The Application of Machine Learning Models Based on Leaf Spectral Reflectance for Estimating the Nitrogen Nutrient Index in Maize
Abstract
1. Introduction
2. Materials and Methods
2.1. Experimental Site and Experimental Design
2.2. Data Collection
2.2.1. Leaf Hyperspectral Data Measurement
2.2.2. Crop Biophysical and Biochemical Variable Measurement
2.3. NNI Calculation
2.4. Effective Band Selection
2.5. Model
2.5.1. Partial Least Squares Regression
2.5.2. Artificial Neural Network Algorithm
2.5.3. Support Vector Machine Algorithm
2.6. Data Analysis
2.6.1. Training and Validation Datasets
2.6.2. Statistical Analysis
3. Results
3.1. Construction of Critical Nitrogen Concentration Dilution Curve Based on Maize LDM
3.2. Leaf NNI
3.2.1. Statistical Results of Maize Leaf NNI Dataset
3.2.2. Dynamic Changes of Maize NNI under Different Nitrogen Application Conditions
3.3. Dynamic Changes in Maize Leaf Spectrum under Different Nitrogen Application Conditions
3.4. NNI Estimation
3.4.1. Maize NNI Estimation Model Based on Full-Band Reflectance
3.4.2. Maize NNI Estimation Model Based on Effective Bands Reflectance
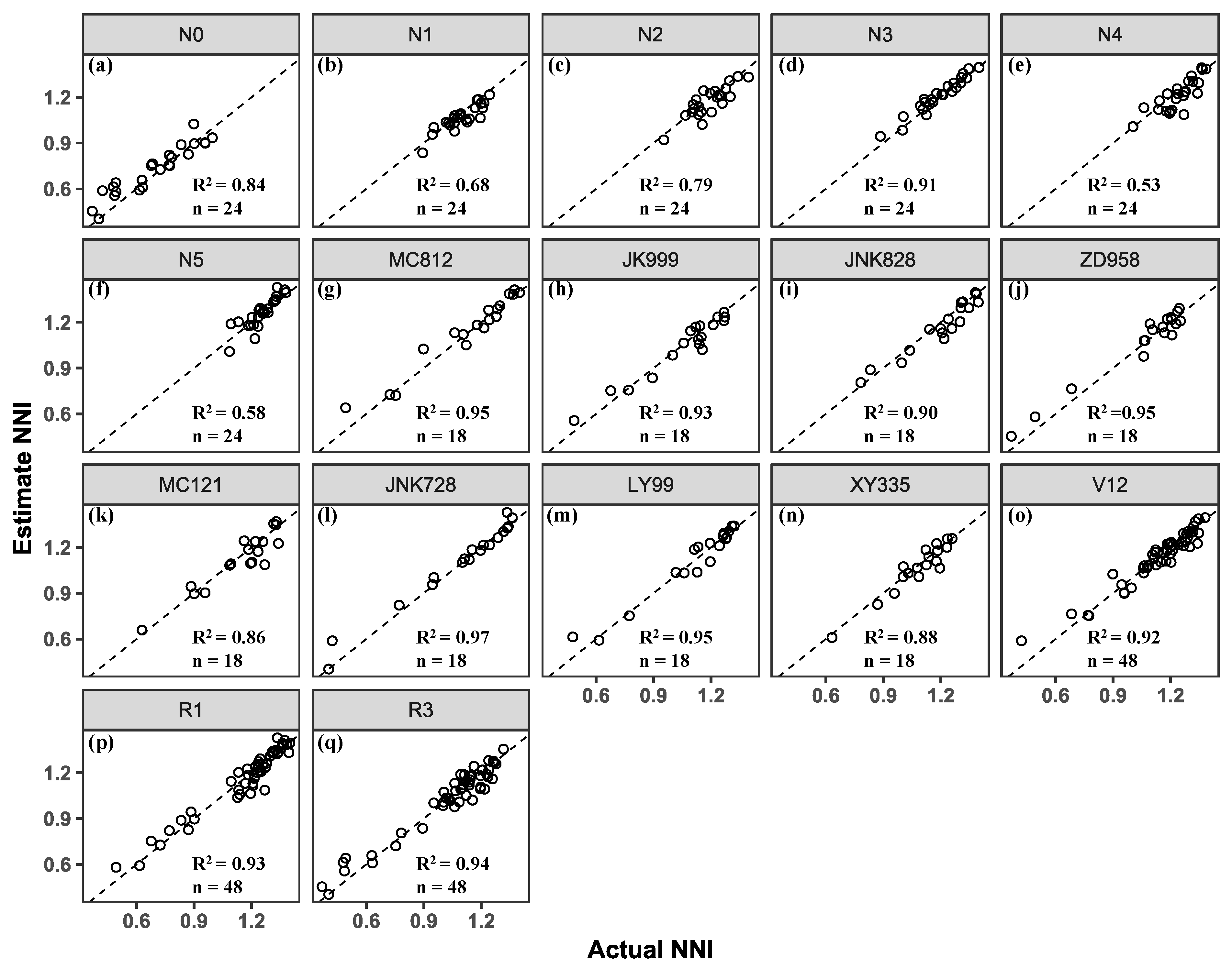
3.5. Model Accuracy for Different Cultivars, Growth Stages, and Nitrogen Treatments
4. Discussion
4.1. Comparison with Other Nc Dilution Curves
4.2. Response of NNI to Leaf Spectra
4.3. Optimal Model for Maize NNI Estimation
5. Conclusions
Supplementary Materials
Author Contributions
Funding
Institutional Review Board Statement
Data Availability Statement
Conflicts of Interest
References
- Berger, K.; Verrelst, J.; Féret, J.-B.; Wang, Z.; Wocher, M.; Strathmann, M.; Danner, M.; Mauser, W.; Hank, T. Crop Nitrogen Monitoring: Recent Progress and Principal Developments in the Context of Imaging Spectroscopy Missions. Remote Sens. Environ. 2020, 242, 111758. [Google Scholar] [CrossRef]
- Li, L.; Lu, J.; WANG, S.; MA, Y.; Wei, Q.; Li, X.; Cong, R. Methods for estimating leaf nitrogen concentration of winter oilseed rape (Brassica napus L.) using in situ leaf spectroscopy. Ind. Crops Prod. 2016, 91, 194–204. [Google Scholar] [CrossRef]
- Ata-Ul-Karim, S.T.; Cao, Q.; Zhu, Y.; Tang, L.; Rehmani, M.I.A.; Cao, W. Non-Destructive Assessment of Plant Nitrogen Parameters Using Leaf Chlorophyll Measurements in Rice. Front. Plant Sci. 2016, 7, 1829. [Google Scholar] [CrossRef] [PubMed]
- SchroÈder, J.J.; Neeteson, J.J.; Oenema, O.; Struik, P.C. Does the Crop or the Soil Indicate How to Save Nitrogen in Maize Production? Reviewing the State of the Art. Field Crops Res. 2000, 16, 151–164. [Google Scholar] [CrossRef]
- Xiao, J.; Wang, Q.; Ge, X.; Zhu, L.; Li, X.; Yang, X.; Ouyang, H.; Wu, J. Defining the Ecological Efficiency of Nitrogen Use in the Context of Nitrogen Cycling. Ecol. Indic. 2019, 107, 105493. [Google Scholar] [CrossRef]
- Wang, Y.; Wang, D.; Shi, P.; Omasa, K. Estimating Rice Chlorophyll Content and Leaf Nitrogen Concentration with a Digital Still Color Camera under Natural Light. Plant Methods 2014, 10, 36. [Google Scholar] [CrossRef]
- Chen, P.; Haboudane, D.; Tremblay, N.; Wang, J.; Vigneault, P.; Li, B. New Spectral Indicator Assessing the Efficiency of Crop Nitrogen Treatment in Maize and Wheat. Remote Sens. Environ. 2010, 114, 1987–1997. [Google Scholar] [CrossRef]
- Plenet, D.; Lemaire, G. Relationships between Dynamics of Nitrogen Uptake and Dry Matter Accumulation in Maize Crops. Determination of Critical N Concentration. Plant Soil 1999, 18, 65–82. [Google Scholar] [CrossRef]
- Ata-Ul-Karim, S.T.; Yao, X.; Liu, X.; Cao, W.; Zhu, Y. Development of critical nitrogen dilution curve of Japonica rice in Yangtze River Reaches. Field Crops Res. 2013, 208, 60–68. [Google Scholar] [CrossRef]
- Yao, X.; Ata-Ul-Karim, S.T.; Zhu, Y.; Tian, Y.; Liu, X.; Cao, W. Development of Critical Nitrogen Dilution Curve in Rice Based on Leaf Dry Matter. Eur. J. Agron. 2014, 55, 20–28. [Google Scholar] [CrossRef]
- Yao, X.; Zhao, B.; Tian, Y.C.; Liu, X.J.; Ni, J.; Cao, W.X.; Zhu, Y. Using Leaf Dry Matter to Quantify the Critical Nitrogen Dilution Curve for Winter Wheat Cultivated in Eastern China. Field Crops Res. 2014, 159, 33–42. [Google Scholar] [CrossRef]
- Weymann, W.; Sieling, K.; Kage, H. Organ-Specific Approaches Describing Crop Growth of Winter Oilseed Rape under Optimal and N-Limited Conditions. Eur. J. Agron. 2017, 82, 71–79. [Google Scholar] [CrossRef]
- Ata-Ul-Karim, S.T.; Zhu, Y.; Liu, X.; Cao, Q.; Tian, Y.; Cao, W. Comparison of Different Critical Nitrogen Dilution Curves for Nitrogen Diagnosis in Rice. Sci. Rep. 2017, 7, 42679. [Google Scholar] [CrossRef] [PubMed]
- Ke, M.; Wang, W.; Zhou, Q.; Wang, Y.; Liu, Y.; Yu, Y.; Chen, Y.; Peng, Z.; Mo, Q. Response of Leaf Functional Traits to Precipitation Change: A Case Study from Tropical Woody Tree. Glob. Ecol. Conserv. 2022, 37, e02152. [Google Scholar] [CrossRef]
- He, J.; Ma, J.; Cao, Q.; Wang, X.; Yao, X.; Cheng, T.; Zhu, Y.; Cao, W.; Tian, Y. Development of Critical Nitrogen Dilution Curves for Different Leaf Layers within the Rice Canopy. Eur. J. Agron. 2022, 132, 126414. [Google Scholar] [CrossRef]
- Li, X.; Ata-UI-Karim, S.T.; Li, Y.; Yuan, F.; Miao, Y.; Yoichiro, K.; Cheng, T.; Tang, L.; Tian, X.; Liu, X.; et al. Advances in the Estimations and Applications of Critical Nitrogen Dilution Curve and Nitrogen Nutrition Index of Major Cereal Crops. A Review. Comput. Electron. Agric. 2022, 197, 106998. [Google Scholar] [CrossRef]
- Lemaire, G.; Jeuffroy, M.-H.; Gastal, F. Diagnosis Tool for Plant and Crop N Status in Vegetative Stage. Eur. J. Agron. 2008, 28, 614–624. [Google Scholar] [CrossRef]
- Yao, X.; Zhu, Y.; Tian, Y.; Feng, W.; Cao, W. Exploring Hyperspectral Bands and Estimation Indices for Leaf Nitrogen Accumulation in Wheat. Int. J. Appl. Earth Obs. Geoinf. 2010, 12, 89–100. [Google Scholar] [CrossRef]
- Hansen, P.M.; Schjoerring, J.K. Reflectance Measurement of Canopy Biomass and Nitrogen Status in Wheat Crops Using Normalized Difference Vegetation Indices and Partial Least Squares Regression. Remote Sens. Environ. 2003, 86, 542–553. [Google Scholar] [CrossRef]
- White, J.D.; Trotter, C.M.; Brown, L.J.; Scott, N. Nitrogen Concentration in New Zealand Vegetation Foliage Derived from Laboratory and Field Spectrometry. Remote Sens. Lett. 2000, 21, 2525–2531. [Google Scholar] [CrossRef]
- Mistele, B.; Schmidhalter, U. Estimating the Nitrogen Nutrition Index Using Spectral Canopy Reflectance Measurements. Eur. J. Agron. 2008, 29, 184–190. [Google Scholar] [CrossRef]
- Zhao, B.; Duan, A.; Ata-Ul-Karim, S.T.; Liu, Z.; Chen, Z.; Gong, Z.; Zhang, J.; Xiao, J.; Liu, Z.; Qin, A.; et al. Exploring New Spectral Bands and Vegetation Indices for Estimating Nitrogen Nutrition Index of Summer Maize. Eur. J. Agron. 2018, 93, 113–125. [Google Scholar] [CrossRef]
- Cao, C.; Wang, T.; Gao, M.; Li, Y.; Li, D.; Zhang, H. Hyperspectral Inversion of Nitrogen Content in Maize Leaves Based on Different Dimensionality Reduction Algorithms. Comput. Electron. Agric. 2021, 190, 106461. [Google Scholar] [CrossRef]
- Shu, M.; Shen, M.; Zuo, J.; Yin, P.; Wang, M.; Xie, Z.; Tang, J.; Wang, R.; Li, B.; Yang, X.; et al. The Application of UAV-Based Hyperspectral Imaging to Estimate Crop Traits in Maize Inbred Lines. Plant Phenomics 2021, 2021, 1–14. [Google Scholar] [CrossRef] [PubMed]
- Saha, D.; Manickavasagan, A. Machine Learning Techniques for Analysis of Hyperspectral Images to Determine Quality of Food Products: A Review. Curr. Res. Food Sci. 2021, 4, 28–44. [Google Scholar] [CrossRef]
- Zhang, J.; Zhang, D.; Cai, Z.; Wang, L.; Wang, J.; Sun, L.; Fan, X.; Shen, S.; Zhao, J. Spectral Technology and Multispectral Imaging for Estimating the Photosynthetic Pigments and SPAD of the Chinese Cabbage Based on Machine Learning. Comput. Electron. Agric. 2022, 195, 106814. [Google Scholar] [CrossRef]
- Qiu, Z.; Ma, F.; Li, Z.; Xu, X.; Ge, H.; Du, C. Estimation of Nitrogen Nutrition Index in Rice from UAV RGB Images Coupled with Machine Learning Algorithms. Comput. Electron. Agric. 2021, 189, 106421. [Google Scholar] [CrossRef]
- Li, M.; Zhao, J.; Yang, X. Building a New Machine Learning-Based Model to Estimate County-Level Climatic Yield Variation for Maize in Northeast China. Comput. Electron. Agric. 2021, 191, 106557. [Google Scholar] [CrossRef]
- Fu, Y.; Yang, G.; Pu, R.; Li, Z.; Li, H.; Xu, X.; Song, X.; Yang, X.; Zhao, C. An Overview of Crop Nitrogen Status Assessment Using Hyperspectral Remote Sensing: Current Status and Perspectives. Eur. J. Agron. 2021, 124, 126241. [Google Scholar] [CrossRef]
- Wang, S.; Huang, X.; Zhang, Y.; Yin, C.; Richel, A. The effect of corn straw return on maize production in Northeast China: An integrated regional evaluation with meta-analysis and system dynamics. Resour. Conserv. Recycl. 2021, 167, 105402. [Google Scholar] [CrossRef]
- Liu, Z.; Gao, J.; Gao, F.; Liu, P.; Zhao, B.; Zhang, J. Late Harvest Improves Yield and Nitrogen Utilization Efficiency of Summer Maize. Field Crops Res. 2019, 232, 88–94. [Google Scholar] [CrossRef]
- Zhu, Q.; Liu, X.; Hao, T.; Zeng, M.; Shen, J.; Zhang, F.; de Vries, W. Cropland Acidification Increases Risk of Yield Losses and Food Insecurity in China. Environ. Pollut. 2020, 256, 113145. [Google Scholar] [CrossRef] [PubMed]
- Thomas, R.L.; Sheard, R.W.; Moyer, J.R. Comparison of Conventional and Automated Procedures for Nitrogen, Phosphorus, and Potassium Analysis of Plant Material Using a Single Digestion 1. Agron. J. 1967, 59, 240–243. [Google Scholar] [CrossRef]
- Lemaire, G.; van Oosterom, E.; Sheehy, J.; Jeuffroy, M.H.; Massignam, A.; Rossato, L. Is Crop N Demand More Closely Related to Dry Matter Accumulation or Leaf Area Expansion during Vegetative Growth? Field Crops Res. 2007, 100, 91–106. [Google Scholar] [CrossRef]
- Li, H.; Liang, Y.; Xu, Q.; Cao, D. Key Wavelengths Screening Using Competitive Adaptive Reweighted Sampling Method for Multivariate Calibration. Anal. Chim. Acta 2009, 648, 77–84. [Google Scholar] [CrossRef]
- Fan, W.; Shan, Y.; Li, G.; Lv, H.; Li, H.; Liang, Y. Application of Competitive Adaptive Reweighted Sampling Method to Determine Effective Wavelengths for Prediction of Total Acid of Vinegar. Food Anal. Methods 2012, 5, 585–590. [Google Scholar] [CrossRef]
- Cao, Q.; Yang, G.; Duan, D.; Chen, L.; Wang, F.; Xu, B.; Zhao, C.; Niu, F. Combining Multispectral and Hyperspectral Data to Estimate Nitrogen Status of Tea Plants (Camellia sinensis (L.) O. Kuntze) under Field Conditions. Comput. Electron. Agric. 2022, 198, 107084. [Google Scholar] [CrossRef]
- Pullanagari, R.R.; Yule, I.J.; Tuohy, M.P.; Hedley, M.J.; Dynes, R.A.; King, W.M. In-Field Hyperspectral Proximal Sensing for Estimating Quality Parameters of Mixed Pasture. Precis. Agric 2012, 13, 351–369. [Google Scholar] [CrossRef]
- Kusumo, B.H.; Hedley, C.B.; Hedley, M.J.; Hueni, A.; Tuohy, M.P.; Arnold, G.C. The Use of Diffuse Reflectance Spectroscopy for in Situ Carbon and Nitrogen Analysis of Pastoral Soils. Soil Res. 2008, 46, 623. [Google Scholar] [CrossRef]
- Hecht-Nielsen, R.; Drive, O.; Diego, S. Theory of the Backpropagation Neural Network; Academic Press: Cambridge, MA, USA, 1992. [Google Scholar]
- Wang, S.; Guan, K.; Zhang, C.; Lee, D.; Margenot, A.J.; Ge, Y.; Peng, J.; Zhou, W.; Zhou, Q.; Huang, Y. Using Soil Library Hyperspectral Reflectance and Machine Learning to Predict Soil Organic Carbon: Assessing Potential of Airborne and Spaceborne Optical Soil Sensing. Remote Sens. Environ. 2022, 271, 112914. [Google Scholar] [CrossRef]
- Cortes, C.; Vapnik, V. Support-Vector Networks. Mach. Learn. 1995, 20, 273–297. [Google Scholar] [CrossRef]
- Smola, A.J.; Schölkopf, B. A Tutorial on Support Vector Regression. Stat. Comput. 2004, 14, 199–222. [Google Scholar] [CrossRef]
- Justes, E. Determination of a Critical Nitrogen Dilution Curve for Winter Wheat Crops. Ann. Bot. 1994, 74, 397–407. [Google Scholar] [CrossRef]
- Sieling, K.; Kage, H. Organ-Specific Critical N Dilution Curves and Derived NNI Relationships for Winter Wheat, Winter Oilseed Rape and Maize. Eur. J. Agron. 2021, 130, 126365. [Google Scholar] [CrossRef]
- Zhao, B.; Ata-Ul-Karim, S.T.; Liu, Z.; Ning, D.; Xiao, J.; Liu, Z.; Qin, A.; Nan, J.; Duan, A. Development of a Critical Nitrogen Dilution Curve Based on Leaf Dry Matter for Summer Maize. Field Crops Res. 2017, 208, 60–68. [Google Scholar] [CrossRef]
- Herrmann, A.; Taube, F. The Range of the Critical Nitrogen Dilution Curve for Maize (Zea mays L.) Can Be Extended Until Silage Maturity. Agron. J. 2004, 96, 1131–1138. [Google Scholar] [CrossRef]
- Li, W.; He, P.; Jin, J. CRITICAL NITROGEN CURVE AND NITROGEN NUTRITION INDEX FOR SPRING MAIZE IN NORTH-EAST CHINA. J. Plant Nutr. 2012, 35, 1747–1761. [Google Scholar] [CrossRef]
- Ye, Y.; Wen, Z.; Yang, H.; Lu, W.; Lu, D. Effects of Post-Silking Water Deficit on the Leaf Photosynthesis and Senescence of Waxy Maize. J. Integr. Agric. 2020, 19, 2216–2228. [Google Scholar] [CrossRef]
- Barbieri, P.A.; Echeverría, H.E.; Rozas, H.R.S.; Andrade, F.H. Nitrogen Status in Maize Grown at Different Row Spacings and Nitrogen Availability. Can. J. Plant Sci. 2013, 93, 1049–1058. [Google Scholar] [CrossRef]
- Liang, X.-G.; Zhang, Z.-L.; Zhou, L.-L.; Shen, S.; Gao, Z.; Zhang, L.; Lin, S.; Pan, Y.-Q.; Zhou, S.-L. Localization of Maize Critical N Curve and Estimation of NNI by Chlorophyll. Int. J. Plant Prod. 2018, 12, 85–94. [Google Scholar] [CrossRef]
- Kokaly, R. Spectroscopic Determination of Leaf Biochemistry Using Band-Depth Analysis of Absorption Features and Stepwise Multiple Linear Regression. Remote Sens. Environ. 1999, 67, 267–287. [Google Scholar] [CrossRef]
- Marten, G.C.; Brink, G.E.; Buxton, D.R.; Halgerson, J.L.; Hornstein, J.S. Near Infrared Reflectance Spectroscopy Analysis of Forage Quality in Four Legume Species 1. Crop. Sci. 1984, 24, 1179–1182. [Google Scholar] [CrossRef]
- Barlog, P.; Grzebisz, W. Effect of Timing and Nitrogen Fertilizer Application on Winter Oilseed Rape (Brassica napus L.). II. Nitrogen Uptake Dynamics and Fertilizer Efficiency. J. Agron. Crop. Sci. 2004, 190, 314–323. [Google Scholar] [CrossRef]
- Yao, X.; Yao, X.; Tian, Y.; Ni, J.; Liu, X.; Cao, W.; Zhu, Y. A New Method to Determine Central Wavelength and Optimal Bandwidth for Predicting Plant Nitrogen Uptake in Winter Wheat. J. Integr. Agric. 2013, 12, 788–802. [Google Scholar] [CrossRef]
- Walburg, G.; Bauer, M.E.; Daughtry, C.S.T.; Housley, T.L. Effects of Nitrogen Nutrition on the Growth, Yield, and Reflectance Characteristics of Corn Canopies 1. Agron. J. 1982, 74, 677–683. [Google Scholar] [CrossRef]
- Wan, L.; Zhou, W.; He, Y.; Wanger, T.C.; Cen, H. Combining Transfer Learning and Hyperspectral Reflectance Analysis to Assess Leaf Nitrogen Concentration across Different Plant Species Datasets. Remote Sens. Environ. 2022, 269, 112826. [Google Scholar] [CrossRef]
- Miphokasap, P.; Honda, K.; Vaiphasa, C.; Souris, M.; Nagai, M. Estimating Canopy Nitrogen Concentration in Sugarcane Using Field Imaging Spectroscopy. Remote Sens. 2012, 4, 1651–1670. [Google Scholar] [CrossRef]
- Abdel-Rahman, E.M.; Ahmed, F.B.; Berg, M. Estimation of sugarcane leaf nitrogen concentration using in situ spectroscopy. Int. J. Appl. Earth Obs. Geoinf. 2010, 12, S52–S57. [Google Scholar] [CrossRef]
- Read, J.J.; Tarpley, L.; McKinion, J.M.; Reddy, K.R. Narrow-Waveband Reflectance Ratios for Remote Estimation of Nitrogen Status in Cotton. J. Environ. Qual. 2002, 31, 1442–1452. [Google Scholar] [CrossRef]
- Zhao, D.; Reddy, K.R.; Kakani, V.G.; Reddy, V.R. Nitrogen deficiency effects on plant growth, leaf photosynthesis, and hyperspectral reflectance properties of sorghum. Eur. J. Agron. 2005, 22, 391–403. [Google Scholar] [CrossRef]








| Cultivar | N Application (Kg N ha−1) | Sowing/Harvesting Date | Sampling Stage | Soil Characteristics |
|---|---|---|---|---|
| Jingke999 (JK999) Xianyu335 (XY335) MC121 Jingnongke728 (JNK728) Liangyu99 (LY99) MC812 Jingnongke828 (JNK828) Zhengdan958 (ZD958) | 0(N0) 75(N1) 150(N2) 225(N3) 300(N4) 375(N5) | 1 June 30 September | V6 V12 R1 R3 R5 R6 | Type: brown sandy Organic matter: 17.03 g kg−1 Total N: 1.08 g kg−1 Olsen-P: 0.067 g kg−1 Available-K: 0.241 g kg−1 |
| Cultivar | a (%) | b | R2 |
|---|---|---|---|
| JK999 | 2.83 | 0.34 | 0.705 |
| XY335 | 2.62 | 0.41 | 0.802 |
| MC121 | 2.94 | 0.29 | 0.702 |
| JNK728 | 2.78 | 0.36 | 0.820 |
| LY99 | 2.97 | 0.20 | 0.804 |
| MC812 | 3.13 | 0.21 | 0.699 |
| JK828 | 2.68 | 0.38 | 0.857 |
| ZD958 | 2.24 | 0.35 | 0.861 |
| Sample Datasets | Number of Samples | Mean | Max a | Min b | SD c |
|---|---|---|---|---|---|
| Entire dataset | 144 | 1.110 | 1.400 | 0.369 | 0.228 |
| Training dataset | 96 | 1.103 | 1.395 | 0.369 | 0.228 |
| Validation dataset | 48 | 1.123 | 1.400 | 0.479 | 0.226 |
| Bands | Numbers | Method | Training Set | Validation Set | ||
|---|---|---|---|---|---|---|
| R2 | RMSE | R2 | RMSE | |||
| All bands | 933 | PLS | 0.649 | 0.135 | 0.627 | 0.138 |
| ANN | 0.903 | 0.071 | 0.622 | 0.138 | ||
| SVM | 0.887 | 0.077 | 0.689 | 0.126 | ||
| CARS | 67 | PLS | 0.946 | 0.050 | 0.925 | 0.068 |
| ANN | 0.857 | 0.082 | 0.814 | 0.108 | ||
| SVM | 0.947 | 0.050 | 0.895 | 0.081 | ||
Publisher’s Note: MDPI stays neutral with regard to jurisdictional claims in published maps and institutional affiliations. |
© 2022 by the authors. Licensee MDPI, Basel, Switzerland. This article is an open access article distributed under the terms and conditions of the Creative Commons Attribution (CC BY) license (https://creativecommons.org/licenses/by/4.0/).
Share and Cite
Chen, B.; Lu, X.; Yu, S.; Gu, S.; Huang, G.; Guo, X.; Zhao, C. The Application of Machine Learning Models Based on Leaf Spectral Reflectance for Estimating the Nitrogen Nutrient Index in Maize. Agriculture 2022, 12, 1839. https://doi.org/10.3390/agriculture12111839
Chen B, Lu X, Yu S, Gu S, Huang G, Guo X, Zhao C. The Application of Machine Learning Models Based on Leaf Spectral Reflectance for Estimating the Nitrogen Nutrient Index in Maize. Agriculture. 2022; 12(11):1839. https://doi.org/10.3390/agriculture12111839
Chicago/Turabian StyleChen, Bo, Xianju Lu, Shuan Yu, Shenghao Gu, Guanmin Huang, Xinyu Guo, and Chunjiang Zhao. 2022. "The Application of Machine Learning Models Based on Leaf Spectral Reflectance for Estimating the Nitrogen Nutrient Index in Maize" Agriculture 12, no. 11: 1839. https://doi.org/10.3390/agriculture12111839
APA StyleChen, B., Lu, X., Yu, S., Gu, S., Huang, G., Guo, X., & Zhao, C. (2022). The Application of Machine Learning Models Based on Leaf Spectral Reflectance for Estimating the Nitrogen Nutrient Index in Maize. Agriculture, 12(11), 1839. https://doi.org/10.3390/agriculture12111839
