Tomato Leaf Disease Diagnosis Based on Improved Convolution Neural Network by Attention Module
Abstract
:1. Introduction
- In order to meet the diagnosis requirements of various tomato leaf diseases in the natural environment, this paper constructs a dataset of 9 tomato leaf diseases and healthy leaves. Furthermore, through data enhancement methods, the generalization ability and adaptability of the model in practical applications are improved.
- This paper proposes a multi-scale CNN network structure for the diagnosis of tomato leaf diseases. Based on the residual block, a multi-scale feature extraction module is added. The SE module is deeply integrated into the ResNet-50 network model.
- This paper established a multi-dimensional dependency relationship between the three dimensions (C, H, W) of the extracted tomato leaf disease feature map and used channel and spatial information with a small amount of calculation. In this way, effective features of lesions can be obtained in a complex background, and contextual information can be discriminated.
2. Materials and Methods
2.1. Build the Dataset
2.2. Data Augmentation
- Spin: Rotated the picture randomly by 0°, 90°, 180°, and 270° will not change the relative position of the diseased spot and the healthy part, simulated the randomness of the shooting angle under natural conditions.
- Zoom: Reduced an image according to a certain ratio helps to identify targets at multiple scales. For the zoomed image, the resolution of the image is expanded to 224 × 224 pixels by filling 0 pixels.
- Add noise: Added salt and pepper noise or gaussian noise to the image to simulate images with different definitions taken in the natural environment.
- Color jitter: Changed the brightness, saturation, and contrast of the image to simulate the image difference caused by the light intensity when shooting in the natural environment.
2.3. Deep Learning Models
2.3.1. The Feature Extraction Network
2.3.2. Attention Module
2.4. Tomato Diagnosis Model of ResNet Fused of the SE Module
2.5. Experiment Setup
2.6. The Evaluation Index
3. Results
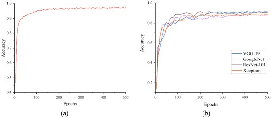
3.1. Comparison of Various Convolution Neural Networks
3.2. Comparison of Diagnosis Performance with Attention Module
3.3. The SE-ResNet50 Effectiveness on Other Corp Disease Dataset
4. Discussion
5. Conclusions
Author Contributions
Funding
Institutional Review Board Statement
Informed Consent Statement
Data Availability Statement
Conflicts of Interest
References
- Chowdhury, M.E.; Rahman, T.; Khandakar, A.; Ayari, M.A.; Khan, A.U.; Khan, M.S.; Al-Emadi, N.; Reaz, M.B.I.; Islam, M.T.; Ali, S.H.M. Automatic and Reliable Leaf Disease Detection Using Deep Learning Techniques. AgriEngineering 2021, 3, 294–312. [Google Scholar] [CrossRef]
- Valenzuela, M.E.M.; Restović, F. Valorization of Tomato Waste for Energy Production. In Tomato Chemistry, Industrial Processing and Product Development; Royal Society of Chemistry: London, UK, 2019; pp. 245–258. [Google Scholar]
- Elnaggar, S.; Mohamed, A.M.; Bakeer, A.; Osman, T.A. Current status of bacterial wilt (Ralstonia solanacearum) disease in major tomato (Solanum lycopersicum L.) growing areas in Egypt. Arch. Agric. Environ. Sci. 2018, 3, 399–406. [Google Scholar] [CrossRef]
- Zhu, X.K. Research on Tomato Disease Identification Based on Convolutional Neural Network; Beijing University of Technology: Beijing, China, 2020. [Google Scholar]
- Sardogan, M.; Tuncer, A.; Ozen, Y. Plant leaf disease detection and classification based on CNN with LVQ algorithm. In Proceedings of the 2018 3rd International Conference on Computer Science and Engineering (UBMK), Sarajevo, Herzegovina, 20–23 September 2018; pp. 382–385. [Google Scholar]
- Pooja, V.; Das, R.; Kanchana, V. Identification of plant leaf diseases using image processing techniques. In Proceedings of the 2017 IEEE Technological Innovations in ICT for Agriculture and Rural Development (TIAR), Chennai, India, 7–8 April 2017; pp. 130–133. [Google Scholar]
- Liu, B.; Zhang, Y.; He, D.; Li, Y. Identification of apple leaf diseases based on deep convolutional neural networks. Symmetry 2018, 10, 11. [Google Scholar] [CrossRef] [Green Version]
- Boulent, J.; Foucher, S.; Théau, J.; St-Charles, P.-L. Convolutional neural networks for the automatic identification of plant diseases. Front. Plant Sci. 2019, 10, 941. [Google Scholar] [CrossRef] [PubMed] [Green Version]
- Ma, J.; Zheng, F.; Zhang, L.; Sun, Z. Disease recognition system for greenhouse cucumbers based on deep convolutional neural network. Trans. Chin. Soc. Agric. Eng. 2018, 34, 186–192. [Google Scholar]
- Chao, X.; Sun, G.; Zhao, H.; Li, M.; He, D. Identification of apple tree leaf diseases based on deep learning models. Symmetry 2020, 12, 1065. [Google Scholar] [CrossRef]
- Arya, S.; Singh, R. A Comparative Study of CNN and AlexNet for Detection of Disease in Potato and Mango leaf. In Proceedings of the 2019 International Conference on Issues and Challenges in Intelligent Computing Techniques (ICICT), Ghaziabad, India, 27–28 September 2019; pp. 1–6. [Google Scholar]
- Kaur, M.; Bhatia, R. Development of an improved tomato leaf disease detection and classification method. In Proceedings of the 2019 IEEE Conference on Information and Communication Technology, Baghdad, Iraq, 15–16 April 2019; pp. 1–5. [Google Scholar]
- Durmuş, H.; Güneş, E.O.; Kırcı, M. Disease detection on the leaves of the tomato plants by using deep learning. In Proceedings of the 2017 6th International Conference on Agro-Geoinformatics, Fairfax, VA, USA, 7–10 August 2017; pp. 1–5. [Google Scholar]
- Liu, Y.; Feng, Q.; Wang, S. Plant disease identification method based on lightweight CNN and its mobile application. J. Agric. Eng. 2019, 35, 194–204. [Google Scholar]
- Wang, Y.; Zhang, H.; Liu, Q.; Zhang, Y. Image classification of tomato leaf diseases based on transfer learning. J. China Agric. Univ. 2019, 24, 124–130. [Google Scholar]
- Rangarajan, A.K.; Purushothaman, R.; Ramesh, A. Tomato crop disease classification using pre-trained deep learning algorithm. Procedia Comput. Sci. 2018, 133, 1040–1047. [Google Scholar] [CrossRef]
- Fuentes, A.; Yoon, S.; Kim, S.C.; Park, D.S. A robust deep-learning-based detector for real-time tomato plant diseases and pests recognition. Sensors 2017, 17, 2022. [Google Scholar] [CrossRef] [PubMed] [Green Version]
- Long, M.; Ouyang, C.; Liu, H.; Fu, Q. Image recognition of Camellia oleifera diseases based on convolutional neural network & transfer learning. Trans. Chin. Soc. Agricult. Eng. 2018, 34, 194–201. [Google Scholar]
- Karthik, R.; Hariharan, M.; Anand, S.; Mathikshara, P.; Johnson, A.; Menaka, R. Attention embedded residual CNN for disease detection in tomato leaves. Appl. Soft Comput. 2020, 86, 105933. [Google Scholar]
- Razavi, S.; Yalcin, H. Using convolutional neural networks for plant classification. In Proceedings of the 2017 25th Signal Processing and Communications Applications Conference (SIU), Antalya, Turkey, 15–18 May 2017; pp. 1–4. [Google Scholar]
- Yang, G.; Bao, Y.; Liu, Z. Localization and recognition of pests in tea plantation based on image saliency analysis and convolutional neural network. Trans. Chin. Soc. Agric. Eng. 2017, 33, 156–162. [Google Scholar]
- Sun, J.; Tan, W.; Mao, H.; Wu, X.; Chen, Y.; Wang, L. Recognition of multiple plant leaf diseases based on improved convolutional neural network. Trans. Chin. Soc. Agric. Eng. 2017, 33, 209–215. [Google Scholar]
- Grinblat, G.L.; Uzal, L.C.; Larese, M.G.; Granitto, P.M. Deep learning for plant identification using vein morphological patterns. Comput. Electron. Agric. 2016, 127, 418–424. [Google Scholar] [CrossRef] [Green Version]
- Luong, M.-T.; Pham, H.; Manning, C.D. Effective approaches to attention-based neural machine translation. arXiv 2015, arXiv:1508.04025. [Google Scholar]
- Zhang, H.; Goodfellow, I.; Metaxas, D.; Odena, A. Self-attention generative adversarial networks. In Proceedings of the International Conference on Machine Learning, Long Beach, CA, USA, 9–15 June 2019; pp. 7354–7363. [Google Scholar]
- Tang, Z.; Yang, J.; Li, Z.; Qi, F. Grape disease image classification based on lightweight convolution neural networks and channelwise attention. Comput. Electron. Agric. 2020, 178, 105735. [Google Scholar] [CrossRef]
- Zhong, C.; Hu, Z.; Yang, X.; Li, H.; Liu, F.; Li, M. Triple Stream Segmentation Network for Plant Disease Segmentation. In Proceedings of the 2021 IEEE 5th Advanced Information Technology, Electronic and Automation Control Conference (IAEAC), Chongqing, China, 13–14 March 2021; pp. 496–501. [Google Scholar]
- Pulgar, F.J.; Rivera, A.J.; Charte, F.; del Jesus, M.J. On the impact of imbalanced data in convolutional neural networks performance. In Proceedings of the International Conference on Hybrid Artificial Intelligence Systems, La Rioja, Spain, 21–23 June 2017; pp. 220–232. [Google Scholar]
- Guo, X.; Fan, T.; Shu, X. Tomato leaf diseases recognition based on improved multi-scale AlexNet. Trans. Chin. Soc. Agricult. Eng. 2019, 35, 162–169. [Google Scholar]
- Agarwal, M.; Gupta, S.K.; Biswas, K. Development of Efficient CNN model for Tomato crop disease identification. Sustain. Comput. Inform. Syst. 2020, 28, 100407. [Google Scholar] [CrossRef]
- Shin, J.; Chang, Y.K.; Heung, B.; Nguyen-Quang, T.; Price, G.W.; Al-Mallahi, A. A deep learning approach for RGB image-based powdery mildew disease detection on strawberry leaves. Comput. Electron. Agric. 2021, 183, 106042. [Google Scholar] [CrossRef]
- He, K.; Zhang, X.; Ren, S.; Sun, J. Deep residual learning for image recognition. In Proceedings of the IEEE Conference on Computer Vision and Pattern Recognition, Las Vegas, NV, USA, 27–30 June 2016; pp. 770–778. [Google Scholar]
- Hu, J.; Shen, L.; Sun, G. Squeeze-and-excitation networks. In Proceedings of the IEEE Conference on Computer Vision and Pattern Recognition, Salt Lake City, UT, USA, 18–23 June 2018; pp. 7132–7141. [Google Scholar]
- Tm, P.; Pranathi, A.; SaiAshritha, K.; Chittaragi, N.B.; Koolagudi, S.G. Tomato leaf disease detection using convolutional neural networks. In Proceedings of the 2018 Eleventh International Conference on Contemporary Computing (IC3), Noida, India, 2–4 August 2018; pp. 1–5. [Google Scholar]
- Kaushik, M.; Prakash, P.; Ajay, R.; Veni, S. Tomato Leaf Disease Detection using Convolutional Neural Network with Data Augmentation. In Proceedings of the 2020 5th International Conference on Communication and Electronics Systems (ICCES), Coimbatore, India, 10–12 June 2020; pp. 1125–1132. [Google Scholar]













| Type | Class | Origin Images | Augmentation Images | Trainset |
|---|---|---|---|---|
| bacterial spot | 0 | 425 | 2125 | 1700 |
| early blight | 1 | 480 | 2400 | 1920 |
| healthy | 2 | 481 | 2405 | 1924 |
| late blight | 3 | 463 | 2315 | 1852 |
| leaf mold | 4 | 470 | 2350 | 1880 |
| mosaic virus | 5 | 448 | 2240 | 1792 |
| septoria leaf spot | 6 | 436 | 2180 | 1744 |
| target spot | 7 | 457 | 2285 | 1828 |
| two-spotted spider mite | 8 | 435 | 2175 | 1740 |
| yellow leaf curl virus | 9 | 490 | 2450 | 1960 |
| Total | 4585 | 22,925 | 18,340 | |
| Model | Input | PPV | TPR | F1 | TA (ms) | Accuracy (%) |
|---|---|---|---|---|---|---|
| GoogleNet | 224 | 0.8716 | 0.8709 | 0.8712 | 33.56 | 87.27 |
| ResNet-101 | 224 | 0.8995 | 0.9013 | 0.9004 | 39.53 | 90.13 |
| Xception | 224 | 0.8825 | 0.8814 | 0.8819 | 32.91 | 88.16 |
| VGG-19 | 224 | 0.9039 | 0.9047 | 0.9243 | 40.26 | 90.42 |
| SE-ResNet50 | 224 | 0.9677 | 0.9681 | 0.9679 | 31.68 | 96.81 |
| Model | PPV | TPR | F1 | TA (ms) | Accuracy (%) |
|---|---|---|---|---|---|
| ResNet-50 | 0.9251 | 0.9256 | 0.9253 | 33.85 | 92.56 |
| SE-ResNet50 | 0.9677 | 0.9681 | 0.9679 | 31.68 | 96.81 |
| Grape | Input | PPV | TPR | F1 | TA (ms) | Accuracy (%) |
|---|---|---|---|---|---|---|
| SE-ResNet50 | 256 | 0.9918 | 0.9924 | 0.9921 | 31.42 | 99.24 |
| ResNet-50 | 256 | 0.9388 | 0.9392 | 0.9390 | 33.27 | 93.91 |
| GoogleNet | 256 | 0.9274 | 0.9269 | 0.9271 | 32.89 | 92.78 |
| Xception | 256 | 0.9261 | 0.9263 | 0.9262 | 31.97 | 92.63 |
| Paper | Dataset | Model | Classification | Precision | Recall | F1-Score | Accuracy |
|---|---|---|---|---|---|---|---|
| Durmuş et al. [13] | Plant Village | AlexNet | 10-class | — | — | — | 95.65% |
| Wang et al. [15] | Plant Village | AlexNet | 10-class | — | — | — | 95.62% |
| Agarwal et al. [30] | Plant Village | Vgg-16 | 10-class | 90% | 92% | 91% | 91.2% |
| Tm et al. [34] | Plant Village | LeNet | 10-class | 94.81% | 94.78% | 94.8% | 94% |
| Our model | Plant Village | ResNet-50+SeNet | 10-class | 96.77% | 96.81% | 96.79% | 96.81% |
| Kaur et al.[12] | Plant Village | ResNet-101 | 7-class | 98.8% | 98.8% | 98.8% | 98.8% |
| Rangarajan et al. [16] | Plant Village | AlexNet | 7-class | — | — | — | 97.49 |
| Karthik et al. [19] | Plant Village | ResNet + Dense | 4-class | — | — | — | 98% |
| Guo et al. [29] | Plant Village | AlexNet | 8-class | — | — | — | 92.7% |
| Kaushik et al. [35] | Plant Village | ResNet-50 | 6-class | — | — | — | 97.01% |
Publisher’s Note: MDPI stays neutral with regard to jurisdictional claims in published maps and institutional affiliations. |
© 2021 by the authors. Licensee MDPI, Basel, Switzerland. This article is an open access article distributed under the terms and conditions of the Creative Commons Attribution (CC BY) license (https://creativecommons.org/licenses/by/4.0/).
Share and Cite
Zhao, S.; Peng, Y.; Liu, J.; Wu, S. Tomato Leaf Disease Diagnosis Based on Improved Convolution Neural Network by Attention Module. Agriculture 2021, 11, 651. https://doi.org/10.3390/agriculture11070651
Zhao S, Peng Y, Liu J, Wu S. Tomato Leaf Disease Diagnosis Based on Improved Convolution Neural Network by Attention Module. Agriculture. 2021; 11(7):651. https://doi.org/10.3390/agriculture11070651
Chicago/Turabian StyleZhao, Shengyi, Yun Peng, Jizhan Liu, and Shuo Wu. 2021. "Tomato Leaf Disease Diagnosis Based on Improved Convolution Neural Network by Attention Module" Agriculture 11, no. 7: 651. https://doi.org/10.3390/agriculture11070651
APA StyleZhao, S., Peng, Y., Liu, J., & Wu, S. (2021). Tomato Leaf Disease Diagnosis Based on Improved Convolution Neural Network by Attention Module. Agriculture, 11(7), 651. https://doi.org/10.3390/agriculture11070651
