Biochar-Based Fertilizer Improved Crop Yields and N Utilization Efficiency in a Maize–Chinese Cabbage Rotation System
Abstract
:1. Introduction
2. Materials and Methods
2.1. Site Description
2.2. Experimental Design
2.3. Sampling and Measurements
2.4. Calculations
2.5. Statistical Analyses
3. Results
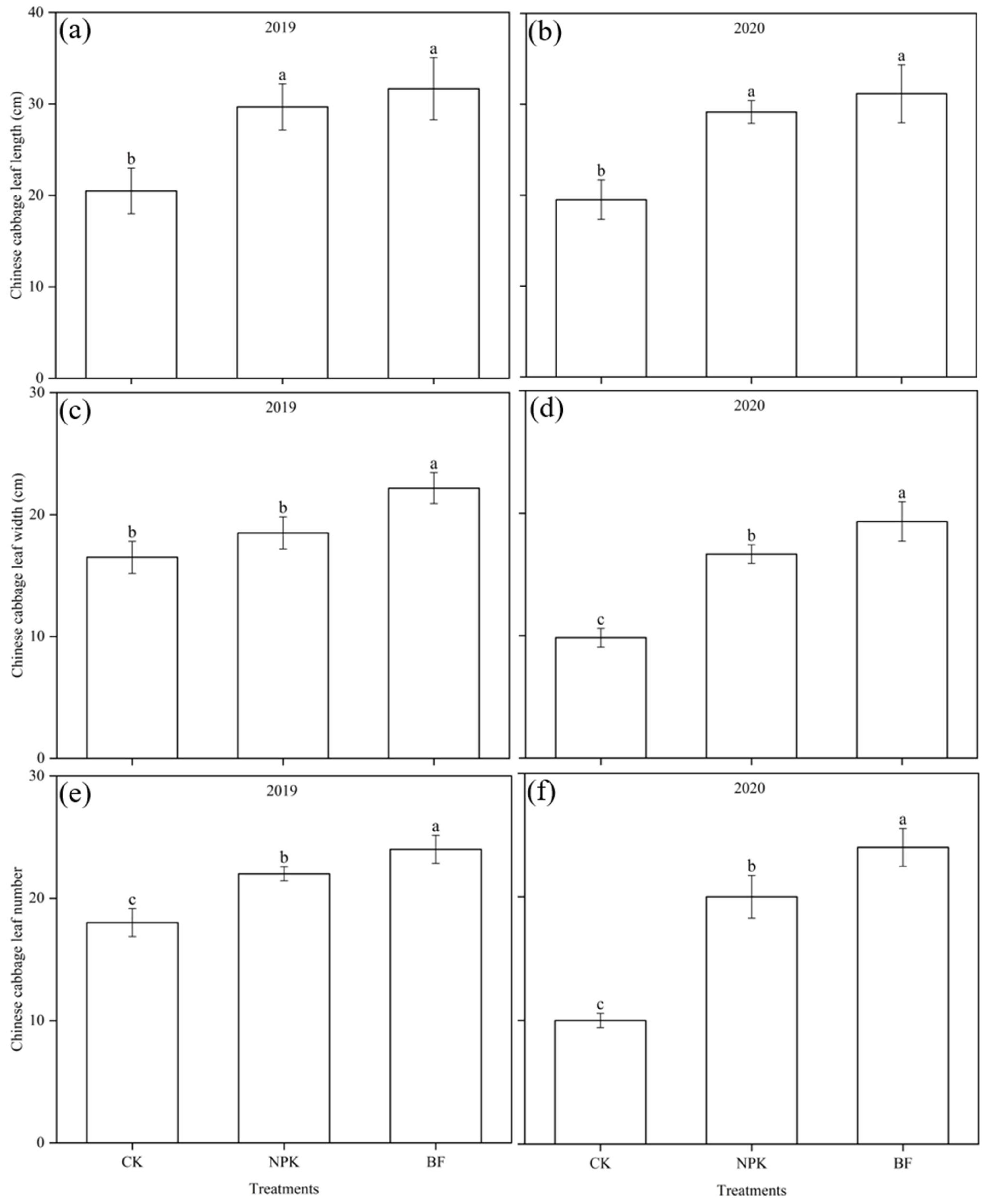
3.1. Crop Yields and Growth-Related Traits
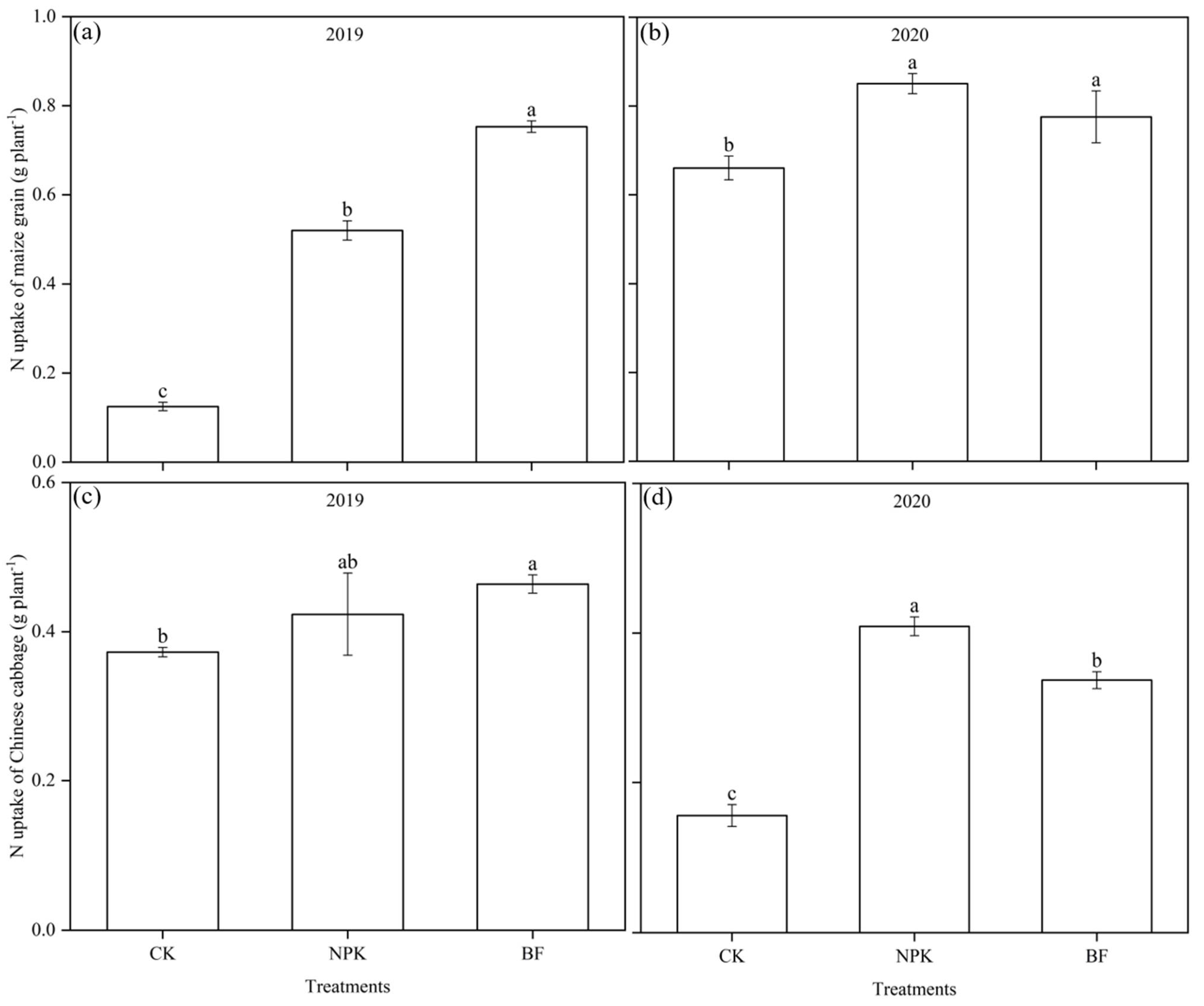
3.2. Crop N Uptake and Utilization Efficiency
3.3. Crop Quality
3.4. Dynamic Changes in Soil NH4+-N, NO3−-N, and Inorganic N
4. Discussion
5. Conclusions
Author Contributions
Funding
Institutional Review Board Statement
Informed Consent Statement
Data Availability Statement
Conflicts of Interest
References
- Azeem, B.; KuShaari, K.; Man, Z.B.; Basit, A.; Thanh, T.H. Review on Materials & Methods to Produce Controlled Release Coated Urea Fertilizer. J. Control. Release 2014, 181, 11–21. [Google Scholar] [CrossRef] [PubMed]
- Brown, M.E.; Hintermann, B.; Higgins, N. Markets, Climate Change, and Food Security in West Africa. Environ. Sci. Technol. 2009, 43, 8016–8020. [Google Scholar] [CrossRef] [PubMed] [Green Version]
- Rashid, M.; Hussain, Q.; Khan, K.S.; Alwabel, M.I.; Hayat, R.; Akmal, M.; Ijaz, S.S.; Alvi, S.; Obaid-ur-Rehman. Carbon-Based Slow-Release Fertilizers for Efficient Nutrient Management: Synthesis, Applications, and Future Research Needs. J. Soil Sci. Plant Nutr. 2021, 21, 1144–1169. [Google Scholar] [CrossRef]
- Xiang, A.H.; Qi, R.Y.; Wang, M.F.; Zhang, K.; Jiang, E.C.; Ren, Y.Z.; Hu, Z.W. Study on the Infiltration Mechanism of Molten Urea and Biochar for a Novel Fertilizer Preparation. Ind. Crops Prod. 2020, 153, 112558. [Google Scholar] [CrossRef]
- Zhang, X.; Davidson, E.A.; Mauzerall, D.L.; Searchinger, T.D.; Dumas, P.; Shen, Y. Managing Nitrogen for Sustainable Development. Nature 2015, 528, 51–59. [Google Scholar] [CrossRef] [Green Version]
- Gao, K.; Yu, Y.F.; Xia, Z.T.; Yang, G.; Xing, Z.L.; Qi, L.T.; Ling, L.Z. Response of Height, Dry Matter Accumulation and Partitioning of Oat (Avena Sativa, L.) to Planting Density and Nitrogen in Horqin Sandy Land. Sci. Rep. 2019, 9, 7961. [Google Scholar] [CrossRef] [Green Version]
- Wu, X.; Hu, H.; Li, S.J.; Zhao, J.N.; Li, J.; Zhang, G.L.; Li, G.; Xiu, W.M. Chemical Fertilizer Reduction with Organic Material Amendments Alters Co-Occurrence Network Patterns of Bacterium-Fungus-Nematode Communities under the Wheat–Maize Rotation Regime. Plant Soil 2022, 473, 605–623. [Google Scholar] [CrossRef]
- Saha, S.; Gopinath, K.A.; Mina, B.L.; Gupta, H.S. Influence of Continuous Application of Inorganic Nutrients to a Maize–Wheat Rotation on Soil Enzyme Activity and Grain Quality in a Rainfed Indian Soil. Eur. J. Soil Biol. 2008, 44, 521–531. [Google Scholar] [CrossRef]
- Francioli, D.; Schulz, E.; Lentendu, G.; Wubet, T.; Buscot, F.; Reitz, T. Mineral vs. Organic Amendments: Microbial Community Structure, Activity and Abundance of Agriculturally Relevant Microbes Are Driven by Long-Term Fertilization Strategies. Front. Microbiol. 2016, 7, 1446. [Google Scholar] [CrossRef] [Green Version]
- González, M.E.; Cea, M.; Medina, J.; González, A.; Diez, M.C.; Cartes, P.; Monreal, C.; Navia, R. Evaluation of Biodegradable Polymers as Encapsulating Agents for the Development of a Urea Controlled-Release Fertilizer Using Biochar as Support Material. Sci. Total Environ. 2015, 505, 446–453. [Google Scholar] [CrossRef]
- Trinh, M.V.; Tesfai, M.; Borrell, A.; Nagothu, U.S.; Bui, T.P.L.; Quynh, V.D.; Thanh, L.Q. Effect of Organic, Inorganic and Slow-Release Urea Fertilisers on CH4 and N2O Emissions from Rice Paddy Fields. Paddy Water Environ. 2017, 15, 317–330. [Google Scholar] [CrossRef]
- Xie, J.; Wang, J.; Hu, Q.J.; Zhang, Y.; Wan, Y.; Zhang, C.M.; Zhang, Y.Q.; Shi, X.J. Optimal N Management Improves Crop Yields and Soil Carbon, Nitrogen Sequestration in Chinese Cabbage-Maize Rotation. Arch. Agron. Soil Sci. 2022, 1–14. [Google Scholar] [CrossRef]
- Wang, C.; Lv, J.; Coulter, J.A.; Xie, J.M.; Yu, J.H.; Li, J.; Zhang, J.; Tang, C.N.; Niu, T.H.; Gan, Y.T. Slow-Release Fertilizer Improves the Growth, Quality, and Nutrient Utilization of Wintering Chinese Chives (Allium tuberosum Rottler Ex Spreng.). Agronomy 2020, 10, 381. [Google Scholar] [CrossRef] [Green Version]
- Zhao, Y.X.; Fan, Z.; Chen, Y.R.; Huang, X.X.; Zhai, S.; Sun, S.C.; Tian, X.F. A Bio-Based Hydrogel Derived from Moldy Steamed Bread as Urea-Formaldehyde Loading for Slow-Release and Water-Retention Fertilizers. ACS Omega 2021, 6, 33462–33469. [Google Scholar] [CrossRef]
- Ndoung, O.C.N.; de Figueiredo, C.C.; Ramos, M.L.G. A Scoping Review on Biochar-Based Fertilizers: Enrichment Techniques and Agro-Environmental Application. Heliyon 2021, 7, e08473. [Google Scholar] [CrossRef]
- Mousavi, S.M.; Srivastava, A.K.; Cheraghi, M. Soil Health and Crop Response of Biochar: An Updated Analysis. Arch. Agron. Soil Sci. 2022, 1–26. [Google Scholar] [CrossRef]
- Khan, M.A.; Kim, K.W.; Mingzhi, W.; Lim, B.K.; Lee, W.H.; Lee, J.Y. Nutrient-Impregnated Charcoal: An Environmentally Friendly Slow-Release Fertilizer. Environmentalist 2008, 28, 231–235. [Google Scholar] [CrossRef]
- El-Naggar, A.; Lee, S.S.; Rinklebe, J.; Farooq, M.; Song, H.; Sarmah, A.K.; Zimmerman, A.R.; Ahmad, M.; Shaheen, S.M.; Ok, Y.S. Biochar Application to Low Fertility Soils: A Review of Current Status, and Future Prospects. Geoderma 2019, 337, 536–554. [Google Scholar] [CrossRef]
- Gao, Y.; Shao, G.C.; Yang, Z.; Zhang, K.; Lu, J.; Wang, Z.Y.; Wu, S.Q.; Xu, D. Influences of Soil and Biochar Properties and Amount of Biochar and Fertilizer on the Performance of Biochar in Improving Plant Photosynthetic Rate: A Meta-Analysis. Eur. J. Agron. 2021, 130, 126345. [Google Scholar] [CrossRef]
- Marcińczyk, M.; Oleszczuk, P. Biochar and Engineered Biochar as Slow-And Controlled-Release Fertilizers. J. Clean. Prod. 2022, 339, 130685. [Google Scholar] [CrossRef]
- Wen, P.; Wu, Z.S.; Han, Y.J.; Cravotto, G.; Wang, J.; Ye, B.C. Microwave-Assisted Synthesis of a Novel Biochar-Based Slow-Release Nitrogen Fertilizer with Enhanced Water-Retention Capacity. ACS Sustain. Chem. Eng. 2017, 5, 7374–7382. [Google Scholar] [CrossRef]
- Melo, L.C.A.; Lehmann, J.; da Carneiro, J.S.S.; Camps-Arbestain, M. Biochar-Based Fertilizer Effects on Crop Productivity: A Meta-Analysis. Plant Soil 2022, 472, 45–58. [Google Scholar] [CrossRef]
- Liu, J.; Liu, H.; Huang, S.M.; Yang, X.Y.; Wang, B.R.; Li, X.Y.; Ma, Y.B. Nitrogen Efficiency in Long-Term Wheat–Maize Cropping Systems under Diverse Field Sites in China. Field Crops Res. 2010, 118, 145–151. [Google Scholar] [CrossRef]
- Zhang, M.; Tian, Y.H.; Zhao, M.; Yin, B.; Zhu, Z.L. The Assessment of Nitrate Leaching in a Rice–Wheat Rotation System Using an Improved Agronomic Practice Aimed to Increase Rice Crop Yields. Agric. Ecosyst. Environ. 2017, 241, 100–109. [Google Scholar] [CrossRef]
- Zhang, T.; Chen, A.Q.; Liu, J.; Liu, H.B.; Lei, B.K.; Zhai, L.M.; Zhang, D.; Wang, H.Y. Cropping Systems Affect Paddy Soil Organic Carbon and Total Nitrogen Stocks (in Rice-Garlic and Rice-Fava Systems) in Temperate Region of Southern China. Sci. Total Environ. 2017, 609, 1640–1649. [Google Scholar] [CrossRef] [PubMed]
- Luo, M.J.; Shi, Y.X.; Yang, Y.; Zhao, Y.X.; Zhang, Y.X.; Shi, Y.M.; Kong, M.S.; Li, C.H.; Feng, Z.; Fan, Y.L.; et al. Sequence Polymorphism of the Waxy Gene in Waxy Maize Accessions and Characterization of a New Waxy Allele. Sci. Rep. 2020, 10, 15851. [Google Scholar] [CrossRef]
- Xie, Y.X.; Li, J.P.; Guo, X.; Zhao, J.; Yang, B.; Xiao, W.W.; Yang, H.F. Health Status among Greenhouse Workers Exposed to Different Levels of Pesticides: A Genetic Matching Analysis. Sci. Rep. 2020, 10, 8714. [Google Scholar] [CrossRef]
- Bai, H.Y.; Xiao, J.Z. Experimental Research and Statistical Analysis; World Book Press: Xian, China, 1998. (In Chinese) [Google Scholar]
- Bao, S. Methods for Soil Agricultural and Chemical Analysis; China Agriculture Press: Beijing, China, 2000. (In Chinese) [Google Scholar]
- Hartmann, T.E.; Yue, S.C.; Schulz, R.; He, X.K.; Chen, X.P.; Zhang, F.S.; Müller, T. Yield and N Use Efficiency of a Maize–Wheat Cropping System as Affected by Different Fertilizer Management Strategies in a Farmer’s Field of the North China Plain. Field Crops Res. 2015, 174, 30–39. [Google Scholar] [CrossRef]
- Manna, M.C.; Swarup, A.; Wanjari, R.H.; Mishra, B.; Shahi, D.K. Long-Term Fertilization, Manure and Liming Effects on Soil Organic Matter and Crop Yields. Soil Tillage Res. 2007, 94, 397–409. [Google Scholar] [CrossRef]
- Körschens, M.; Albert, E.; Armbruster, M.; Barkusky, D.; Baumecker, M.; Behle-Schalk, L.; Bischoff, R.; Čergan, Z.; Ellmer, F.; Herbst, F.; et al. Effect of Mineral and Organic Fertilization on Crop Yield, Nitrogen Uptake, Carbon and Nitrogen Balances, as Well as Soil Organic Carbon Content and Dynamics: Results from 20 European Long-Term Field Experiments of the Twenty-First Century. Arch. Agron. Soil Sci. 2013, 59, 1017–1040. [Google Scholar] [CrossRef]
- Shi, W.; Bian, R.J.; Li, L.Q.; Lian, W.L.; Liu, X.Y.; Zheng, J.F.; Cheng, K.; Zhang, X.H.; Drosos, M.; Joseph, S.; et al. Assessing the Impacts of Biochar-blended Urea on Nitrogen Use Efficiency and Soil Retention in Wheat Production. GCB Bioenergy 2022, 14, 65–83. [Google Scholar] [CrossRef]
- Qian, L.; Chen, L.; Joseph, S.; Pan, G.X.; Li, L.Q.; Zheng, J.W.; Zhang, X.H.; Zheng, J.F.; Yu, X.Y.; Wang, J.F. Biochar Compound Fertilizer as an Option to Reach High Productivity but Low Carbon Intensity in Rice Agriculture of China. Carbon Manag. 2014, 5, 145–154. [Google Scholar] [CrossRef]
- Ma, Q.H. The Expression of Caffeic Acid 3-O-Methyltransferase in Two Wheat Genotypes Differing in Lodging Resistance. J. Exp. Bot. 2009, 60, 2763–2771. [Google Scholar] [CrossRef] [Green Version]
- Miclaus, M.; Balacescu, O.; Has, I.; Balacescu, L.; Has, V.; Suteu, D.; Neuenschwander, S.; Keller, I.; Bruggmann, R. Maize Cytolines Unmask Key Nuclear Genes That Are under the Control of Retrograde Signaling Pathways in Plants. Genome Biol. Evol. 2016, 8, 3256–3270. [Google Scholar] [CrossRef] [PubMed]
- Wei, L.; Zhang, X.; Zhang, Z.H.; Liu, H.H.; Lin, Z.W. A New Allele of the Brachytic2 Gene in Maize Can Efficiently Modify Plant Architecture. Heredity 2018, 121, 75–86. [Google Scholar] [CrossRef] [PubMed]
- Chen, Y.Q.; Zhou, Q.Q.; Tian, R.M.; Ma, Z.H.; Zhao, X.F.; Tang, J.H.; Fu, Z.Y. Proteomic Analysis Reveals That Auxin Homeostasis Influences the Eighth Internode Length Heterosis in Maize (Zea mays). Sci. Rep. 2018, 8, 7159. [Google Scholar] [CrossRef]
- Ali, L.; Manzoor, N.; Li, X.Q.; Naveed, M.; Nadeem, S.M.; Waqas, M.R.; Khalid, M.; Abbas, A.; Ahmed, T.; Li, B.; et al. Impact of Corn Cob-Derived Biochar in Altering Soil Quality, Biochemical Status and Improving Maize Growth under Drought Stress. Agronomy 2021, 11, 2300. [Google Scholar] [CrossRef]
- Abbasi, M.K.; Tahir, M.M.; Sadiq, A.; Iqbal, M.; Zafar, M. Yield and Nitrogen Use Efficiency of Rainfed Maize Response to Splitting and Nitrogen Rates in Kashmir, Pakistan. Agron. J. 2012, 104, 448–457. [Google Scholar] [CrossRef]
- Abbasi, M.K.; Tahir, M.M.; Rahim, N. Effect of N Fertilizer Source and Timing on Yield and N Use Efficiency of Rainfed Maize (Zea Mays L.) in Kashmir–Pakistan. Geoderma 2013, 195, 87–93. [Google Scholar] [CrossRef]
- Azeez, J.O.; Adetunji, M.T.; Lagoke, S.T.O. Response of Low-Nitrogen Tolerant Maize Genotypes to Nitrogen Application in a Tropical Alfisol in Northern Nigeria. Soil Tillage Res. 2006, 91, 181–185. [Google Scholar] [CrossRef]
- Iqbal, A.; He, L.; Khan, A.; Wei, S.Q.; Akhtar, K.; Ali, I.; Ullah, S.; Munsif, F.; Zhao, Q.; Jiang, L.G. Organic Manure Coupled with Inorganic Fertilizer: An Approach for the Sustainable Production of Rice by Improving Soil Properties and Nitrogen Use Efficiency. Agronomy 2019, 9, 651. [Google Scholar] [CrossRef] [Green Version]
- Abou-Zied, S.T.; Sibak, H.A.; Abd El-Latif, A.L.; Essa, R.E. Diffusion Rate and Activity Index of Some Slow Release Nitrogen Fertilizer. Egypt. J. Soil Sci. 2018, 58, 255–266. [Google Scholar] [CrossRef]
- Van Drecht, G.; Bouwman, A.F.; Knoop, J.M.; Beusen, A.H.W.; Meinardi, C.R. Global Modeling of the Fate of Nitrogen from Point and Nonpoint Sources in Soils, Groundwater, and Surface Water. Glob. Biogeochem. Cycles 2003, 17, 1115. [Google Scholar] [CrossRef]
- Zheng, J.F.; Han, J.M.; Liu, Z.W.; Xia, W.B.; Zhang, X.H.; Li, L.Q.; Liu, X.Y.; Bian, R.J.; Cheng, K.; Zheng, J.W.; et al. Biochar Compound Fertilizer Increases Nitrogen Productivity and Economic Benefits but Decreases Carbon Emission of Maize Production. Agric. Ecosyst. Environ. 2017, 241, 70–78. [Google Scholar] [CrossRef]
- Rasse, D.P.; Weldon, S.; Joner, E.J.; Joseph, S.; Kammann, C.I.; Liu, X.Y.; O’Toole, A.; Pan, G.X.; Kocatürk-Schumacher, N.P. Enhancing Plant N Uptake with Biochar-Based Fertilizers: Limitation of Sorption and Prospects. Plant Soil 2022, 475, 213–236. [Google Scholar] [CrossRef]
- An, X.F.; Wu, Z.S.; Yu, J.Z.; Cravotto, G.; Liu, X.C.; Li, Q.; Yu, B. Copyrolysis of Biomass, Bentonite, and Nutrients as a New Strategy for the Synthesis of Improved Biochar-Based Slow-Release Fertilizers. ACS Sustain. Chem. Eng. 2020, 8, 3181–3190. [Google Scholar] [CrossRef]
- Zhang, J.Z.; Li, B.S.; Zhang, J.L.; Christie, P.; Li, X.L. Organic Fertilizer Application and Mg Fertilizer Promote Banana Yield and Quality in an Udic Ferralsol. PLoS ONE 2020, 15, e0230593. [Google Scholar] [CrossRef]
- Maignan, V.; Bernay, B.; Géliot, P.; Avice, J.C. Biostimulant Effects of Glutacetine® and Its Derived Formulations Mixed with N Fertilizer on Post-Heading N Uptake and Remobilization, Seed Yield, and Grain Quality in Winter Wheat. Front. Plant Sci. 2020, 11, 607615. [Google Scholar] [CrossRef]
- Sánchez-Rodríguez, A.R.; Rey, M.D.; Nechate-Drif, H.; Castillejo, M.Á.; Jorrín-Novo, J.V.; Torrent, J.; del Campillo, M.C.; Sacristán, D. Combining P and Zn Fertilization to Enhance Yield and Grain Quality in Maize Grown on Mediterranean Soils. Sci. Rep. 2021, 11, 7427. [Google Scholar] [CrossRef]
- Rehman, A.; Farrukh Saleem, M.F.; Ehsan Safdar, M.E.; Hussain, S.; Akhtar, N. Grain Quality, Nutrient Use Efficiency, and Bioeconomics of Maize under Different Sowing Methods and NPK Levels. Chil. J. Agric. Res. 2011, 71, 586–593. [Google Scholar] [CrossRef] [Green Version]
- Simić, M.; Dragičević, V.; Drinic, S.M.; Vukadinović, J.; Kresović, B.; Tabaković, M.; Brankov, M. The Contribution of Soil Tillage and Nitrogen Rate to the Quality of Maize Grain. Agronomy 2020, 10, 976. [Google Scholar] [CrossRef]
- Fan, S.K.; Zhu, J.; Tian, W.H.; Guan, M.Y.; Fang, X.Z.; Jin, C.W. Effects of Split Applications of Nitrogen Fertilizers on the Cd Level and Nutritional Quality of Chinese Cabbage. J. Zhejiang Univ. Sci. B 2017, 18, 897–905. [Google Scholar] [CrossRef] [PubMed] [Green Version]
- Kalu, S.; Oyekoya, G.N.; Ambus, P.; Tammeorg, P.; Simojoki, A.; Pihlatie, M.; Karhu, K. Effects of Two Wood-Based Biochars on the Fate of Added Fertilizer Nitrogen—A 15N Tracing Study. Biol. Fertil. Soils 2021, 57, 457–470. [Google Scholar] [CrossRef]
- Thiyagarajan, T.M.; Stalin, P.; Dobermann, A.; Cassman, K.G.; ten Berge, H.F.M. Soil N Supply and Plant N Uptake by Irrigated Rice in Tamil Nadu. Field Crops Res. 1997, 51, 55–64. [Google Scholar] [CrossRef]
- Guo, B.B.; Liu, B.C.; He, L.; Wang, Y.Y.; Feng, W.; Zhu, Y.J.; Jiao, N.Y.; Wang, C.Y.; Guo, T.C. Root and Nitrate-N Distribution and Optimization of N Input in Winter Wheat. Sci. Rep. 2019, 9, 18018. [Google Scholar] [CrossRef]
- Mahmood, T.; Kaiser, W.M. Growth and Solute Composition of the Salt-Tolerant Kallar Grass [Leptochloa Fusca (L.) Kunth] as Affected by Nitrogen Source. Plant Soil 2003, 252, 359–366. [Google Scholar] [CrossRef]
- Galloway, J.N.; Townsend, A.R.; Erisman, J.W.; Bekunda, M.; Cai, Z.; Freney, J.R.; Martinelli, L.A.; Seitzinger, S.P.; Sutton, M.A. Transformation of the Nitrogen Cycle: Recent Trends, Questions, and Potential Solutions. Science 2008, 320, 889–892. [Google Scholar] [CrossRef] [Green Version]
- Chen, J.; Lü, S.Y.; Zhang, Z.; Zhao, X.X.; Li, X.M.; Ning, P.; Liu, M.Z. Environmentally Friendly Fertilizers: A Review of Materials Used and Their Effects on the Environment. Sci. Total Environ. 2018, 613, 829–839. [Google Scholar] [CrossRef] [PubMed]
- Gao, Y.X.; Song, X.; Liu, K.X.; Li, T.G.; Zheng, W.K.; Wang, Y.; Liu, Z.G.; Zhang, M.; Chen, Q.; Li, Z.L.; et al. Mixture of Controlled-Release and Conventional Urea Fertilizer Application Changed Soil Aggregate Stability, Humic Acid Molecular Composition, and Maize Nitrogen Uptake. Sci. Total Environ. 2021, 789, 147778. [Google Scholar] [CrossRef]
- Agegnehu, G.; Srivastava, A.K.; Bird, M.I. The Role of Biochar and Biochar-Compost in Improving Soil Quality and Crop Performance: A Review. Appl. Soil Ecol. 2017, 119, 156–170. [Google Scholar] [CrossRef]







Publisher’s Note: MDPI stays neutral with regard to jurisdictional claims in published maps and institutional affiliations. |
© 2022 by the authors. Licensee MDPI, Basel, Switzerland. This article is an open access article distributed under the terms and conditions of the Creative Commons Attribution (CC BY) license (https://creativecommons.org/licenses/by/4.0/).
Share and Cite
Zhao, H.; Xie, T.; Xiao, H.; Gao, M. Biochar-Based Fertilizer Improved Crop Yields and N Utilization Efficiency in a Maize–Chinese Cabbage Rotation System. Agriculture 2022, 12, 1030. https://doi.org/10.3390/agriculture12071030
Zhao H, Xie T, Xiao H, Gao M. Biochar-Based Fertilizer Improved Crop Yields and N Utilization Efficiency in a Maize–Chinese Cabbage Rotation System. Agriculture. 2022; 12(7):1030. https://doi.org/10.3390/agriculture12071030
Chicago/Turabian StyleZhao, Huan, Tingting Xie, Houjun Xiao, and Ming Gao. 2022. "Biochar-Based Fertilizer Improved Crop Yields and N Utilization Efficiency in a Maize–Chinese Cabbage Rotation System" Agriculture 12, no. 7: 1030. https://doi.org/10.3390/agriculture12071030
APA StyleZhao, H., Xie, T., Xiao, H., & Gao, M. (2022). Biochar-Based Fertilizer Improved Crop Yields and N Utilization Efficiency in a Maize–Chinese Cabbage Rotation System. Agriculture, 12(7), 1030. https://doi.org/10.3390/agriculture12071030

