Efficacy and Safety of Pembrolizumab for Gemcitabine/Cisplatin-Refractory Biliary Tract Cancer: A Multicenter Retrospective Study
Abstract
1. Introduction
2. Patients and Methods
2.1. Study Population
2.2. PD-L1 IHC Assay
2.3. Treatment Schedule and Response Evaluation
2.4. Assessment of Treatment-Related AEs
2.5. Study Endpoints and Statistical Analysis
3. Results
3.1. Baseline Characteristics
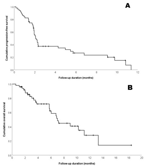
3.2. Clinical Outcomes and AEs
3.3. Factors Associated with Progression
4. Discussion
Author Contributions
Funding
Conflicts of Interest
References
- Jemal, A.; Bray, F.; Center, M.M.; Ferlay, J.; Ward, E.; Forman, D. Global cancer statistics. CA Cancer J. Clin. 2011, 61, 69–90. [Google Scholar] [CrossRef]
- Patel, T. Worldwide trends in mortality from biliary tract malignancies. BMC Cancer 2002, 2, 10. [Google Scholar] [CrossRef] [PubMed]
- Khan, S.A.; Davidson, B.R.; Goldin, R.D.; Heaton, N.; Karani, J.; Pereira, S.P.; Rosenberg, W.M.; Tait, P.; Taylor-Robinson, S.D.; Thillainayagam, A.V.; et al. Guidelines for the diagnosis and treatment of cholangiocarcinoma: An update. Gut 2012, 61, 1657–1669. [Google Scholar] [CrossRef] [PubMed]
- Benson, A.B.; D’Angelica, M.I.; Abbott, D.E.; Abrams, T.A.; Alberts, S.R.; Anaya, D.A.; Anders, R.; Are, C.; Brown, D.; Chang, D.T.; et al. Guidelines insights: Hepatobiliary cancers, version 2.2019. J. Natl. Compr. Canc. Netw. 2019, 17, 302–310. [Google Scholar] [CrossRef] [PubMed]
- Glimelius, B.; Hoffman, K.; Sjoden, P.O.; Jacobsson, G.; Sellstrom, H.; Enander, L.K.; Linne, T.; Svensson, C. Chemotherapy improves survival and quality of life in advanced pancreatic and biliary cancer. Ann. Oncol. 1996, 7, 593–600. [Google Scholar] [CrossRef]
- Sharma, A.; Dwary, A.D.; Mohanti, B.K.; Deo, S.V.; Pal, S.; Sreenivas, V.; Raina, V.; Shukla, N.K.; Thulkar, S.; Garg, P.; et al. Best supportive care compared with chemotherapy for unresectable gall bladder cancer: A randomized controlled study. J. Clin. Oncol. 2010, 28, 4581–4586. [Google Scholar] [CrossRef]
- Valle, J.; Wasan, H.; Palmer, D.H.; Cunningham, D.; Anthoney, A.; Maraveyas, A.; Madhusudan, S.; Iveson, T.; Hughes, S.; Pereira, S.P.; et al. Cisplatin plus gemcitabine versus gemcitabine for biliary tract cancer. N. Engl. J. Med. 2010, 362, 1273–1281. [Google Scholar] [CrossRef]
- Lamarca, A.; Hubner, R.A.; David Ryder, W.; Valle, J.W. Second-line chemotherapy in advanced biliary cancer: A systematic review. Ann. Oncol. 2014, 25, 2328–2338. [Google Scholar] [CrossRef]
- Brahmer, J.R.; Tykodi, S.S.; Chow, L.Q.; Hwu, W.J.; Topalian, S.L.; Hwu, P.; Drake, C.G.; Camacho, L.H.; Kauh, J.; Odunsi, K.; et al. Safety and activity of anti-pd-l1 antibody in patients with advanced cancer. N. Engl. J. Med. 2012, 366, 2455–2465. [Google Scholar] [CrossRef]
- Hamid, O.; Robert, C.; Daud, A.; Hodi, F.S.; Hwu, W.J.; Kefford, R.; Wolchok, J.D.; Hersey, P.; Joseph, R.W.; Weber, J.S.; et al. Safety and tumor responses with lambrolizumab (anti-pd-1) in melanoma. N. Engl. J. Med. 2013, 369, 134–144. [Google Scholar] [CrossRef]
- Topalian, S.L.; Hodi, F.S.; Brahmer, J.R.; Gettinger, S.N.; Smith, D.C.; McDermott, D.F.; Powderly, J.D.; Carvajal, R.D.; Sosman, J.A.; Atkins, M.B.; et al. Safety, activity, and immune correlates of anti-pd-1 antibody in cancer. N. Engl. J. Med. 2012, 366, 2443–2454. [Google Scholar] [CrossRef] [PubMed]
- Freeman, G.J.; Long, A.J.; Iwai, Y.; Bourque, K.; Chernova, T.; Nishimura, H.; Fitz, L.J.; Malenkovich, N.; Okazaki, T.; Byrne, M.C.; et al. Engagement of the pd-1 immunoinhibitory receptor by a novel b7 family member leads to negative regulation of lymphocyte activation. J. Exp. Med. 2000, 192, 1027–1034. [Google Scholar] [CrossRef] [PubMed]
- Le, D.T.; Uram, J.N.; Wang, H.; Bartlett, B.R.; Kemberling, H.; Eyring, A.D.; Skora, A.D.; Luber, B.S.; Azad, N.S.; Laheru, D.; et al. Pd-1 blockade in tumors with mismatch-repair deficiency. N. Engl. J. Med. 2015, 372, 2509–2520. [Google Scholar] [CrossRef] [PubMed]
- Dong, H.; Strome, S.E.; Salomao, D.R.; Tamura, H.; Hirano, F.; Flies, D.B.; Roche, P.C.; Lu, J.; Zhu, G.; Tamada, K.; et al. Tumor-associated b7-h1 promotes t-cell apoptosis: A potential mechanism of immune evasion. Nat. Med. 2002, 8, 793–800. [Google Scholar] [CrossRef]
- Bang, Y.J.; Doi, T.; de Braud, F.; Piha-Paul, S.; Hollebecque, A.; Razak, A.R.A.; Lin, C.C.; Ott, P.A.; He, A.R.; Yuan, S.S.; et al. Safety and efficacy of pembrolizumab (mk-3475) in patients (pts) with advanced biliary tract cancer: Interim results of keynote-028. Eur. J. Cancer 2015. [Google Scholar] [CrossRef]
- Kang, J.; Jeong, J.H.; Hwang, H.S.; Lee, S.S.; Park, D.H.; Oh, D.W.; Song, T.J.; Kim, K.H.; Hwang, S.; Hwang, D.W.; et al. Efficacy and safety of pembrolizumab in patients with refractory advanced biliary tract cancer: Tumor proportion score as a potential biomarker for response. Cancer Res. Treat. 2019. [Google Scholar] [CrossRef]
- Eisenhauer, E.A.; Therasse, P.; Bogaerts, J.; Schwartz, L.H.; Sargent, D.; Ford, R.; Dancey, J.; Arbuck, S.; Gwyther, S.; Mooney, M.; et al. New response evaluation criteria in solid tumours: Revised recist guideline (version 1.1). Eur. J. Cancer 2009, 45, 228–247. [Google Scholar] [CrossRef]
- Phillips, T.; Simmons, P.; Inzunza, H.D.; Cogswell, J.; Novotny, J., Jr.; Taylor, C.; Zhang, X. Development of an automated pd-l1 immunohistochemistry (ihc) assay for non-small cell lung cancer. Appl. Immunohistochem. Mol. Morphol. 2015, 23, 541–549. [Google Scholar] [CrossRef]
- Ott, P.A.; Bang, Y.J.; Piha-Paul, S.A.; Razak, A.R.A.; Bennouna, J.; Soria, J.C.; Rugo, H.S.; Cohen, R.B.; O’Neil, B.H.; Mehnert, J.M.; et al. T-cell-inflamed gene-expression profile, programmed death ligand 1 expression, and tumor mutational burden predict efficacy in patients treated with pembrolizumab across 20 cancers: Keynote-028. J. Clin. Oncol. 2019, 37, 318–327. [Google Scholar] [CrossRef]
- Ueno, M.; Chung, H.C.; Nagrial, A.; Marabelle, A.; Kelley, R.K.; Xu, L.; Mahoney, J.; Pruitt, S.K.; Oh, D.Y. Pembrolizumab for advanced biliary adenocarcinoma: Results from the multicohort, phase ii keynote-158 study. Ann. Oncol. 2018, 29, 210. [Google Scholar] [CrossRef]
- Reck, M.; Rodriguez-Abreu, D.; Robinson, A.G.; Hui, R.; Csoszi, T.; Fulop, A.; Gottfried, M.; Peled, N.; Tafreshi, A.; Cuffe, S.; et al. Pembrolizumab versus chemotherapy for pd-l1-positive non-small-cell lung cancer. N. Engl. J. Med. 2016, 375, 1823–1833. [Google Scholar] [CrossRef] [PubMed]
- Tabernero, J.; Van Cussem, E.; Bang, Y.; Fuchs, C.; Wyrwicz, L.; Lee, K.; Kudaba, I.; Garrido, M.; Chung, C.; Salguero, C.C.; et al. Pembrolizumab with or without chemotherapy versus chemotherapy for first-line treatment of advanced gastric or gastroesophageal junction (g/gej) adenocarcinoma: The phase 3 keynote-062 study. Ann. Oncol. 2019, 30, 152. [Google Scholar] [CrossRef]
- Mok, T.S.K.; Wu, Y.L.; Kudaba, I.; Kowalski, D.M.; Cho, B.C.; Turna, H.Z.; Castro, G.; Srimuninnimit, V.; Laktionov, K.K.; Bondarenko, I.; et al. Pembrolizumab versus chemotherapy for previously untreated, pd-l1-expressing, locally advanced or metastatic non-small-cell lung cancer (keynote-042): A randomised, open-label, controlled, phase 3 trial. Lancet 2019, 393, 1819–1830. [Google Scholar] [CrossRef]
- Gubens, M.A.; Davies, M. Nccn guidelines updates: New immunotherapy strategies for improving outcomes in non-small cell lung cancer. J. Natl. Compr. Canc. Netw. 2019, 17, 574–578. [Google Scholar] [PubMed]
- Ueno, M.; Ikeda, M.; Morizane, C.; Kobayashi, S.; Ohno, I.; Kondo, S.; Okano, N.; Kimura, K.; Asada, S.; Namba, Y.; et al. Nivolumab alone or in combination with cisplatin plus gemcitabine in japanese patients with unresectable or recurrent biliary tract cancer: A non-randomised, multicentre, open-label, phase 1 study. Lancet Gastroenterol. Hepatol. 2019, 4, 611–621. [Google Scholar] [CrossRef]
- Le, D.T.; Durham, J.N.; Smith, K.N.; Wang, H.; Bartlett, B.R.; Aulakh, L.K.; Lu, S.; Kemberling, H.; Wilt, C.; Luber, B.S.; et al. Mismatch repair deficiency predicts response of solid tumors to pd-1 blockade. Science 2017, 357, 409–413. [Google Scholar] [CrossRef]
- Nakamura, H.; Arai, Y.; Totoki, Y.; Shirota, T.; Elzawahry, A.; Kato, M.; Hama, N.; Hosoda, F.; Urushidate, T.; Ohashi, S.; et al. Genomic spectra of biliary tract cancer. Nat. Genet. 2015, 47, 1003–1010. [Google Scholar] [CrossRef]
- Goeppert, B.; Roessler, S.; Renner, M.; Singer, S.; Mehrabi, A.; Vogel, M.N.; Pathil, A.; Czink, E.; Kohler, B.; Springfeld, C.; et al. Mismatch repair deficiency is a rare but putative therapeutically relevant finding in non-liver fluke associated cholangiocarcinoma. Brit. J. Cancer 2019, 120, 109–114. [Google Scholar] [CrossRef]
- Goeppert, B.; Roessler, S.; Renner, M.; Loeffler, M.; Singer, S.; Bausch, M.; Albrecht, T.; Mehrabi, A.; Vogel, M.N.; Pathil, A.; et al. Low frequency of mismatch repair deficiency in gallbladder cancer. Diagn. Pathol. 2019, 14, 36. [Google Scholar] [CrossRef]
- Merk. Keytruda (Pembrolizumab) Injectino for Intravenous Use Prescribing Information. Available online: http://www.merck.com/product/usa/pi_circulars/k/keytruda/keytruda_pi.pdf (accessed on 28 October 2019).


| Characteristics | |
|---|---|
| Age (years) | 66 (43–83) |
| Sex (male) | 29 (56.9%) |
| Performance status | |
| ECOG 0/1/2 | 24 (47.1%)/24 (47.1%)/3 (5.9%) |
| Location | |
| Intrahepatic/extrahepatic/gallbladder | 12 (23.5%)/30 (58.8%)/9 (17.6%) |
| Stage | |
| Locally advanced/metastatic | 6 (11.8%)/45 (88.2%) † |
| Organ of metastasis | |
| Liver | 24 (47.1%) |
| Intra-abdominal lymph node | 24 (47.1%) |
| Peritoneal seeding | 17 (33.3%) |
| Bone | 4 (7.8%) |
| Lung | 2 (3.9%) |
| Histological grading | |
| Well/moderate/poorly/unknown | 3 (5.9%)/28 (54.9%)/14 (27.5%)/6 (11.8%) |
| PD-L1-positive (≥1%) | 51 (100%) |
| 1–5/5–50/≥50 | 35 (68.6%)/11 (21.6%)/5 (9.8%) |
| Laboratory results | |
| Hemoglobin (g/dL) | 10.3 ± 1.8 |
| Albumin (g/dL) | 3.6 ± 0.5 |
| AST (IU/L) | 32 ± 19 |
| ALT (IU/L) | 35 ± 63 |
| Total bilirubin (mg/dL) | 0.72 ± 0.51 |
| CA 19-9 (U/mL) | 276.6 (1.1–24,253.0) |
| Clinical information | |
| Number of prior therapies (1/2/≥3) | 33 (64.7%)/14 (27.5%)/4 (7.8%) |
| Cycles of pembrolizumab | 3.0 (1–15) |
| ≤3/>3 | 33 (64.7%)/27 (35.3%) |
| Combination treatment | 1 (2.0%) ‡ |
| Follow-up duration (months) | 3.8 (0.6–18.4) |
| Variable | |
|---|---|
| Partial response | 5 (9.8%) |
| Stable disease | 13 (25.5%) |
| Progression disease | 33 (64.7%) |
| Disease control rate | 35.3% |
| Time to response (months) † | 2.5 (2.1–8.3) |
| Progression-free survival (months) | 2.1 (95% CI 1.7–2.4) |
| Overall survival (months) | 6.9 (95% CI 5.4–8.3) |
| Variable | Any Grade | Grade 3/4 |
|---|---|---|
| Adverse event | 30 (58.8%) | 4 (7.8%) |
| Non-hematologic | ||
| Fatigue | 11 (21.6%) | 1 (2.0%) |
| AST/ALT elevation | 8 (15.7%) | 0 |
| Nausea | 5 (9.8%) | 1 (2.0%) |
| Poor oral intake | 3 (5.9%) | 2 (3.9%) |
| Skin rash | 3 (5.9%) | 0 |
| Diarrhea | 2 (3.9%) | 1 (2.0%) |
| Hypothyroidism | 2 (3.9%) | 0 |
| Peripheral neuropathy | 2 (3.9%) | 0 |
| Fever | 1 (2.0%) | 0 |
| Facial edema | 1 (1.8%) | 0 |
| Dizziness | 1 (1.8%) | 0 |
| Dyspnea | 1 (1.8%) | 0 |
| Drug-induced pneumonitis | 2 (3.5%) | 2 (3.9%) |
| Hematologic | ||
| Anemia | 3 (5.9%) | 0 |
| Thrombocytopenia | 3 (5.9%) | 0 |
| Variable | Univariate | Multivariate | |
|---|---|---|---|
| p-Value | HR (95% CI) | p-Value | |
| Sex (male) | NS | ||
| Age (>65 years) | NS | ||
| ECOG (>1) | NS | ||
| Tumor location (intrahepatic CCA) | NS | ||
| Stage (metastatic) | NS | ||
| Histological grade (poorly differentiated) † | NS | ||
| PD-L1 group (1–5% vs. 5–50% vs. ≥50%) | NS | ||
| Number or prior therapy (≥2) | 0.018 | 1.917 (0.950–3.866) | 0.069 |
| Hemoglobin (<10 g/dL) | 0.030 | 1.972 (0.966–4.026) | 0.062 |
| Albumin (<3.5 g/dL) | NS | ||
| CA 19-9 (>500 U/mL) | 0.013 | 1.751 (0.822–3.727) | 0.146 |
| Reference | Total N | ORR (n, %) | DCR (n, %) | PFS (months) | OS (months) | All AEs (n, %) | Grade 3/4 AEs (n, %) |
|---|---|---|---|---|---|---|---|
| Ott et al. (2019) [15,19] | 23 | 4 (17%) | 8 (34%) | 1.8 | 6.2 | 15 (63%) | 4 (17%) |
| Kang et al. (2019) [16] | 40 | 4 (10.0%) | 19 (47.5%) | 1.5 | 4.3 | 8 (20.5%) | 0 (0%) |
| Our data | 51 | 5 (9.8%) | 19 (35.2%) | 2.1 | 6.9 | 30 (58.8%) | 4 (7.8%) |
© 2020 by the authors. Licensee MDPI, Basel, Switzerland. This article is an open access article distributed under the terms and conditions of the Creative Commons Attribution (CC BY) license (http://creativecommons.org/licenses/by/4.0/).
Share and Cite
Lee, S.H.; Lee, H.S.; Lee, S.H.; Woo, S.M.; Kim, D.U.; Bang, S. Efficacy and Safety of Pembrolizumab for Gemcitabine/Cisplatin-Refractory Biliary Tract Cancer: A Multicenter Retrospective Study. J. Clin. Med. 2020, 9, 1769. https://doi.org/10.3390/jcm9061769
Lee SH, Lee HS, Lee SH, Woo SM, Kim DU, Bang S. Efficacy and Safety of Pembrolizumab for Gemcitabine/Cisplatin-Refractory Biliary Tract Cancer: A Multicenter Retrospective Study. Journal of Clinical Medicine. 2020; 9(6):1769. https://doi.org/10.3390/jcm9061769
Chicago/Turabian StyleLee, Sang Hoon, Hee Seung Lee, Sang Hyub Lee, Sang Myung Woo, Dong Uk Kim, and Seungmin Bang. 2020. "Efficacy and Safety of Pembrolizumab for Gemcitabine/Cisplatin-Refractory Biliary Tract Cancer: A Multicenter Retrospective Study" Journal of Clinical Medicine 9, no. 6: 1769. https://doi.org/10.3390/jcm9061769
APA StyleLee, S. H., Lee, H. S., Lee, S. H., Woo, S. M., Kim, D. U., & Bang, S. (2020). Efficacy and Safety of Pembrolizumab for Gemcitabine/Cisplatin-Refractory Biliary Tract Cancer: A Multicenter Retrospective Study. Journal of Clinical Medicine, 9(6), 1769. https://doi.org/10.3390/jcm9061769

