Rituximab in the Treatment of Interstitial Lung Disease Associated with Autoimmune Diseases: Experience from a Single Referral Center and Literature Review
Abstract
1. Introduction
2. Materials and Methods
2.1. Patients
2.2. Methods
2.3. Literature Review
2.4. Statistical Analysis
3. Results
3.1. Basal Data of the Patients
3.2. Treatment Before Rituximab
3.3. Rituximab and Concomitant Treatment
3.4. Interstitial Lung Disease Status Preceding RTX Onset
3.5. Outcome of AD-ILD Patients Undergoing RTX Treatment
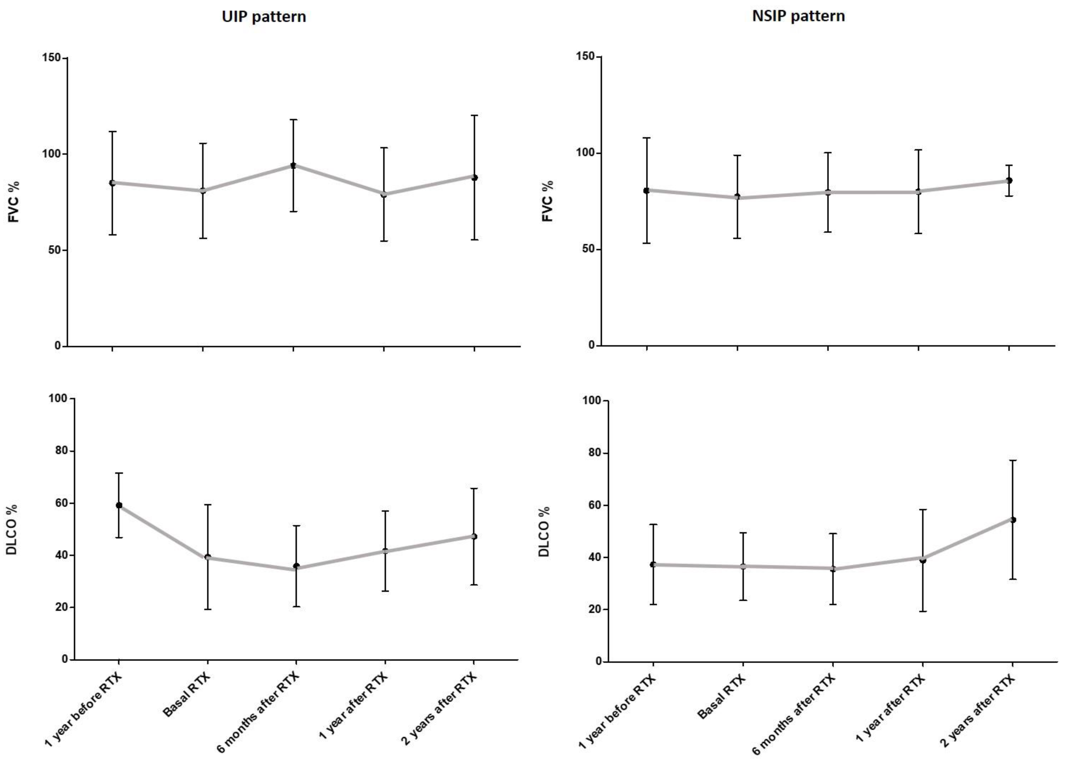
3.6. PFTs Evolution According to UIP and NSIP Pattern
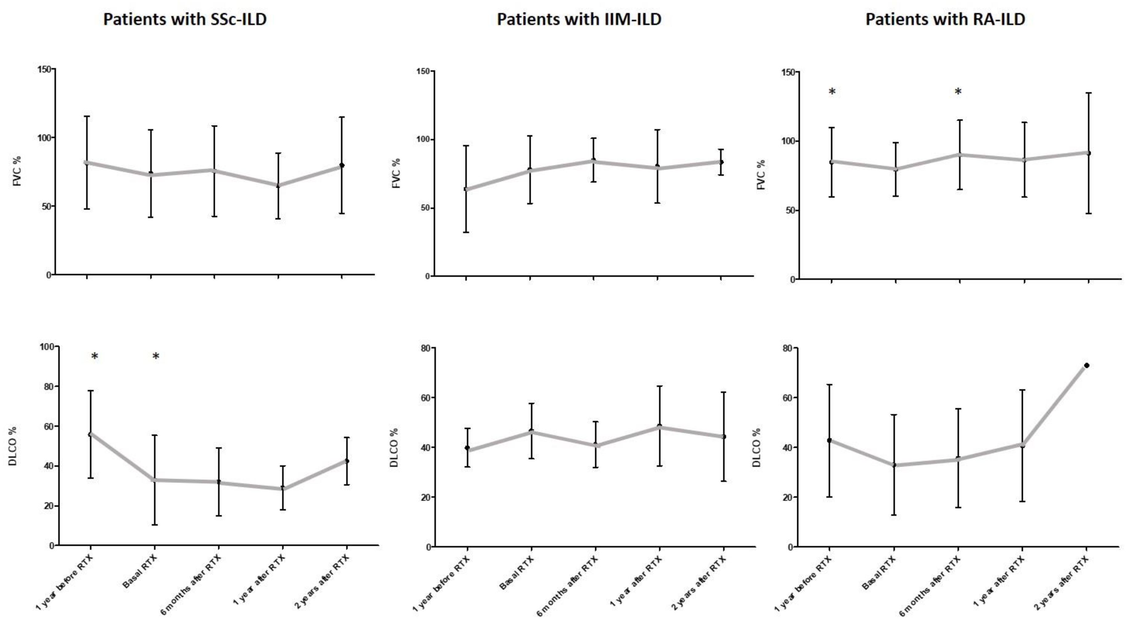
3.7. PFTs Evolution According to the Underlying AD
3.8. Discontinuation, Adverse Events and Optimization of Rituximab
4. Discussion
Author Contributions
Funding
Acknowledgments
Conflicts of Interest
References
- Davidson, A.; Diamond, B. Autoimmune diseases. N. Engl. J. Med. 2001, 345, 340–350. [Google Scholar] [CrossRef]
- Goldblatt, F.; O’Neill, S.G. Clinical aspects of autoimmune rheumatic diseases. Lancet 2013, 382, 797–808. [Google Scholar] [CrossRef]
- Doyle, T.J.; Dellaripa, P.F. Lung Manifestations in the Rheumatic Diseases. Chest 2017, 152, 1283–1295. [Google Scholar] [CrossRef]
- Ha, Y.J.; Lee, Y.J.; Kang, E.H. Lung Involvements in Rheumatic Diseases: Update on the Epidemiology, Pathogenesis, Clinical Features, and Treatment. Biomed. Res. Int. 2018, 2018, 6930297. [Google Scholar] [CrossRef] [PubMed]
- Fischer, A.; du Bois, R. Interstitial lung disease in connective tissue disorders. Lancet 2012, 380, 689–698. [Google Scholar] [CrossRef]
- Cottin, V.; Hirani, N.A.; Hotchkin, D.L.; Nambiar, A.M.; Ogura, T.; Otaola, M.; Skowasch, D.; Park, J.S.; Poonyagariyagorn, H.K.; Wuyts, W.; et al. Presentation, diagnosis and clinical course of the spectrum of progressive-fibrosing interstitial lung diseases. Eur. Respir. Rev. 2018, 27, 180076. [Google Scholar] [CrossRef]
- Atzeni, F.; Gerardi, M.C.; Barilaro, G.; Masala, I.F.; Benucci, M.; Sarzi-Puttini, P. Interstitial lung disease in systemic autoimmune rheumatic diseases: A comprehensive review. Expert. Rev. Clin. Immunol. 2018, 14, 69–82. [Google Scholar] [CrossRef] [PubMed]
- Travis, W.D.; Costabel, U.; Hansell, D.M.; King, T.E., Jr.; Lynch, D.A.; Nicholson, A.G.; Ryerson, C.J.; Ryu, J.H.; Selman, M.; Wells, A.U.; et al. An official American Thoracic Society/European Respiratory Society statement: Update of the international multidisciplinary classification of the idiopathic interstitial pneumonias. Am. J. Respir. Crit. Care Med. 2013, 188, 733–748. [Google Scholar] [CrossRef] [PubMed]
- Kim, E.J.; Elicker, B.M.; Maldonado, F.; Webb, W.R.; Ryu, J.H.; Van Uden, J.H.; Lee, J.S.; King, T.E., Jr.; Collard, H.R. Usual interstitial pneumonia in rheumatoid arthritis-associated interstitial lung disease. Eur. Respir. J. 2010, 35, 1322–1328. [Google Scholar] [CrossRef] [PubMed]
- Atienza-Mateo, B.; Remuzgo-Martínez, S.; Mora Cuesta, V.M.; Iturbe-Fernández, D.; Fernández-Rozas, S.; Prieto-Peña, D.; Calderón-Goercke, M.; Corrales, A.; Blanco Rodríguez, G.B.; Gómez-Román, J.J.; et al. The Spectrum of Interstitial Lung Disease Associated with Autoimmune Diseases: Data of a 3.6-Year Prospective Study from a Referral Center of Interstitial Lung Disease and Lung Transplantation. J. Clin. Med. 2020, 9, 1606. [Google Scholar] [CrossRef]
- Ytterberg, A.J.; Joshua, V.; Reynisdottir, G.; Tarasova, N.K.; Rutishauser, D.; Ossipova, E.; Haj Hensvold, A.; Eklund, A.; Sköld, C.M.; Grunewald, J.; et al. Shared immunological targets in the lungs and joints of patients with rheumatoid arthritis: Identification and validation. Ann. Rheum. Dis. 2015, 74, 1772–1777. [Google Scholar] [CrossRef] [PubMed]
- Vacchi, C.; Sebastiani, M.; Cassone, G.; Cerri, S.; Della Casa, G.; Salvarani, C.; Manfredi, A. Therapeutic Options for the Treatment of Interstitial Lung Disease Related to Connective Tissue Diseases. A Narrative Review. J. Clin. Med. 2020, 9, 407. [Google Scholar] [CrossRef] [PubMed]
- Prieto-Peña, D.; Martínez-Meñaca, A.; Calderón-Goercke, M.; Mora-Cuesta, V.M.; Fernández-Rozas, S.; Iturbe-Fernández, D.; Gómez-Román, J.J.; Cifrián-Martínez, J.M.; Castañeda, S.; Hernández, J.L.; et al. Long-term survival of lung transplantation for interstitial lung disease associated with connective tissue diseases: A study of 26 cases from a referral centre. Clin. Exp. Rheumatol. 2020, 38, 615–620. [Google Scholar] [PubMed]
- Mathai, S.C.; Danoff, S.K. Management of interstitial lung disease associated with connective tissue disease. BMJ 2016, 352, h6819. [Google Scholar] [CrossRef]
- Keir, G.J.; Maher, T.M.; Hansell, D.M.; Denton, C.P.; Ong, V.H.; Singh, S.; Wells, A.U.; Renzoni, E.A. Severe interstitial lung disease in connective tissue disease: Rituximab as rescue therapy. Eur. Respir. J. 2012, 40, 641–648. [Google Scholar] [CrossRef]
- Keir, G.J.; Maher, T.M.; Ming, D.; Abdullah, R.; de Lauretis, A.; Wickremasinghe, M.; Nicholson, A.G.; Hansell, D.M.; Wells, A.U.; Renzoni, E.A. Rituximab in severe, treatment-refractory interstitial lung disease. Respirology. 2014, 19, 353–359. [Google Scholar] [CrossRef]
- Lepri, G.; Avouac, J.; Airò, P.; Anguita Santos, F.; Bellando-Randone, S.; Blagojevic, J.; Garcia Hernàndez, F.; Gonzalez Nieto, J.A.; Guiducci, S.; Jordan, S.; et al. Effects of rituximab in connective tissue disorders related interstitial lung disease. Clin. Exp. Rheumatol. 2016, 34, 181–185. [Google Scholar]
- Duarte, A.C.; Cordeiro, A.; Fernandes, B.M.; Bernardes, M.; Martins, P.; Cordeiro, I.; Santiago, T.; Seixas, M.I.; Ribeiro, A.R.; Santos, M.J. Rituximab in connective tissue disease-associated interstitial lung disease. Clin. Rheumatol. 2019, 38, 2001–2009. [Google Scholar] [CrossRef]
- Bellan, M.; Patrucco, F.; Barone-Adesi, F.; Gavelli, F.; Castello, L.M.; Nerviani, A.; Andreoli, L.; Cavagna, L.; Pirisi, M.; Sainaghi, P.P. Targeting CD20 in the treatment of interstitial lung diseases related to connective tissue diseases: A systematic review. Autoimmun. Rev. 2020, 19, 102453. [Google Scholar] [CrossRef] [PubMed]
- Robles-Perez, A.; Dorca, J.; Castellví, I.; Nolla, J.M.; Molina-Molina, M.; Narváez, J. Rituximab effect in severe progressive connective tissue disease-related lung disease: Preliminary data. Rheumatol. Int. 2020, 40, 719–726. [Google Scholar] [CrossRef] [PubMed]
- Allenbach, Y.; Guiguet, M.; Rigolet, A.; Marie, I.; Hachulla, E.; Drouot, L.; Jouen, F.; Jacquot, S.; Mariampillai, K.; Musset, L.; et al. Efficacy of rituximab in refractory inflammatory myopathies associated with anti- Synthetase auto-antibodies: An open-label, phase II trial. PLoS ONE 2015, 10, e0133702. [Google Scholar] [CrossRef] [PubMed]
- Daoussis, D.; Melissaropoulos, K.; Sakellaropoulos, G.; Antonopoulos, I.; Markatseli, T.E.; Simopoulou, T.; Georgiou, P.; Andonopoulos, A.P.; Drosos, A.A.; Sakkas, L.; et al. A multicenter, open-label, comparative study of B-cell depletion therapy with Rituximab for systemic sclerosis-associated interstitial lung disease. Semin. Arthritis Rheum. 2017, 46, 625–631. [Google Scholar] [CrossRef] [PubMed]
- Doyle, T.J.; Dhillon, N.; Madan, R.; Cabral, F.; Fletcher, E.A.; Koontz, D.C.; Aggarwal, R.; Osorio, J.C.; Rosas, I.O.; Oddis, C.V.; et al. Rituximab in the treatment of interstitial lung disease associated with antisynthetase syndrome: A multicenter retrospective case review. J. Rheumatol. 2018, 45, 841–850. [Google Scholar] [CrossRef] [PubMed]
- Jordan, S.; Distler, J.H.; Britta, M.; Huscher, D.; van Laar, J.M.; Allanore, Y.; Distler, O.; EUSTAR Rituximab Study Group. Effects and safety of rituximab in systemic sclerosis: An analysis from the European Scleroderma Trial and Research (EUSTAR) group. Ann. Rheum. Dis. 2015, 74, 1188–1194. [Google Scholar] [CrossRef] [PubMed]
- Giuggioli, D.; Lumetti, F.; Colaci, M.; Fallahi, P.; Antonelli, A.; Ferri, C. Rituximab in the treatment of patients with systemic sclerosis. Our experience and review of the literature. Autoimmun. Rev. 2015, 14, 1072–1078. [Google Scholar] [CrossRef]
- Melsens, K.; Vandecasteele, E.; Deschepper, E.; Badot, V.; Blockmans, D.; Brusselle, G.; De Langhe, E.; De Pauw, M.; Debusschere, C.; Decuman, S.; et al. Two years follow-up of an open-label pilot study of treatment with rituximab in patients with early diffuse cutaneous systemic sclerosis. Acta Clin. Belg. 2018, 73, 119–125. [Google Scholar] [CrossRef]
- Elhai, M.; Boubaya, M.; Distler, O.; Smith, V.; Matucci-Cerinic, M.; Alegre Sancho, J.J.; Truchetet, M.E.; Braun-Moscovici, Y.; Iannone, F.; Novikov, P.I.; et al. Outcomes of patients with systemic sclerosis treated with rituximab in contemporary practice: A prospective cohort study. Ann. Rheum. Dis. 2019, 78, 979–987. [Google Scholar] [CrossRef]
- Mikolasch, T.A.; Garthwaite, H.S.; Porter, J.C. Update in diagnosis and management of interstitial lung disease. Clin. Med. 2017, 17, 146–153. [Google Scholar] [CrossRef]
- Lynch, D.A.; Sverzellati, N.; Travis, W.D.; Brown, K.K.; Colby, T.V.; Galvin, J.R.; Goldin, J.G.; Hansell, D.M.; Inoue, Y.; Johkoh, T.; et al. Diagnostic criteria for idiopathic pulmonary fibrosis: A Fleischner Society White Paper. Lancet Respir. Med. 2018, 6, 138–153. [Google Scholar] [CrossRef]
- Wells, A.U.; Denton, C.P. Interstitial lung disease in connective tissue disease--mechanisms and management. Nat. Rev. Rheumatol. 2014, 10, 728–739. [Google Scholar] [CrossRef]
- Singh, S.; Kumar, N.K.; Dwiwedi, P.; Charan, J.; Kaur, R.; Sidhu, P.; Chugh, V.K. Monoclonal Antibodies: A Review. Curr. Clin. Pharmacol. 2018, 13, 85–99. [Google Scholar] [CrossRef] [PubMed]
- Fanouriakis, A.; Kostopoulou, M.; Alunno, A.; Aringer, M.; Bajema, I.; Boletis, J.N.; Cervera, R.; Doria, A.; Gordon, C.; Govoni, M.; et al. 2019 update of the EULAR recommendations for the management of systemic lupus erythematosus. Ann. Rheum. Dis. 2019, 78, 736–745. [Google Scholar] [CrossRef] [PubMed]
- Andréu Sánchez, J.L.; Fernández Castro, M.; Del Campo Fontecha, P.D.; Corominas, H.; Narváez García, F.J.; Gómez de Salazar, J.R.; Rua-Figueroa, Í.; Abad Hernández, M.Á.; Álvarez Rivas, M.N.; Montes, J.D.P.; et al. SER recommendations on the use of biological drugs in primary Sjögren’s syndrome. Reumatol. Clin. 2019, 15, 315–326. [Google Scholar] [CrossRef]
- Ramos-Casals, M.; Brito-Zerón, P.; Bombardieri, S.; Bootsma, H.; De Vita, S.; Dörner, T.; Fisher, B.A.; Gottenberg, J.E.; Hernandez-Molina, G.; Kocher, A.; et al. EULAR recommendations for the management of Sjögren’s syndrome with topical and systemic therapies. Ann. Rheum. Dis. 2020, 79, 3–18. [Google Scholar] [CrossRef] [PubMed]
- Andersson, H.; Sem, M.; Lund, M.B.; Aaløkken, T.M.; Günther, A.; Walle-Hansen, R.; Garen, T.; Molberg, Ø. Long-term experience with rituximab in anti-synthetase syndrome-related interstitial lung disease. Rheumatology 2015, 54, 1420–1428. [Google Scholar] [CrossRef]
- Sircar, G.; Goswami, R.P.; Sircar, D.; Ghosh, A.; Ghosh, P. Intravenous cyclophosphamide vs. rituximab for the treatment of early diffuse scleroderma lung disease: Open label, randomized, controlled trial. Rheumatology 2018, 57, 2106–2113. [Google Scholar] [CrossRef] [PubMed]
- Sari, A.; Guven, D.; Armagan, B.; Erden, A.; Kalyoncu, U.; Karadag, O.; Apras Bilgen, S.; Ertenli, I.; Kiraz, S.; Akdogan, A. Rituximab experience in patients with long-standing systemic sclerosis-associated interstitial lung disease: A Series of 14 Patients. J. Clin. Rheumatol. 2017, 23, 411–415. [Google Scholar] [CrossRef]
- Reynolds, J.A.; Toescu, V.; Yee, C.S.; Prabu, A.; Situnayake, D.; Gordon, C. Effects of rituximab on resistant SLE disease including lung involvement. Lupus 2009, 18, 67–73. [Google Scholar] [CrossRef]
- Chen, M.H.; Chen, C.K.; Chou, H.P.; Chen, M.H.; Tsai, C.Y.; Chang, D.M. Rituximab therapy in primary Sjögren’s syndrome with interstitial lung disease: A retrospective cohort study. Clin. Exp. Rheumatol. 2016, 34, 1077–1084. [Google Scholar]
- Md Yusof, M.Y.; Kabia, A.; Darby, M.; Lettieri, G.; Beirne, P.; Vital, E.M.; Dass, S.; Emery, P. Effect of rituximab on the progression of rheumatoid arthritis-related interstitial lung disease: 10 years’ experience at a single centre. Rheumatology 2017, 56, 1348–1357. [Google Scholar] [CrossRef]
- Vadillo, C.; Nieto, M.A.; Romero-Bueno, F.; Leon, L.; Sanchez-Pernaute, O.; Rodriguez-Nieto, M.J.; Freites, D.; Jover, J.A.; Álvarez-Sala, J.L.; Abasolo, L. Efficacy of rituximab in slowing down progression of rheumatoid arthritis-related interstitial lung disease: Data from the NEREA Registry. Rheumatology 2020, 59, 2099–2108. [Google Scholar] [CrossRef] [PubMed]
- Katsumata, Y.; Kawaguchi, Y.; Yamanaka, H. Interstitial Lung Disease with ANCA-associated Vasculitis. Clin. Med. Insights Circ. Respir. Pulm. Med. 2015, 9, 51–56. [Google Scholar] [CrossRef] [PubMed]
- Fitzgerald, D.B.; Moloney, F.; Twomey, M.; O’Connell, J.O.; Cronin, O.; Harty, L.; Harney, S.; Henry, M.T. Efficacy and Safety of Rituximab in Connective Tissue Disease related Interstitial Lung Disease. Sarcoidosis Vasc. Diffuse Lung. Dis. 2015, 32, 215–221. [Google Scholar] [PubMed]
- Kolb, M.; Vašáková, M. The natural history of progressive fibrosing interstitial lung diseases. Respir Res. 2019, 20, 57. [Google Scholar] [CrossRef] [PubMed]
- Sharp, C.; McCabe, M.; Dodds, N.; Edey, A.; Mayers, L.; Adamali, H.; Millar, A.B.; Gunawardena, H. Rituximab in autoimmune connective tissue disease-associated interstitial lung disease. Rheumatology 2016, 55, 1318–1324. [Google Scholar] [CrossRef] [PubMed]
- du Bois, R.M.; Weycker, D.; Albera, C.; Bradford, W.Z.; Costabel, U.; Kartashov, A.; King, T.E., Jr.; Lancaster, L.; Noble, P.W.; Sahn, S.A.; et al. Forced vital capacity in patients with idiopathic pulmonary fibrosis: Test properties and minimal clinically important difference. Am. J. Respir. Crit. Care Med. 2011, 184, 1382–1389. [Google Scholar] [CrossRef]
- Patel, A.S.; Siegert, R.J.; Keir, G.J.; Bajwah, S.; Barker, R.D.; Maher, T.M.; Renzoni, E.A.; Wells, A.U.; Higginson, I.J.; Birring, S.S. The minimal important difference of the King’s Brief Interstitial Lung Disease Questionnaire (K-BILD) and forced vital capacity in interstitial lung disease. Respir. Med. 2013, 107, 1438–1443. [Google Scholar] [CrossRef]
- Chartrand, S.; Swigris, J.J.; Peykova, L.; Fischer, A. Rituximab for the treatment of connective tissue disease-associated interstitial lung disease. Sarcoidosis Vasc. Diffuse Lung. Dis. 2016, 32, 296–304. [Google Scholar]
- McGonagle, D.; Tan, A.L.; Madden, J.; Rawstron, A.C.; Rehman, A.; Emery, P.; Thomas, S. Successful treatment of resistant scleroderma-associated interstitial lung disease with rituximab. Rheumatology 2008, 47, 552–553. [Google Scholar] [CrossRef]
- Yáñez, V.J.; Cisternas, M.M.; Saldías, H.V.; Saldías, P.F. Dermatomiositis refractaria asociada a neumonía en organización tratada con rituximab: Reporte de un caso [Refractory dermatomyositis associated with chronic organizing pneumonia treated with rituximab: Report of one case]. Rev. Med. Chil. 2009, 137, 88–93. [Google Scholar]
- Lafyatis, R.; Kissin, E.; York, M.; Farina, G.; Viger, K.; Fritzler, M.J.; Merkel, P.A.; Simms, R.W. B cell depletion with rituximab in patients with diffuse cutaneous systemic sclerosis. Arthritis Rheum. 2009, 60, 578–583. [Google Scholar] [CrossRef] [PubMed]
- Sem, M.; Molberg, O.; Lund, M.B.; Gran, J.T. Rituximab treatment of the anti-synthetase syndrome: A retrospective case series. Rheumatology 2009, 48, 968–971. [Google Scholar] [CrossRef] [PubMed]
- Vandenbroucke, E.; Grutters, J.C.; Altenburg, J.; Boersma, W.G.; ter Borg, E.J.; van den Bosch, J.M. Rituximab in life threatening antisynthetase syndrome. Rheumatol. Int. 2009, 29, 1499–1502. [Google Scholar] [CrossRef] [PubMed]
- Daoussis, D.; Liossis, S.N.; Tsamandas, A.C.; Kalogeropoulou, C.; Kazantzi, A.; Sirinian, C.; Karampetsou, M.; Yiannopoulos, G.; Andonopoulos, A.P. Experience with rituximab in scleroderma: Results from a 1-year, proof-of-principle study. Rheumatology 2010, 49, 271–280. [Google Scholar] [CrossRef] [PubMed]
- Yoo, W.H. Successful treatment of steroid and cyclophosphamide-resistant diffuse scleroderma-associated interstitial lung disease with rituximab. Rheumatol. Int. 2012, 32, 795–798. [Google Scholar] [CrossRef] [PubMed]
- Haroon, M.; McLaughlin, P.; Henry, M.; Harney, S. Cyclophosphamide-refractory scleroderma-associated interstitial lung disease: Remarkable clinical and radiological response to a single course of rituximab combined with high-dose corticosteroids. Ther. Adv. Respir. Dis. 2011, 5, 299–304. [Google Scholar] [CrossRef]
- Zappa, M.C.; Trequattrini, T.; Mattioli, F.; Rivitti, R.; Vigliarolo, R.; Marcoccia, A.; D’Arcangelo, G. Rituximab treatment in a case of antisynthetase syndrome with severe interstitial lung disease and acute respiratory failure. Multidiscip. Respir. Med. 2011, 6, 183–188. [Google Scholar] [CrossRef] [PubMed]
- Hartung, W.; Maier, J.; Pfeifer, M.; Fleck, M. Effective treatment of rheumatoid arthritis-associated interstitial lung disease by B-cell targeted therapy with rituximab. Case Reports Immunol. 2012, 2012, 272303. [Google Scholar] [CrossRef]
- Marie, I.; Dominique, S.; Janvresse, A.; Levesque, H.; Menard, J.F. Rituximab therapy for refractory interstitial lung disease related to antisynthetase syndrome. Respir. Med. 2012, 106, 581–587. [Google Scholar] [CrossRef]
- Daoussis, D.; Liossis, S.N.; Tsamandas, A.C.; Kalogeropoulou, C.; Paliogianni, F.; Sirinian, C.; Yiannopoulos, G.; Andonopoulos, A.P. Effect of long-term treatment with rituximab on pulmonary function and skin fibrosis in patients with diffuse systemic sclerosis. Clin. Exp. Rheumatol. 2012, 30, S17–S22. [Google Scholar]
- Unger, L.; Kampf, S.; Lüthke, K.; Aringer, M. Rituximab therapy in patients with refractory dermatomyositis or polymyositis: Differential effects in a real-life population. Rheumatology 2014, 53, 1630–1638. [Google Scholar] [CrossRef] [PubMed]
- Sumida, H.; Asano, Y.; Tamaki, Z.; Aozasa, N.; Taniguchi, T.; Takahashi, T.; Toyama, T.; Ichimura, Y.; Noda, S.; Akamata, K.; et al. Successful experience of rituximab therapy for systemic sclerosis-associated interstitial lung disease with concomitant systemic lupus erythematosus. J. Dermatol. 2014, 41, 418–420. [Google Scholar] [CrossRef] [PubMed]
- Bosello, S.L.; De Luca, G.; Rucco, M.; Berardi, G.; Falcione, M.; Danza, F.M.; Pirronti, T.; Ferraccioli, G. Long-term efficacy of B cell depletion therapy on lung and skin involvement in diffuse systemic sclerosis. Semin. Arthritis Rheum. 2015, 44, 428–436. [Google Scholar] [CrossRef] [PubMed]
- Koichi, Y.; Aya, Y.; Megumi, U.; Shunichi, K.; Masafumi, S.; Hiroaki, M.; Masahiko, K.; Shinsuke, K.; Manabu, U.; Kenichiro, H.; et al. A case of anti-MDA5-positive rapidly progressive interstitial lung disease in a patient with clinically amyopathic dermatomyositis ameliorated by rituximab, in addition to standard immunosuppressive treatment. Mod. Rheumatol. 2017, 27, 536–540. [Google Scholar] [CrossRef]
- Watanabe, R.; Ishii, T.; Araki, K.; Ishizuka, M.; Kamogawa, Y.; Fujita, Y.; Shirota, Y.; Fujii, H.; Harigae, H. Successful multi-target therapy using corticosteroid, tacrolimus, cyclophosphamide, and rituximab for rapidly progressive interstitial lung disease in a patient with clinically amyopathic dermatomyositis. Mod. Rheumatol. 2016, 26, 465–466. [Google Scholar] [CrossRef] [PubMed]
- Dasa, O.; Ruzieh, M.; Oraibi, O. Successful Treatment of Life-Threatening Interstitial Lung Disease Secondary to Antisynthetase Syndrome Using Rituximab: A Case Report and Review of the Literature. Am. J. Ther. 2016, 23, e639–e645. [Google Scholar] [CrossRef] [PubMed]
- Paola, C.; Giuliana, F.; Giovanni, O.; Cristian, C.; Domenico, B. Dramatic improvement of anti-SS-A/Ro-associated interstitial lung disease after immunosuppressive treatment. Rheumatol. Int. 2016, 36, 1015–1021. [Google Scholar] [CrossRef]
- Eissa, K.; Palomino, J. B-Cell Depletion Salvage Therapy in Rapidly Progressive Dermatomyositis Related Interstitial Lung Disease. J. La. State Med. Soc. 2016, 168, 99–100. [Google Scholar] [CrossRef]
- Bauhammer, J.; Blank, N.; Max, R.; Lorenz, H.M.; Wagner, U.; Krause, D.; Fiehn, C. Rituximab in the Treatment of Jo1 Antibody-associated Antisynthetase Syndrome: Anti-Ro52 Positivity as a Marker for Severity and Treatment Response. J. Rheumatol. 2016, 43, 1566–1574. [Google Scholar] [CrossRef]
- Ebata, S.; Yoshizaki, A.; Fukasawa, T.; Nakamura, K.; Yamashita, T.; Miura, S.; Saigusa, R.; Ichimura, Y.; Takahashi, T.; Hirabayashi, M.; et al. Unprecedented success of rituximab therapy for prednisolone- and immunosuppressant-resistant systemic sclerosis-associated interstitial lung disease. Scand. J. Rheumatol. 2017, 46, 247–252. [Google Scholar] [CrossRef]
- Boonstra, M.; Meijs, J.; Dorjée, A.L.; Marsan, N.A.; Schouffoer, A.; Ninaber, M.K.; Quint, K.D.; Bonte-Mineur, F.; Huizinga, T.W.J.; Scherer, H.U.; et al. Rituximab in early systemic sclerosis. RMD Open 2017, 3, e000384. [Google Scholar] [CrossRef] [PubMed]
- Chao, R.; Das, M.; Philip, C.; Efthimiou, P. Oxygen-Dependent Patient with Antisynthetase Syndrome Associated Interstitial Lung Disease Responds Promptly to Rituximab with Rapid Pulmonary Function Improvement. Mediterr. J. Rheumatol. 2017, 28, 153–156. [Google Scholar] [CrossRef] [PubMed]
- Mohammed, A.G.A.; Alshihre, A.; Al-Homood, I.A. Rituximab treatment in patients with systemic sclerosis and interstitial lung disease. Ann. Thorac. Med. 2017, 12, 294–297. [Google Scholar] [PubMed]
- Numajiri, H.; Yoshizaki, A.; Ebata, S.; Fukasawa, T.; Yamashita, T.; Takahashi, T.; Taniguchi, T.; Asano, Y.; Sato, S. Successful treatment with rituximab in a Japanese patient with systemic sclerosis-associated interstitial lung disease resistant to oral steroid and cyclophosphamide. J. Dermatol. 2018, 45, e140–e141. [Google Scholar] [CrossRef]
- Thiebaut, M.; Launay, D.; Rivière, S.; Mahévas, T.; Bellakhal, S.; Hachulla, E.; Fain, O.; Mekinian, A. Efficacy and safety of rituximab in systemic sclerosis: French retrospective study and literature review. Autoimmun. Rev. 2018, 17, 582–587. [Google Scholar] [CrossRef]
- So, H.; Wong, V.T.L.; Lao, V.W.N.; Pang, H.T.; Yip, R.M.L. Rituximab for refractory rapidly progressive interstitial lung disease related to anti-MDA5 antibody-positive amyopathic dermatomyositis. Clin. Rheumatol. 2018, 37, 1983–1989. [Google Scholar] [CrossRef]
- Fraticelli, P.; Fischetti, C.; Salaffi, F.; Carotti, M.; Mattioli, M.; Pomponio, G.; Gabrielli, A. Combination therapy with rituximab and mycophenolate mofetil in systemic sclerosis. A single-centre case series study. Clin. Exp. Rheumatol. 2018, 36, 142–145. [Google Scholar]
- Jensen, M.L.; Løkke, A.; Hilberg, O.; Hyldgaard, C.; Bendstrup, E.; Tran, D. Clinical characteristics and outcome in patients with antisynthetase syndrome associated interstitial lung disease: A retrospective cohort study. Eur. Clin. Respir. J. 2019, 6, 1583516. [Google Scholar] [CrossRef]
- Rüegg, C.A.; Maurer, B.; Laube, I.; Scholtze, D. Jo1-antisynthetase syndrome and severe interstitial lung disease with organising pneumonia on histopathology with favourable outcome on early combined treatment with corticosteroids, mycophenolate mofetil and rituximab. BMJ Case. Rep. 2019, 12, e231006. [Google Scholar]
- Kourkouni, E.; Mitsogiannis, G.; Simopoulou, T.; Liaskos, C.; Katsiari, C.G.; Daniil, Z.; Gourgoulianis, K.; Bogdanos, D.P.; Sakkas, L.I. Interstitial Lung Disease in Anti-Synthetase Syndrome. Mediterr. J. Rheumatol. 2019, 30, 186–189. [Google Scholar] [CrossRef]
- Melissaropoulos, K.; Kraniotis, P.; Bogdanos, D.; Dimitroulas, T.; Sakkas, L.; Daoussis, D. Targeting very early systemic sclerosis: A case-based review. Rheumatol. Int. 2019, 39, 1961–1970. [Google Scholar] [CrossRef] [PubMed]
- Ebata, S.; Yoshizaki, A.; Fukasawa, T.; Miura, S.; Takahashi, T.; Sumida, H.; Asano, Y.; Sato, S. Rituximab therapy is more effective than cyclophosphamide therapy for Japanese patients with anti-topoisomerase I-positive systemic sclerosis-associated interstitial lung disease. J. Dermatol. 2019, 46, 1006–1013. [Google Scholar] [CrossRef] [PubMed]
- Duarte, A.C.; Porter, J.C.; Leandro, M.J. The lung in a cohort of rheumatoid arthritis patients-an overview of different types of involvement and treatment. Rheumatology 2019, 58, 2031–2203. [Google Scholar] [CrossRef] [PubMed]



| Characteristics | |
|---|---|
| Sex (Women/Men), n (%) | 13/13 (50.0/50.0) |
| Age at AD diagnosis, years, mean ± SD | 55.5 ± 12.1 |
| Age at ILD diagnosis, years, mean ± SD | 58.3 ± 11.1 |
| Age at RTX onset, years, mean ± SD | 58.9 ± 10.2 |
| Rheumatic autoimmune disease, n (%) | |
| Systemic sclerosis | 7 (26.9) |
| Idiopathic inflammatory myositis | 6 (23.1) |
| Rheumatoid arthritis | 5 (19.3) |
| Interstitial pneumonia with autoimmune features | 3 (11.5) |
| Primary Sjögren’s syndrome | 3 (11.5) |
| MPO-ANCA positive | 2 (7.7) |
| High-resolution computed tomography pattern, n (%) | |
| UIP pattern | 11 (42.4) |
| Probable UIP pattern | 1 (3.8) |
| Indeterminate for UIP pattern | 1 (3.8) |
| Features most consistent with an alternative diagnosis | |
| NSIP pattern | 12 (46.2) |
| Non-NSIP pattern | 1 (3.8) |
| IS treatment at RTX indication, n (%) | |
| Glucocorticoids | 18 (69.2) |
| Hydroxychloroquine | 5 (19.3) |
| Mycophenolate mofetil | 4 (15.4) |
| Azathioprine | 3 (11.5) |
| Methotrexate | 1 (3.8) |
| Sulphasalazine | 1 (3.8) |
| Tacrolimus | 1 (3.8) |
| Tocilizumab | 1 (3.8) |
| Abatacept | 1 (3.8) |
| Concomitant treatment, n (%) | |
| Glucocorticoids | 21 (80.7) |
| Hydroxychloroquine | 8 (30.7) |
| Mycophenolate mofetil | 7 (26.9) |
| Azathioprine | 3 (11.5) |
| Sulphasalazine | 1 (3.8) |
| Tacrolimus | 1 (3.8) |
| I.V. immunoglobulins | 1 (3.8) |
| 1 Year before RTX | Basal RTX | 6 Months after RTX | 1 Year after RTX | 2 Years after RTX | |
|---|---|---|---|---|---|
| FVC %, mean ± SD | 81.5 ± 26.7 | 78.8 ± 22.7 | 84.6 ± 22.9 | 79.3 ± 22.5 | 83.0 ± 26.2 |
| FEV1 %, mean ± SD | 79.0 ± 22.7 | 78.6 ± 22.2 | 81.1 ± 21.3 | 78.6 ± 21.5 | 82.0 ± 24.9 |
| DLCO %, mean ± SD | 45.0 ± 16.3 | 39.3 ± 15.8 * | 37.1 ± 13.7 | 39.7 ± 16.2 * | 49.9 ± 18.5 |
| Author a | Study Design | Number of Cases b | Rheumatic ADs Included (n) | Follow-Up (Months) c/Cycles | ILD Improvement |
|---|---|---|---|---|---|
| McGonagle et al. [49] | Case report | 1 | SSc | 24/2 | FVC, DLCO and HRCT |
| Yáñez et al. [50] | Case report | 1 | IIM (DM) | 15/2 | FVC, FEV1, DLCO and HRCT |
| Lafyatis et al. [51] | Clinical trial | 7 | SSc | 6/1 | (FVC, DLCO and HRCT stb) |
| Sem et al. [52] | Retrospective cohort | 11 | IIM (ASS) | 6/1 | FVC (n = 6) and DLCO (n = 3) HRCT (n = 5/9) |
| Vandenbroucke et al. [53] | Case report | 1 | IIM (ASS) | 3/1 | FVC, FEV1 and HRCT |
| Daoussis et al. [54] | Clinical trial | 8 | SSc | 12/2 | FVC and DLCO (HRTC stb) |
| Yoo [55] | Case report | 1 | SSc | 1/1 | FVC, DLCO and HRCT |
| Haroon et al. [56] | Case report | 1 | SSc | 12/1 | FVC, FEV1, DLCO and HRCT |
| Zappa et al. [57] | Case report | 1 | IIM (ASS) | 14/2 | FVC, FEV1, DLCO and HRCT |
| Hartung et al. [58] | Case report | 1 | RA | 8/2 | FVC (no HRCT performed) |
| Marie et al. [59] | Retrospective cohort | 7 | IIM (ASS) | 12/2 | FVC, FEV1 and DLCO HRCT (n = 5; +2 stb) |
| Keir et al. [15] | Retrospective case series | 8 | IIM (ASS) (4) Undifferentiated CTD (2) IIM (DM) (1) SSc (1) | 9–12/ND | FVC and DLCO (n = 5) Symptoms |
| Daoussis et al. [60] | Clinical trial | 8 | SSc | 24/4 | FVC and DLCO/HRCT (n = 5) |
| Keir et al. [16] | Retrospective cohort | 33 | IIM (10) Undifferentiated CTD (9) SSc (8) RA (2) Mixed CTD (2) SLE (1) SS (1) | 12/ND | FVC and DLCO (n = 10) (+18 stb) |
| Unger et al. [61] | Retrospective cohort | 11 | IIM (ASS) | 30/1–3 | FVC TLC (n = 6/8) and DLCO (n = 6/6) |
| Jordan et al. [24] | Observational case control | 9 | SSc | 6 (4–12)/ND | DLCO (FVC stb) |
| Sumida et al. [62] | Case report | 1 | SSc overlap SLE | >6/2 | FVC, DLCO and HRCT |
| Bosello et al. [63] | Clinical trial | 14 | SSc | 48.5 (20.4)/ND | FVC (n = 3, + 10 stb), DLCO (n = 4, + 7 stb), HRCT (n = 2, + 10 stb) |
| Andersson et al. [35] | Retrospective cohort | 24 | IIM (ASS) | 52 (11–118)/ 2.7 (1–11) | FVC and DLCO HRCT (n = 22/23) |
| Koichi et al. [64] | Case report | 1 | IIM (amyopathic DM) | 2/1 | HRCT (no PFT performance) |
| Watanabe et al. [65] | Case report | 1 | IIM (amyopathic DM) | 6/1 | HRCT (FVC and FEV1 stb) |
| Giuggioli et al. [25] | Retrospective cohort | 8 | SSc | 37 (21)/1–5 | (FVC, DLCO and HRCT stb n = 6) |
| Fitzgerald et al. [43] | Retrospective cohort | 10 | SSc (6) RA (4) | 12.3 (3–27)/ND | FVC (n = 7) and DLCO (n = 7) HRCT (n = 6/7) |
| Allenbach et al. [21] | Clinical trial | 10 | IIM (ASS) | 12/2 | n.s. FVC (n = 4) and DLCO (n = 2) HRCT (n = 1; + 8 stb) |
| Chartrand et al. [48] | Retrospective cohort | 24 | RA (15) IIM (3) IIM overlap RA (2) SSc (3) Suggestive CTD/IPAF (1) | 35.6 (19.3)/ND | FVC (in 8/14 multiple cycles) (FVC and HRCT stb in all patients at 6 months) |
| Dasa et al. [66] | Case report | 1 | IIM (ASS) | 12/2 | FVC, FEV1, DLCO and HRCT |
| Paola et al. [67] | Case report | 1 | CTD anti-SS-A/Ro-52 positive | ND/1 | FVC and DLCO |
| Sharp et al. [45] | Retrospective cohort | 24 | IIM (ASS) (10) Unclassifiable CTD-ILD (4) IIM other than ASS (3) SSc (3) SS (2) SLE (2) | 29.6 (16.7)/ND | FVC (>10% in four) (DLCO stb) (FVC and DLCO changes greater in IIM subgroup) (HRCT improvement/stb in 13/22) |
| Eissa et al. [68] | Case report | 1 | IIM (DM) | >6/2 | FVC, DLCO and HRCT |
| Bauhammer et al. [69] | Retrospective cohort | 11 | IIM (ASS) | 35/4.6 | FVC and DLCO |
| Lepri et al. [17] | Retrospective cohort | 44 | SSc (23) IIM (ASS) (15) Mixed CTD (6) | 24/ND | FVC and DLCO stb (n.s. improvement) (ASS greater response) |
| Chen et al. [39] | Retrospective cohort | 10 | SS | 26.1 (9–60)/1–5 | DLCO and symptoms (FVC and HRCT stb) |
| Daoussis et al. [22] | Clinical trial | 33 | SSc | 48 (12–84)/>2 | FVC and DLCO |
| Ebata et al. [70] | Case report | 1 | SSc | 23/2 | FVC, DLCO and HRCT |
| Boonstra et al. [71] | Clinical trial | 8 | SSc | 24/2 | HRCT in 2/7 (4/7 stb) (FVC and DLCO stb) |
| Md Yusof et al. [40] | Prospective observational cohort | 56 | RA | 6–12/ND | FVC and DLCO in 7/37 (stb in 25/37) HRCT in 1/14 (6 stb) |
| Chao et al. [72] | Case report | 1 | IIM (ASS) | 5/1 | FVC, DLCO and HRCT |
| Mohammed et al. [73] | Retrospective case series | 4 | SSc | 6 months after the 4th cycle | FVC, FEV1 and DLCO (in 3/3) HRCT in 1/4 (stb in 2) |
| Sari et al. [37] | Retrospective cohort | 14 | SSc | 15 (6–24)/1–5 | FVC stb (>10% in four) (HRCT stb in 7/10) |
| Numajiri et al. [74] | Case report | 1 | SSc | 22/2 | FVC, DLCO and HRCT |
| Doyle et al. [23] | Retrospective cohort | 25 | IIM (ASS) | 36/≥1 | (FVC and DLCO stb, significant FVC improvement at 3 years in 7/7) (HRCT stb) |
| Thiebaut et al. [75] | Retrospective case control | 7 | SSc | 24 (12–46)/1–6 | (FVC and DLCO stb) Greater response than controls |
| So et al. [76] | Retrospective case series | 4 | IIM (amyopathic DM) | 6–24/1 | FVC and DLCO HRCT in 3/4 (1 stb) |
| Fraticelli et al. [77] | Prospective cohort | 15 | SSc | 12/2 | FVC, FEV1 and HRCT (DLCO stb) |
| Sircar et al. [36] | Clinical trial | 30 | SSc | 6/2 | FVC |
| Jensen et al. [78] | Retrospective case series | 4 | IIM (ASS) | 84 (12–132)/≥1 | FVC, DLCO and HRCT with RTX as induction therapy (2/4) |
| Melsens et al. [26] | Clinical trial | 10 | SSc | 24/2 | (FVC and DLCO stb) |
| Duarte et al. [18] | Retrospective cohort | 49 | RA (30) SSc (5) IIM (5) SLE (5) SS (4) | 36 (12–72)/2 (1–4) | FVC at 12 months (DLCO stb) |
| Elhai et al. [27] | Prospective cohort | 146 | SSc | 24.3 (13–41)/≥1 | (FVC, DLCO and HCRT stb) |
| Rüegg et al. [79] | Case report | 1 | IIM (ASS) | 18/3 | FVC, DLCO and HRCT |
| Kourkouni et al. [80] | Case report | 1 | IIM (ASS) | 12/2 | FVC, DLCO and HRCT |
| Melissaropoulos et al. [81] | Case report | 1 | SSc | 36/6 | FVC, DLCO and HRCT |
| Ebata et al. [82] | Retrospective cohort | 9 | SSc | 24/3 | FVC and DLCO |
| Duarte et al. [83] | Retrospective cohort | 26 | RA | 36/4 (1–12) | HRCT in three (stb in 9) (FVC stb) |
| Vadillo et al. [41] | Prospective observational cohort | 31 | RA | 132 maximum/ 3.4 (1–18) | Higher probability of remaining free of functional impairment d |
| Robles-Perez et al. [20] | Retrospective cohort | 18 | SSc (7) RA (5) SLE (4) IIM (ASS) (1) SS (1) | 24/2–6 | FVC and DLCO at 12 months DLCO at 24 months (Stb or improvement in 10/13 HRCT at 12 months) |
| Atienza-Mateo et al.; present series | Retrospective cohort | 26 | SSc (7) IIM (6) RA (5) IPAF (3) SS (3) MPO-ANCA positive (2) | 24/2 (2.25–4.25) | DLCO in nine at 12 months HRCT in 3/23 (HRCT stb in 15/23) (FVC and FEV1 stb) |
© 2020 by the authors. Licensee MDPI, Basel, Switzerland. This article is an open access article distributed under the terms and conditions of the Creative Commons Attribution (CC BY) license (http://creativecommons.org/licenses/by/4.0/).
Share and Cite
Atienza-Mateo, B.; Remuzgo-Martínez, S.; Prieto-Peña, D.; Mora Cuesta, V.M.; Iturbe-Fernández, D.; Llorca, J.; Sánchez-Bilbao, L.; Corrales, A.; Blanco Rodríguez, G.; Gómez-Román, J.J.; et al. Rituximab in the Treatment of Interstitial Lung Disease Associated with Autoimmune Diseases: Experience from a Single Referral Center and Literature Review. J. Clin. Med. 2020, 9, 3070. https://doi.org/10.3390/jcm9103070
Atienza-Mateo B, Remuzgo-Martínez S, Prieto-Peña D, Mora Cuesta VM, Iturbe-Fernández D, Llorca J, Sánchez-Bilbao L, Corrales A, Blanco Rodríguez G, Gómez-Román JJ, et al. Rituximab in the Treatment of Interstitial Lung Disease Associated with Autoimmune Diseases: Experience from a Single Referral Center and Literature Review. Journal of Clinical Medicine. 2020; 9(10):3070. https://doi.org/10.3390/jcm9103070
Chicago/Turabian StyleAtienza-Mateo, Belén, Sara Remuzgo-Martínez, Diana Prieto-Peña, Víctor Manuel Mora Cuesta, David Iturbe-Fernández, Javier Llorca, Lara Sánchez-Bilbao, Alfonso Corrales, Gerardo Blanco Rodríguez, José Javier Gómez-Román, and et al. 2020. "Rituximab in the Treatment of Interstitial Lung Disease Associated with Autoimmune Diseases: Experience from a Single Referral Center and Literature Review" Journal of Clinical Medicine 9, no. 10: 3070. https://doi.org/10.3390/jcm9103070
APA StyleAtienza-Mateo, B., Remuzgo-Martínez, S., Prieto-Peña, D., Mora Cuesta, V. M., Iturbe-Fernández, D., Llorca, J., Sánchez-Bilbao, L., Corrales, A., Blanco Rodríguez, G., Gómez-Román, J. J., Cifrián, J. M., & González-Gay, M. Á. (2020). Rituximab in the Treatment of Interstitial Lung Disease Associated with Autoimmune Diseases: Experience from a Single Referral Center and Literature Review. Journal of Clinical Medicine, 9(10), 3070. https://doi.org/10.3390/jcm9103070

