Optimizing Nitrogen Application for Chinese Ratoon Rice Based on Yield and Reactive Nitrogen Loss
Abstract
:1. Introduction
2. Materials and Methods
2.1. Main Cropping Regions
2.2. Data Source
2.3. Data Calculation
2.3.1. Calculation of N-Use Efficiency and N Stored in Soil
2.3.2. Calculation of Nr Losses and N Surplus
2.3.3. Optimized N Based on the Highest Yield, Highest NUE, and Grain N Uptake
2.3.4. Data Analysis
3. Results
3.1. Comparison of N Application, Yields, and NUE in Different Regions
3.2. N Stored in the Soil in Different Regions
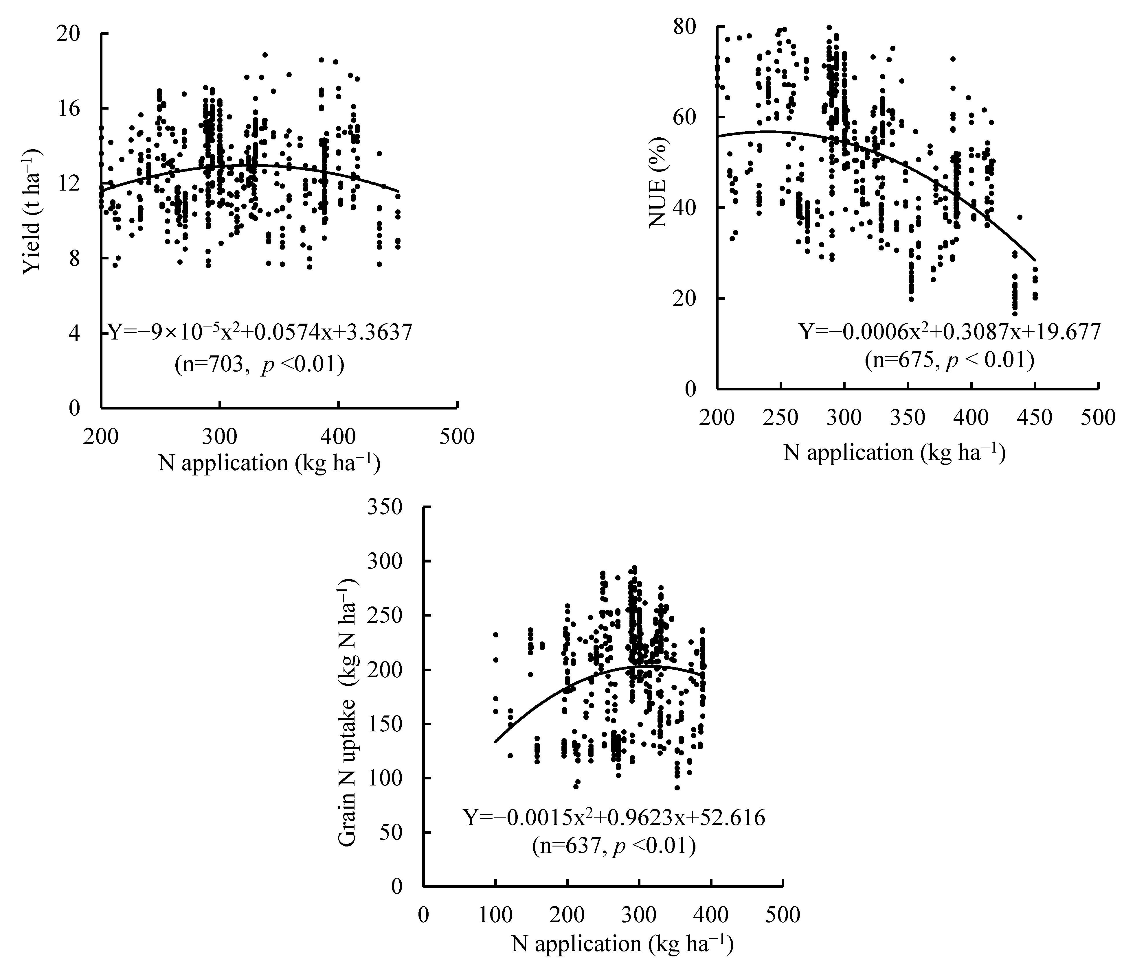
3.3. Correlation between N Application and Yield, NUE, and Grain N Uptake
3.4. Performance under Optimized N Managements (OPTs) and Un-OPT Practice
3.5. Assessment of N Management
4. Discussion
4.1. Yield, NUE, Nr Losses, and N Surplus in Main RR Production Areas in China
4.2. NUE and N Surplus under Three Optimal N Application Rates
4.3. Policy Suggestions
5. Conclusions
Supplementary Materials
Author Contributions
Funding
Institutional Review Board Statement
Informed Consent Statement
Data Availability Statement
Acknowledgments
Conflicts of Interest
References
- Food Agriculture Organization of the United Nations. Food Outlook Biannual Report on Global Food Markets. 2022. Available online: https://www.fao.org/giews/reports/food-outlook/en/ (accessed on 7 July 2022).
- Peng, S.; Tang, Q.; Zou, Y. Current status and challenges of rice production in China. Plant Prod. Sci. 2008, 12, 3–8. [Google Scholar] [CrossRef] [Green Version]
- Liu, K.; Qin, J.; Zhang, B.; Zhao, Y. Physiological traits, yields and nitrogen translocation of ratoon rice in response to differ-ent cultivations and planting periods. Afr. J. Agric. Res. 2012, 7, 2539–2545. [Google Scholar] [CrossRef]
- Yuan, S.; Cassman, K.G.; Huang, J.; Peng, S.; Grassini, P. Can ratoon cropping improve resource use efficiencies and profit-ability of rice in central China? Field Crops Res. 2019, 234, 66–72. [Google Scholar] [CrossRef]
- Grafton, R.Q.; Williams, J.; Jiang, Q. Food and water gaps to 2050: Preliminary results from the global food and water system (GFWS) platform. Food Secur. 2015, 7, 209–220. [Google Scholar] [CrossRef] [Green Version]
- National Bureau of Statics. 2021. Available online: https://data.stats.gov.cn/easyquery.htm?cn=C01 (accessed on 7 July 2022).
- International Fertilizer Industry. 2021. Available online: https://fertilizer.org/public (accessed on 7 July 2022).
- Cao, Y.X.; Zhu, J.Q.; Hou, J. Yield gap of ratoon rice and their influence factors in China. Sci. Agric. Sin. 2020, 53, 707–719. [Google Scholar] [CrossRef]
- Zhang, L.; Xu, H.Q.; Li, L.L.; Chen, Y.W.; Zheng, H.B.; Tang, Q.Y.; Tang, J.W. Comparative study on CH4 emission from ratoon rice and double-cropping rice fields. Sci. Agric. Sin. 2019, 52, 2101–2113. [Google Scholar]
- Jin, S.Q.; Fang, Z. Zero growth of chemical fertilizer and pesticide use: China’s objectives, progress and challenges. J. Resour. Ecol. 2018, 9, 50–58. [Google Scholar] [CrossRef]
- Yang, D.; Peng, S.; Zheng, C.; Xiang, H.; Wang, F. Effects of nitrogen fertilization for bud initiation and tiller growth on yield and quality of rice ratoon crop in central China. Field Crops Res. 2021, 272, 108286. [Google Scholar] [CrossRef]
- Zhang, Y.T.; Wang, H.Y.; Lei, Q.L.; Zhang, J.Z.; Zhai, L.M.; Ren, T.Z.; Liu, H.B. Recommended methods for optimal nitro-gen application rate. Sci. Agric. Sin. 2018, 51, 117–127. [Google Scholar] [CrossRef]
- Zhang, C.; Ju, X.; Powlson, D.; Oenema, O.; Smith, P. Nitrogen surplus benchmarks for controlling n pollution in the main cropping systems of China. Environ. Sci. Technol. 2019, 53, 6678–6687. [Google Scholar] [CrossRef]
- Oenema, O.; Kros, H.; Vries, W.D. Approaches and uncertainties in nutrient budgets: Implications for nutrient management and environmental policies. Eur. J. Agron. 2003, 20, 3–16. [Google Scholar] [CrossRef]
- Schr Der, J.J.; Scholefield, D.; Cabral, F.; Hofman, G. The effects of nutrient losses from agriculture on ground and surface water quality: The position of science in developing indicators for regulation. Environ. Sci. Policy 2004, 7, 15–23. [Google Scholar] [CrossRef]
- Notaris, C.D.; Rasmussen, J.; Sørensen, P.; Olesen, J.E. Nitrogen leaching: A crop rotation perspective on the effect of N surplus, field management and use of catch crops. Agric. Ecosyst. Environ. 2018, 255, 1–11. [Google Scholar] [CrossRef]
- Oenema, O.; Van Liere, L.; Schoumans, O. Effects of lowering nitrogen and phosphorus surpluses in agriculture on the quality of groundwater and surface water in the Netherlands. J. Hydrol. 2005, 304, 289–301. [Google Scholar] [CrossRef]
- Hansen, B.; Thorling, L.; Dalgaard, T.; Erlandsen, M. Trend reversal of nitrate in Danish groundwater—A reflection of agricultural practices and nitrogen surpluses since 1950. Environ. Sci. Technol. 2011, 45, 228–234. [Google Scholar] [CrossRef]
- Hartmann, T.E.; Yue, S.; Schulz, R.; Chen, X.; Zhang, F.; Müller, T. Nitrogen dynamics, apparent mineralization and balance calculations in a maize–wheat double cropping system of the North China Plain. Field Crops Res. 2014, 160, 22–30. [Google Scholar] [CrossRef]
- Shi, Z.; Li, D.; Jing, Q.; Cai, J.; Jiang, D.; Cao, W.; Dai, T. Effects of nitrogen applications on soil nitrogen balance and nitro-gen utilization of winter wheat in a rice–wheat rotation. Field Crops Res. 2012, 127, 241–247. [Google Scholar] [CrossRef]
- Shi, N.P.; Jiao, S.C. Ratoon Rice Cultivation in China; China Agriculture Press: Beijing, China, 1999. [Google Scholar]
- Han, D.; Wiesmeier, M.; Conant, R.T.; Kühnel, A.; Sun, Z.; Knabner, I.K.; Hou, R.; Cong, P.; Liang, R.; Ouyang, Z. Large soil organic carbon increase due to improved agronomic management in the North China Plain from 1980s to 2010s. Glob. Chang. Biol. 2018, 24, 987–1000. [Google Scholar] [CrossRef]
- Zhao, Y.; Wang, M.; Hu, S.; Zhang, X.; Shi, X. Economics- and policy-driven organic carbon input enhancement dominates soil organic carbon accumulation in Chinese croplands. Proc. Natl. Acad. Sci. USA 2018, 115, 4045. [Google Scholar] [CrossRef] [Green Version]
- Ju, X.T.; Kou, C.L.; Zhang, F.S.; Christie, P. Nitrogen balance and groundwater nitrate contamination: Comparison among three intensive cropping systems on the North China Plain. Environ. Pollut. 2006, 143, 117–125. [Google Scholar] [CrossRef] [Green Version]
- Liu, X.Y.; He, P.; Jin, J.Y.; Zhou, W.; Sulewski, G.; Phillips, S. Yield gaps, indigenous nutrient supply, and nutrient use efficien-cy of wheat in China. Agron. J. 2011, 103, 1452–1463. [Google Scholar] [CrossRef] [Green Version]
- Ding, W.; Lei, H.; Xu, C.; Ke, H.; Li, H. Characteristics and spatial distribution of apparent nitrogen balance in the green-house vegetable cropping system in China. J. Agric. Resour. Environ. 2020, 37, 353–360. [Google Scholar] [CrossRef]
- Wang, J.G.; Lin, S.; Li, B.G. Nitrogen cycling and management strategies in Chinese agriculture. Sci. Agric. Sin. 2016, 49, 503–517. [Google Scholar] [CrossRef]
- Zhao, X.; Zhou, Y.; Wang, S.; Xing, G.; Shi, W.; Xu, R.; Zhu, Z. Nitrogen balance in a highly fertilized rice–wheat double-cropping system in southern China. Soil Sci. Soc. Am. J. 2012, 76, 1068. [Google Scholar] [CrossRef]
- Li, X.B.; Xia, L.L.; Yan, X.Y. Application of membrane inlet mass spectrometry to directly quantify denitrification in flooded rice paddy soil. Biol. Fertil. Soils 2014, 50, 891–900. [Google Scholar] [CrossRef]
- Xu, Y.B.; Cai, Z.C. Nitrogenous gas products of denitrification in subtropical soils. Ecol. Environ. Sci. 2014, 23, 932–937. [Google Scholar] [CrossRef]
- Dash, C.J.; Sarangi, A.; Singh, D.K.; Singh, A.K.; Adhikary, P.P. Prediction of root zone water and nitrogen balance in an irrigated rice field using a simulation model. Paddy Water Environ. 2015, 13, 281–290. [Google Scholar] [CrossRef]
- Yu, H.; Li, T.; Zhang, X. Nutrient budget and soil nutrient status in greenhouse system. Agric. Sci. China 2010, 9, 871–879. [Google Scholar] [CrossRef]
- Zhang, Y.; Wang, H.; Lei, Q.; Luo, J.; Liu, H. Optimizing the nitrogen application rate for maize and wheat based on yield and environment on the Northern China Plain. Total Environ. 2018, 618, 1173–1183. [Google Scholar] [CrossRef]
- Xia, Y.; Yan, X. Ecologically optimal nitrogen application rates for rice cropping in the Taihu Lake region of China. Sustain. Sci. 2012, 7, 33–44. [Google Scholar] [CrossRef]
- Mortensen, J.R.; Beattie, B.R. Does choice of response function matter in setting maximum allowable N-application rates in Danish agriculture. Cardon Res. Pap. 2005, 1. Available online: http://ag.arizona.edu/arec/pubs/researchpapers/2005-01mortensenbeattie.pdf (accessed on 7 July 2022).
- Yan, L.I.; Yi, C.; Wu, C.; Xu, T.; Ji, X. Determination of optimum nitrogen application rates in Zhejiang Province, China, based on rice yields and ecological security. J. Integr. Agr. 2015, 14, 2426–2433. [Google Scholar]
- Panel, E.N.E. Nitrogen Use Efficiency (NUE) an Indicator for the Utilization of Nitrogen in Food Systems; Wageningen University, Alterra: Wageningen, The Netherlands, 2015. [Google Scholar]
- Yang, G.; Wang, X.; Nabi, F.; Wang, H.; Zhao, C.; Peng, Y.; Ma, J.; Hu, Y. Optimizing planting density and impact of panicle types on grain yield and microclimatic response index of hybrid rice (Oryza sativa L.). Int. J. Plant Prod. 2021, 15, 447–457. [Google Scholar] [CrossRef]
- Xu, F.X.; Xiong, H.; Zhang, L.; Zhu, Y.C.; Jiang, P.; Guo, X.Y.; Liu, M. Progress in research of yield formation of ratooning rice and its high-yielding key regulation technologies. Sci. Agric. Sin. 2015, 48, 1702–1717. [Google Scholar] [CrossRef]
- Deng, G.W.; Qing, Q.T.; Xu, J.X.; Sun, J. Integrated meteorological disaster risk regionalization of rice in Sichuan province. Chin. J. Eco-Agric. 2020, 28, 621–630. [Google Scholar] [CrossRef]
- Fang, W.; Luo, W.Z.; Zhang, J.G.; Xiong, H.; Jiang, S.H.; Xu, S.H. Study on the ecological conditions and regional adaptability of ratooning rice in Sichuan province. Southwest China. J. Agric. Sci. 1994, 17, 15–18. [Google Scholar] [CrossRef]
- Feng, L.Z. High Temperature Risk and Its Possible Effects on Rice Yield under Climate Change. Master’s Thesis, Chinese Academy of Agricultural Sciences, Beijing, China, 2015. [Google Scholar] [CrossRef]
- Xu, X.W.; Sun, M.Y.; Fang, Y.Y.; He, X.Q.; Xue, F.; Fu, W.; Mao, M. Impact of climatic change on rice pro-duction and response strategies in Anhui province. J. Agro-Environ. Sci. 2011, 30, 1755–1763. [Google Scholar] [CrossRef]
- Ju, X.T.; Xing, G.X.; Chen, X.P.; Zhang, S.L.; Zhang, L.J.; Liu, X.J.; Cui, Z.L.; Yin, B.; Christie, P.; Zhu, Z.L. Reducing envi-ronmental risk by improving N management in intensive Chinese agricultural systems. Proc. Natl. Acad. Sci. USA 2009, 106, 3041–3046. [Google Scholar] [CrossRef] [Green Version]
- Zhang, X.; Davidson, E.A.; Mauzerall, D.L.; Searchinger, T.D.; Dumas, P.; Shen, Y. Managing nitrogen for sustainable de-velopment. Nature 2015, 528, 51–59. [Google Scholar] [CrossRef] [Green Version]
- Chen, X.; Cui, Z.; Vitousek, P.M.; Cassman, K.G.; Matson, P.A.; Bai, J.; Meng, Q.; Hou, P.; Yue, S.; Römheld, V. Integrated soil–crop system management for food security. Proc. Natl. Acad. Sci. USA 2011, 108, 6399–6404. [Google Scholar] [CrossRef] [Green Version]
- Cui, Z.; Chen, X.; Zhang, F. Development of regional nitrogen rate guidelines for intensive cropping systems in China. Agron. J. 2013, 105, 1411–1416. [Google Scholar] [CrossRef]
- Ju, X. Improvement and validation of theoretical N rate (TNR)-discussing the methods for N fertilizer recommendation. Acta Pedol. Sin. 2015, 52, 249–261. [Google Scholar] [CrossRef]
- Valkama, E.; Salo, T.; Esala, M.; Turtola, E. Nitrogen balances and yields of spring cereals as affected by nitrogen fertiliza-tion in northern conditions: A meta-analysis. Agric. Ecosyst. Environ. 2013, 164, 1–13. [Google Scholar] [CrossRef]
- Gaudin, A.C.; Janovicek, K.; Deen, B.; Hooker, D.C. Wheat improves nitrogen use efficiency of maize and soybean-based cropping systems. Agric. Ecosyst. Environ. 2015, 210, 1–10. [Google Scholar] [CrossRef]
- Liu, H.; Wang, Z.; Yu, R.; Li, F.; Li, K.; Cao, H.; Yang, N.; Li, M.; Dai, J.; Zan, Y. Optimal nitrogen input for higher efficiency and lower environmental impacts of winter wheat production in China. Agric. Ecosyst. Environ. 2016, 224, 1–11. [Google Scholar] [CrossRef]
- Pantoja, J.L.; Woli, K.P.; Sawyer, J.E.; Barker, D.W. Corn nitrogen fertilization requirement and corn–soybean productivity with a rye cover crop. Soil Sci. Soc. Am. J. 2015, 79, 1482–1495. [Google Scholar] [CrossRef] [Green Version]
- Hanegraaf, M.C.; den Boer, D.J. Perspectives and limitations of the Dutch minerals accounting system (MINAS). Eur. J. Agron. 2003, 20, 25–31. [Google Scholar] [CrossRef]
- Johnston, A.M.; Bruulsema, T.W. 4R nutrient stewardship for improved nutrient use efficiency. Procedia Eng. 2014, 83, 365–370. [Google Scholar] [CrossRef] [Green Version]
- Zhang, S.; Shen, T.; Yang, Y.; Li, Y.C.; Wan, Y.; Zhang, M.; Tang, Y.; Allen, S.C. Controlled-release urea reduced nitrogen leaching and improved nitrogen use efficiency and yield of direct-seeded rice. J. Environ. Manag. 2018, 220, 191–197. [Google Scholar] [CrossRef]
- Li, P.; Lu, J.; Wang, Y.; Wang, S.; Hussain, S.; Ren, T.; Cong, R.; Li, X. Nitrogen losses, use efficiency, and productivity of early rice under controlled-release urea. Agric. Ecosyst. Environ. 2018, 251, 78–87. [Google Scholar] [CrossRef]
- Xu, X.; He, P.; Yang, F.; Ma, J.; Pampolino, M.F.; Johnston, A.M.; Zhou, W. Methodology of fertilizer recommendation based on yield response and agronomic efficiency for rice in China. Field. Crop. Res. 2017, 206, 33–42. [Google Scholar] [CrossRef]
- Wang, Y.C. Effects of Nitrogen Management on Yield Formation of Ratoon Rice and the Related Mechanism. Ph.D. Thesis, Huazhong Agricultural University, Wuhan, China, 2019. [Google Scholar] [CrossRef]
- Yao, Y.; Zhang, M.; Tian, Y.; Zhao, M.; Zhang, B.; Zhao, M.; Zeng, K.; Yin, B. Urea deep placement for minimizing NH3 loss in an intensive rice cropping system. Field Crops Res. 2018, 218, 254–266. [Google Scholar] [CrossRef]
- Zhang, L.; Jiang, P.; Gou, X.; Zhou, X.; Zhu, Y.; Liu, M.; Xiong, H.; Xu, F. Integrated water and nitrogen management practices to enhance yield and environmental goals in rice–ratoon rice systems. Agron. J. 2019, 111, 2821–2831. [Google Scholar] [CrossRef]
- Asenso, E.; Zhang, L.; Tang, L.; Issaka, F.; Tian, K.; Li, J.; Hu, L. Moldboard plowing with direct seeding improves soil prop-erties and sustainable productivity in ratoon rice farmland in Southern China. Sustainability 2019, 11, 6499. [Google Scholar] [CrossRef] [Green Version]
- Xu, W.; Luo, X.; Pan, Y.; Zhang, L.; Tang, A.; Shen, J.; Zhang, Y.; Li, K.; Wu, Q.; Yang, D. Quantifying atmospheric nitrogen deposition through a nationwide monitoring network across China. Atmos. Chem. Phys. 2015, 15, 12345–12360. [Google Scholar] [CrossRef] [Green Version]
- Bouwman, L.; Goldewijk, K.K.; Van, D.H.K.W.; Beusen, A.H.W.; Van Vuuren, D.P.; Willems, J.; Rufino, M.C.; Stehfest, E. Exploring global changes in nitrogen and phosphorus cycles in agriculture induced by livestock production over the 1900–2050 period. Proc. Natl. Acad. Sci. USA 2013, 110, 20882–21195. [Google Scholar] [CrossRef] [Green Version]
- Si, G.H.; Yuan, J.F.; Peng, C.L.; Xia, X.G.; Cheng, J.P.; Xu, X.Y.; Jia, P.A.; Xie, Y.Y.; Zhou, J.X. Nitrogen and phosphorus cycling characteristics and balance of the integrated rice-crayfish system. Chin. J. Eco-Agric. 2019, 27, 1309–1318. [Google Scholar]
- Cui, Z.L.; Zhang, H.Y.; Chen, X.; Zhang, C.C.; Ma, W.Q.; Huang, C.D.; Zhang, W.F.; Mi, G.H.; Miao, Y.X.; Li, X.L.; et al. Pursuing sustainable productivity with millions of smallholder farmers. Nature 2018, 555, 363–366. [Google Scholar] [CrossRef]
- Song, K.F.; Zhang, G.B.; Xu, H.; Ma, J. A review of research on influencing factors and sustainability of ratoon rice cultivation in China. Acta Pedol. Sin. 2020, 57, 1365–1377. [Google Scholar] [CrossRef]
- Feng, D.Q.; Liu, X.C.; Liu, C.Z.; Lu, Z.W.; Wang, S.G.; Li, B.Y. Analysis and practice of climate suitability of ratoon rice in South area of Henan. Shandong Agric. Sci. 2012, 44, 41–44. [Google Scholar]




| Items | Sources (kg N ha−1) | SC (n = 44) | SEC (n = 147) | CC (n = 382) | NEC (n = 33) | SW (n = 157) |
|---|---|---|---|---|---|---|
| Input | N fertilizer | 253 ± 57 c | 355 ± 78 a | 310 ± 72 b | 371 ± 42 a | 270 ± 66 c |
| Deposition | 41 | 43 | 47 | 47 | 38 | |
| Biological fixation | 25 | 25 | 25 | 25 | 25 | |
| Seedling | 3 | 3 | 3 | 3 | 3 | |
| Sum | 322 | 426 | 382 | 446 | 336 | |
| Output | Grain N uptake | 189 ± 33 c | 230 ± 45 a | 225 ± 45 a | 138 ± 17 d | 132 ± 14 b |
| Denitrification loss | 55 ± 12 c | 77 ± 17 a | 67 ± 18 b | 80 ± 8 a | 58 ± 14 c | |
| NH3 volatilization | 48 ± 10 c | 73 ± 21 a | 61 ±17 b | 74 ± 8 a | 51 ± 11 c | |
| N leaching | 5 ± 1 c | 8 ± 4 a | 6 ± 2 b | 8 ± 1 a | 6 ± 1 c | |
| N runoff | 6 ± 1 c | 15 ± 9 a | 11 ± 4 b | 15 ± 2 a | 7 ± 2 c | |
| Sum | 302 | 402 | 370 | 315 | 254 | |
| Nr losses | 113 | 173 | 145 | 177 | 122 | |
| NΔsoil | 20 | 24 | 12 | 131 | 82 |
| Zone | Optimal N Application (kg ha−1) | Yield (t ha−1) | NUE (%) | N Surplus (kg N ha−1) | Nr Losses (kg N ha−1) | Yield-Scaled Nr Losses (kg N t−1) | ||||
|---|---|---|---|---|---|---|---|---|---|---|
| NH3 | N2O | L&R | Total | |||||||
| OPT-yield | SC | 289 | 11.23 | 50 | 181 | 54 | 62 | 13 | 129 | 11.50 |
| SEC | 252 | 13.08 | 66 | 108 | 50 | 54 | 14 | 118 | 9.01 | |
| CC | 305 | 13.51 | 60 | 147 | 60 | 66 | 16 | 143 | 10.57 | |
| NEC | 395 | 13.23 | 31 | 322 | 78 | 85 | 23 | 187 | 14.12 | |
| SW | 279 | 11.08 | 39 | 211 | 52 | 60 | 13 | 126 | 11.37 | |
| China | 319 | 12.87 | 54 | 180 | 63 | 69 | 17 | 150 | 11.62 | |
| OPT-NUE | SC | 158 | 8.88 | 62 | 89 | 32 | 34 | 8 | 74 | 8.35 |
| SEC | 195 | 10.49 | 65 | 93 | 38 | 42 | 11 | 92 | 8.72 | |
| CC | 159 | 10.09 | 73 | 60 | 31 | 34 | 10 | 75 | 7.45 | |
| NEC | 390 | 11.04 | 39 | 283 | 77 | 84 | 23 | 184 | 16.70 | |
| SW | 167 | 6.75 | 47 | 129 | 33 | 36 | 8 | 78 | 11.54 | |
| China | 257 | 12.07 | 59 | 133 | 51 | 56 | 14 | 120 | 9.95 | |
| OPT-N uptake | SC | 298 | 12.04 | 52 | 177 | 56 | 64 | 13 | 133 | 11.05 |
| SEC | 284 | 13.82 | 64 | 128 | 56 | 61 | 15 | 133 | 9.61 | |
| CC | 285 | 14.01 | 65 | 122 | 56 | 62 | 15 | 133 | 9.52 | |
| NEC | 393 | 14.07 | 49 | 237 | 78 | 85 | 23 | 186 | 13.21 | |
| SW | 280 | 8.26 | 39 | 212 | 53 | 60 | 12 | 125 | 15.17 | |
| China | 321 | 12.69 | 53 | 183 | 64 | 69 | 18 | 150 | 11.86 | |
| Un-OPT | SC | 10.85 | 50 | 156 | 48 | 55 | 11 | 114 | 10.49 | |
| SEC | 13.03 | 54 | 180 | 62 | 68 | 17 | 148 | 11.33 | ||
| CC | 13.16 | 60 | 149 | 61 | 67 | 17 | 145 | 11.03 | ||
| NEC | 9.98 | 27 | 335 | 74 | 80 | 21 | 175 | 17.57 | ||
| SW | 10.98 | 40 | 212 | 53 | 60 | 12 | 125 | 11.41 | ||
| China | 11.60 | 46 | 206 | 61 | 66 | 17 | 143 | 12.35 | ||
| Regions | N Surplus (kg N ha−1) | Crops | References | Notes |
|---|---|---|---|---|
| The Netherlands | 80 | Arable land | [53] | N surplus benchmarks in 2003 |
| Europe | 80 | All cropland | [37] | Overall mean N surplus benchmark |
| World | 53 | Rice | [45] | N surplus benchmarks for 2050 |
| China | 65 | All cropland | [45] | N surplus benchmarks for China in 2050 |
| China | 120 | Rice, rice–rice | [45] | N surplus benchmarks |
| China | 180 | Ratoon rice | This study | Average N surplus for the highest yield |
| China | 138 | Ratoon rice | This study | Average N surplus for the highest NUE |
| China | 183 | Ratoon rice | This study | Average N surplus for the highest grain N uptake |
Publisher’s Note: MDPI stays neutral with regard to jurisdictional claims in published maps and institutional affiliations. |
© 2022 by the authors. Licensee MDPI, Basel, Switzerland. This article is an open access article distributed under the terms and conditions of the Creative Commons Attribution (CC BY) license (https://creativecommons.org/licenses/by/4.0/).
Share and Cite
Hu, R.; Ding, Z.; Li, T.; Zhang, D.; Tian, Y.; Cao, Y.; Hou, J. Optimizing Nitrogen Application for Chinese Ratoon Rice Based on Yield and Reactive Nitrogen Loss. Agriculture 2022, 12, 1064. https://doi.org/10.3390/agriculture12071064
Hu R, Ding Z, Li T, Zhang D, Tian Y, Cao Y, Hou J. Optimizing Nitrogen Application for Chinese Ratoon Rice Based on Yield and Reactive Nitrogen Loss. Agriculture. 2022; 12(7):1064. https://doi.org/10.3390/agriculture12071064
Chicago/Turabian StyleHu, Ren, Zijuan Ding, Tingyu Li, Dingyue Zhang, Yingbing Tian, Yuxian Cao, and Jun Hou. 2022. "Optimizing Nitrogen Application for Chinese Ratoon Rice Based on Yield and Reactive Nitrogen Loss" Agriculture 12, no. 7: 1064. https://doi.org/10.3390/agriculture12071064
APA StyleHu, R., Ding, Z., Li, T., Zhang, D., Tian, Y., Cao, Y., & Hou, J. (2022). Optimizing Nitrogen Application for Chinese Ratoon Rice Based on Yield and Reactive Nitrogen Loss. Agriculture, 12(7), 1064. https://doi.org/10.3390/agriculture12071064
