Effects of Grazing Sheep and Mowing on Grassland Vegetation Community and Soil Microbial Activity under Different Levels of Nitrogen Deposition
Abstract
1. Introduction
2. Materials and Methods
2.1. Site Description and Experimental Design
2.2. Plant
2.3. Soil Properties and Microorganisms
2.4. Statistical Analyses
3. Results
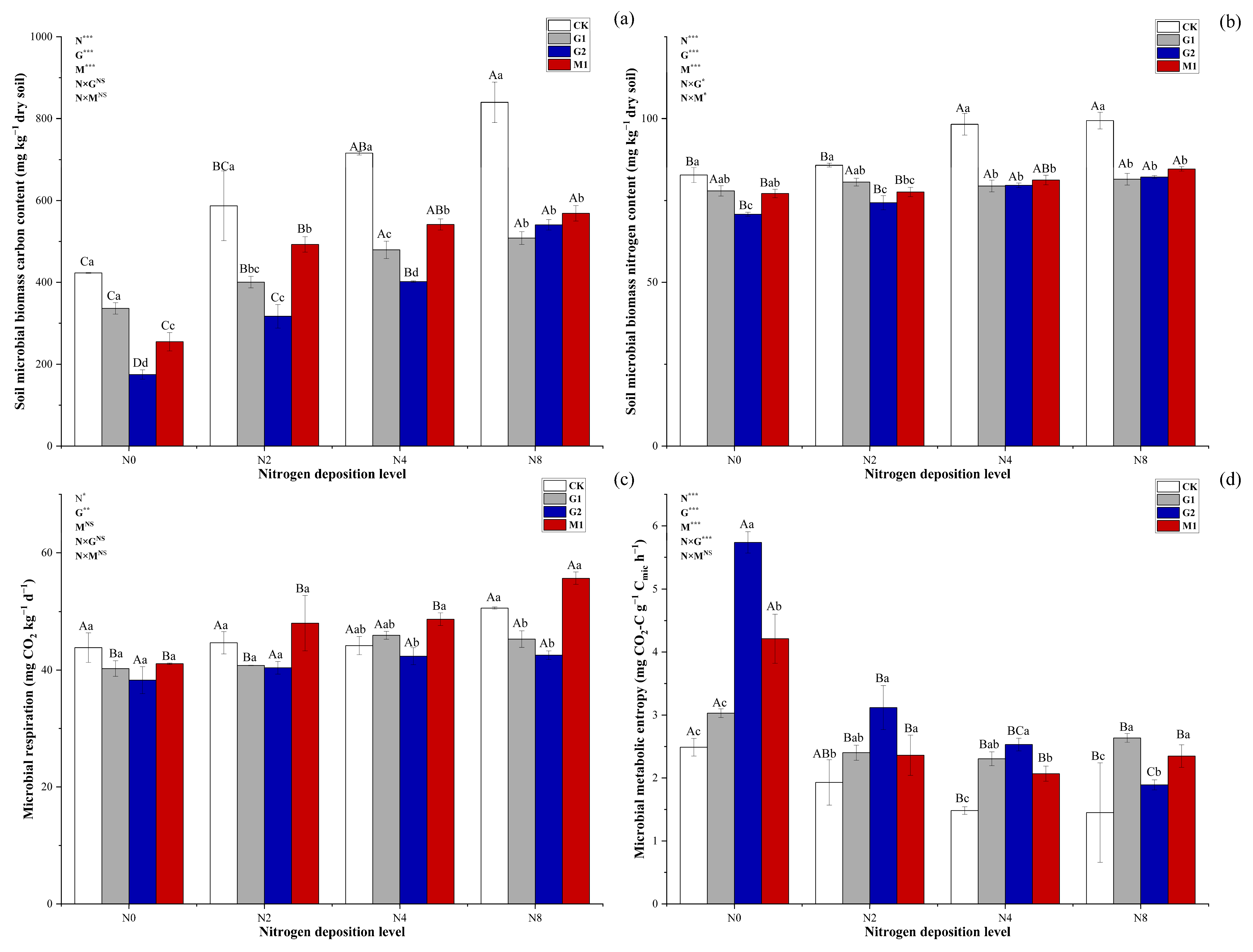
3.1. Responses of Soil and Microbes to Grazing Sheep and Mowing under Nitrogen Deposition Conditions
3.2. Responses of Plants to Grazing Sheep and Mowing under Nitrogen Deposition Conditions
3.3. Responses of the Soil-Plant-Microbe System to Grazing Sheep and Mowing under Nitrogen Deposition Conditions
4. Discussion
5. Conclusions
Author Contributions
Funding
Institutional Review Board Statement
Data Availability Statement
Conflicts of Interest
References
- Bobbink, R.; Hicks, K.; Galloway, J.; Spranger, T.; Alkemade, R.; Ashmore, M.; Bustamante, M.; Cinderby, S.; Davidson, E.; Dentener, F. Global Assessment of Nitrogen Deposition Effects on Terrestrial Plant Diversity: A Synthesis. Ecol. Appl. 2010, 20, 30–59. [Google Scholar] [CrossRef] [PubMed]
- Clark, C.M.; Tilman, D. Loss of Plant Species after Chronic Low-Level Nitrogen Deposition to Prairie Grasslands. Nature 2008, 451, 712–715. [Google Scholar] [CrossRef]
- Tilman, D.; Wedin, D.; Knops, J. Productivity and Sustainability Influenced by Biodiversity in Grassland Ecosystems. Nature 1996, 379, 718–720. [Google Scholar] [CrossRef]
- Burke, I.C.; Lauenroth, W.K.; Parton, W.J. Regional and Temporal Variation in Net Primary Production and Nitrogen Mineralization in Grasslands. Ecology 1997, 78, 1330–1340. [Google Scholar] [CrossRef]
- Breemen, N.V. Natural Organic Tendency. Nature 2002, 415, 381–382. [Google Scholar] [CrossRef]
- LeBauer, D.S.; Treseder, K.K. Nitrogen Limitation of Net Primary Productivity in Terrestrial Ecosystems Is Globally Distributed. Ecology 2008, 89, 371–379. [Google Scholar] [CrossRef]
- Aber, J.; McDowell, W.; Nadelhoffer, K.; Magill, A.; Berntson, G.; Kamakea, M.; McNulty, S.; Currie, W.; Rustad, L.; Fernandez, I. Nitrogen Saturation in Temperate Forest Ecosystems. BioScience 1998, 48, 921–934. [Google Scholar] [CrossRef]
- Phoenix, G.K.; Emmett, B.A.; Britton, A.J.; Caporn, S.J.M.; Dise, N.B.; Helliwell, R.; Jones, L.; Leake, J.R.; Leith, I.D.; Sheppard, L.J.; et al. Impacts of Atmospheric Nitrogen Deposition: Responses of Multiple Plant and Soil Parameters across Contrasting Ecosystems in Long-Term Field Experiments. Glob. Chang. Biol. 2012, 18, 1197–1215. [Google Scholar] [CrossRef]
- Li, L.; Yu, Z.; Zeng, D.; Ai, G.; Li, J. Effects of Fertilizations on Species Composition and Diversity of Grassland in Keerqin Sandy Lands. Acta Pratacult. Sin. 2010, 19, 109–115. [Google Scholar] [CrossRef]
- Chen, W.Y.; Zhao, M.; Li, G.Y.; Wei, Q.; Wang, F.; Liu, Z.H.; Zhu, L.; Zhang, J.Q.; Sun, F.D. The Influence of Different Types of Fertilizer Application Level on the Gannan Desertification of Alpine Meadow of Plant Characteristics and the Productive Forces. J. Nat. Resour. 2012, 39, 1899–1901. [Google Scholar] [CrossRef]
- Cleland, E.E.; Harpole, W.S. Nitrogen Enrichment and Plant Communities. Ann. N. Y. Acad. Sci. 2010, 1195, 46–61. [Google Scholar] [CrossRef] [PubMed]
- Boyer, K.E.; Zedler, J.B. Nitrogen Addition Could Shift Plant Community Composition in a Restored California Salt Marsh. Restor. Ecol. 2010, 7, 74–85. [Google Scholar] [CrossRef]
- Li, W.; Tian, F.P.; Ren, Z.W.; Huang, H.Z.; Zhang, Z.N. Effects of Grazing and Fertilization on the Relationship between Species Abundance and Functional Traits in an Alpine Meadow Community on the Tibetan Plateau. Nord. J. Bot. 2013, 31, 247–255. [Google Scholar] [CrossRef]
- Ren, Z.; Qi, L.; Chu, C.; Zhao, L.; Zhang, J.; Ai, D.; Yang, Y. Effects of Resource Additions on Species Richness and ANPP in an Alpine Meadow Community. J. Plant Ecol. 2010, 3, 25–31. [Google Scholar] [CrossRef]
- Zavaleta, E.S.; Shaw, M.R.; Chiariello, N.R.; Mooney, H.A.; Field, C.B. Additive Effects of Simulated Climate Changes, Elevated CO2, and Nitrogen Deposition on Grassland Diversity. Proc. Natl. Acad. Sci. USA 2003, 100, 7650–7654. [Google Scholar] [CrossRef] [PubMed]
- Lehman, C.L.; Tilman, D. Biodiversity, Stability, and Productivity in Competitive Communities. Am. Nat. 2000, 156, 534–552. [Google Scholar] [CrossRef] [PubMed]
- Tilman, D.; Reich, P.B.; Knops, J.M.H. Biodiversity and Ecosystem Stability in a Decade-Long Grassland Experiment. Nature 2006, 441, 629–632. [Google Scholar] [CrossRef] [PubMed]
- Treseder, K.K. Nitrogen Additions and Microbial Biomass: A Meta-Analysis of Ecosystem Studies. Ecol. Lett. 2008, 11, 1111–1120. [Google Scholar] [CrossRef] [PubMed]
- Ramirez, K.S.; Craine, J.M.; Fierer, N. Consistent Effects of Nitrogen Amendments on Soil Microbial Communities and Processes across Biomes. Glob. Chang. Biol. 2012, 18, 1918–1927. [Google Scholar] [CrossRef]
- Liu, W.; Jiang, L.; Hu, S.; Li, L.; Liu, L.; Wan, S. Decoupling of Soil Microbes and Plants with Increasing Anthropogenic Nitrogen Inputs in a Temperate Steppe. Soil Biol. Biochem. 2014, 72, 116–122. [Google Scholar] [CrossRef]
- Wei, C.; Yu, Q.; Bai, E.; Lü, X.; Li, Q.; Xia, J.; Kardol, P.; Liang, W.; Wang, Z.; Han, X. Nitrogen Deposition Weakens Plant-Microbe Interactions in Grassland Ecosystems. Glob. Chang. Biol. 2013, 19, 3688–3697. [Google Scholar] [CrossRef] [PubMed]
- Schimel, J. The Implications of Exoenzyme Activity on Microbial Carbon and Nitrogen Limitation in Soil: A Theoretical Model. Soil Biol. Biochem. 2003, 35, 549–563. [Google Scholar] [CrossRef]
- Kemmitt, S.; Wright, D.; Goulding, K.; Jones, D. PH Regulation of Carbon and Nitrogen Dynamics in Two Agricultural Soils. Soil Biol. Biochem. 2006, 38, 898–911. [Google Scholar] [CrossRef]
- Wang, A.S.; Angle, J.S.; Chaney, R.L.; Delorme, T.A.; McIntosh, M. Changes in Soil Biological Activities under Reduced Soil PH during Thlaspi Caerulescens Phytoextraction. Soil Biol. Biochem. 2006, 38, 1451–1461. [Google Scholar] [CrossRef]
- Liu, N.; Kan, H.M.; Yang, G.W.; Zhang, Y.J. Changes in Plant, Soil, and Microbes in a Typical Steppe from Simulated Grazing: Explaining Potential Change in Soil C. Ecol. Monogr. 2015, 85, 269–286. [Google Scholar] [CrossRef]
- Todd, S.W. Gradients in Vegetation Cover, Structure and Species Richness of Nama-Karoo Shrublands in Relation to Distance from Livestock Watering Points: Grazing Gradients in Nama-Karoo Shrublands. J. Appl. Ecol. 2006, 43, 293–304. [Google Scholar] [CrossRef]
- Greene, R.; Kinnell, P.; Wood, J. Role of Plant Cover and Stock Trampling on Runoff and Soil-Erosion from Semi-Arid Wooded Rangelands. Soil Res. 1994, 32, 953–973. [Google Scholar] [CrossRef]
- Proffitt, A.; Jarvis, R.; Bendotti, S. The Impact of Sheep Trampling and Stocking Rate on the Physical Properties of a Red Duplex Soil with Two Initially Different Structures. Aust. J. Agric. Res. 1995, 46, 413–418. [Google Scholar] [CrossRef]
- Castillo, V.M.; Martinez-Mena, M.; Albaladejo, J. Runoff and Soil Loss Response to Vegetation Removal in a Semiarid Environment. Soil Sci. Soc. Am. J. 1997, 61, 1116–1121. [Google Scholar] [CrossRef]
- Greenwood, K.L.; MacLeod, D.A.; Hutchinson, K.J. Long-Term Stocking Rate Effects on Soil Physical Properties. Aust. J. Exp. Agric. 1997, 37, 413–419. [Google Scholar] [CrossRef]
- Grime, J.P.; Mackey, J.M.L.; Hillier, S.H.; Read, D.J. Floristic Diversity in a Model System Using Experimental Microcosms. Nature 1987, 328, 420–422. [Google Scholar] [CrossRef]
- Hansson, M.; Fogelfors, H. Management of a Semi-Natural Grassland; Results from a 15-Year-Old Experiment in Southern Sweden. J. Veg. Sci. 2000, 11, 31–38. [Google Scholar] [CrossRef]
- Collins, S.L.; Knapp, A.K.; Briggs, J.M.; Blair, J.M.; Steinauer, E.M. Modulation of Diversity by Grazing and Mowing in Native Tallgrass Prairie. Science 1998, 280, 745–747. [Google Scholar] [CrossRef] [PubMed]
- Maron, J.L.; Jefferies, R.L. Restoring Enriched Grasslands: Effects of Mowing on Species Richness, Productivity, and Nitrogen Retention. Ecol. Appl. 2001, 11, 1088–1100. [Google Scholar] [CrossRef]
- Antonsen, H.; Olsson, P.A. Relative Importance of Burning, Mowing and Species Translocation in the Restoration of a Former Boreal Hayfield: Responses of Plant Diversity and the Microbial Community: Restoration of a Former Boreal Hayfield. J. Appl. Ecol. 2005, 42, 337–347. [Google Scholar] [CrossRef]
- Uhlířová, E.; Šimek, M.; Šantrůčková, H. Microbial Transformation of Organic Matter in Soils of Montane Grasslands under Different Management. Appl. Soil Ecol. 2005, 28, 225–235. [Google Scholar] [CrossRef]
- Han, Y.; Zhang, Z.; Wang, C.; Jiang, F.; Xia, J. Effects of Mowing and Nitrogen Addition on Soil Respiration in Three Patches in an Oldfield Grassland in Inner Mongolia. J. Plant Ecol. 2012, 5, 219–228. [Google Scholar] [CrossRef]
- Bardgett, R.D.; Leemans, D.K. The Short-Term Effects of Cessation of Fertiliser Applications, Liming, and Grazing on Microbial Biomass and Activity in a Reseeded Upland Grassland Soil. Biol. Fertil. Soils 1995, 19, 148–154. [Google Scholar] [CrossRef]
- Holt, J.A. Grazing Pressure and Soil Carbon, Microbial Biomass and Enzyme Activities in Semi-Arid Northeastern Australia. Appl. Soil Ecol. 1997, 5, 143–149. [Google Scholar] [CrossRef]
- Galloway, J.N.; Townsend, A.R.; Erisman, J.W.; Bekunda, M.; Cai, Z.; Freney, J.R.; Martinelli, L.A.; Seitzinger, S.P.; Sutton, M.A. Transformation of the Nitrogen Cycle: Recent Trends, Questions, and Potential Solutions. Science 2008, 320, 889–892. [Google Scholar] [CrossRef] [PubMed]
- Jefferies, R.L.; Maron, J.L. The Embarrassment of Riches: Atmospheric Deposition of Nitrogen and Community and Ecosystem Processes. Trends Ecol. Evol. 1997, 12, 74–78. [Google Scholar] [CrossRef]
- Asner, G.P.; Townsend, A.R.; Riley, W.J.; Matson, P.A.; Neff, J.C.; Cleveland, C.C. Physical and Biogeochemical Controls over Terrestrial Ecosystem Responses to Nitrogen Deposition. Biogeochemistry 2001, 54, 1–39. [Google Scholar] [CrossRef]
- Strengbom, J.; Nordin, A.; Nasholm, T.; Ericson, L. Parasitic Fungus Mediates Change in Nitrogen-Exposed Boreal Forest Vegetation. J. Ecol. 2002, 90, 61–67. [Google Scholar] [CrossRef]
- Wang, X.; Zhang, Y.; Huang, D.; Li, Z.; Zhang, X. Methane Uptake and Emissions in a Typical Steppe Grazing System during the Grazing Season. Atmos. Environ. 2015, 105, 14–21. [Google Scholar] [CrossRef]
- Zhai, X.; Huang, D.; Tang, S.; Li, S.; Guo, J.; Yang, Y.; Liu, H.; Li, J.; Wang, K. The Emergy of Metabolism in Different Ecosystems under the Same Environmental Conditions in the Agro-Pastoral Ecotone of Northern China. Ecol. Indic. 2017, 74, 198–204. [Google Scholar] [CrossRef]
- Lü, C.; Tian, H. Spatial and Temporal Patterns of Nitrogen Deposition in China: Synthesis of Observational Data—Art. No. D22S05. J. Geophys. Res. 2007, 112, D22S05. [Google Scholar] [CrossRef]
- Chen, W.; Zheng, X.; Chen, Q.; Wolf, B.; Butterbach-Bahl, K.; Brüggemann, N.; Lin, S. Effects of Increasing Precipitation and Nitrogen Deposition on CH4 and N2O Fluxes and Ecosystem Respiration in a Degraded Steppe in Inner Mongolia, China. Geoderma. 2013, 192, 335–340. [Google Scholar] [CrossRef]
- Cai, Y.; Du, Z.; Yan, Y.; Wang, X.; Liu, X. Greater Stimulation of Greenhouse Gas Emissions by Stored Yak Urine than Urea in an Alpine Steppe Soil from the Qinghai-Tibetan Plateau: A Laboratory Study. Grassl. Sci. 2017, 63, 196–207. [Google Scholar] [CrossRef]
- Takhtadzhi︠a︡n, A.L.; Takhtajan, L.A.; Columbia University; Takhtajan, P.A. Diversity and Classification of Flowering Plants; Columbia University Press: New York, NY, USA, 1997; ISBN 978-0-231-10098-4. [Google Scholar]
- Shannon, C.E. A Mathematical Theory of Communication. ACM SIGMOBILE Mob. Comput. Commun. Rev. 2001, 5, 3–55. [Google Scholar] [CrossRef]
- Chao, A.; Chazdon, R.L.; Colwell, R.K.; Shen, T.-J. A New Statistical Approach for Assessing Similarity of Species Composition with Incidence and Abundance Data: A New Statistical Approach for Assessing Similarity. Ecol. Lett. 2004, 8, 148–159. [Google Scholar] [CrossRef]
- Svetnik, V.; Liaw, A.; Tong, C.; Culberson, J.C.; Sheridan, R.P.; Feuston, B.P. Random Forest: A Classification and Regression Tool for Compound Classification and QSAR Modeling. J. Chem. Inf. Comput. Sci. 2003, 43, 1947–1958. [Google Scholar] [CrossRef] [PubMed]
- Vance, E.D.; Brookes, P.C.; Jenkinson, D.S. An Extraction Method for Measuring Soil Microbial Biomass C. Soil Biol. Biochem. 1987, 19, 703–707. [Google Scholar] [CrossRef]
- Joergensen, R.G.; Brookes, P.C. Ninhydrin-Reactive Nitrogen Measurements of Microbial Biomass in 0.5 m K2SO4 Soil Extracts. Soil Biol. Biochem. 1990, 22, 1023–1027. [Google Scholar] [CrossRef]
- Hu, S.; Bruggen, A.H.C.V. Microbial Dynamics Associated with Multiphasic Decomposition of 14C-Labeled Cellulose in Soil. Microb. Ecol. 1997, 33, 134–143. [Google Scholar] [CrossRef] [PubMed]
- Wardle, D.A.; Ghani, A. A Critique of the Microbial Metabolic Quotient (QCO2) as a Bioindicator of Disturbance and Ecosystem Development. Soil Biol. Biochem. 1995, 27, 1601–1610. [Google Scholar] [CrossRef]
- Liu, X.; Zhang, Y.; Han, W.; Tang, A.; Shen, J.; Cui, Z.; Vitousek, P.; Erisman, J.W.; Goulding, K.; Christie, P.; et al. Enhanced Nitrogen Deposition over China. Nature 2013, 494, 459–462. [Google Scholar] [CrossRef] [PubMed]
- Lü, C.Q.; Tian, H.Q.; Yao, H. Ecological Effects of Increased Nitrogen Deposition in Terrestrial Ecosystems. J. Plant Ecol. 2007, 31, 205–218. [Google Scholar] [CrossRef][Green Version]
- Throop, H.L.; Holland, E.A.; Parton, W.J.; Ojima, D.S.; Keough, C.A. Effects of Nitrogen Deposition and Insect Herbivory on Patterns of Ecosystem-level Carbon and Nitrogen Dynamics: Results from the CENTURY Model. Glob. Chang. Biol. 2004, 10, 1092–1105. [Google Scholar] [CrossRef]
- Zong, N.; Shi, P.L.; Song, M.H.; Lin, L.; Wei-Linga, M.A.; Jiang, J.; Ganga, F.U.; Yong-Taoa, H.E.; Zhang, X.Z. Clipping Alters the Response of Biomass Allocation Pattern under Nitrogen Addition in an Alpine Meadow on the Tibetan Plateau. J. Nat. Resour. 2012, 27, 1696–1707. [Google Scholar] [CrossRef]
- Yu, L.I.; Zhu, T.; Redmann, R. A Study on Soil Nitrogen Mineralization, Nitrification and Mineral Nitrogen Consumption Rates of Soil in Leymus Chinensis Grasslands. Sci. Agric. Sin. 2002, 35, 571–581. [Google Scholar] [CrossRef]
- Tafazoli, M.; Jalilvand, H.; Hojjati, S.M.; Lamersdorf, N. The Effect of Simulated Nitrogen Deposition on Soil Chemical Properties in Maple Plantation Stand. Environ. Sci. 2017, 15, 39–54. [Google Scholar]
- Frank, A.B.; Tanaka, D.L.; Follett, L.; Hofmannr, F. Soil Carbon and Nitrogen of Northern Great Plains Grasslands as Influenced by Long-Term Grazing. J. Range Manag. 1995, 48, 470–474. [Google Scholar] [CrossRef]
- Bauer, A.; Cole, C.V.; Black, A.L. Soil Property Comparisons in Virgin Grasslands between Grazed and Nongrazed Management Systems. Soil Sci. Soc. Am. J. 1987, 51, 176–182. [Google Scholar] [CrossRef]
- Lee, J.A.; Caporn, S.J.M. Ecological Effects of Atmospheric Reactive Nitrogen Deposition on Semi-Natural Terrestrial Ecosystems. New Phytol. 1998, 139, 127–134. [Google Scholar] [CrossRef]
- Sarathchandra, S.U.; Ghani, A.; Yeates, G.W.; Burch, G.; Cox, N.R. Effect of Nitrogen and Phosphate Fertilisers on Microbial and Nematode Diversity in Pasture Soils. Soil Biol. Biochem. 2001, 33, 953–964. [Google Scholar] [CrossRef]
- Schmidt, S.K.; Lipson, D.A.; Ley, R.E.; Fisk, M.C.; West, A.E. Impacts of Chronic Nitrogen Additions Vary Seasonally and by Microbial Functional Group in Tundra Soils. Biogeochemistry 2004, 69, 1–17. [Google Scholar] [CrossRef]
- Williams, B.L.; Grayston, S.J.; Reid, E.J. Influence of Synthetic Sheep Urine on the Microbial Biomass, Activity and Community Structure in Two Pastures in the Scottish Uplands. Plant Soil 2000, 225, 175–185. [Google Scholar] [CrossRef]
- Zhang, N.; Wan, S.; Li, L.; Jie, B.; Zhao, M.; Ma, K. Impacts of Urea N Addition on Soil Microbial Community in a Semi-Arid Temperate Steppe in Northern China. Plant Soil 2008, 311, 19–28. [Google Scholar] [CrossRef]
- Jiang, Y.; Zhang, Y.; Yang, Y.; Xu, J.; Li, Y. Impacts of Grazing on the System Coupling between Vegetation and Soil in the Alpine and Subalpine Meadows of Wutai Mountain. Acta Ecol. Sin. 2010, 16, 226–236. [Google Scholar] [CrossRef]
- Huang, Y.; Fan, H.; Yanyan, L.I.; Gao, C. Effects of Nitrogen Deposition on Tree Growth and Understory Carbon Pools in Chinese Fir Plantation. Ecol. Environ. Sci. 2009, 70, 1199–1203. [Google Scholar] [CrossRef][Green Version]
- Wang, J.; Wang, G.; Fu, Y.; Chen, X.; Song, X. Short-Term Effects of Nitrogen Deposition on Soil Respiration Components in Two Alpine Coniferous Forests, Southeastern Tibetan Plateau. J. For. Res. 2019, 30, 1029–1041. [Google Scholar] [CrossRef]
- Tu, L.H.; Hu, T.X.; Zhang, J.; Li, R.H.; Dai, H.Z.; Luo, S.H. Short-Term Simulated Nitrogen Deposition Increases Carbon Sequestration in a Pleioblastus Amarus Plantation. Plant Soil 2011, 340, 383–396. [Google Scholar] [CrossRef]
- Brookes, P.C. The Use of Microbial Parameters in Monitoring Soil Pollution by Heavy Metals. Biol. Fertil. Soils 1995, 19, 269–279. [Google Scholar] [CrossRef]
- Christensen, B.T. Physical Fractionation of Soil and Organic Matter in Primary Particle Size and Density Separates. Adv. Soil Sci. 1992, 20, 1–90. [Google Scholar] [CrossRef]
- Liu, B.R.; Wang, C.H.; Zhang, L.H.; Dong, K.H. Effect of Nitrogen Addition and Mowing on Soil Nitrogen Mineralization in Abandoned Grasslands in Inner Mongolia. Acta Ecol. Sin. 2015, 35, 6335–6343. [Google Scholar] [CrossRef][Green Version]
- Plaza, C.; Hernández, D.; García-Gil, J.C.; Polo, A. Microbial Activity in Pig Slurry-Amended Soils under Semiarid Conditions. Soil Biol. Biochem. 2004, 36, 1577–1585. [Google Scholar] [CrossRef]
- Liao, J.D.; Boutton, T.W. Soil Microbial Biomass Response to Woody Plant Invasion of Grassland. Soil Biol. Biochem. 2008, 40, 1207–1216. [Google Scholar] [CrossRef]
- Dickson, T.L.; Foster, B.L. Fertilization Decreases Plant Biodiversity Even When Light Is Not Limiting. Ecol. Lett. 2015, 14, 380–388. [Google Scholar] [CrossRef]
- Klink, R.V.; Schrama, M.; Nolte, S.; Bakker, J.P.; WallisDeVries, M.F.; Berg, M.P. Defoliation and Soil Compaction Jointly Drive Large-Herbivore Grazing Effects on Plants and Soil Arthropods on Clay Soil. Ecosystems 2015, 18, 671–685. [Google Scholar] [CrossRef]
- DÍAz, S.; Lavorel, S.; Mcintyre, S.; Falczuk, V.; Casanoves, F.; Milchunas, D.G.; Skarpe, C.; Rusch, G.; Sternberg, M.; Noy-Meir, I. Plant Trait Responses to Grazing—A Global Synthesis. Glob. Chang. Biol. 2007, 13, 313–341. [Google Scholar] [CrossRef]
- Suding, K.N.; Collins, S.L.; Gough, L.; Clark, C.; Cleland, E.E.; Gross, K.L.; Milchunas, D.G.; Pennings, S. Functional- and Abundance-Based Mechanisms Explain Diversity Loss Due to N Fertilization. Proc. Natl. Acad. Sci. USA 2005, 102, 4387–4392. [Google Scholar] [CrossRef] [PubMed]
- Fisk, M.C.; Schmidt, S.K. Microbial Responses to Nitrogen Additions in Alpine Tundra Soil. Soil Biol. Biochem. 1996, 28, 751–755. [Google Scholar] [CrossRef]
- Zhang, C.H. Effects of Grazing and Fertilization on Community Productivity and Species Richness in Eastern Alpine Meadow of Tibetan Plateau. Pratacult. Sci. 2014, 31, 2293–2300. [Google Scholar] [CrossRef]
- Cutler, D.R.; Edwards, T.C., Jr.; Beard, K.H.; Cutler, A.; Hess, K.T.; Gibson, J.; Lawler, J.J. Random Forests for Classification in Ecology. Ecology 2007, 88, 2783–2792. [Google Scholar] [CrossRef] [PubMed]
- Sinsabaugh, R.L.; Zak, D.R.; Gallo, M.; Lauber, C.; Amonette, R. Nitrogen Deposition and Dissolved Organic Carbon Production in Northern Temperate Forests. Soil Biol. Biochem. 2004, 36, 1509–1515. [Google Scholar] [CrossRef]
- Liu, L.; Greaver, T.L. A Global Perspective on Belowground Carbon Dynamics under Nitrogen Enrichment. Ecol. Lett. 2010, 13, 819–828. [Google Scholar] [CrossRef]







| Soil Properties | Treatment | Nitrogen Deposition (g N m−2 yr−1) | ANOVA | |||||
|---|---|---|---|---|---|---|---|---|
| 0 | 2.706 | 5.412 | 10.824 | N | T | N * T | ||
| pH | CK | 7.76 ± 0.02 aC | 7.80 ± 0.02 aC | 7.74 ± 0.03 aB | 7.59 ± 0.02 bB | *** | *** | NS |
| G1 | 7.84 ± 0.04 aBC | 7.82 ± 0.04 aBC | 7.76 ± 0.11 aAB | 7.74 ± 0.06 aA | ||||
| G2 | 8.00 ± 0.01 aA | 8.00 ± 0.03 aA | 7.78 ± 0.07 bAB | 7.76 ± 0.02 bA | ||||
| M1 | 7.89 ± 0.07 aAB | 7.93 ± 0.04 aAB | 7.89 ± 0.02 aA | 7.85 ± 0.05 aA | * | *** | NS | |
| TN, g/kg | CK | 3.30 ± 0.00 cAB | 3.48 ± 0.03 bA | 3.73 ± 0.03 aA | 3.67 ± 0.04 aA | *** | *** | NS |
| G1 | 3.02 ± 0.09 cC | 3.17 ± 0.15 bcC | 3.36 ± 0.08 abB | 3.55 ± 0.07 aB | ||||
| G2 | 3.13 ± 0.01 cBC | 3.31 ± 0.04 bB | 3.48 ± 0.04 aB | 3.59 ± 0.05 aB | ||||
| M1 | 3.38 ± 0.04 bA | 3.42 ± 0.02 bA | 3.42 ± 0.05 bB | 3.52 ± 0.02 aB | *** | ** | ** | |
| NO3-N, g/kg | CK | 0.41 ± 0.09 cC | 0.64 ± 0.06 cC | 6.80 ± 0.13 bC | 16.77 ± 0.55 aB | *** | *** | *** |
| G1 | 0.49 ± 0.08 dC | 3.52 ± 0.23 cB | 9.60 ± 0.11 bB | 20.52 ± 0.66 aA | ||||
| G2 | 1.70 ± 0.03 cA | 4.25 ± 0.59 cA | 17.36 ± 0.04 bA | 21.82 ± 1.00 aA | ||||
| M1 | 0.77 ± 0.05 dB | 4.72 ± 0.47 cAB | 6.73 ± 0.03 bC | 17.03 ± 0.25 aB | *** | *** | *** | |
| NH4-N, g/kg | CK | 1.39 ± 0.08 dA | 1.71 ± 0.14 cA | 1.98 ± 0.05 bA | 2.53 ± 0.06 aA | *** | *** | ** |
| G1 | 1.41 ± 0.06 cA | 1.57 ± 0.06 bcA | 1.71 ± 0.10 abB | 1.89 ± 0.02 aB | ||||
| G2 | 1.04 ± 0.11 cB | 1.33 ± 0.05 bB | 1.67 ± 0.11 aB | 1.63 ± 0.02 aC | ||||
| M1 | 1.23 ± 0.50 cAB | 1.69 ± 0.04 bA | 1.87 ± 0.06 abAB | 2.00 ± 0.08 aB | *** | ** | * | |
| SOM, g/kg | CK | 42.76 ± 0.60 cA | 46.07 ± 0.13 bA | 46.62 ± 0.86 bA | 49.23 ± 0.71 aA | *** | *** | *** |
| G1 | 36.81 ± 0.18 bB | 38.22 ± 0.65 bC | 38.44 ± 0.86 bC | 44.88 ± 0.45 aC | ||||
| G2 | 32.43 ± 1.04 cC | 39.96 ± 0.93 bC | 43.14 ± 0.14 bB | 47.34 ± 0.59 aB | ||||
| M1 | 42.01 ± 0.45 aA | 42.92 ± 0.30 aB | 43.19 ± 0.24 aB | 42.12 ± 0.38 aD | *** | ** | *** | |
Publisher’s Note: MDPI stays neutral with regard to jurisdictional claims in published maps and institutional affiliations. |
© 2022 by the authors. Licensee MDPI, Basel, Switzerland. This article is an open access article distributed under the terms and conditions of the Creative Commons Attribution (CC BY) license (https://creativecommons.org/licenses/by/4.0/).
Share and Cite
Zhou, C.; Zuo, S.; Wang, X.; Ji, Y.; Lamao, Q.; Liu, L.; Huang, D. Effects of Grazing Sheep and Mowing on Grassland Vegetation Community and Soil Microbial Activity under Different Levels of Nitrogen Deposition. Agriculture 2022, 12, 1133. https://doi.org/10.3390/agriculture12081133
Zhou C, Zuo S, Wang X, Ji Y, Lamao Q, Liu L, Huang D. Effects of Grazing Sheep and Mowing on Grassland Vegetation Community and Soil Microbial Activity under Different Levels of Nitrogen Deposition. Agriculture. 2022; 12(8):1133. https://doi.org/10.3390/agriculture12081133
Chicago/Turabian StyleZhou, Chengyang, Shining Zuo, Xiaonan Wang, Yixin Ji, Qiezhuo Lamao, Li Liu, and Ding Huang. 2022. "Effects of Grazing Sheep and Mowing on Grassland Vegetation Community and Soil Microbial Activity under Different Levels of Nitrogen Deposition" Agriculture 12, no. 8: 1133. https://doi.org/10.3390/agriculture12081133
APA StyleZhou, C., Zuo, S., Wang, X., Ji, Y., Lamao, Q., Liu, L., & Huang, D. (2022). Effects of Grazing Sheep and Mowing on Grassland Vegetation Community and Soil Microbial Activity under Different Levels of Nitrogen Deposition. Agriculture, 12(8), 1133. https://doi.org/10.3390/agriculture12081133
