The Effects of Condensed Molasses Soluble on the Growth and Development of Rapeseed through Seed Germination, Hydroponics and Field Trials
Abstract
1. Introduction
2. Materials and Methods
2.1. Plant Materials and Germination Trials
2.2. Hydroponic Experiments
2.3. Field Trials
2.4. Determination of Plant Growth Parameters
2.5. Determination of Root Vitality and Enzyme Activities in Plants
2.6. Determination of Nutrient Contents in Plants
2.7. Measurement of Nutrient Contents in Soils
2.8. Statistical Analysis
3. Results
3.1. Effects of CMS on Rapeseed Germination and Seedling Growth
3.2. Effects of CMS on Biomass, Root Vigor and Root Morphology in Rapeseed
3.3. Effects of CMS on Chlorophyll Content in Rapeseed at the Seedling Growth Stage
3.4. Effects of CMS on the Regulation of Nutrient Absorption, Accumulation, and Utilization in Rapeseed
3.5. Effects of CMS on Enzyme Activities in Rapeseed during the Seedling Stage
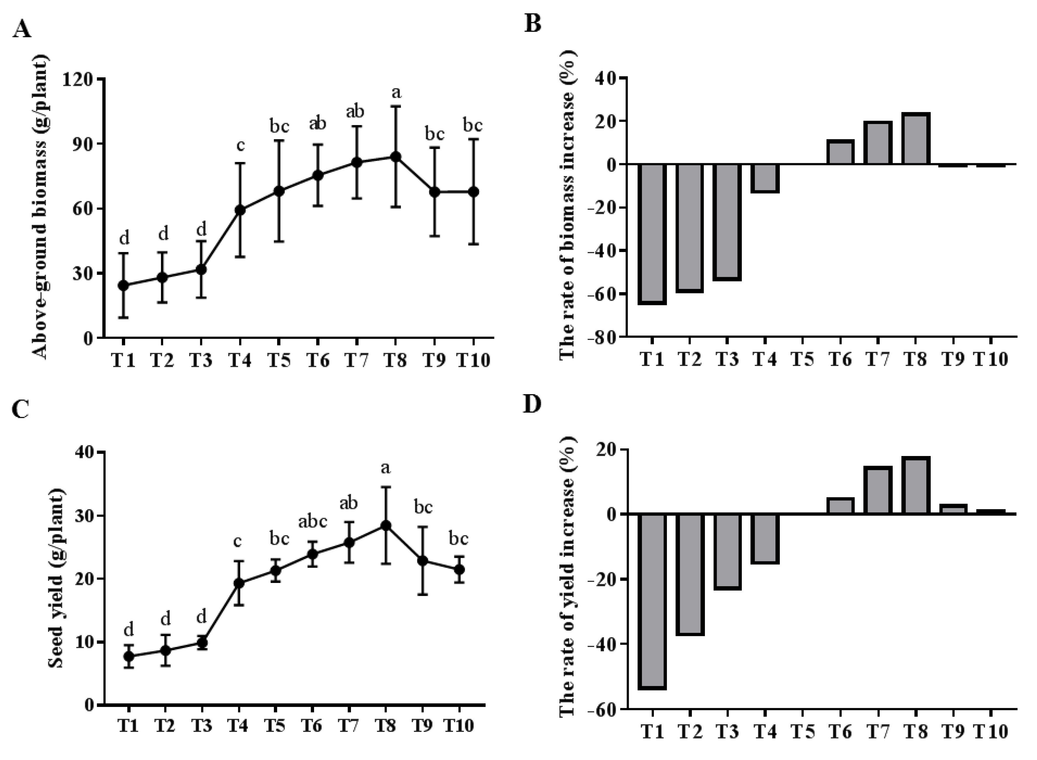
3.6. Effects of Exogenous Application of CMS on Rapeseed Growth at the Mature Stage
3.7. Effects of Exogenous Application of CMS on Rapeseed Nutrient Uptake at the Mature Stage
3.8. Effects of Exogenous Application of CMS on Seed Oil Content and Quality of Oilseed Rape
3.9. Effects of CMS on Soil Fertility
4. Discussion
5. Conclusions
Author Contributions
Funding
Conflicts of Interest
References
- Liang, L.; Zhang, Y.P.; Zhang, L.; Zhu, M.J.; Liang, S.Z.; Huang, Y.N. Study of sugarcane pieces as yeast supports for ethanol production from sugarcane juice and molasses. J. Ind. Microbiol. Biot. 2008, 35, 1605–1613. [Google Scholar] [CrossRef]
- Babu, N.K.; Satyanarayana, B.; Balakrishnan, K.; Rao, T.R.; Rao, G.S. Study of sugarcane pieces as yeast supports for ethanol production from sugarcane juice and molasses using newly isolated yeast from toddy sap. Mycobiology 2012, 40, 35–41. [Google Scholar] [CrossRef]
- Satyawali, Y.; Balakrishnan, M. Wastewater treatment in molasses-based alcohol distilleries for COD and color removal: A review. J. Environ. Manag. 2008, 86, 481–497. [Google Scholar] [CrossRef] [PubMed]
- Shan, L.; Liu, J.; Yu, Y.; Ambuchi, J.J.; Feng, Y. Characterization of persistent colors and decolorization of effluent from biologically treated cellulosic ethanol production wastewater. Environ. Sci. Pollut. Res. Int. 2016, 23, 10215–10222. [Google Scholar] [CrossRef] [PubMed]
- Robles-Gonzalez, V.; Galindez-Mayer, J.; Rinderknecht-Seijas, N.; Poggi-Varaldo, H.M. Treatment of mezcal vinasses: A review. J. Biotechnol. 2012, 157, 524–546. [Google Scholar] [CrossRef] [PubMed]
- Srivastava, P.C.; Singh, R.K.; Srivastava, P.; Shrivastava, M. Utilization of molasses based distillery effluent for fertigation of sugarcane. Biodegradation 2012, 23, 897–905. [Google Scholar] [CrossRef]
- Joshi, H.C.; Pathak, H.; Chaudhary, A.; Kalra, N. Distillery effluent as a source of plant nutrients: Prospects and problems. Fert. News 1996, 41, 41–47. [Google Scholar]
- Suganya, K.; Rajannan, G. Effect of onetime post-sown and pre-sown application of distillery spentwash on the growth and yield of maize crop. Bot. Res. Int. 2009, 2, 288–294. [Google Scholar]
- Turner, P.E.; Meyer, J.H.; King, A.C. Field evaluation of concentrated molasses stillage as a nutrient source for sugarcane in Swaziland. Proc. S. Afr. Sug. Technol. Ass. 2002, 76, 61–70. [Google Scholar]
- Wynne, A.T.; Meyer, J.H. An economic assessment of using molasses and condensed molasses soluble as a fertiliser in the south african sugar industry. Proc. S. Afr. Sug. Technol. Ass. 2002, 76, 71–78. [Google Scholar]
- Ramana, S.; Biswas, A.K.; Singh, A.B.; Yadava, R.B.R. Relative efficacy of different distillery effluents on growth, nitrogen fixation and yield of groundnut. Bioresour. Technol. 2002, 81, 117–121. [Google Scholar] [CrossRef]
- Kang, G.H.; Park, K.D.; Chung, K.Y.; Ha, H.S.; Kang, B.H.; Sohn, B.K.; Ha, H.S.; Heo, J.S.; Cho, J.S. Effects of condensed molasses soluble on chemical and biological properties of soil, and nitrogen mineralization. Korean J. Soil Sci. Fertil. 2004, 6158, 219–228. [Google Scholar]
- Jiang, Z.P.; Li, Y.R.; Wei, G.P.; Liao, Q.; Su, T.M.; Meng, Y.C.; Zhang, H.Y.; Lu, C.Y. Effect of long-term vinasse application on physico-chemical properties of sugarcane field soils. Sugar Tech. 2012, 14, 412–417. [Google Scholar] [CrossRef]
- Wang, Y.; Wei, M.; Bi, L.; Li, Y.; Wang, W.; Ye, Y. Effect of irrigating vinaase waste liquor on the activity of three kinds of enzymes and agronomic characters at seedling stage in sugarcane. Southwest China J. Agric. Sci. 2006, 19, 482–485, (In Chinese with English Abstract). [Google Scholar]
- Wang, W.H.; Mo, Y.C.; Wang, Y.D.; Ye, Y.P.; Li, Y.R. Effects of molasses alcohol waste liquor on the growth and photosynthesis of sugarcane seedlings. Subtrop. Agric. Res. 2006, 2, 26–30, (In Chinese with English Abstract). [Google Scholar]
- Mo, Y.C.; Ye, Y.P.; Shen, Z.Y.; Li, Y.R. Effect of vinasse on the photosynthetic and nitrogen metabolism physiological characteristics and cane yield of sugarcane. Soil Ferti. Sci. China 2009, 3, 62–66, (In Chinese with English Abstract). [Google Scholar]
- Mittler, R.; Vanderauwera, S.; Suzuki, N.; Miller, G.; Tognetti, V.B.; Vandepoele, K.; Gollery, M.; Shulaev, V.; Van Breusegem, F. ROS signaling: The new wave? Trends Plant. Sci. 2011, 16, 300–309. [Google Scholar] [CrossRef]
- Choudhury, F.K.; Rivero, R.M.; Blumwald, E.; Mittler, R. Reactive oxygen species, abiotic stress and stress combination. Plant. J. 2017, 90, 856–867. [Google Scholar] [CrossRef]
- Gill, S.S.; Tuteja, N. Reactive oxygen species and antioxidant machinery in abiotic stress tolerance in crop plants. Plant. Physiol. Biochem. 2010, 48, 909–930. [Google Scholar] [CrossRef]
- Rehmani, M.S.; Chen, Q.Q.; Yan, J.L.; Cui, X.; Gao, S.D.; Niu, F.F.; Yang, L.; Yang, B.; Jiang, Y.Q. A novel stress-responsive BnaNAL1 transcriptional activator in oilseed rape positively modulates reactive oxygen species production and cell death. Environ. Exp. Bot. 2019, 163, 1–14. [Google Scholar] [CrossRef]
- Wang, L.F.; Lu, X.P.; Yuan, H.Y.; Wang, B.; Shen, Q.R. Application of bio-organic fertilizer to control tomato fusarium wilting by manipulating soil microbial communities and development. Commu. Soil Sci. Plan. 2015, 46, 2311–2322. [Google Scholar] [CrossRef]
- Qiu, X.K.; Wang, Y.H.; Hu, G.Q.; Wang, Q.H.; Zhang, X.W.; Dong, Y.J. Effect of different fertilization modes on physiological characteristics, yield and quality of chinese cabbage. J. Plant. Nutr. 2013, 36, 948–962. [Google Scholar] [CrossRef]
- Li, Y.; Wang, X.; Zhang, H.; Wang, S.; Ye, X.; Shi, L.; Xu, F.S.; Ding, G.D. Molecular identification of the phosphate transporter family 1 (PHT1) genes and their expression profiles in response to phosphorus deprivation and other abiotic stresses in Brassica napus. PLoS ONE 2019, 14, e0220374. [Google Scholar] [CrossRef]
- Ding, G.; Zhao, Z.; Liao, Y.; Hu, Y.; Shi, L.; Long, Y.; Xu, F. Quantitative trait loci for seed yield and yield-related traits, and their responses to reduced phosphorus supply in Brassica napus. Ann. Bot. 2012, 109, 747–759. [Google Scholar] [CrossRef] [PubMed]
- Arnon, D.I. Copper enzymes in isolated chloroplasts. Polyphenoloxidase in beta vulgaris. Plant. Physiol. 1949, 24, 1–15. [Google Scholar] [CrossRef]
- Vos, C.; Schat, H.; Waal, M.; Vooijs, R.; Ernst, W. Increased resistance to copper-induced damage of the root cell plasmalemma in copper tolerant Silene cucubalus. Plant. Physiol. 1991, 82, 523–528. [Google Scholar] [CrossRef]
- Beauchamp, C.; Fridovich, I. Superoxide dismutase: Improved assays and an assay applicable to acrylamide gels. Anal. Biochem. 1971, 44, 276–287. [Google Scholar] [CrossRef]
- Aebi, H. Catalase. In Methods of Enzymatic Analysis, 2nd ed.; Bergmeyer, H.-U., Ed.; Academic Press: Cambridge, MA, USA, 1974; Volume 2, pp. 673–684. [Google Scholar]
- Cai, K.; Gao, D.; Luo, S.; Zeng, R.; Yang, J.; Zhu, X. Physiological and cytological mechanisms of silicon-induced resistance in rice against blast disease. Plant. Physiol. 2008, 134, 324–333. [Google Scholar] [CrossRef] [PubMed]
- Hachiya, T.; Watanabe, C.K.; Boom, C.; Tholen, D.; Takahara, K.; Kawai-Yamada, Hirofumi, U.; Yukifumi, U.; Ichiro, T.; Ko, N. Ammonium-dependent respiratory increase is dependent on cytochrome pathway in Arabidopsis thaliana shoots. Plant. Cell Environ. 2010, 33, 1888–1897. [Google Scholar] [CrossRef]
- Clemensson-Lindell, A. Triphenyltetrazolium chloride as an indicator of fine-root vitality and environmental stress in coniferous forest stands: Applications and limitations. Plant. Soil 1994, 159, 297–300. [Google Scholar] [CrossRef]
- Thomas, R.L.; Sheard, R.W.; Moyer, J.R. Comparison of conventional and automated procedures for nitrogen, phosphorus, and potassium analysis of plant material using a single digestion. Agron. J. 1967, 59, 240–243. [Google Scholar] [CrossRef]
- Sparks, D.L.; Page, A.; Helmke, P.; Loeppert, R.; Soltanpour, P.; Tabatabai, M.; Johnston, C.; Sumner, M. Methods of Soil Analysis. Part 3. Chemical Methods; Soil Science Society of America, Inc.: Madison, WI, USA, 1996. [Google Scholar]
- Vaillancourt, M.; Chantigny, M.; Pageau, D.; Vanasse, A. Impact of a clover cover crop combined with organic or mineral fertilizer on yield and nitrogen uptake of canola. Can. J. Plant. Sci. 2018, 98, 332–334. [Google Scholar] [CrossRef]
- Zhang, M.; Yao, Y.; Tian, Y.; Ceng, K.; Zhao, M.; Zhao, M.; Yin, B. Increasing yield and N use efficiency with organic fertilizer in Chinese intensive rice cropping systems. Field Crop. Res. 2018, 227, 102–109. [Google Scholar] [CrossRef]
- Tsioptsias, C.; Petridis, D.; Athanasakis, N.; Lemonidis, I.; Deligiannis, A.; Samaras, P. Post-treatment of molasses wastewater by electrocoagulation and process optimization through response surface analysis. J. Environ. Manag. 2015, 164, 104–113. [Google Scholar] [CrossRef] [PubMed]
- Rajjou, L.; Duval, M.; Gallardo, K.; Catusse, J.; Bally, J.; Job, C.; Job, D. Seed germination and vigor. Annu. Rev. Plant. Biol. 2012, 63, 507–533. [Google Scholar] [CrossRef]
- Signorelli, S.; Considine, M.J. Nitric oxide enables germination by a four-pronged attack on aba-induced seed dormancy. Front. Plant. Sci. 2018, 9, 296–300. [Google Scholar] [CrossRef]
- Arc, E.; Sechet, J.; Corbineau, F.; Rajjou, L.; Marion-Poll, A. ABA crosstalk with ethylene and nitric oxide in seed dormancy and germination. Front. Plant. Sci. 2013, 4, 63–82. [Google Scholar] [CrossRef]
- Semida, W.M.; Rady, M.M. Pre-soaking in 24-epibrassinolide or salicylic acid improves seed germination, seedling growth, and anti-oxidant capacity in Phaseolus vulgaris L. grown under NaCl stress. J. Hortic. Sci. Biotech. 2014, 89, 338–344. [Google Scholar] [CrossRef]









| Component | Concentration (%) | Component | Concentration (mg kg−1) |
|---|---|---|---|
| N | 2.38 | Fe | 54.32 |
| P | 0.5 | Zn | 340.12 |
| K | 5.95 | Mn | 50.64 |
| S | 0.59 | Cu | 5.1 |
| Ca | 0.51 | Mo | 0.07 |
| Mg | 0.7 | B | 0.06 |
| Cl | 6.73 | Ni | 0.02 |
| Na | 1.93 |
| Treatments | CMS (g m−2) | Normal Chemical Fertilizer | CMS Application Period |
|---|---|---|---|
| T1 | - | - | - |
| T2 | 50 | - | Before planting |
| T3 | 200 | - | Before planting |
| T4 | 500 | - | Before planting |
| T5 | - | + | - |
| T6 | 50 | + | Before planting |
| T7 | 200 | + | Before planting |
| T8 | 200 | + | Seedling stage |
| T9 | 200 | + | Bolting stage |
| T10 | 200 | + | Flowering stage |
| Treatments | Seed Weight (g) | Plant Height (cm) | First Primary Branch Height (cm) | Branch Number | Pod Number | Seed Number Per Pod |
|---|---|---|---|---|---|---|
| T1 | 2.00 ± 0.12 a | 134.19 ± 20.86 d | 59.69 ± 18.47 a | 2.3 ± 1.5 c | 116.9 ± 19.2 d | 19.9 ± 1.1 cd |
| T2 | 1.95 ± 0.05 a | 144.25 ± 13.82 cd | 63.75 ± 12.11 a | 3.8 ± 1.0 b | 147.9 ± 16.4 cd | 17.5 ± 1.1 d |
| T3 | 1.95 ± 0.25 a | 143.31 ± 12.97 cd | 69.56 ± 9.67 a | 3.9 ± 1.2 b | 126.3 ± 14 d | 17.4 ± 1.4 d |
| T4 | 1.93 ± 0.27 a | 156.31 ± 29.38 bc | 63.06 ± 12.65 a | 5.3 ± 1.9 a | 190.0 ± 47.7 bc | 22.2 ± 1.3 bc |
| T5 | 2.07 ± 0.14 a | 170.38 ± 16.22 ab | 70.13 ± 11.70 a | 5.4 ± 1.4 a | 222.3 ± 19.5 bc | 25.0 ± 0.5 ab |
| T6 | 1.98 ± 0.02 a | 171.75 ± 13.62 a | 63.56 ± 18.76 a | 6.0 ± 1.6 a | 281.8 ± 25.8 ab | 25.8 ± 0.5 a |
| T7 | 2.01 ± 0.03 a | 173.88 ± 16.05 a | 61.38 ± 14.60 a | 6.4 ± 1.2 a | 329.6 ± 28.9 a | 22.2 ± 0.8 bc |
| T8 | 1.99 ± 0.26 a | 173.88 ± 8.02 a | 63.69 ± 12.43 a | 6.3 ± 1.7 a | 340.1 ± 30.3 a | 24.4 ± 0.9 ab |
| T9 | 2.04 ± 0.18 a | 169.00 ± 20.54 ab | 70.25 ± 16.10 a | 5.7 ± 1.4 a | 279.0 ± 34.8 ab | 23.8 ± 0.6 ab |
| T10 | 1.94 ± 0.05 a | 162.81 ± 32.95 ab | 68.38 ± 13.59 a | 5.4 ± 1.5 a | 259.0 ± 28.6 b | 24.4 ± 0.3 ab |
| Treatments | Oil Content (%) | Protein (%) | Glucosinolate (%) | Erucic Acid (%) | Linolenic Acid (%) | Linoleic Acid (%) | Stearic Acid (%) | Oleic Acid (%) | Palmitic Acid (%) |
|---|---|---|---|---|---|---|---|---|---|
| T1 | 44.3 ± 1.9 b | 23.8 ± 1.6 a | 32.5 ± 3.1 b | 2.1 ± 0.7 b | 10.6 ± 0.6 a | 19.9 ± 1.6 a | 1.5 ± 0.2 ab | 60.8 ± 2.3 ab | 4.2 ± 0.1 a |
| T2 | 48.5 ± 0.6 ab | 20.7 ± 0.3 bc | 36.7 ± 2.4 ab | 2.7 ± 1.3 b | 10.6 ± 0.8 a | 15.3 ± 0.8 b | 1.1 ± 0.1 b | 65.9 ± 2.1 a | 3.7 ± 0.2 b |
| T3 | 48.2 ± 2.4 ab | 20.8 ± 1.7 bc | 35.7 ± 3.1 ab | 2.2 ± 1.2 b | 10.3 ± 0.6 a | 15.6 ± 2.9 b | 1.3 ± 0.4 ab | 65.3 ± 2.8 a | 3.8 ± 0.4 ab |
| T4 | 45.5 ± 3.4 ab | 22.2 ± 2.4 ab | 36.1 ± 2.2 ab | 1.1 ± 0.6 b | 10.1 ± 1.1 a | 17.8 ± 0.8 ab | 1.6 ± 0.2 a | 62.5 ± 1.9 ab | 4.1 ± 0.1 a |
| T5 | 47.3 ± 2.8 ab | 19.5 ± 2.0 bc | 37.1 ± 5.4 ab | 2.3 ± 2.1 b | 9.7 ± 0.8 a | 16.4 ± 1.6 ab | 1.6 ± 0.3 a | 64.7 ± 2.7 a | 4.1 ± 0.3 ab |
| T6 | 49.8 ± 2.4 a | 18.7 ± 1.1 c | 36.5 ± 1.2 ab | 3.5 ± 2.1b | 9.6 ± 0.7 a | 14.8 ± 2.5 b | 1.2 ± 0.1 ab | 66.4 ± 1.5 a | 3.7 ± 0.4 ab |
| T7 | 47.4 ± 3.9 ab | 20.2 ± 2.1 bc | 34.2 ± 2.2 ab | 4.7 ± 5.1 b | 9.8 ± 0.7 a | 15.0 ± 2.0 b | 1.3 ± 0.3 ab | 62.4 ± 7.0 ab | 3.9 ± 0.4 ab |
| T8 | 49.0 ± 2.1 ab | 20.1 ± 1.6 bc | 40.3 ± 8.0 a | 9.2 ± 4.4 a | 9.7 ± 0.6 a | 16.2 ± 3.5 ab | 1.4 ± 0.3 ab | 57.1 ± 8.5 b | 4.0 ± 0.3 ab |
| T9 | 48.2 ± 2.8 ab | 20.0 ± 1.2 bc | 33.5 ± 0.3 ab | 2.7 ± 0.7 b | 9.7 ± 0.8 a | 16.0 ± 2.8 b | 1.2 ± 0.3 ab | 66.6 ± 1.8 a | 3.9 ± 0.1 ab |
| T10 | 48.6 ± 4.3 ab | 20.2 ± 2.3 bc | 36.0 ± 5.6 ab | 2.8 ± 1.5 b | 10.1 ± 0.9 a | 15.7 ± 3.6 b | 1.1 ± 0.1 b | 65.2 ± 3.2 a | 4.0 ± 0.3 ab |
| Treatments | Organic Matter (g/kg) | Total N (g/kg) | Olsen-P (mg/kg) | Available K (mg/kg) |
|---|---|---|---|---|
| T1 | 14.1 ± 5.1 | 1.2 ± 0 b | 11.1 ± 0.6 | 194.1 ± 21.5 bc |
| T2 | 16.2 ± 2.4 | 1.2 ± 0.1 ab | 11.6 ± 2.7 | 199.0 ± 11.7 bc |
| T3 | 18.4 ± 5.1 | 1.3 ± 0.1 ab | 12.2 ± 2.9 | 228.4 ± 36.1 b |
| T4 | 16.8 ± 2.5 | 1.3 ± 0.1 ab | 12.6 ± 4.1 | 290.2 ± 50.6 a |
| T5 | 14.6 ± 1.5 | 1.2 ± 0.1 ab | 14.1 ± 3.8 | 175.5 ± 19.3 c |
| T6 | 18.3 ± 2.9 | 1.3 ± 0.1 ab | 13.6 ± 3.4 | 191.2 ± 24.0 bc |
| T7 | 19.9 ± 3.7 | 1.4 ± 0.2 a | 14.3 ± 2.8 | 234.3 ± 33.9 b |
| T8 | 17.2 ± 4.5 | 1.3 ± 0.2 ab | 12.7 ± 3.7 | 214.7 ± 22.5 bc |
| T9 | 16.0 ± 2.2 | 1.2 ± 0.1 ab | 12.2 ± 6.2 | 216.7 ± 9.3 bc |
| T10 | 16.1 ± 2.1 | 1.3 ± 0.1 ab | 12.3 ± 4.9 | 233.3 ± 22.4 b |
© 2020 by the authors. Licensee MDPI, Basel, Switzerland. This article is an open access article distributed under the terms and conditions of the Creative Commons Attribution (CC BY) license (http://creativecommons.org/licenses/by/4.0/).
Share and Cite
Li, S.; Zhao, X.; Ye, X.; Zhang, L.; Shi, L.; Xu, F.; Ding, G. The Effects of Condensed Molasses Soluble on the Growth and Development of Rapeseed through Seed Germination, Hydroponics and Field Trials. Agriculture 2020, 10, 260. https://doi.org/10.3390/agriculture10070260
Li S, Zhao X, Ye X, Zhang L, Shi L, Xu F, Ding G. The Effects of Condensed Molasses Soluble on the Growth and Development of Rapeseed through Seed Germination, Hydroponics and Field Trials. Agriculture. 2020; 10(7):260. https://doi.org/10.3390/agriculture10070260
Chicago/Turabian StyleLi, Shuang, Xinghai Zhao, Xiangsheng Ye, Limei Zhang, Lei Shi, Fangsen Xu, and Guangda Ding. 2020. "The Effects of Condensed Molasses Soluble on the Growth and Development of Rapeseed through Seed Germination, Hydroponics and Field Trials" Agriculture 10, no. 7: 260. https://doi.org/10.3390/agriculture10070260
APA StyleLi, S., Zhao, X., Ye, X., Zhang, L., Shi, L., Xu, F., & Ding, G. (2020). The Effects of Condensed Molasses Soluble on the Growth and Development of Rapeseed through Seed Germination, Hydroponics and Field Trials. Agriculture, 10(7), 260. https://doi.org/10.3390/agriculture10070260

