No-Till Mitigates SOC Losses after Grassland Renovation and Conversion to Silage Maize
Abstract
:1. Introduction
2. Materials and Methods
2.1. Study Site
2.2. Measurements
2.2.1. Soil Sampling and Carbon Analysis
2.2.2. Plant biomass sampling and C input calculations
2.3. Statistical Analysis
3. Results
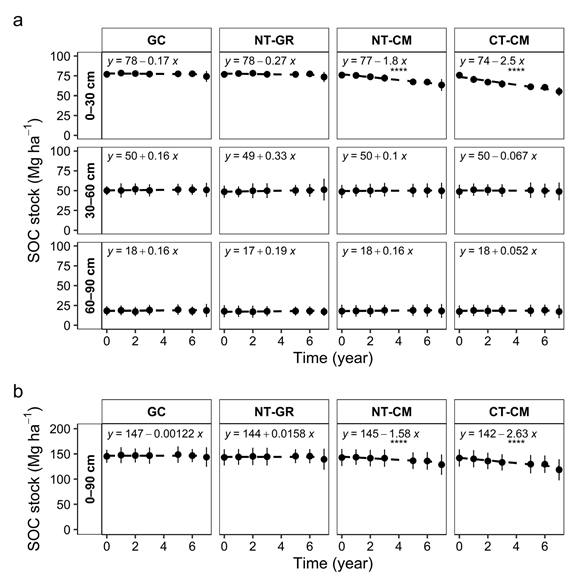
3.1. Effects of Grassland Conversion and Renovation on Soil Organic Carbon Dynamics
3.2. Effects of Soil C Inputs on Topsoil SOC Dynamics
4. Discussion
4.1. No-Till (NT) Effects on Topsoil SOC Dynamics after Grassland Conversion and Renovation
4.2. Land Use Change and Tillage Effects on the Subsoil SOC Dynamics
4.3. Plant-Derived C Inputs Affect Annual SOC Changes (ΔSOC)
5. Conclusions
Supplementary Materials
Author Contributions
Funding
Acknowledgments
Conflicts of Interest
Appendix A
| Cropping Systems from 2015 | N Rate | Permanent Grassland (2005–2014) | ||||
|---|---|---|---|---|---|---|
| Cutting Frequency × N Rates | Treatment Replicates | |||||
| 3 × 0 | 5 × 0 | 3 × 360 | 5 × 360 | |||
| GC | N0 | 3 | 3 | 3 | 3 | 12 |
| N1 | 3 | 3 | 3 | 3 | 12 | |
| NT-GR | N0 | 3 | 3 | 3 | 3 | 12 |
| N1 | 3 | 3 | 3 | 3 | 12 | |
| NT-CM | N0 | 3 | 3 | 7 | 7 | 20 |
| N1 | 2 | 2 | 6 | 6 | 16 | |
| CT-CM | N0 | 3 | 3 | 6 | 6 | 18 |
| N1 | 3 | 3 | 6 | 6 | 18 | |
| Total number of replicates | 23 | 23 | 37 | 37 | 120 | |
References
- Conant, R.T.; Cerri, C.E.P.; Osborne, B.B.; Paustian, K. Grassland management impacts on soil carbon stocks: A new synthesis. Ecol. Appl. 2017, 27, 662–668. [Google Scholar] [CrossRef] [PubMed]
- Lal, R. World cropland soils as a source or sink for atmospheric carbon. In Advances in Agronomy; Sparks, D.L., Ed.; Academic Press: Cambridge, MA, USA, 2001; Volume 71, pp. 145–191. [Google Scholar]
- Necpálová, M.; Li, D.; Lanigan, G.; Casey, I.A.; Burchill, W.; Humphreys, J. Changes in soil organic carbon in a clay loam soil following ploughing and reseeding of permanent grassland under temperate moist climatic conditions. Grass Forage Sci. 2013, 69, 611–624. [Google Scholar] [CrossRef]
- Kayser, M.; Müller, J.; Isselstein, J. Grassland renovation has important consequences for C and N cycling and losses. Food Energy Secur. 2018, 7, e00146. [Google Scholar] [CrossRef]
- Guo, L.B.; Gifford, R.M. Soil carbon stocks and land use change: A meta analysis. Glob. Chang. Biol. 2002, 8, 345–360. [Google Scholar] [CrossRef]
- Reinsch, T.; Loges, R.; Kluß, C.; Taube, F. Renovation and conversion of permanent grass-clover swards to pasture or crops: Effects on annual N2O emissions in the year after ploughing. Soil Tillage Res. 2018, 175, 119–129. [Google Scholar] [CrossRef]
- Velthof, G.L.; Hoving, I.E.; Dolfing, J.; Smit, A.; Kuikman, P.J.; Oenema, O. Method and timing of grassland renovation affects herbage yield, nitrate leaching, and nitrous oxide emission in intensively managed grasslands. Nutr. Cycl. Agroecosyst. 2010, 86, 401–412. [Google Scholar] [CrossRef]
- Ogle, S.M.; Alsaker, C.; Baldock, J.; Bernoux, M.; Breidt, F.J.; McConkey, B.; Regina, K.; Vazquez-Amabile, G.G. Climate and Soil Characteristics Determine Where No-Till Management Can Store Carbon in Soils and Mitigate Greenhouse Gas Emissions. Sci. Rep. 2019, 9, 11665. [Google Scholar] [CrossRef] [PubMed]
- Follett, R.F.; Varvel, G.E.; Kimble, J.M.; Vogel, K.P. No-Till Corn after Bromegrass: Effect on Soil Carbon and Soil Aggregates. Agron. J. 2009, 101, 261–268. [Google Scholar] [CrossRef]
- West, T.O.; Post, W.M. Soil Organic Carbon Sequestration Rates by Tillage and Crop Rotation: A global data analysis. Soil Sci. Soc. Am. J. 2002, 66, 1930–1946. [Google Scholar] [CrossRef]
- Ogle, S.M.; Wakelin, S.J.; Buendia, L.; McConkey, B.; Baldock, J.; Akiyama, H.; Kishimoto, A.W.M.; Chirinda, N.; Bernoux, M.; Bhattacharya, S.N.; et al. Chapter 5 Cropland. In 2019 Refinement to the 2006 IPCC Guidelines for National Greenhouse Gas Inventories; Buendia, E.C., Tanabe, K., Kranjc, A., Baasansuren, J., Fukuda, M., Ngarize, S., Osako, A., Pyrozhenko, Y., Shermanau, P., Federici, S., Eds.; IPCC: Geneva, Switzerland, 2019. [Google Scholar]
- Luo, Z.; Wang, E.; Sun, O.J. Can no-tillage stimulate carbon sequestration in agricultural soils? A meta-analysis of paired experiments. Agric. Ecosyst. Environ. 2010, 139, 224–231. [Google Scholar] [CrossRef]
- Christopher, S.F.; Lal, R.; Mishra, U. Regional Study of No-Till Effects on Carbon Sequestration in the Midwestern United States. Soil Sci. Soc. Am. J. 2009, 73, 207–216. [Google Scholar] [CrossRef]
- Powlson, D.S.; Stirling, C.M.; Jat, M.L.; Gerard, B.; Palm, C.A.; Sanchez, P.A.; Cassman, K.G. Limited potential of no-till agriculture for climate change mitigation. Nat. Clim. Chang. 2014, 4, 678–683. [Google Scholar] [CrossRef]
- Gál, A.; Vyn, T.J.; Michéli, E.; Kladivko, E.J.; McFee, W.W. Soil carbon and nitrogen accumulation with long-term no-till versus moldboard plowing overestimated with tilled-zone sampling depths. Soil Tillage Res. 2007, 96, 42–51. [Google Scholar] [CrossRef]
- Franzluebbers, A.J.; Stuedemann, J.A. Early Response of Soil Organic Fractions to Tillage and Integrated Crop–Livestock Production. Soil Sci. Soc. Am. J. 2008, 72, 613–625. [Google Scholar] [CrossRef]
- Poeplau, C.; Jacobs, A.; Don, A.; Vos, C.; Schneider, F.; Wittnebel, M.; Tiemeyer, B.; Heidkamp, A.; Prietz, R.; Flessa, H. Stocks of organic carbon in German agricultural soils—Key results of the first comprehensive inventory. J. Plant Nutr. Soil Sci. 2020, 183, 665–681. [Google Scholar] [CrossRef]
- Rumpel, C.; Kögel-Knabner, I. Deep soil organic matter—A key but poorly understood component of terrestrial C cycle. Plant Soil 2011, 338, 143–158. [Google Scholar] [CrossRef]
- VandenBygaart, A.J.; Bremer, E.; McConkey, B.G.; Ellert, B.H.; Janzen, H.H.; Angers, D.A.; Carter, M.R.; Drury, C.F.; Lafond, G.P.; McKenzie, R.H. Impact of Sampling Depth on Differences in Soil Carbon Stocks in Long-Term Agroecosystem Experiments. Soil Sci. Soc. Am. J. 2011, 75, 226–234. [Google Scholar] [CrossRef]
- Gentile, R.; Martino, D.; Entz, M. Influence of perennial forages on subsoil organic carbon in a long-term rotation study in Uruguay. Agric. Ecosyst. Environ. 2005, 105, 419–423. [Google Scholar] [CrossRef]
- Dupont, S.T.; Culman, S.; Ferris, H.; Buckley, D.H.; Glover, J.D. No-tillage conversion of harvested perennial grassland to annual cropland reduces root biomass, decreases active carbon stocks, and impacts soil biota. Agric. Ecosyst. Environ. 2010, 137, 25–32. [Google Scholar] [CrossRef]
- Lal, R.; Follett, R.F. Soil Carbon Sequestration and the Greenhouse Effect, 2nd ed.; Soil Science Society of America: Madison, WI, USA, 2009; ISBN 9780891188506. [Google Scholar]
- Nüsse, A.; Linsler, D.; Loges, R.; Reinsch, T.; Taube, F.; Ludwig, B. Effect of grassland harvesting frequency and N-fertilization on stocks and dynamics of soil organic matter in the temperate climate. Arch. Agron. Soil Sci. 2018, 64, 1925–1931. [Google Scholar] [CrossRef]
- Johnson, J.M.; Allmaras, R.R.; Reicosky, D.C. Estimating Source Carbon from Crop Residues, Roots and Rhizodeposits Using the National Grain-Yield Database. Agron. J. 2006, 98, 622–636. [Google Scholar] [CrossRef]
- Rasse, D.P.; Rumpel, C.; Dignac, M.-F. Is soil carbon mostly root carbon? Mechanisms for a specific stabilisation. Plant Soil 2005, 269, 341–356. [Google Scholar] [CrossRef]
- Loges, R.; Bunne, I.; Reinsch, T.; Malisch, C.; Kluß, C.; Herrmann, A.; Taube, F. Forage production in rotational systems generates similar yields compared to maize monocultures but improves soil carbon stocks. Eur. J. Agron. 2018, 97, 11–19. [Google Scholar] [CrossRef]
- Deng, L.; Zhu, G.-Y.; Tang, Z.-S.; Shangguan, Z.-P. Global patterns of the effects of land-use changes on soil carbon stocks. Glob. Ecol. Conserv. 2016, 5, 127–138. [Google Scholar] [CrossRef]
- Reinsch, T.; Struck, I.J.A.; Loges, R.; Kluß, C.; Taube, F. Soil carbon dynamics of no-till silage maize in ley systems. Soil Tillage Res. 2021, 209, 104957. [Google Scholar] [CrossRef]
- Angers, D.A.; Eriksen-Hamel, N.S. Full-Inversion Tillage and Organic Carbon Distribution in Soil Profiles: A Meta-Analysis. Soil Sci. Soc. Am. J. 2008, 72, 1370–1374. [Google Scholar] [CrossRef]
- Paul, E.A.; Elliott, E.T.; Paustian, K.; Cote, C.V. (Eds.) Soil Organic Matter in Temperate Agroecosystems: Long-Term Experiments in North America, 1st ed.; CRC Press: Boca Raton, FL, USA, 1996. [Google Scholar]
- Baker, J.M.; Ochsner, T.; Venterea, R.T.; Griffis, T.J. Tillage and soil carbon sequestration—What do we really know? Agric. Ecosyst. Environ. 2007, 118, 1–5. [Google Scholar] [CrossRef]
- Don, A.; Scholten, T.; Schulze, E.-D. Conversion of cropland into grassland: Implications for soil organic-carbon stocks in two soils with different texture. J. Plant Nutr. Soil Sci. 2009, 172, 53–62. [Google Scholar] [CrossRef]
- Zink, A.; Fleige, H.; Horn, R. Load Risks of Subsoil Compaction and Depths of Stress Propagation in Arable Luvisols. Soil Sci. Soc. Am. J. 2010, 74, 1733–1742. [Google Scholar] [CrossRef]
- Schmeer, M.; Loges, R.; Dittert, K.; Senbayram, M.; Horn, R.; Taube, F. Legume-based forage production systems reduce nitrous oxide emissions. Soil Tillage Res. 2014, 143, 17–25. [Google Scholar] [CrossRef]
- Struck, I.J.; Reinsch, T.; Herrmann, A.; Kluß, C.; Loges, R.; Taube, F. Yield potential and nitrogen dynamics of no-till silage maize (Zea mays L.) under maritime climate conditions. Eur. J. Agron. 2019, 107, 30–42. [Google Scholar] [CrossRef]
- Hartmann, P.; Zink, A.; Fleige, H.; Horn, R. Effect of compaction, tillage and climate change on soil water balance of Arable Luvisols in Northwest Germany. Soil Tillage Res. 2012, 124, 211–218. [Google Scholar] [CrossRef]
- Struck, I. No-Tillage Silage Maize (Zea mays L.) in Ley-Arable Systems–Crop Performance and Environmental Effects under Maritime Climates. Ph.D. Thesis, Christian-Albrechts University of Kiel, Kiel, Germany, 2018. [Google Scholar]
- Steingrobe, B.; Schmid, H.; Claassen, N. The use of the ingrowth core method for measuring root production of arable crops–Influence of soil and root disturbance during installation of the bags on root ingrowth into the cores. Eur. J. Agron. 2001, 15, 143–151. [Google Scholar] [CrossRef]
- Smucker, A.J.M.; McBurney, S.L.; Srivastava, A.K. Quantitative Separation of Roots from Compacted Soil Profiles by the Hydropneumatic Elutriation System. Agron. J. 1982, 74, 500–503. [Google Scholar] [CrossRef]
- Bolinder, M.; Janzen, H.; Gregorich, E.; Angers, D.; VandenBygaart, A. An approach for estimating net primary productivity and annual carbon inputs to soil for common agricultural crops in Canada. Agric. Ecosyst. Environ. 2007, 118, 29–42. [Google Scholar] [CrossRef]
- De Los Rios, J.; Poyda, A.; Reinsch, T.; Kluß, C.; Taube, F.; Loges, R. Integrating Crop-Livestock System Practices in Forage and Grain-Based Rotations in Northern Germany: Potentials for Soil Carbon Sequestration. Agronomy 2022, 12, 338. [Google Scholar] [CrossRef]
- Pausch, J.; Kuzyakov, Y. Carbon input by roots into the soil: Quantification of rhizodeposition from root to ecosystem scale. Glob. Chang. Biol. 2017, 24, 1–12. [Google Scholar] [CrossRef]
- Bates, D.M.; Watts, D.G. Nonlinear Regression Analysis and Its Applications; John Wiley & Sons, Inc.: Hoboken, NJ, USA, 1988; ISBN 9780470316757. [Google Scholar]
- R Core Team. R: A Language and Environment for Statistical Computing; R Foundation for Statistical Computing: Vienna, Austria, 2020. [Google Scholar]
- Hothorn, T.; Bretz, F.; Westfall, P. Simultaneous Inference in General Parametric Models. Biom. J. 2008, 50, 346–363. [Google Scholar] [CrossRef]
- Johnson, J.M.F.; Novak, J.; Varvel, G.E.; Stott, D.E.; Osborne, S.L.; Karlen, D.L.; Lamb, J.A.; Baker, J.; Adler, P.R. Crop Residue Mass Needed to Maintain Soil Organic Carbon Levels: Can It Be Determined? BioEnergy Res. 2014, 7, 481–490. [Google Scholar] [CrossRef]
- Stewart, C.E.; Paustian, K.; Conant, R.; Plante, A.; Six, J. Soil carbon saturation: Concept, evidence and evaluation. Biogeochemistry 2007, 86, 19–31. [Google Scholar] [CrossRef]
- Linsler, D.; Geisseler, D.; Loges, R.; Taube, F.; Ludwig, B. Temporal dynamics of soil organic matter composition and aggregate distribution in permanent grassland after a single tillage event in a temperate climate. Soil Tillage Res. 2013, 126, 90–99. [Google Scholar] [CrossRef]
- Gaweł, E.; Grzelak, M. The Influences of Different Methods of Grassland Renovation on the Weight of Post-Harvest Residues and the Abundance of Selected Soil Nutrients. Agronomy 2020, 10, 1590. [Google Scholar] [CrossRef]
- Reinsch, T.; Loges, R.; Kluß, C.; Taube, F. Effect of grassland ploughing and reseeding on CO2 emissions and soil carbon stocks. Agric. Ecosyst. Environ. 2018, 265, 374–383. [Google Scholar] [CrossRef]
- Jarvis, N.; Forkman, J.; Koestel, J.; Kätterer, T.; Larsbo, M.; Taylor, A. Long-term effects of grass-clover leys on the structure of a silt loam soil in a cold climate. Agric. Ecosyst. Environ. 2017, 247, 319–328. [Google Scholar] [CrossRef]
- Syswerda, S.; Corbin, A.; Mokma, D.; Kravchenko, A.; Robertson, G. Agricultural Management and Soil Carbon Storage in Surface vs. Deep Layers. Soil Sci. Soc. Am. J. 2011, 75, 92–101. [Google Scholar] [CrossRef]
- Haynes, R. Labile organic matter as an indicator of organic matter quality in arable and pastoral soils in New Zealand. Soil Biol. Biochem. 2000, 32, 211–219. [Google Scholar] [CrossRef]
- Mordhorst, A.; Fleige, H.; Zimmermann, I.; Burbaum, B.; Filipinski, M.; Cordsen, E.; Horn, R. Organische Kohlenstoffvorräte von Bodentypen in den Hauptnaturräumen Schleswig-Holsteins (Norddeutschland). Die Bodenkultur. J. Land Manag. Food Environ. 2018, 69, 85–95. [Google Scholar] [CrossRef]
- Poeplau, C.; Don, A. Sensitivity of soil organic carbon stocks and fractions to different land-use changes across Europe. Geoderma 2013, 192, 189–201. [Google Scholar] [CrossRef]
- Lorenz, K.; Lal, R. The depth distribution of soil organic carbon in relation to land use and management and the potential of carbon sequestration in subsoil horizons. In Advances in Agronomy; Sparks, D.L., Ed.; Elsevier: Amsterdam, Netherlands, 2005; Volume 88, pp. 35–66. [Google Scholar]
- Börjesson, G.; Bolinder, M.A.; Kirchmann, H.; Kätterer, T. Organic carbon stocks in topsoil and subsoil in long-term ley and cereal monoculture rotations. Biol. Fertil. Soils 2018, 54, 549–558. [Google Scholar] [CrossRef]
- Jobbagy, E.G.; Jackson, R.B. The Vertical Distribution of Soil Organic Carbon and Its Relation to Climate and Vegetation. Ecol. Appl. 2000, 10, 423–436. [Google Scholar] [CrossRef]
- Follett, R. Soil management concepts and carbon sequestration in cropland soils. Soil Tillage Res. 2001, 61, 77–92. [Google Scholar] [CrossRef]
- Poyda, A.; Wizemann, H.-D.; Ingwersen, J.; Eshonkulov, R.; Högy, P.; Demyan, M.S.; Kremer, P.; Wulfmeyer, V.; Streck, T. Carbon fluxes and budgets of intensive crop rotations in two regional climates of southwest Germany. Agric. Ecosyst. Environ. 2019, 276, 31–46. [Google Scholar] [CrossRef]
- Frank, A.; Liebig, M.; Tanaka, D. Management effects on soil CO2 efflux in northern semiarid grassland and cropland. Soil Tillage Res. 2006, 89, 78–85. [Google Scholar] [CrossRef]
- Conceição, P.C.; Dieckow, J.; Bayer, C. Combined role of no-tillage and cropping systems in soil carbon stocks and stabilization. Soil Tillage Res. 2013, 129, 40–47. [Google Scholar] [CrossRef]
- Johnston, A.E.; Poulton, P.R.; Coleman, K. Chapter 1 soil organic matter: Its importance in sustainable agriculture and carbon dioxide fluxes. Adv Agron. 2009, 101, 1–57. [Google Scholar] [CrossRef]




| Layer (cm) | Texture (%) | pH | Soil Type | Horizon | ||
|---|---|---|---|---|---|---|
| Sand | Silt | Clay | in CaCl2 | |||
| 0–28 | 54 | 30 | 16 | 6.2 | Highly loamy sand | Ap |
| 28–45 | 50 | 31 | 19 | 6.5 | Medium sandy loam | Btg1 |
| 45–70 | 49 | 33 | 18 | 6.5 | Medium sandy loam | Btg2 |
| >70 | 55 | 31 | 14 | - | Highly loamy sand | Bg |
Publisher’s Note: MDPI stays neutral with regard to jurisdictional claims in published maps and institutional affiliations. |
© 2022 by the authors. Licensee MDPI, Basel, Switzerland. This article is an open access article distributed under the terms and conditions of the Creative Commons Attribution (CC BY) license (https://creativecommons.org/licenses/by/4.0/).
Share and Cite
De Los Rios, J.; Poyda, A.; Taube, F.; Kluß, C.; Loges, R.; Reinsch, T. No-Till Mitigates SOC Losses after Grassland Renovation and Conversion to Silage Maize. Agriculture 2022, 12, 1204. https://doi.org/10.3390/agriculture12081204
De Los Rios J, Poyda A, Taube F, Kluß C, Loges R, Reinsch T. No-Till Mitigates SOC Losses after Grassland Renovation and Conversion to Silage Maize. Agriculture. 2022; 12(8):1204. https://doi.org/10.3390/agriculture12081204
Chicago/Turabian StyleDe Los Rios, Josue, Arne Poyda, Friedhelm Taube, Christof Kluß, Ralf Loges, and Thorsten Reinsch. 2022. "No-Till Mitigates SOC Losses after Grassland Renovation and Conversion to Silage Maize" Agriculture 12, no. 8: 1204. https://doi.org/10.3390/agriculture12081204
APA StyleDe Los Rios, J., Poyda, A., Taube, F., Kluß, C., Loges, R., & Reinsch, T. (2022). No-Till Mitigates SOC Losses after Grassland Renovation and Conversion to Silage Maize. Agriculture, 12(8), 1204. https://doi.org/10.3390/agriculture12081204

