridium perfringens Type A and D Isolated from Feces of Sheep (Ovis aries) and Goats (Capra hircus) in Punjab, Pakistan. Toxins 2020, 12, 657. [Google Scholar] [CrossRef] [PubMed]
- Paul, P.; Faruque, R.; Rahman, K.; Das, P.; Chowdhury, M.Y.E. Study on bacterial pathogens through multiplex polymerase chain reaction system and their antimicrobial resistance pattern in goats presumed with fever and/or diarrhea. Vet. World. 2021, 14, 1080–1092. [Google Scholar] [CrossRef]
- Simões, C.D.; Maganinho, M.; Sousa, A.S. FODMAPs, inflammatory bowel disease and gut microbiota: Updated overview on the current evidence. Eur. J. Nutr. 2022, 1–12. [Google Scholar] [CrossRef]
- Amabebe, E.; Robert, F.O.; Agbalalah, T.; Orubu, E.S.F. Microbial dysbiosis-induced obesity: Role of gut microbiota in homoeostasis of energy metabolism. Br. J. Nutr. 2020, 123, 1127–1137. [Google Scholar] [CrossRef]
- Zhang, X.; Wu, J.; Zhou, C.; Tan, Z.; Jiao, J. Spatial and temporal organization of jejunal microbiota in goats during animal development process. J. Appl. Microbiol. 2021, 131, 68–79. [Google Scholar] [CrossRef]
- Jiang, S.; Huo, D.; You, Z.; Peng, Q.; Ma, C.; Chang, H.; Lin, X.; Wang, L.; Zhang, J. The distal intestinal microbiome of hybrids of Hainan black goats and Saanen goats. PLoS ONE 2020, 15, e0228496. [Google Scholar] [CrossRef]
- Hassan, S.U.; Chua, E.G.; Paz, E.A.; Kaur, P.; Tay, C.Y.; Greeff, J.C.; Liu, S.; Martin, G.B. Investigating the development of diarrhea through gene expression analysis in sheep genetically resistant to gastrointestinal helminth infection. Sci. Rep. 2022, 12, 2207. [Google Scholar] [CrossRef]
- Li, W.; Mao, L.; Shu, X.; Liu, R.; Hao, F.; Li, J.; Liu, M.; Yang, L.; Zhang, W.; Sun, M.; et al. Transcriptome analysis reveals differential immune related genes expression in bovine viral diarrhea virus-2 infected goat peripheral blood mononuclear cells (PBMCs). BMC Genom. 2019, 20, 516. [Google Scholar] [CrossRef] [PubMed]
- Zonaed Siddiki, A.M.A.M.; Miah, G.; Islam, M.S.; Kumkum, M.; Rumi, M.H.; Baten, A.; Hossain, M.A. Goat Genomic Resources: The search for genes associated with its economic traits. Int. J. Genom. 2020, 18, 5940205. [Google Scholar] [CrossRef] [PubMed]
- Waineina, R.W.; Okeno, T.O.; Ilatsia, E.D.; Ngeno, K. Selection signature analyses revealed genes associated with adaptation, production, and reproduction in selected goat breeds in Kenya. Front. Genet. 2022, 21, 13–858923. [Google Scholar] [CrossRef]
- Cheng, Y.; Yang, C.; Tan, Z.; He, Z. Changes of intestinal oxidative stress, inflammation, and gene expression in neonatal diarrhea kids. Front. Vet. Sci. 2021, 4, 8–598691. [Google Scholar]
- Kirkpatrick, B.W.; Cooke, M.E.; Frie, M.; Sporer, K.R.B.; Lett, B.; Wells, S.J.; Coussens, P.M. Genome-wide association analysis for susceptibility to infection by Mycobacterium avium ssp. paratuberculosis in US Holsteins. J. Dairy Sci. 2022, 105, 4301–4313. [Google Scholar] [CrossRef] [PubMed]
- Casas, E.; Hessman, B.E.; Keele, J.W.; Ridpath, J.F. A genome-wide association study for the incidence of persistent bovine viral diarrhea virus infection in cattle. Anim Genet. 2015, 46, 8–15. [Google Scholar] [CrossRef] [PubMed]
- Radostits, O.M.; Gay, C.C.; Hinchcliff, K.W.; Constable, P.D. Veterinary Medicine: A Textbook of the Diseases of Cattle, Horses, Sheep, Pigs and Goats, 10th ed.; Elsevier: Saunders, London, 2007; pp. 966–994. [Google Scholar]
- Boom, R.; Sol, C.J.; Salimans, M.M.; Jansen, C.L.; Wertheim-van Dillen, P.M.; Noordaa, J.V.D. Rapid and simple method for purification of nucleic acids. J. Clin. Microbiol. 1990, 28, 495–503. [Google Scholar] [CrossRef]
- Boesenberg-Smith, K.A.; Pessarakli, M.M.; Wolk, D.M. Assessment of DNA Yield and Purity: An Overlooked Detail of PCR Troubleshooting. Clin. Microbiol. Newsl. 2012, 34, 1–6. [Google Scholar] [CrossRef]
- Sanger, F.; Nicklen, S.; Coulson, A.R. DNA sequencing with chain-terminating inhibitors. Proc. Natl. Acad. Sci. USA 1977, 74, 5463–5467. [Google Scholar] [CrossRef]
- Altschul, S.F.; Gish, W.; Miller, W.; Myers, E.W.; Lipman, D.J. Basic local alignment search tool. J. Mol. Biol. 1990, 215, 403–410. [Google Scholar] [CrossRef]
- Tamura, K.; Dudley, J.; Nei, M.; Kumar, S. MEGA4: Molecular Evolutionary Genetics Analysis (MEGA) Software Version 4.0. Mol. Biol. Evol. 2007, 24, 1596–1599. [Google Scholar] [CrossRef] [PubMed]
- Livak, K.J.; Schmittgen, T.D. Analysis of Relative Gene Expression Data Using Real-Time Quantitative PCR and the 2−∆∆CT. Methods 2001, 25, 402–408. [Google Scholar] [CrossRef] [PubMed]
- Pfaffl, M.W. A new mathematical model for relative quantification in real-time RT–PCR. Nucleic Acids Res. 2001, 29, e45. [Google Scholar] [CrossRef] [PubMed]
- Millemann, Y.; Adjou, K.; Maillard, R.; Chartier., C. Neonatal diarrhoea in lambs and kids. Point. Vet. 2003, 34, 22–29. [Google Scholar]
- Yatoo, M.I.; Bhat, R.A.; Muheet Parray, O.R.; Shabir, M.; Kubrevi, S.S.; Dar, R.A.; Angmo, K.; Kanwar, M.S. A study on biological rhythms of Himalayan Pashmina goats. Biol. Rhythm Res. 2020, 51, 1018–1025. [Google Scholar] [CrossRef]
- Feuk, L.; Marshall, C.R.; Wintle, R.F.; Scherer, S.W. Structural variants: Changing the landscape of chromosomes and design of disease studies. Hum. Mol. Genet. 2006, 15, 57–66. [Google Scholar] [CrossRef]
- Cartegni, L.; Chew, S.L.; Krainer, A.R. Listening to silence and understanding nonsense: Exonic mutations that affect splicing. Nat. Rev. Genet. 2002, 3, 285–298. [Google Scholar] [CrossRef]
- Tsuchida, S.; Yamad, Y.; Fukui, E.; Kawada, T.; Omi, T.; Tsuchida, A.; Sako, T.; Hatakeyama, H.; Kotani, K. Distribution of single nucleotide polymorphisms in the CXCR1 gene and association with calf diseases in Japanese Black cattle. J. Vet. Med. Sci. 2010, 72, 1609–1614. [Google Scholar] [CrossRef]
- Yang, Q.L.; Zhao, S.G.; Wang, D.W.; Feng, Y.; Jiang, T.T.; Huang, X.Y.; Gun, S.B. Association between genetic polymorphism in the swine leukocyte antigen-DRA gene and piglet diarrhea in three Chinese pig breeds. Asian-Australas J. Anim. Sci. 2014, 27, 1228–1235. [Google Scholar] [CrossRef]
- Chen, L.; Peng, S.; Fu, B.; Du, Q.; Zhang, L.; Liu, L. Polymorphism of Nramp1 Gene and Its Association with Diarrhea in Pigs. Indian J. Anim. Res. 2021, 55, 786–790. [Google Scholar] [CrossRef]
- Jansen, R.C.; Nap, J.P. Genetical genomics: Te added value from segregation. Trends Genet. 2001, 17, 388–391. [Google Scholar] [CrossRef] [PubMed]
- Fairfax, B.P.; Knight, J.C. Genetics of gene expression in immunity to infection. Curr. Opin. Immunol. 2014, 30, 63–71. [Google Scholar] [CrossRef] [PubMed]
- Cloney, R. Complex traits: Integrating gene variation and expression to understand complex traits. Nat. Rev. Genet. 2016, 17, 194. [Google Scholar] [CrossRef] [PubMed]
- Pastor-Cantizano, N.; Montesinos, J.C.; Bernat-Silvestre, C.; Marcote, M.J.; Aniento, F. p24 family proteins: Key players in the regulation of trafficking along the secretory pathway. Protoplasma 2016, 253, 967–985. [Google Scholar] [CrossRef]
- Luo, W.; Yu, Z. Calreticulin (CALR) mutation in myeloproliferative neoplasms (MPNs). Stem Cell Investig. 2015, 31, 16. [Google Scholar]
- Cabagnols, X.; Defour, J.P.; Ugo, V.; Ianotto, J.C.; Mossuz, P.; Mondet, J.; Girodon, F.; Alexandre, J.H.; Mansier, O.; Viallard, J.F.; et al. Differential association of calreticulin type 1 and type 2 mutations with myelofibrosis and essential thrombocytemia: Relevance for disease evolution. Leukemia 2015, 29, 249–252. [Google Scholar] [CrossRef]
- Jin, J.; Cardozo, T.; Lovering, R.C.; Elledge, S.J.; Pagano, M.; Harper, J.W. Systematic analysis and nomenclature of mammalian F-box proteins. Genes Dev. 2004, 18, 2573–2580. [Google Scholar] [CrossRef]
- Bodine, S.C.; Latres, E.; Baumhueter, S.; Lai, V.K.; Nunez, L.; Clarke, B.A.; Poueymirou, W.T.; Panaro, F.J.; Na, E.; Dharmarajan, K.; et al. Identification of ubiquitin ligases required for skeletal muscle atrophy. Science 2001, 294, 1704–1708. [Google Scholar] [CrossRef]
- Esko, J.D.; Selleck, S.B. Order Out of Chaos: Assembly of Ligand Binding Sites in Heparan Sulfate. Annu. Rev. Biochem. 2002, 71, 435–471. [Google Scholar] [CrossRef]
- Zhu, H.; Kavsak, P.; Abdollah, S.; Wrana, J.L.; Thomsen, G.H. A SMAD ubiquitin ligase targets the BMP pathway and affects embryonic pattern formation. Nature 1999, 400, 687–693. [Google Scholar] [CrossRef]
- Liu, J.Z.; van Sommeren, S.; Huang, H.; Ng, S.C.; Alberts, R.; Takahashi, A.; Ripke, S.; Lee, J.C.; Jostins, L.; Shah, T.; et al. Association analyses identify 38 susceptibility loci for inflammatory bowel disease and highlight shared genetic risk across populations. Nat. Genet. 2015, 47, 979–986. [Google Scholar] [CrossRef] [PubMed]
- Kelley, J.B.; Talley, A.M.; Spencer, A.; Gioeli, D.; Paschal, B.M. Karyopherin alpha7 (KPNA7), a divergent member of the importin alpha family of nuclear import receptors. BMC Cell Biol. 2010, 11, 63. [Google Scholar] [CrossRef]
- Manganaro, L.; Lusic, M.; Gutierrez, M.I.; Cereseto, A.; Del Sal, G.; Giacca, M. Concerted action of cellular JNK and Pin1 restricts HIV-1 genome integration to activated CD4+ T lymphocytes. Nat. Med. 2010, 16, 329–333. [Google Scholar] [CrossRef] [PubMed]
- Mayol, K.; Biajoux, V.; Marvel, J.; Balabanian, K.; Walzer, T. Sequential desensitization of CXCR4 and S1P5 controls natural killer cell trafficking. Blood 2011, 118, 4863–4871. [Google Scholar] [CrossRef] [PubMed]
- Walzer, T.; Chiossone, L.; Chaix, J.; Calver, A.; Carozzo, C.; Garrigue-Antar, L.; Jacques, Y.; Baratin, M.; Tomasello, E.; Vivier, E. Natural killer cell trafficking in vivo requires a dedicated sphingosine 1-phosphate receptor. Nat. Immunol. 2007, 8, 1337–1344. [Google Scholar] [CrossRef] [PubMed]
- van de Stolpe, A.; van der Saag, P.T. Intercellular adhesion molecule-1. J. Mol. Med. 1996, 74, 13–33. [Google Scholar] [CrossRef]
- Kowalczyk, A.; Kleniewska, P.; Kolodziejczyk, M.; Skibska, B.; Goraca, A. The role of endothelin-1 and endothelin receptor antagonists in inflammatory response and sepsis. Arch. Immunol. Ther. Exp. 2015, 63, 41–52. [Google Scholar] [CrossRef]
- Anggrahini, D.W.; Emoto, N.; Nakayama, K.; Widyantoro, B.; Adiarto, S.; Iwasa, N.; Nonaka, H.; Rikitake, Y.; Kisanuki, Y.Y.; Yanagisawa, M.; et al. Vascular endothelial cell-derived endothelin-1 mediates vascular inflammation and neointima formation following blood flow cessation. Cardiovasc. Res. 2009, 82, 143–151. [Google Scholar] [CrossRef]
- Pearson, G.; Robinson, F.; Beers Gibson, T.; Xu, B.E.; Karandikar, M.; Berman, K.; Cobb, M.H. Mitogen-activated protein (MAP) kinase pathways: Regulation and physiological functions. Endocr. Rev. 2001, 22, 153–183. [Google Scholar]
- Meyers, M.J.; Pelc, M.; Kamtekar, S.; Day, J.; Poda, G.I.; Hall, M.K.; Michener, M.L.; Reitz, B.A.; Mathis, K.J.; Pierce, B.S.; et al. Structure-based drug design enables conversion of a DFG-in binding CSF-1R kinase inhibitor to a DFG-out binding mode. Bioorg. Med. Chem. Lett. 2010, 20, 1543–1547. [Google Scholar] [CrossRef]
- Xing, W.; Goodluck, H.; Zeng, C.; Mohan, S. Role and mechanism of action of leucine-rich repeat kinase 1 in bone. Bone Res. 2017, 5, 17003. [Google Scholar] [CrossRef] [PubMed]
- Westerlund, M.; Belin, A.C.; Anvret, A.; Bickford, P.; Olson, L.; Galter, D. Developmental regulation of leucine-rich repeat kinase 1 and 2 expression in the brain and other rodent and human organs: Implications for Parkinson’s disease. Neuroscience 2008, 152, 429–436. [Google Scholar] [CrossRef] [PubMed]
- Ying, L.; Katz, Y.; Schlesinger, M.; Carmi, R.; Shalev, H.; Haider, N.; Beck, G.; Sheffield, V.C.; Landau, D. Complement factor H gene mutation associated with autosomal recessive atypical hemolytic uremic syndrome. Am. J. Hum. Genet. 1999, 65, 1538–1546. [Google Scholar] [CrossRef] [PubMed]
- Toomey, C.B.; Johnson, L.V.; Bowes Rickman, C. Complement factor H in AMD: Bridging genetic associations and pathobiology. Prog. Retin. Eye Res. 2018, 62, 38–57. [Google Scholar] [CrossRef] [PubMed]
- Aslan, O.; Goksu, A.G.; Apaydin, N. The evaluation of oxidative stress in lambs with Pestivirus infection. J. Hellenic Vet. Med. Soc. 2017, 68, 299–306. [Google Scholar] [CrossRef]
- Wei, W.; Feng, W.; Xin, G.; Niu, T.; Yan, X. Enhanced effect of κ-carrageenan on TNBS-induced inflammation in mice. Int. Immunopharmacol. 2016, 39, 218–228. [Google Scholar] [CrossRef]
- Gutteridge, J.M.C. Invited review free radicals in disease processes: A compilation of cause and consequence. Free Radic. Res. Commun. 1993, 19, 141–158. [Google Scholar] [CrossRef]
- Fabiana, A.M.; Kívia, Q.D.A.; Juliana, C.F.D.S.; Orlando, R.P.A.; Marília, O.F.G. Antioxidant therapy for treatment of inflammatory bowel disease: Does it work? Redox Biol. 2015, 6, 617–639. [Google Scholar]
- Pisani, L.F.; Lecchi, C.; Invernizzi, G.; Sartorelli, P.; Savoini, G.; Ceciliani, F. In vitro modulatory effect of omega-3 polyunsaturated fatty acid (EPA and DHA) on phagocytosis and ROS production of goat neutrophils. Vet. Immunol. Immunopathol. 2009, 131, 79–85. [Google Scholar] [CrossRef]
- Shi, H.R.; Huang, X.Y.; Yan, Z.Q.; Yang, Q.L.; Wang, P.F.; Li, S.G.; Sun, W.; Gun, S. Effect of Clostridium perfringens type C on TLR4/MyD88/NF-κB signaling pathway in piglet small intestines. Microb. Pathog. 2019, 135, 7. [Google Scholar] [CrossRef]
- Fischer, S.; Bauerfeind, R.; Czerny, C.P.; Neumann, S. Serum interleukin-6 as a prognostic marker in neonatal calf diarrhea. J. Dairy Sci. 2016, 99, 6563–6571. [Google Scholar] [CrossRef] [PubMed]
- Morrison, S.Y.; Pastor, J.J.; Quintela, J.C.; Holst, J.J.; Hartmann, B.; Drackley, J.K.; Ipharraguerre, I.R. Short communication: Promotion of glucagon-like peptide-2 secretion in dairy calves with a bioactive extract from Olea europaea. J. Dairy Sci. 2017, 100, 1940–1945. [Google Scholar] [CrossRef] [PubMed]
- Nathan, C.; Cunningham-Bussel, A. Beyond oxidative stress: An immunologist’s guide to reactive oxygen species. Nat. Rev. Immunol. 2013, 13, 349–361. [Google Scholar] [CrossRef] [PubMed]
- Spees, A.M.; Wangdi, T.; Lopez, C.A.; Kingsbury, D.D.; Xavier, M.N.; Winter, S.E.; Tsolis, R.M.; Bäumler, A.J. Streptomycin-induced inflammation enhances Escherichia coli gut colonization through nitrate respiration. Mbio 2013, 4, e00430-13. [Google Scholar] [CrossRef]

| Gene | Forward | Reverse | Annealing Temperature (°C) | Length of PCR Product (bp) | Reference |
|---|---|---|---|---|---|
| TMED1 | 5′-GGAACCGCAACCGGTTAGCAGAC-3′ | 5′-ATCTCCTCAGGCTCCACAGCCT-3′ | 58 | 475 | Current study |
| CALR | 5′-TGCAGAGCTGCTGCCGGACGAGT-3′ | 5′-CCTTGTAGTTGAAGATGACATG-3′ | 62 | 517 | Current study |
| FBXW9 | 5′-TCTGAGGCTGACAGGGCAGGGC-3′ | 5′-CGTCGAGGTAGGCGCAGATCTC-3′ | 58 | 329 | Current study |
| HS6ST3 | 5′-GGTTCGTGCCGCGCTTCAACTTC-3′ | 5′-AGACCAGTCATCCCCTGGGTAGC-3′ | 60 | 509 | Current study |
| SMURF1 | 5′-TCGTTGGCGGGAGATGTCGAAC-3′ | 5′- GCTGGCTCCTCCATGAAGCAGCT-3′ | 60 | 552 | Current study |
| KPNA7 | 5′-TGAGCAGGCCTTGAAGAGGAGGA-3′ | 5′-AGGAGGTAGAAGAGGACGGGCA-3′ | 59 | 618 | Current study |
| FBXL12 | 5′-TACCTCCAGGTCCGGGATCGGA-3′ | 5′-CCTGCAGGTGCTCGTCGCGGA-3′ | 64 | 647 | Current study |
| PIN1 | 5′-GAGGAGAAGCTGCCGCCCGGCT-3′ | 5′-ATACTGTGTGACAGGAGAAGGGA-3′ | 58 | 611 | Current study |
| S1PR5 | 5′-TGAGCGAGGTCATCGTCCAGCA-3′ | 5′-CGCTCCATGGTGAGGAGGCGCTC-3′ | 62 | 385 | Current study |
| ICAM1 | 5′-GCCAGTCTTAGCCAAGCGCCTC-3′ | 5′- ACCGGACACCTGGCAGCTCAG -3′ | 58 | 469 | Current study |
| EDN1 | 5′-TCCAAGGAGCTCCAGAAGCAGT-3′ | 5′- CTCCATGGAGTCTTGGTCCTTGA-3′ | 60 | 365 | Current study |
| MAPK11 | 5′-GCGCGCCGGCTTCTACCGTCTG-3′ | 5′- CGCGCAGCAGCTGGTACACGAG-3′ | 64 | 398 | Current study |
| CSFIR | 5′-CGTCAGAGCCAGTGTCTGAGA-3′ | 5′-CTCCAGGCTCAGTGCAGCGGTA-3′ | 60 | 345 | Current study |
| LRRK1 | 5′-GACTGTTGAGTCGTCCTCTCA-3′ | 5′-CTCCGTCCGTAGCTCCACCAG-3′ | 62 | 530 | Current study |
| CFH | 5′-TAGCAGAGGAGAACCTGACACAG-3′ | 5′-ACACTTAACAACTTCACATATG-3′ | 58 | 506 | Current study |
| Gene | Primer | Product Length (bp) | Annealing Temperature (°C) | Accession Number | Source |
|---|---|---|---|---|---|
| TMED1 | F5′-CTCCTTCAGCACCATCTCGG-3′ R5′-CCCCTTCCTCAAAGGCTCG-3′ | 218 | 60 | XM_005682367.3 | Current study |
| CALR | F5-TCGCTGCAAGGACGATGAAT-3′ R5′-TTGGCACGATCATCCCAGTC-3′ | 189 | 60 | XM_005682299.3 | Current study |
| FBXW9 | F5′-CCACAGGTCTCAGATCACGG-3′ R5′-ACATTGTGGTGGCTTCGAGT-3′ | 132 | 59 | XM_018051277.1 | Current study |
| HS6ST3 | F5′-GAAGAAAGACTGTCCCCGCA-3′ R5′-TCTGGACGTGTTTCCACTCG-3′ | 107 | 58 | XM_018056433.1 | Current study |
| SMURF1 | F5′-AAGGCCATACCTCTGAGCCC-3′ R5′-GTGGTGTAACCGTGGGTCTG-3′ | 161 | 62 | XM_018040226.1 | Current study |
| KPNA7 | F5′-CTGAGGGCATTTAAGGCCGA-3′ R5-GATGCATCCTTGCCCCGATA-3′ | 140 | 60 | XM_005697882.3 | Current study |
| FBXL12 | F5′-CCACGATGTCAGAAACCAACG-3′ R5′-TGGGAGCCTGAGAACAGGTA-3′ | 126 | 59 | XM_005682343.2 | Current study |
| PIN1 | F5′-TCACAGATTCGGGCATCCAC-3′ R5′-CCAGCCATTCTGGGGTCAAT-3′ | 191 | 59 | XM_018051006.1 | Current study |
| S1PR5 | F5′-TACACAGGCTGCGAACCATT-3′ R5′-GACTCACAGCAAGTCACGGA-3′ | 128 | 60 | XM_018051062.1 | Current study |
| ICAM1 | F5′-GTGGGACCACACAGTTCCAA-3′ R5′-GGACATGAAACCTCGCCTCA-3′ | 166 | 60 | XM_005682354.3 | Current study |
| EDN1 | F5′-TTGAGATCCGGAGAACCCGA-3′ R5′-GGGCGGATTAAAGGAAGGGT-3′ | 137 | 58 | XM_005696851.3 | Current study |
| MAPK11 | F5-CCGTCTGGAGCTGAACAAGA-3′ R5′-GGATCAGAGACTGGAAGGGC-3′ | 164 | 59 | XM_018048955.1 | Current study |
| CSFIR | F5-TACTCCTTCTCGCCGTGGTA-3′ R5′-GGATCAGAGACTGGAAGGGC-3′ | 193 | 60 | XM_018050168.1 | Current study |
| LRRK1 | F5-CCGTGTCCTCATCCCTTGAG-3′ R5′-AAGTCAGTTCCGTCGTGGTC-3′ | 187 | 60 | XM_013972914.2 | Current study |
| CFH | F5-ATTGCTGGGGCTCCTGACT-3′ R5′-AGTGCAGGAAACCACTTGCT-3′ | 130 | 62 | XM_018060122.1 | Current study |
| ß. actin | F5′-ATGTATGTGGCCATCCAGGC-3′ R5′-TGAGGTAGTCCGTCAGGTCC-3′ | 175 | 58 | AF481159.1 | Current study |
| Gene | SNPs | Healthy n = 65 | Diarrheic n = 35 | Total n = 100 | Type of Mutation | Amino Acid Number and Type | Chi Value |
|---|---|---|---|---|---|---|---|
| TMED1 | T74G | 29 | - | 29/100 | Non-synonymous | 25 F to C | 73.11 |
| G260C | - | 23 | 23/100 | Non-synonymous | 87 W to S | 57.98 | |
| CALR | G147A | - | 18 | 18/100 | Synonymous | 49 L | 45.38 |
| C312T | 34 | - | 34/100 | Synonymous | 104 P | 85.72 | |
| C384T | 26 | - | 26/100 | Synonymous | 128 G | 65.55 | |
| G465A | 14 | - | 14/100 | Synonymous | 155 P | 35.29 | |
| FBXW9 | C190A | 37 | - | 37/100 | Non-synonymous | 64 R to S | 93.28 |
| HS6ST3 | T80C | - | 22 | 22/100 | Non-synonymous | 27 L to S | 55.46 |
| A212G | 17 | - | 17/100 | Non-synonymous | 71 K to R | 42.86 | |
| A470G | 41 | - | 41/100 | Non-synonymous | 157 Q to R | 103.35 | |
| SMURF1 | T322C | - | 25 | 25/100 | Non-synonymous | 10 C to R | 63.03 |
| KPNA7 | A83C | 36 | - | 36/100 | Non-synonymous | 28 H to P | 90.74 |
| C202T | 15 | - | 15/100 | Non-synonymous | 68 R to C | 37.81 | |
| G307A | - | 13 | 13/100 | Non-synonymous | 103 G to R | 32.77 | |
| A457G | 37 | - | 37/100 | Non-synonymous | 153 K to E | 93.28 | |
| FBXL12 | G285A | - | 19 | 19/100 | Synonymous | 95 T | 47.90 |
| A580G | - | 21 | 21/100 | Non-synonymous | 194 S to G | 52.94 | |
| PIN | T81C | 16 | - | 16/100 | Synonymous | 27 N | 40.34 |
| T132C | - | 19 | 19/100 | Synonymous | 44 N | 47.90 | |
| A198G | - | 27 | 27/100 | Synonymous | 66 R | 68.06 | |
| A447G | 43 | - | 43/100 | Synonymous | 149 T | 108.41 | |
| S1PR5 | C197A | - | 13 | 13/100 | Non-synonymous | 66 A to E | 32.77 |
| A272G | 31 | - | 31/100 | Non-synonymous | 91 Y to C | 78.15 | |
| ICAM1 | G53C | 46 | - | 46/100 | Non-synonymous | 18 C to S | 115.96 |
| G118C | 22 | - | 22/100 | Non-synonymous | 40 A to P | 55.46 | |
| G226A | 54 | - | 54/100 | Non-synonymous | 76 V to I | 136.13 | |
| EDN1 | C73T | - | 29 | 29/100 | Non-synonymous | 25 F to L | 73.11 |
| MAPK11 | G109A | - | 15 | 15/100 | Non-synonymous | 37 G to S | 37.81 |
| T265G | - | 30 | 30/100 | Non-synonymous | 89 C to G | 75.63 | |
| G370C | 49 | - | 49/100 | Non-synonymous | 124 A to P | 123.53 | |
| CSFIR | C63T | 37 | - | 37/100 | Synonymous | 21 A | 93.28 |
| G143A | - | 26 | 26/100 | Non-synonymous | 48 R to Q | 65.55 | |
| C284T | 19 | - | 19/100 | Non-synonymous | 95 S to F | 47.90 | |
| LRRK1 | C53T | - | 23 | 23/100 | Non-synonymous | 18 T to M | 57.98 |
| G85C | - | 32 | 32/100 | Non-synonymous | 29 V to L | 80.67 | |
| T174C | 24 | - | 24/100 | Synonymous | 58 G | 60.50 | |
| T337C | 48 | - | 48/100 | Non-synonymous | 113 S to P | 121.01 | |
| G370A | - | 28 | 28/100 | Non-synonymous | 124 E to K | 70.59 | |
| CFH | G95C | 33 | - | 33/100 | Non-synonymous | 32 G to A | 83.19 |
| C458A | 21 | - | 21/100 | Non-synonymous | 153 T to K | 52.94 |
Disclaimer/Publisher’s Note: The statements, opinions and data contained in all publications are solely those of the individual author(s) and contributor(s) and not of MDPI and/or the editor(s). MDPI and/or the editor(s) disclaim responsibility for any injury to people or property resulting from any ideas, methods, instructions or products referred to in the content. |
© 2023 by the authors. Licensee MDPI, Basel, Switzerland. This article is an open access article distributed under the terms and conditions of the Creative Commons Attribution (CC BY) license (https://creativecommons.org/licenses/by/4.0/).
Share and Cite
Al-Sharif, M.; Ateya, A. New Insights on Coding Mutations and mRNA Levels of Candidate Genes Associated with Diarrhea Susceptibility in Baladi Goat. Agriculture 2023, 13, 143. https://doi.org/10.3390/agriculture13010143
Al-Sharif M, Ateya A. New Insights on Coding Mutations and mRNA Levels of Candidate Genes Associated with Diarrhea Susceptibility in Baladi Goat. Agriculture. 2023; 13(1):143. https://doi.org/10.3390/agriculture13010143
Chicago/Turabian StyleAl-Sharif, Mona, and Ahmed Ateya. 2023. "New Insights on Coding Mutations and mRNA Levels of Candidate Genes Associated with Diarrhea Susceptibility in Baladi Goat" Agriculture 13, no. 1: 143. https://doi.org/10.3390/agriculture13010143
APA StyleAl-Sharif, M., & Ateya, A. (2023). New Insights on Coding Mutations and mRNA Levels of Candidate Genes Associated with Diarrhea Susceptibility in Baladi Goat. Agriculture, 13(1), 143. https://doi.org/10.3390/agriculture13010143
