Effects of Vertical Smashing Rotary Tillage on Root Growth Characteristics and Yield of Broccoli
Abstract
:1. Introduction
2. Materials and Methods
2.1. Experiment Site
2.2. Experiment Design
2.3. Sampling and Measurement
2.3.1. Soil Water Content (SWC) and Soil Bulk Density (SBD)
2.3.2. Soil Penetration Resistance
2.3.3. Dry Matter Accumulation
2.3.4. Root Length
2.3.5. Broccoli Characteristics and Yield
2.4. Statistical Analysis
3. Results
3.1. Soil Water Content
3.2. Soil Penetration Resistance
3.3. Soil Bulk Density in the 0–40 cm Soil Layer
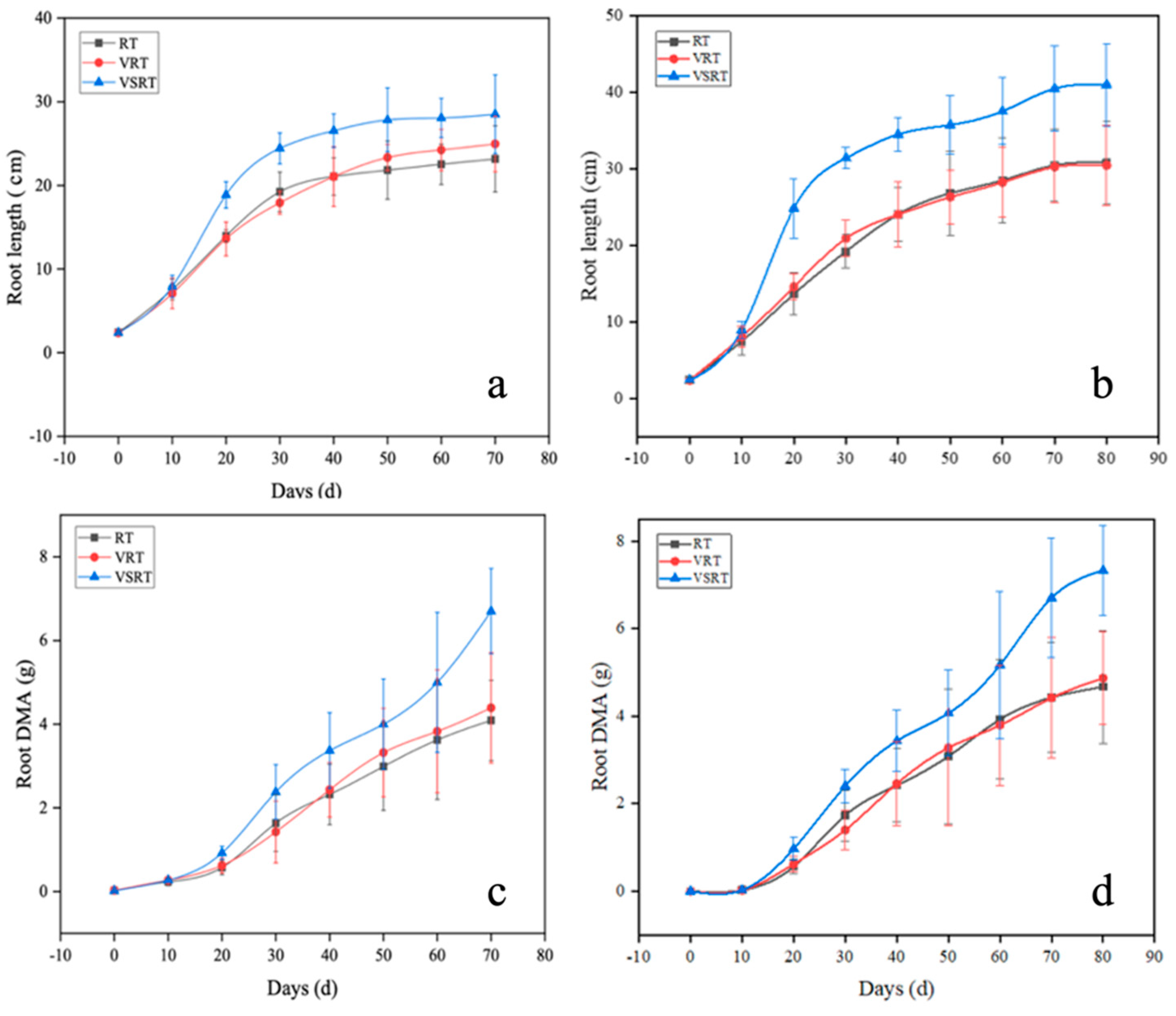
3.4. Broccoli Root Growth
3.5. Characteristics of Broccoli
3.6. DMA
3.7. Broccoli Floret Ball Yield
4. Discussion
4.1. Effect of VSRT on Soil Properties
4.2. Effect of VSRT on Broccoli Root Growth
4.3. Effect of VSRT on Broccoli Yield
5. Conclusions
Author Contributions
Funding
Institutional Review Board Statement
Data Availability Statement
Conflicts of Interest
References
- Zhang, J.; Hang, X.; Lamine, S.M.; Jiang, Y.; Afreh, D.; Qian, H.; Feng, X.; Zheng, C.; Deng, A.; Song, Z.; et al. Interactive effects of straw incorporation and tillage on crop yield and greenhouse gas emissions in double rice cropping system. Agric. Ecosyst. Environ. 2017, 250, 37–43. [Google Scholar] [CrossRef]
- Wang, J.; Pan, Z.; Pan, F.; He, D.; Pan, Y.; Han, G.; Huang, N.; Zhang, Z.; Yin, W.; Zhang, J.; et al. The regional water-conserving and yield-increasing characteristics and suitability of soil tillage practices in Northern China. Agric. Water Manag. 2020, 228, 105883. [Google Scholar] [CrossRef]
- Linh, T.B.; Sleutel, S.; Vo Thi, G.; Le Van, K.; Cornelis, W.M. Deeper tillage and root growth in annual rice-upland cropping systems result in improved rice yield and economic profit relative to rice monoculture. Soil Tillage Res. 2015, 154, 44–52. [Google Scholar] [CrossRef]
- Wang, Y.K.; Zhang, Z.B.; Jiang, F.H.; Guo, Z.C.; Peng, X.H. Evaluating soil physical quality indicators of a vertisol as affected by different tillage practices under wheat-maize system in the North China Plain. Soil Tillage Res. 2021, 209, 104970. [Google Scholar] [CrossRef]
- Ren, B.; Li, X.; Dong, S.; Liu, P.; Zhao, B.; Zhang, J. Soil physical properties and maize root growth under different tillage systems in the North China Plain. Crop J. 2018, 6, 669–676. [Google Scholar] [CrossRef]
- He, J.; Shi, Y.; Zhao, J.; Yu, Z. Strip rotary tillage with subsoiling increases winter wheat yield by alleviating leaf senescence and increasing grain filling. Crop J. 2020, 8, 327–340. [Google Scholar] [CrossRef]
- Chu, P.; Zhang, Y.; Yu, Z.; Guo, Z.; Shi, Y. Winter wheat grain yield, water use, biomass accumulation and remobilisation under tillage in the North China Plain. Field Crops Res. 2016, 193, 43–53. [Google Scholar] [CrossRef]
- Kan, Z.R.; Liu, Q.Y.; He, C.; Jing, Z.H.; Virk, A.L.; Qi, J.Y.; Zhao, X.; Zhang, H.L. Responses of grain yield and water use efficiency of winter wheat to tillage in the North China Plain. Field Crops Res. 2020, 249, 107760. [Google Scholar] [CrossRef]
- Schneider, F.; Don, A.; Hennings, I.; Schmittmann, O.; Seidel, S.J. The effect of deep tillage on crop yield—What do we really know? Soil Tillage Res. 2017, 174, 193–204. [Google Scholar] [CrossRef]
- Wu, F.; Zhai, L.; Xu, P.; Zhang, Z.; Baillo, E.H.; Tolosa, L.N.; Kimotho, R.N.; Jia, X.; Guo, H. Effects of deep vertical rotary tillage on the grain yield and resource use efficiency of winter wheat in the Huang-Huai-Hai Plain of China. J. Integr. Agric. 2021, 20, 593–605. [Google Scholar] [CrossRef]
- Zhang, J.; Li, F.; Liao, P.; Khan, A.; Hussain, I.; Iqbal, A.; Ali, I.; Wei, B.; Jiang, L. Smash ridge tillage strongly influence soil functionality, physiology and rice yield. Saudi J. Biol. Sci. 2021, 28, 1297–1307. [Google Scholar] [CrossRef]
- Zhai, L.; Xu, P.; Zhang, Z.; Li, S.; Xie, R.; Zhai, L.; Wei, B. Effects of deep vertical rotary tillage on dry matter accumulation and grain yield of summer maize in the Huang-Huai-Hai Plain of China. Soil Tillage Res. 2017, 170, 167–174. [Google Scholar] [CrossRef]
- Zhang, X.C.; Guo, J.; Ma, Y.F.; Yu, X.F.; Hou, H.Z.; Wang, H.L.; Fang, Y.J.; Tang, Y.F. Effects of vertical rotary subsoiling with plastic mulching on soil water availability and potato yield on a semiarid Loess Plateau, China. Soil Tillage Res. 2020, 199, 104591. [Google Scholar] [CrossRef]
- Zhai, L.; Wang, Z.; Song, S.; Zhang, L.; Zhang, Z.; Jia, X. Tillage practices affects the grain filling of inferior kernel of summer maize by regulating soil water content and photosynthetic capacity. Agric. Water Manag. 2021, 245, 106600. [Google Scholar] [CrossRef]
- Elwan, M.W.M.; Abd El-Hamed, K.E. Influence of nitrogen form, growing season and sulfur fertilization on yield and the content of nitrate and vitamin C of broccoli. Sci. Hortic. 2011, 127, 181–187. [Google Scholar] [CrossRef]
- Mairghany, M.; Yahya, A.; Adam, N.M.; Mat Su, A.S.; Aimrun, W.; Elsoragaby, S. Rotary tillage effects on some selected physical properties of fine textured soil in wetland rice cultivation in Malaysia. Soil Tillage Res. 2019, 194, 104318. [Google Scholar] [CrossRef]
- Tian, S.; Ning, T.; Wang, Y.; Liu, Z.; Li, G.; Li, Z.; Lal, R. Crop yield and soil carbon responses to tillage method changes in North China. Soil Tillage Res. 2016, 163, 207–213. [Google Scholar] [CrossRef]
- Bingham, I.J.; Bengough, A.G.; Rees, R.M. Soil compaction-N interactions in barley: Root growth and tissue composition. Soil Tillage Res. 2010, 106, 241–246. [Google Scholar] [CrossRef]
- Dekemati, I.; Simon, B.; Vinogradov, S.; Birkás, M. The effects of various tillage treatments on soil physical properties, earthworm abundance and crop yield in Hungary. Soil Tillage Res. 2019, 194, 104334. [Google Scholar] [CrossRef]
- Norris, C.E.; Congreves, K.A. Alternative management practices improve soil health indices in intensive vegetable cropping systems: A review. Front. Environ. Sci. 2018, 6, 50. [Google Scholar] [CrossRef]
- Lammerts Van Bueren, E.T.; Jones, S.S.; Tamm, L.; Murphy, K.M.; Myers, J.R.; Leifert, C.; Messmer, M.M. The need to breed crop varieties suitable for organic farming, using wheat, tomato and broccoli as examples: A review. NJAS Wagening. J. Life Sci. 2011, 58, 193–205. [Google Scholar] [CrossRef]
- Mosaddeghi, M.R.; Mahboubi, A.A.; Safadoust, A. Short-term effects of tillage and manure on some soil physical properties and maize root growth in a sandy loam soil in Western Iran. Soil Tillage Res. 2009, 104, 173–179. [Google Scholar] [CrossRef]
- Sakr, M.T.; Ibrahim, H.M.; ElAwady, A.E.; AboELMakarm, A.A. Growth, yield and biochemical constituents as well as post-harvest quality of water-stressed broccoli (Brassica oleraceae L. var italica) as affected by certain biomodulators. Sci. Hortic. 2021, 275, 109605. [Google Scholar] [CrossRef]
- Abu-Hamdeh, N.H. Soil compaction and root distribution for okra as affected by tillage and vehicle parameters. Soil Tillage Res. 2003, 74, 25–35. [Google Scholar] [CrossRef]
- Laddha, K.C.; Totawat, K.L. Effects of deep tillage under rainfed agriculture on production of sorghum (Sorghum biocolor L. Moench) intercropped with green gram (Vigna radiata L. Wilczek) in western India. Soil Tillage Res. 1997, 43, 241–250. [Google Scholar] [CrossRef]
- Xue, L.; Khan, S.; Sun, M.; Anwar, S.; Ren, A.; Gao, Z.; Lin, W.; Xue, J.; Yang, Z.; Deng, Y. Effects of tillage practices on water consumption and grain yield of dryland winter wheat under different precipitation distribution in the Loess Plateau of China. Soil Tillage Res. 2019, 191, 66–74. [Google Scholar] [CrossRef]
- Wang, H.; Yu, Z.; Shi, Y.; Zhang, Y. Effects of tillage practices on grain yield formation of wheat and the physiological mechanism in rainfed areas. Soil Tillage Res. 2020, 202, 104675. [Google Scholar] [CrossRef]
- Mu, X.; Zhao, Y.; Liu, K.; Ji, B.; Guo, H.; Xue, Z.; Li, C. Responses of soil properties, root growth and crop yield to tillage and crop residue management in a wheat-maize cropping system on the North China Plain. Eur. J. Agron. 2016, 78, 32–43. [Google Scholar] [CrossRef]
- Scanlan, C.A.; Davies, S.L. Soil mixing and redistribution by strategic deep tillage in a sandy soil. Soil Tillage Res. 2019, 185, 139–145. [Google Scholar] [CrossRef]
- Wang, Y.; Chen, S.; Zhang, D.; Yang, L.; Cui, T.; Jing, H.; Li, Y. Effects of subsoiling depth, period interval and combined tillage practice on soil properties and yield in the Huang-Huai-Hai Plain, China. J. Integr. Agric. 2020, 19, 1596–1608. [Google Scholar] [CrossRef]
- Erdem, T.; Arin, L.; Erdem, Y.; Polat, S.; Deveci, M.; Okursoy, H.; Gültaş, H.T. Yield and quality response of drip irrigated broccoli (Brassica oleracea L. var italica) under different irrigation regimes, nitrogen applications and cultivation periods. Agric. Water Manag. 2010, 97, 681–688. [Google Scholar] [CrossRef]
- Huang, X.; Wang, H.; Zhang, M.; Horn, R.; Ren, T. Soil water retention dynamics in a mollisol during a maize growing season under contrasting tillage systems. Soil Tillage Res. 2021, 209, 104953. [Google Scholar] [CrossRef]
- Yin, B.; Hu, Z.; Wang, Y.; Zhao, J.; Pan, Z.; Zhen, W. Effects of optimized subsoiling tillage on field water conservation and summer maize (Zea mays L.) yield in the North China Plain. Agric. Water Manag. 2021, 247, 106732. [Google Scholar] [CrossRef]
- Ding, Z.; Kheir, A.M.S.; Ali, O.A.M.; Hafez, E.M.; ElShamey, E.A.; Zhou, Z.; Wang, B.; Lin, X.; Ge, Y.; Fahmy, A.E.; et al. A vermicompost and deep tillage system to improve saline-sodic soil quality and wheat productivity. J. Environ. Manag. 2021, 277, 111388. [Google Scholar] [CrossRef]
- Wang, H.; Guo, Z.; Shi, Y.; Zhang, Y.; Yu, Z. Impact of tillage practices on nitrogen accumulation and translocation in wheat and soil nitrate-nitrogen leaching in drylands. Soil Tillage Res. 2015, 153, 20–27. [Google Scholar] [CrossRef]
- Wu, L.; Huo, W.; Yao, D.; Li, M. Effects of solid matrix priming (SMP)and salt stress on broccoli and cauliflower seed germination and early seedling growth. Sci. Hortic. 2019, 255, 161–168. [Google Scholar] [CrossRef]
- Ciancaleoni, S.; Onofri, A.; Torricelli, R.; Negri, V. Broccoli yield response to environmental factors in sustainable agriculture. Eur. J. Agron. 2016, 72, 161–168. [Google Scholar] [CrossRef]








| 2020 | ||
| Month | Mean Temperature (°C) | Precipitation (mm) |
| September | 24.13 | 172.9 |
| October | 19.42 | 16.4 |
| November | 16 | 27.4 |
| December | 7.86 | 21.9 |
| 2021 | ||
| August | 29.14 | 152.7 |
| September | 28.62 | 60.9 |
| October | 21.25 | 44.4 |
| November | 14.28 | 62.1 |
| 2020 | |||
| Tillage Practices | Plant Height (cm) | Stem Diameter (cm) | Floret Ball Diameter (cm) |
| RT | 51.4 ± 4.7 a | 1.93 ± 0.11 a | 14.25 ± 0.75 a |
| VRT | 53.2 ± 2.3 a | 1.86 ± 0.08 a | 13.94 ± 0.84 a |
| VSRT | 58.3 ± 3.8 b | 2.33 ± 0.09 b | 14.56 ± 0.33 a |
| 2021 | |||
| RT | 57.5 ± 6.7 a | 3.54 ± 0.23 a | 16.76 ± 0.26 a |
| VRT | 52.3 ± 4.3 b | 3.28 ± 0.13 b | 14.96 ± 1.75 b |
| VSRT | 56.2 ± 5.3 a | 3.52 ± 0.17 a | 18.58 ± 0.38 a |
Publisher’s Note: MDPI stays neutral with regard to jurisdictional claims in published maps and institutional affiliations. |
© 2022 by the authors. Licensee MDPI, Basel, Switzerland. This article is an open access article distributed under the terms and conditions of the Creative Commons Attribution (CC BY) license (https://creativecommons.org/licenses/by/4.0/).
Share and Cite
Shan, F.; Li, D.; Zhu, J.; Kang, S.; Wang, J. Effects of Vertical Smashing Rotary Tillage on Root Growth Characteristics and Yield of Broccoli. Agriculture 2022, 12, 928. https://doi.org/10.3390/agriculture12070928
Shan F, Li D, Zhu J, Kang S, Wang J. Effects of Vertical Smashing Rotary Tillage on Root Growth Characteristics and Yield of Broccoli. Agriculture. 2022; 12(7):928. https://doi.org/10.3390/agriculture12070928
Chicago/Turabian StyleShan, Fake, Dongfang Li, Jianxi Zhu, Shuo Kang, and Jun Wang. 2022. "Effects of Vertical Smashing Rotary Tillage on Root Growth Characteristics and Yield of Broccoli" Agriculture 12, no. 7: 928. https://doi.org/10.3390/agriculture12070928
APA StyleShan, F., Li, D., Zhu, J., Kang, S., & Wang, J. (2022). Effects of Vertical Smashing Rotary Tillage on Root Growth Characteristics and Yield of Broccoli. Agriculture, 12(7), 928. https://doi.org/10.3390/agriculture12070928

