Content and Distribution of Macroelements, Microelements, and Rare-Earth Elements in Different Tomato Varieties as a Promising Tool for Monitoring the Distinction between the Integral and Organic Systems of Production in Zeleni hit—Official Enza and Vitalis Trial and Breeding Station
Abstract
:1. Introduction
2. Materials and Methods
2.1. Chemicals and Materials
2.2. Sample Preparation—Cultivation Experiments
2.3. Mineral Analysis—Microwave Digestion
2.4. Measuring Settings of ICP-OES and ICP-MS
2.5. Statistical Analysis
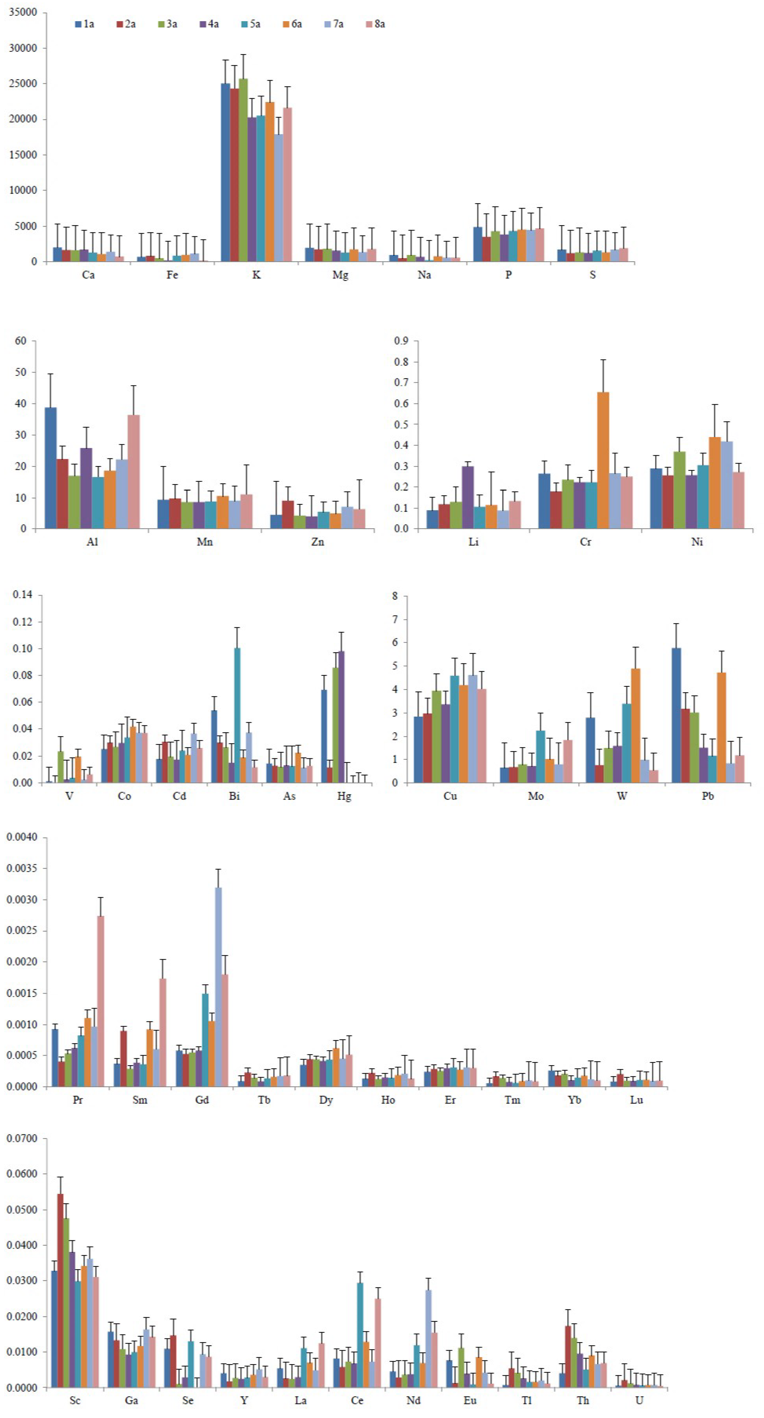
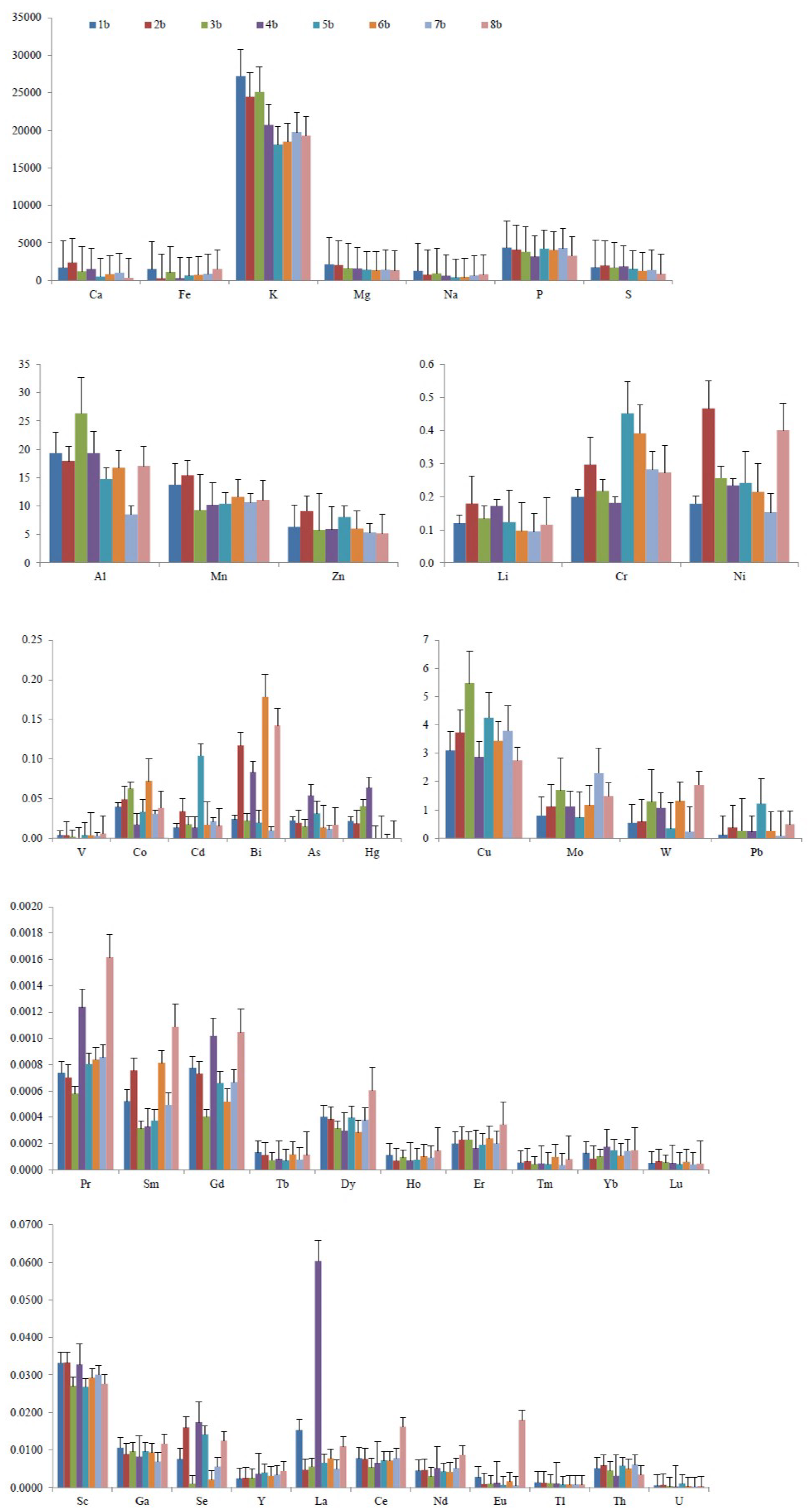
3. Results
3.1. Multielemental Composition Assessment
3.2. Data Analysis
4. Discussion
5. Conclusions
Supplementary Materials
Author Contributions
Funding
Institutional Review Board Statement
Data Availability Statement
Acknowledgments
Conflicts of Interest
References
- Dorais, M.; Ehret, D.L.; Papadopoulos, A.P. Tomato (Solanum lycopersicum) health components: From the seed to the consumer. Phytochem. Rev. 2008, 7, 231. [Google Scholar] [CrossRef]
- Fatima, T.; Mattoo, A.K.; Rivera-Domínguez, M.; Troncoso-Rojas, R.; Tiznado-Hernández, M.E.; Handa, A.K. Tomato. In Compendium of Transgenic Crop Plants, 1st ed.; Kole, C., Hall, T.C., Eds.; Wiley-Blackwell Publishing Ltd.: Hoboken, NJ, USA; John Wiley & Sons Ltd.: Chichester, UK, 2009; Volume 6, pp. 1–45. [Google Scholar]
- Giovanelli, G.; Zanoni, B.; Lavelli, V.; Nani, R. Water sorption, drying and antioxidant properties of dried tomato products. J. Food Eng. 2002, 52, 135–141. [Google Scholar] [CrossRef]
- Miteva, E.; Hristova, D.; Maneva, S. Relationship between viral infection and heavy metals in tomatoes (Lycopersicon esculentum). Bulg. J. Agric. Sci. 2001, 7, 435–440. [Google Scholar]
- Bressy, F.C.; Brito, G.B.; Barbosa, I.S.; Teixeira, L.S.; Korn, M.G.A. Determination of trace element concentrations in tomato samples at different stages of maturation by ICP OES and ICP-MS following microwave-assisted digestion. Microchem. J. 2013, 109, 145–149. [Google Scholar] [CrossRef]
- Fernández Sánchez, M.L. Atomic emission spectrometry|inductively coupled plasma. In Encyclopedia of Analytical Science, 3rd ed.; Worsfold, P., Poole, C., Townshend, A., Miró, M., Eds.; Elsevier: Amsterdam, The Netherlands, 2019; Volume 10, pp. 169–176. [Google Scholar]
- Dramićanin, A.; Andrić, F.; Mutić, J.; Stanković, V.; Momirović, N.; Milojković-Opsenica, D. Content and distribution of major and trace elements as a tool to assess the genotypes, harvesting time, and cultivation systems of potato. Food Chem. 2021, 354, 1–9. [Google Scholar] [CrossRef] [PubMed]
- Minerals: Their Functions and Sources. Available online: https://www.uofmhealth.org/health-library/ta3912 (accessed on 17 December 2020).
- Fenech, M.; Ferguson, L.R. Vitamins/minerals and genomic stability in humans. Mutat. Res. 2001, 475, 1–6. [Google Scholar] [CrossRef]
- Abeshu, M.A.; Geleta, B. The role of fortification and supplementation in mitigating the ‘hidden hunger’. J. Nutr. Sci. 2016, 6, 2. [Google Scholar]
- Bhattacharya, P.T.; Misra, S.R.; Hussain, M. Nutritional aspects of essential trace elements in oral health and disease: An extensive review. Scientifica 2016, 2016, 1–12. [Google Scholar] [CrossRef] [Green Version]
- White, P.J.; Broadley, M.R. Biofortification of crops with seven mineral elements often lacking in human diets–iron, zinc, copper, calcium, magnesium, selenium and iodine. New Phytol. 2009, 182, 49–84. [Google Scholar] [CrossRef] [PubMed]
- Duma, M.; Alsina, I.; Dubova, L.; Erdberga, I. Chemical composition of tomatoes depending on the stage of ripening. Chem. Technol. 2015, 66, 24–28. [Google Scholar] [CrossRef] [Green Version]
- White, P.J.; Brown, P.H. Plant nutrition for sustainable development and global health. Ann. Bot. 2010, 105, 1073–1080. [Google Scholar] [CrossRef] [PubMed] [Green Version]
- Benbrook, C.; Kegley, S.; Baker, B. Organic Farming Lessens Reliance on Pesticides and Promotes Public Health by Lowering Dietary Risks. Agronomy 2021, 11, 1266. [Google Scholar] [CrossRef]
- Ramaraj, R.; Dussadee, N. Renewable energy application for organic agriculture: A review. Int. J. Sustain. Energy 2015, 4, 33–38. [Google Scholar]
- Jorhem, L.; Slanina, P. Does organic farming reduce the content of Cd and certain other trace metals in plant foods? A pilot study. J. Sci. Food Agric. 2000, 80, 43–48. [Google Scholar] [CrossRef]
- Rossi, F.; Godani, F.; Bertuzzi, T.; Trevisan, M.; Ferrari, F.; Gatti, S. Health-promoting substances and heavy metal content in tomatoes grown with different farming techniques. Eur. J. Nutr. 2008, 47, 266–272. [Google Scholar] [CrossRef]
- Ilić, Z.S.; Kapoulas, N.; Šunić, L.; Mirecki, N. Heavy Metals and Nitrate Content in Tomato Fruit Grown in Organic and Conventional Production Systems. Pol. J. Environ. Stud. 2014, 23, 2027–2032. [Google Scholar] [CrossRef]
- Hajšlová, J.; Schulzova, V.; Slanina, P.; Janne, K.; Hellenäs, K.E.; Andersson, C.H. Quality of organically and conventionally grown potatoes: Four-year study of micronutrients, metals, secondary metabolites, enzymic browning and organoleptic properties. Food Addit. Contam. 2005, 22, 514–534. [Google Scholar] [CrossRef] [PubMed]
- Gvozden, G.M. The Influence of Conventional, Integrated and Organic Farming Systems on Productivity, Quality and Biological Value of Potato. Ph.D. Thesis, Faculty of Agriculture, University of Belgrade, Zemun, Serbia, 1 July 2016. [Google Scholar]
- Berghof Products + Instruments—Berghof Digestion Technology—Berghof Microwave Digestion. Available online: https://www.berghof-instruments.com/en/application/microwave-digestion-of-fruit/ (accessed on 13 September 2021).
- Krgović, R.; Trifković, J.; Milojković-Opsenica, D.; Manojlović, D.; Mutić, J. Leaching of major and minor elements during the transport and storage of coal ash obtained in power plant. Sci. World J. 2014, 2014, 1–8. [Google Scholar] [CrossRef] [PubMed]
- NCSS Statistical, Graphics, and Sample Size Software. Available online: https://www.ncss.com/ (accessed on 13 September 2021).
- Santos, B.M.; Esmel, C.E.; Rechcigl, J.E.; Moratinos, H. Effects of sulfur fertilization on tomato production. Proc. Fla. State Hort. Soc. 2007, 120, 189–191. [Google Scholar]
- de Souza Silva, M.L.; Trevizam, A.R.; de Cássia Piccolo, M.; Furlan, G. Tomato production in function of sulfur doses application. Appl. Res. Agrotech. 2014, 7, 47–54. [Google Scholar]
- Burló, F.; Guijarro, I.; Carbonell-Barrachina, A.A.; Valero, D.; Martinez-Sanchez, F. Arsenic species: Effects on and accumulation by tomato plants. J. Agric. Food Chem. 1999, 47, 1247–1253. [Google Scholar] [CrossRef] [PubMed]
- Pasković, I.; Soldo, B.; Ban, S.G.; Radić, T.; Lukić, M.; Urlić, B.; Mimica, M.; Brkić Bubola, K.; Colla, G.; Rouphael, Y.; et al. Fruit quality and volatile compound composition of processing tomato as affected by fertilisation practices and arbuscular mycorrhizal fungi application. Food Chem. 2021, 359, 1–10. [Google Scholar] [CrossRef]
- Gad, N.; Hassan, N.M. Role of cobalt and organic fertilizers amendments on tomato production in the newly reclaimed soil. World Appl. Sci. J. 2013, 22, 1527–1533. [Google Scholar]
- Kaiser, B.N.; Gridley, K.L.; Ngaire Brady, J.; Phillips, T.; Tyerman, S.D. The role of molybdenum in agricultural plant production. Ann. Bot. 2005, 96, 745–754. [Google Scholar] [CrossRef] [PubMed]
- Roosta, H.R.; Hamidpour, M. Effects of foliar application of some macro-and micro-nutrients on tomato plants in aquaponic and hydroponic systems. Sci. Hortic. 2011, 129, 396–402. [Google Scholar] [CrossRef]
- Hao, X.; Papadopoulos, A.P. Effects of calcium and magnesium on plant growth, biomass partitioning, and fruit yield of winter greenhouse tomato. HortScience 2004, 39, 512–515. [Google Scholar] [CrossRef] [Green Version]
- Adnan, M.; Tampubolon, K.; ur Rehman, F.; Saeed, M.S.; Hayyat, M.S.; Imran, M.; Tahir, R.; Mehta, J. Influence of foliar application of magnesium on horticultural crops: A review. Agrinula J. Agroteknol. Perkebunan 2021, 4, 13–21. [Google Scholar] [CrossRef]
- Shekar, C.C.; Sammaiah, D.; Shasthree, T.; Reddy, K.J. Effect of mercury on tomato growth and yield attributes. Int. J. Pharma. Bio. Sci. 2011, 2, 358–364. [Google Scholar]
- Shan, X.; Wang, H.; Zhang, S.; Zhou, H.; Zheng, Y.; Yu, H.; Wen, B. Accumulation and uptake of light rare earth elements in a hyperaccumulator Dicropteris dichotoma. Plant Sci. 2003, 165, 1343–1353. [Google Scholar] [CrossRef]
- Han, F.; Shan, X.Q.; Zhang, J.; Xie, Y.N.; Pei, Z.G.; Zhang, S.Z.; Zhu, Y.G.; Wen, B. Organic acids promote the uptake of lanthanum by barley roots. New Phytol. 2005, 165, 481–492. [Google Scholar] [CrossRef] [PubMed]




| No. of Sample (Type of Production) | Large Varieties | No. of Sample (Type of Production) | Finer Varieties | ||
|---|---|---|---|---|---|
| 1a (IPM) | VELOCITY | Beef | 5a (IPM) | VESPOLINO | Plum |
| 1b (O) | 5b (O) | ||||
| 2a (IPM) | RALLY | Beef | 6a (IPM) | ARDILES | Plum |
| 2b (O) | 6b (O) | ||||
| 3a (IPM) | AVALAVTINO | Cluster | 7a (IPM) | TOMAGINO | Cherry |
| 3b (O) | 7b (O) | ||||
| 4a (IPM) | DIRK | Cluster | 8a (IPM) | SAKURA | Cherry |
| 4b (O) | 8b (O) | ||||
| Principal Component Number | Eigenvalue of Cov(X) | % Variance Captured | % Variance Captured Total |
|---|---|---|---|
| 1 | 8.47 | 19.24 | 19.24 |
| 2 | 7.59 | 17.26 | 36.50 |
| 3 | 4.92 | 11.17 | 47.68 |
| 4 | 3.54 | 8.05 | 55.73 |
| 5 | 3.41 | 7.76 | 63.48 |
| 6 | 3.37 | 7.67 | 71.15 |
| 7 | 2.33 | 5.29 | 76.45 |
| 8 | 2.26 | 5.13 | 81.58 |
| 9 | 2.11 | 4.80 | 86.37 |
| 10 | 1.60 | 3.64 | 90.02 |
| 11 | 1.30 | 2.96 | 92.98 |
| 12 | 1.09 | 2.47 | 95.45 |
| (A) Principal Component Number | Eigenvalue of Cov(X) | % Variance Captured | % Variance Captured Total |
| 1 | 3.24 | 46.33 | 46.33 |
| 2 | 1.55 | 22.12 | 68.45 |
| (B) Principal component number | Eigenvalue of Cov(X) | % Variance captured | % Variance captured total |
| 1 | 3.89 | 24.30 | 24.30 |
| 2 | 2.70 | 16.85 | 41.16 |
| 3 | 1.89 | 11.82 | 52.98 |
| 4 | 1.81 | 11.32 | 64.30 |
| 5 | 1.44 | 9.00 | 73.30 |
| 6 | 1.18 | 7.36 | 80.66 |
| (A) | Ca | Fe | K | Mg | Na | P | S | |||||
| Integral system of production | mean | 1410 | 643 | 22,300 | 1640 | 625 | 4300 | 1470 | ||||
| median | 1490 | 737 | 22,100 | 1720 | 608 | 4380 | 1430 | |||||
| stdev | 401 | 358 | 2680 | 239 | 241 | 458 | 265 | |||||
| min | 704 | 143 | 17,900 | 1280 | 192 | 3470 | 1180 | |||||
| max | 1990 | 1130 | 25,700 | 1950 | 918 | 4870 | 1900 | |||||
| Organic system of production | mean | 1210 | 894 | 21,700 | 1630 | 760 | 3930 | 1580 | ||||
| median | 1120 | 828 | 20,300 | 1520 | 733 | 4080 | 1660 | |||||
| stdev | 667 | 484 | 3450 | 317 | 279 | 457 | 355 | |||||
| min | 389 | 296 | 18,100 | 1340 | 440 | 3220 | 916 | |||||
| max | 2400 | 1550 | 27,300 | 2160 | 1300 | 4360 | 2000 | |||||
| (B) | Li | Al | V | Cr | Mn | Co | Ni | Cu | ||||
| Integral system of production | mean | 0.14 | 24.7 | 0.0074 | 0.29 | 9.47 | 0.033 | 0.33 | 3.82 | |||
| median | 0.12 | 22.2 | 0.0031 | 0.25 | 9.18 | 0.032 | 0.30 | 3.98 | ||||
| stdev | 0.07 | 8.55 | 0.0089 | 0.16 | 0.93 | 0.006 | 0.08 | 0.69 | ||||
| min | 0.09 | 16.6 | BLOD | 0.18 | 8.60 | 0.025 | 0.26 | 2.85 | ||||
| max | 0.30 | 38.8 | 0.0234 | 0.66 | 11.1 | 0.042 | 0.44 | 4.62 | ||||
| Organic system of production | mean | 0.13 | 17.6 | 0.0034 | 0.29 | 11.6 | 0.043 | 0.27 | 3.68 | |||
| median | 0.13 | 17.6 | 0.0038 | 0.28 | 10.9 | 0.039 | 0.24 | 3.59 | ||||
| stdev | 0.03 | 4.99 | 0.0018 | 0.10 | 2.06 | 0.018 | 0.11 | 0.89 | ||||
| min | 0.10 | 8.52 | BLOD | 0.18 | 9.27 | 0.018 | 0.16 | 2.76 | ||||
| max | 0.18 | 26.4 | 0.0060 | 0.46 | 15.5 | 0.072 | 0.47 | 5.48 | ||||
| (B)-continued | Zn | Mo | Cd | W | Bi | As | Hg | Pb | ||||
| Integral system of production | mean | 5.73 | 1.09 | 0.024 | 2.06 | 0.037 | 0.014 | 0.033 | 2.67 | |||
| median | 5.22 | 0.79 | 0.022 | 1.54 | 0.028 | 0.013 | 0.006 | 2.26 | ||||
| stdev | 1.72 | 0.60 | 0.007 | 1.51 | 0.029 | 0.004 | 0.043 | 1.83 | ||||
| min | 4.01 | 0.65 | 0.017 | 0.54 | 0.012 | 0.011 | BLOD | 0.83 | ||||
| max | 9.07 | 2.24 | 0.037 | 4.90 | 0.100 | 0.022 | 0.098 | 5.78 | ||||
| Organic system of production | mean | 6.49 | 1.31 | 0.030 | 0.91 | 0.075 | 0.023 | 0.018 | 0.38 | |||
| median | 6.01 | 1.15 | 0.018 | 0.83 | 0.054 | 0.018 | 0.010 | 0.25 | ||||
| stdev | 1.39 | 0.51 | 0.031 | 0.57 | 0.065 | 0.014 | 0.024 | 0.36 | ||||
| min | 5.16 | 0.74 | 0.013 | 0.23 | 0.010 | 0.012 | BLOD | 0.08 | ||||
| max | 9.11 | 2.29 | 0.104 | 1.89 | 0.178 | 0.054 | 0.064 | 1.22 | ||||
| (C) | Sc | Ga | Se | Y | La | Ce | Pr | Nd | Sm | Eu | ||
| Integral system of production | mean | 0.0381 | 0.0127 | 0.0076 | 0.0032 | 0.0061 | 0.0128 | 0.0010 | 0.0096 | 0.0007 | 0.0049 | |
| median | 0.0352 | 0.0125 | 0.0090 | 0.0029 | 0.0052 | 0.0077 | BLOD | 0.0057 | 0.0005 | 0.0041 | ||
| stdev | 0.0086 | 0.0026 | 0.0056 | 0.0011 | 0.0039 | 0.0092 | 0.0007 | 0.0085 | 0.0005 | 0.0039 | ||
| min | 0.0299 | 0.0093 | BLOD | 0.0018 | 0.0024 | 0.0058 | BLOD | 0.0029 | 0.0003 | BLOD | ||
| max | 0.0545 | 0.0163 | 0.0147 | 0.0052 | 0.0125 | 0.0295 | 0.0027 | 0.0274 | 0.0017 | 0.0112 | ||
| Organic system of production | mean | 0.0300 | 0.0094 | 0.0096 | 0.0033 | 0.0146 | 0.0083 | 0.0009 | 0.0050 | 0.0006 | 0.0034 | |
| median | 0.0297 | 0.0095 | 0.0101 | 0.0033 | 0.0072 | 0.0074 | 0.0008 | 0.0046 | 0.0005 | 0.0011 | ||
| stdev | 0.0028 | 0.0015 | 0.0063 | 0.0007 | 0.0189 | 0.0033 | 0.0003 | 0.0016 | 0.0003 | 0.0060 | ||
| min | 0.0268 | 0.0069 | BLOD | 0.0024 | 0.0047 | 0.0055 | 0.0006 | 0.0030 | 0.0003 | 0.0005 | ||
| max | 0.0332 | 0.0117 | 0.0174 | 0.0044 | 0.0604 | 0.0162 | 0.0016 | 0.0086 | 0.0011 | 0.0180 | ||
| (C)-continued | Gd | Tb | Dy | Ho | Er | Tm | Yb | Lu | Tl | Th | U | |
| Integral system of production | mean | 0.0012 | 0.0001 | 0.0005 | 0.0002 | 0.0003 | 0.0001 | 0.0002 | 0.0001 | 0.0024 | 0.0091 | 0.0009 |
| median | 0.0008 | 0.0001 | 0.0004 | 0.0001 | 0.0003 | 0.0001 | 0.0002 | 0.0001 | 0.0018 | 0.0080 | 0.0007 | |
| stdev | 0.0009 | 0.0000 | 0.0001 | 0.0000 | 0.0000 | 0.0000 | 0.0001 | 0.0000 | 0.0016 | 0.0045 | 0.0005 | |
| min | 0.0005 | 0.0001 | 0.0003 | 0.0001 | 0.0002 | 0.0001 | 0.0001 | 0.0001 | BLOD | 0.0041 | 0.0005 | |
| max | 0.0032 | 0.0002 | 0.0006 | 0.0002 | 0.0003 | 0.0002 | 0.0003 | 0.0002 | 0.0054 | 0.0173 | 0.0021 | |
| Organic system of production | mean | 0.0007 | 0.0001 | 0.0004 | 0.0001 | 0.0002 | 0.0001 | 0.0001 | 0.0001 | 0.0010 | 0.0049 | 0.0005 |
| median | 0.0007 | 0.0001 | 0.0004 | 0.0001 | 0.0002 | 0.0001 | 0.0001 | 0.0001 | 0.0009 | 0.0051 | 0.0004 | |
| stdev | 0.0002 | 0.0000 | 0.0001 | 0.0000 | 0.0001 | 0.0000 | 0.0000 | 0.0000 | 0.0003 | 0.0011 | 0.0003 | |
| min | 0.0004 | 0.0001 | 0.0003 | 0.0001 | 0.0002 | BLOD | 0.0001 | BLOD | 0.0007 | 0.0031 | 0.0003 | |
| max | 0.0010 | 0.0001 | 0.0006 | 0.0001 | 0.0003 | 0.0001 | 0.0002 | 0.0001 | 0.0014 | 0.0062 | 0.0011 | |
| Metal | p * | Man-Whitney U-Test (Z-Value and Ho **) | |
|---|---|---|---|
| Al | 0.03569 | 2.1004 | I (O) |
| Bi | 0.40081 | 0.8402 | / |
| Cd | 0.24800 | 1.1552 | / |
| As | 0.03569 | 2.1004 | I (O) |
| Ca | 0.34456 | 0.9452 | / |
| Ce | 0.18926 | 1.3147 | / |
| Co | 0.14148 | 1.4703 | / |
| Cu | 0.52861 | 0.6301 | / |
| Dy | 0.34456 | 1.0519 | / |
| Cr | 0.52861 | 0.6301 | / |
| Er | 0.01172 | 2.9047 | I (O) |
| Eu | 0.14148 | 1.4725 | / |
| Ga | 0.01359 | 2.4716 | I (O) |
| Fe | 0.34456 | 0.9452 | / |
| Gd | 0.43090 | 0.7935 | / |
| Hg | 0.67442 | 0.4487 | / |
| Ho | 0.20758 | 1.8605 | / |
| K | 0.67442 | 0.4201 | / |
| La | 0.17217 | 1.3653 | / |
| Li | 0.52861 | 0.6301 | / |
| Mg | 0.83363 | 0.2100 | / |
| Lu | 0.12781 | 2.0108 | I (O) |
| Mo | 0.14148 | 1.4703 | / |
| Mn | 0.02086 | 2.3105 | I (O) |
| Na | 0.52861 | 0.6301 | / |
| Ni | 0.05871 | 1.8904 | / |
| Nd | 0.63650 | 0.4729 | / |
| P | 0.09289 | 1.6803 | / |
| Pb | 0.00232 | 3.0456 | I (O) |
| Pr | 0.83363 | 0.2111 | / |
| S | 0.40081 | 0.8402 | / |
| Sc | 0.01813 | 2.3665 | I (O) |
| Se | 0.49484 | 0.6831 | / |
| Sm | 0.71319 | 0.3723 | / |
| Tb | 0.09289 | 2.2361 | I (O) |
| Tl | 0.01813 | 2.3752 | I (O) |
| Th | 0.02086 | 2.3173 | I (O) |
| Tm | 0.04871 | 2.3238 | I (O) |
| U | 0.03569 | 2.1288 | I (O) |
| V | 1.00000 | 0.0000 | / |
| W | 0.07420 | 1.7854 | / |
| Y | 0.79290 | 0.2633 | / |
| Yb | 0.18926 | 1.6137 | / |
| Zn | 0.24800 | 1.1552 | / |
Publisher’s Note: MDPI stays neutral with regard to jurisdictional claims in published maps and institutional affiliations. |
© 2021 by the authors. Licensee MDPI, Basel, Switzerland. This article is an open access article distributed under the terms and conditions of the Creative Commons Attribution (CC BY) license (https://creativecommons.org/licenses/by/4.0/).
Share and Cite
Cvijanović, V.; Sarić, B.; Dramićanin, A.; Kodranov, I.; Manojlović, D.; Momirović, N.; Momirović, N.; Milojković-Opsenica, D. Content and Distribution of Macroelements, Microelements, and Rare-Earth Elements in Different Tomato Varieties as a Promising Tool for Monitoring the Distinction between the Integral and Organic Systems of Production in Zeleni hit—Official Enza and Vitalis Trial and Breeding Station. Agriculture 2021, 11, 1009. https://doi.org/10.3390/agriculture11101009
Cvijanović V, Sarić B, Dramićanin A, Kodranov I, Manojlović D, Momirović N, Momirović N, Milojković-Opsenica D. Content and Distribution of Macroelements, Microelements, and Rare-Earth Elements in Different Tomato Varieties as a Promising Tool for Monitoring the Distinction between the Integral and Organic Systems of Production in Zeleni hit—Official Enza and Vitalis Trial and Breeding Station. Agriculture. 2021; 11(10):1009. https://doi.org/10.3390/agriculture11101009
Chicago/Turabian StyleCvijanović, Vojin, Beka Sarić, Aleksandra Dramićanin, Igor Kodranov, Dragan Manojlović, Nevena Momirović, Nebojša Momirović, and Dušanka Milojković-Opsenica. 2021. "Content and Distribution of Macroelements, Microelements, and Rare-Earth Elements in Different Tomato Varieties as a Promising Tool for Monitoring the Distinction between the Integral and Organic Systems of Production in Zeleni hit—Official Enza and Vitalis Trial and Breeding Station" Agriculture 11, no. 10: 1009. https://doi.org/10.3390/agriculture11101009
APA StyleCvijanović, V., Sarić, B., Dramićanin, A., Kodranov, I., Manojlović, D., Momirović, N., Momirović, N., & Milojković-Opsenica, D. (2021). Content and Distribution of Macroelements, Microelements, and Rare-Earth Elements in Different Tomato Varieties as a Promising Tool for Monitoring the Distinction between the Integral and Organic Systems of Production in Zeleni hit—Official Enza and Vitalis Trial and Breeding Station. Agriculture, 11(10), 1009. https://doi.org/10.3390/agriculture11101009

