Extraction of High-Purity Native State Gutta-Percha from Enzymatic Hydrolyzed Eucommia ulmoides Pericarps by Ultrasound Treatment and Surfactant Aqueous Phase Dispersion
Abstract
:1. Introduction
2. Materials and Methods
2.1. Materials
2.2. Enzymatic Pretreatment of Raw Materials
2.3. Ultrasonic Treatment of Enzymatic Hydrolyzed E. ulmoides Pericarps
2.4. Purification of Crude Gutta-Percha
2.5. Determination of Gutta-Percha Purity
2.6. Identification and Characterization of Gutta-Percha
2.7. Data Processing and Analysis
3. Results
3.1. Enzymatic Hydrolysis of E. ulmoides Pericarps
3.2. Ultrasonic Stripping of Plant Tissue Debris
3.2.1. Single-Factor Optimization of Ultrasonic Experimental Parameters
3.2.2. BBD Optimization and Verification of Ultrasonic Parameters
3.3. Purification of Crude Gutta-Percha
3.3.1. Single-Factor Optimization of Surfactant Dispersion Conditions
3.3.2. BBD-Based Optimization of Surfactant Dispersion Conditions and Verification
3.4. Identification and Characterization of the Extracted Gutta-Percha
3.4.1. Identification of Molecular Structure
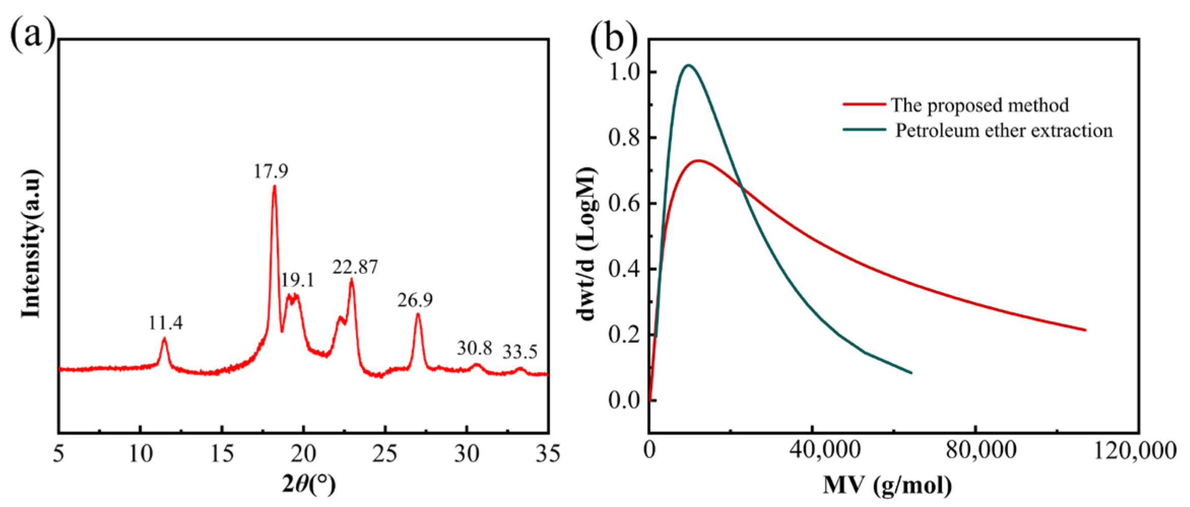
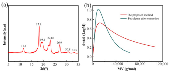
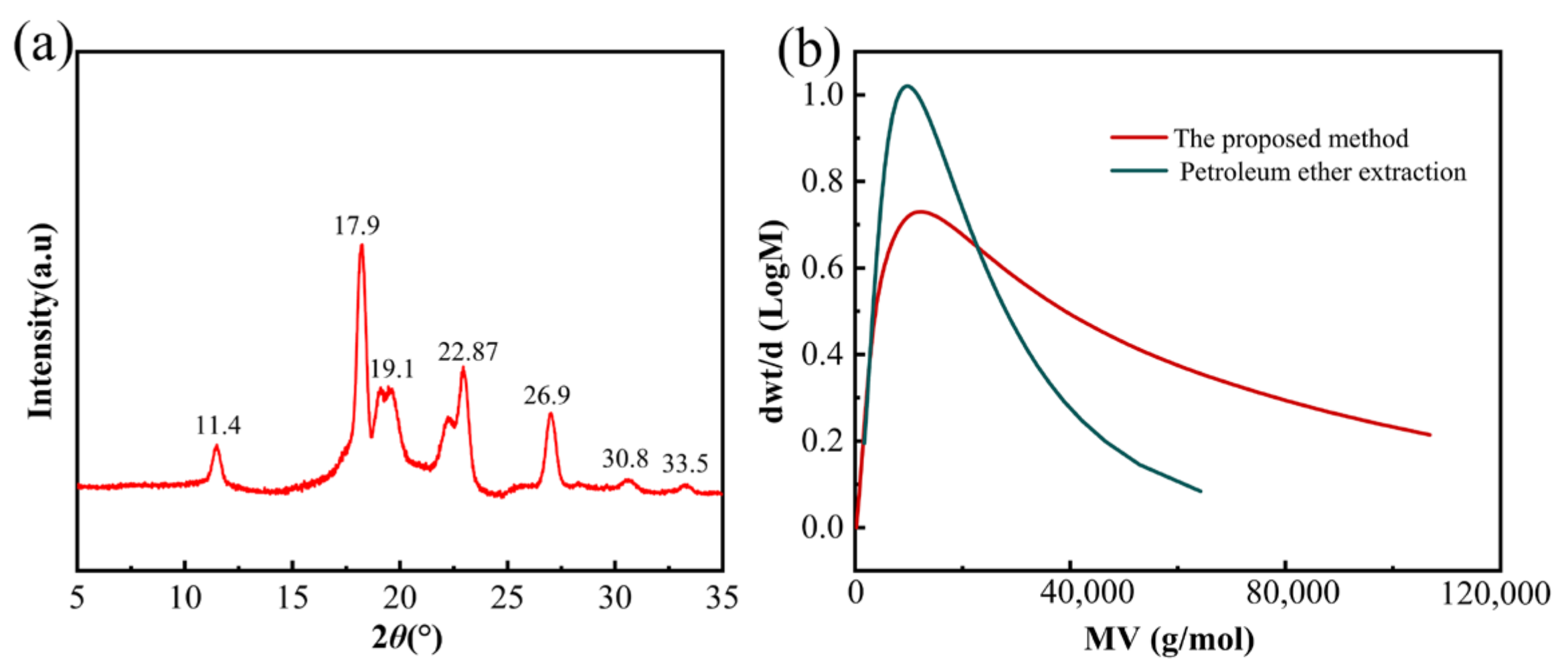
3.4.2. XRD Analysis
3.4.3. Analysis of Molecular Weight and Molecular Weight Distribution
3.4.4. Thermo Gravimetric Analysis
3.4.5. DSC Analysis
3.4.6. Mechanical Tensile Properties Analysis
4. Conclusions
Supplementary Materials
Author Contributions
Funding
Institutional Review Board Statement
Informed Consent Statement
Data Availability Statement
Conflicts of Interest
References
- Qi, X.; Zhang, J.H.; Zhang, L.Q.; Yue, D.M. Bio-based self-healing Eucommia ulmoides ester elastomer with damping and oil resistance. J. Mater. Sci. 2020, 55, 4940–4951. [Google Scholar] [CrossRef]
- Wei, X.; Peng, P.; Peng, F.; Dong, J. Natural Polymer Eucommia Ulmoides Rubber: A Novel Material. J. Agric. Food Chem. 2021, 69, 3797–3821. [Google Scholar] [CrossRef]
- Zhang, H.; Ma, C.; Sun, R.; Liao, X.; Wu, J.; Xie, M. Sustainable elastomer of triazolinedione-modified Eucommia ulmoides gum with enhanced elasticity and shape memory capability. Polymer 2019, 184, 121904. [Google Scholar] [CrossRef]
- Xia, L.; Wang, Y.; Ma, Z.; Du, A.; Qiu, G.; Xin, Z. Preparation of epoxidized Eucommia ulmoides gum and its application in styrene-butadiene rubber (SBR)/silica composites. Polym. Adv. Technol. 2017, 28, 94–101. [Google Scholar] [CrossRef]
- Wang, Y.; Liu, J.; Xia, L.; Shen, M.; Xin, Z.; Kim, J. Role of epoxidized natural Eucommia ulmoides gum in modifying the interface of styrene-butadiene rubber/silica composites. Polym. Adv. Technol. 2019, 30, 2968–2976. [Google Scholar] [CrossRef]
- Banphakarn, N.; Yanpiset, K.; Banomyong, D. Shear bond strengths of calcium silicate-based sealer to dentin and calcium silicate-impregnated gutta-percha. J. Investig. Clin. Dent. 2019, 10, e12444. [Google Scholar] [CrossRef] [PubMed]
- Zhang, B.-X.; Azuma, J.-I.; Takeno, S.; Suzuki, N.; Nakazawa, Y.; Uyama, H. Improvement of the rheological properties of trans-1,4-polyisoprene from Eucommia ulmoides Oliver by tri-branched poly(ricinoleic acid). Polym. J. 2016, 48, 821–827. [Google Scholar] [CrossRef]
- Wang, Y.; Pei, X.Q.; Xia, L.; Zhang, Z.C.; Wang, Q.H.; Wang, T.M. Bio-based Eucommia ulmoides gum/low density polyethylene shape memory composites reinforced by zinc methacrylate. Polym. Int. 2021, 70, 1659–1667. [Google Scholar] [CrossRef]
- Yang, H.H.; Peng, P.; Sun, Q.Q.; Zhang, Q.; Ren, N.; Han, F.P.; She, D. Developed carbon nanotubes/gutta percha nanocomposite films with high stretchability and photo-thermal conversion efficiency. J. Mater. Res. Technol. JmrT 2020, 9, 8884–8895. [Google Scholar] [CrossRef]
- Kang, H.; Gong, M.; Xu, M.; Wang, H.; Li, Y.; Fang, Q.; Zhang, L. Fabricated Biobased Eucommia Ulmoides Gum/Polyolefin Elastomer Thermoplastic Vulcanizates into a Shape Memory Material. Ind. Eng. Chem. Res. 2019, 58, 6375–6384. [Google Scholar] [CrossRef]
- Qi, X.; Xu, E.; Jia, M.; Zhang, J.; Zhang, L.; Yue, D. Bio-Based, Self-Crosslinkable Eucommia ulmoides Gum/Silica Hybrids with Body Temperature Triggering Shape Memory Capability. Macromol. Mater. Eng. 2021, 306, 2100370. [Google Scholar] [CrossRef]
- Wang, Q.; Xiong, Y.; Dong, F. Eucommia ulmoides gum-based engineering materials: Fascinating platforms for advanced applications. J. Mater. Sci. 2021, 56, 1855–1878. [Google Scholar] [CrossRef]
- Liu, X.; Wang, X.Z.; Kang, K.; Sun, G.T.; Zhu, M.Q. Review on extraction, characteristic, and engineering of the Eucommia ulmodies rubber for industrial application. Ind. Crops Prod. 2022, 180, 114733. [Google Scholar] [CrossRef]
- Yang, F.; Hu, S.; Li, D.; Kang, H.; Fang, Q. Progress in Extraction Methods of Eucommia Ulmoides gum. Polym. Mater. Sci. Eng. 2020, 36, 177–182. [Google Scholar] [CrossRef]
- Zhang, X.; Cheng, C.; Zhang, M.; Lan, X.; Wang, Q.; Han, S. Effect of alkali and enzymatic pretreatments of Eucommia ulmoides leaves and barks on the extraction of gutta percha. J. Agric. Food Chem. 2008, 56, 8936–8943. [Google Scholar] [CrossRef] [PubMed]
- Tang, X.X.; Qiu, P.S.; Duan, Z.H.; Shang, F.F.; Tang, Q.; Mo, Z.Z.; Liu, Y. Optimization of Ultrasonic-Microwave Assisted Extraction of Dietary Fiber from Lotus Root by Response Surface Methodology. Food Res. Dev. 2019, 40, 132–139. [Google Scholar] [CrossRef]
- Chen, H.T.; Shen, X.S. Optimization of ultrasound—Microwave assisted extraction of proanthocyanidin from brown rice by response surface methodology. Sci. Technol. Food Ind. 2018, 39, 186–191. [Google Scholar] [CrossRef]
- Carbone, K.; Amoriello, T.; Iadecola, R. Exploitation of Kiwi Juice Pomace for the Recovery of Natural Antioxidants through Microwave-Assisted Extraction. Agriculture 2020, 10, 435. [Google Scholar] [CrossRef]
- Unsal, M.; Isik-Gulsac, I.; Uresin, E.; Budak, M.S.; Ozgur-Buyuksakalli, K.; Sayar, A.; Aksoy, P.; Unlu, N.; Okur, O.; Sahin, H.; et al. Optimisation of biomass catalytic depolymerisation conditions by using response surface methodology. Waste Manag. Res. 2020, 38, 322–331. [Google Scholar] [CrossRef]
- Wang, Y.; Wang, Y.W.; Xia, L.; Xin, Z.X. Extraction of EUG by Organic Phase-Aqueous Phase Method and Its Structure Characterization. China Rubber Ind. 2017, 64, 650–654. [Google Scholar]
- Wu, M.F.; Liu, P.Y.; Wang, S.Y.; Zhong, C.; Zhao, X.H. Ultrasonic Microwave-Assisted Micelle Combined with Fungal Pretreatment of Eucommia ulmoides Leaves Significantly Improved the Extraction Efficiency of Total Flavonoids and Gutta-Percha. Foods 2021, 10, 2399. [Google Scholar] [CrossRef] [PubMed]
- Qian, S.Y.; Zhang, C.; Zhu, Z.D.; Huang, P.P.; Xu, X.Q. White rot fungusInonotus obliquuspretreatment to improvetran-1,4-polyisoprene extraction and enzymatic saccharification ofEucommia ulmoidesleaves. Appl. Biochem. Biotechnol. 2020, 192, 719–733. [Google Scholar] [CrossRef] [PubMed]
- Damas, J.; Remacle-Volon, G.; Deflandre, E. Further studies of the mechanism of counter irritation by turpentine. Naunyn-Schmiedeberg’s Arch. Pharmacol. 1986, 332, 196–200. [Google Scholar] [CrossRef] [PubMed]
- Nakazawa, Y.; Takeda, T.; Suzuki, N.; Hayashi, T.; Harada, Y.; Bamba, T.; Kobayashi, A. Histochemical study of trans-polyisoprene accumulation by spectral confocal laser scanning microscopy and a specific dye showing fluorescence solvatochromism in the rubber-producing plant, Eucommia ulmoides Oliver. Planta 2013, 238, 549–560. [Google Scholar] [CrossRef] [PubMed]
- Zhang, C.-B.; Wang, L.; Yang, B.; Zhao, H.; Liu, G.-M.; Wang, D.-J. Stress-induced Solid-Solid Crystal Transition in Trans-1,4-polyisoprene. Chin. J. Polym. Sci. 2022, 40, 256–265. [Google Scholar] [CrossRef]
- Mandelkern, L.; Quinn, F.A.; Roberts, D.E. Thermodynamics of Crystallization in High Polymers: Gutta Percha1,2. Rubber Chem. Technol. 1956, 29, 1181–1194. [Google Scholar] [CrossRef]
- Yue, P.P.; Leng, Z.J.; Bian, J.; Li, M.F.; Peng, F.; Sun, R.C. Fast and simple construction of composite films with renewable Eucommia ulmoides gum and Poly(epsilon-caprolactone). Compos. Sci. Technol. 2019, 179, 145–151. [Google Scholar] [CrossRef]
- Zhang, J.; Xue, Z. A comparative study on the properties of Eucommia ulmoides gum and synthetic trans-1,4-polyisoprene. Polym. Test. 2011, 30, 753–759. [Google Scholar] [CrossRef]
- Sun, Q.; Zhao, X.; Wang, D.; Dong, J.; She, D.; Peng, P. Preparation and characterization of nanocrystalline cellulose/Eucommia ulmoides gum nanocomposite film. Carbohydr. Polym. 2018, 181, 825–832. [Google Scholar] [CrossRef]
- Guo, T.; Liu, Y.; Wei, Y.; Ma, X.; Fan, Q.; Ni, J.; Yin, Z.; Liu, J.; Wang, S.; Dong, Y.; et al. Simultaneous qualitation and quantitation of natural trans-1,4-polyisoprene from Eucommia ulmoides Oliver by gel permeation chromatography (GPC). J. Chromatogr. B-Anal. Technol. Biomed. Life Sci. 2015, 1004, 17–22. [Google Scholar] [CrossRef]
- Cui, G.; Liu, Z.; Wei, M.; Yang, L. Turpentine as an alternative solvent for the extraction of gutta-percha from Eucommia ulmoides barks. Ind. Crops Prod. 2018, 121, 142–150. [Google Scholar] [CrossRef]
- Ding, H.; Liu, H.; Yang, Y.; Zhu, J.; Li, S.; Jia, Z.; Sun, Z. Enhanced Gutta-Percha Production from Eucommia ulmoides Oliver via Steam Explosion. J. Biobased Mater. Bioenergy 2019, 13, 353–362. [Google Scholar] [CrossRef]
- Zhu, M.-Q.; Wen, J.-L.; Zhu, Y.-H.; Su, Y.-Q.; Sun, R.-C. Isolation and analysis of four constituents from barks and leaves of Eucommia ulmoides Oliver by a multi-step process. Ind. Crops Prod. 2016, 83, 124–132. [Google Scholar] [CrossRef]
- Yang, F.; Hu, S.; Wei, J.; Li, D.; Kang, H.; Fang, Q. Preparation of Liquid Eucommia Ulmozdes Gum. Polym. Mater. Sci. Eng. 2020, 36, 32–39. [Google Scholar] [CrossRef]
- Gabaldón-Leyva, C.A.; Quintero-Ramos, A.; Barnard, J.; Balandrán-Quintana, R.R.; Talamás-Abbud, R.; Jiménez-Castro, J. Effect of ultrasound on the mass transfer and physical changes in brine bell pepper at different temperatures. J. Food Eng. 2007, 81, 374–379. [Google Scholar] [CrossRef]
- Soria, A.C.; Villamiel, M. Effect of ultrasound on the technological properties and bioactivity of food: A review. Trends Food Sci. & Technol. 2010, 21, 323–331. [Google Scholar] [CrossRef]
- Umego, E.C.; He, R.; Ren, W.; Xu, H.; Ma, H. Ultrasonic-assisted enzymolysis: Principle and applications. Process Biochem. 2021, 100, 59–68. [Google Scholar] [CrossRef]














| Factors | |||||
|---|---|---|---|---|---|
| Level | X1 | X2 | X3 | X4 | X5 |
| Frequency | Power | Time | Temperature | Material-to-Liquid Ratio | |
| kHz | W | h | °C | g/mL | |
| −1 | 33 | 280 | 4 | 40 | 1:60 |
| 0 | 40 | 320 | 6 | 50 | 1:70 |
| 1 | 59 | 360 | 8 | 60 | 1:80 |
| Factors | |||||
|---|---|---|---|---|---|
| Level | X′1 | X′2 | X′3 | X′4 | X′5 |
| Concentration | Temperature | Time | Stirring Speed | Material-to-Liquid Ratio | |
| % | °C | h | rpm | g/mL | |
| −1 | 1 | 80 | 40 | 800 | 1:40 |
| 0 | 2 | 85 | 50 | 1200 | 1:50 |
| 1 | 3 | 90 | 60 | 1600 | 1:60 |
| Method | Eucommia Organ | Mw (×104) | Mn (×104) | PDI | Ref. |
|---|---|---|---|---|---|
| Enzymatic pretreatment combined with ultrasound and surfactant aqueous phase dispersion | pericarps | 20.85 | 5.37 | 3.88 | This work |
| Petroleum ether extraction | pericarps | 13.25 | 5.88 | 1.91 | This work |
| Petroleum ether extraction | pericarps | 5.6 | 5.1 | 1.1 | [29] |
| Toluene extraction followed by ethanol purification | pericarps | 8.4 | 3.9 | 2.18 | [30] |
| Turpentine extraction | bark | 4.9 | 1.9 | 2.54 | [31] |
| Steam explosion followed by petroleum ether extraction | bark | 20.46 | 12.64 | 2.2 | [32] |
| Alkali treatment combined with enzymatic hydrolysis and petroleum ether extraction | leaves | 6.21 | 1.0 | 6.2 | [33] |
Publisher’s Note: MDPI stays neutral with regard to jurisdictional claims in published maps and institutional affiliations. |
© 2022 by the authors. Licensee MDPI, Basel, Switzerland. This article is an open access article distributed under the terms and conditions of the Creative Commons Attribution (CC BY) license (https://creativecommons.org/licenses/by/4.0/).
Share and Cite
Shi, Q.; He, Y.; Zhang, X.; Wu, Q.; Tao, H. Extraction of High-Purity Native State Gutta-Percha from Enzymatic Hydrolyzed Eucommia ulmoides Pericarps by Ultrasound Treatment and Surfactant Aqueous Phase Dispersion. Agriculture 2022, 12, 904. https://doi.org/10.3390/agriculture12070904
Shi Q, He Y, Zhang X, Wu Q, Tao H. Extraction of High-Purity Native State Gutta-Percha from Enzymatic Hydrolyzed Eucommia ulmoides Pericarps by Ultrasound Treatment and Surfactant Aqueous Phase Dispersion. Agriculture. 2022; 12(7):904. https://doi.org/10.3390/agriculture12070904
Chicago/Turabian StyleShi, Qili, Yangjie He, Xuejun Zhang, Qiaoling Wu, and Han Tao. 2022. "Extraction of High-Purity Native State Gutta-Percha from Enzymatic Hydrolyzed Eucommia ulmoides Pericarps by Ultrasound Treatment and Surfactant Aqueous Phase Dispersion" Agriculture 12, no. 7: 904. https://doi.org/10.3390/agriculture12070904
APA StyleShi, Q., He, Y., Zhang, X., Wu, Q., & Tao, H. (2022). Extraction of High-Purity Native State Gutta-Percha from Enzymatic Hydrolyzed Eucommia ulmoides Pericarps by Ultrasound Treatment and Surfactant Aqueous Phase Dispersion. Agriculture, 12(7), 904. https://doi.org/10.3390/agriculture12070904
