Ginkgo biloba Extract EGb 761® in Patients with Chronic Tinnitus: Treatment Effects and Effect Modifiers
Abstract
1. Introduction
2. Materials and Methods
2.1. Study Design
2.2. Ethics Statement
2.3. Participants
- Grade 2: tinnitus is mainly perceived in silence and is bothersome when the patient is under stress or strain.
- Grade 3: tinnitus causes permanent impairment of the patient’s personal and professional life; there is also presence of an emotional, cognitive, or physical disorder.
2.4. Trial Medication
2.5. Outcomes
2.6. Statistical Analysis
3. Results
3.1. Patient Characteristics
3.2. Effectiveness Outcomes
3.3. Subgroup Analyses by Comorbidities
3.4. Responder Analysis
3.5. Safety
4. Discussion
5. Conclusions
Supplementary Materials
Author Contributions
Funding
Institutional Review Board Statement
Informed Consent Statement
Data Availability Statement
Conflicts of Interest
References
- Van Hoof, L.; Kleinjung, T.; Cardon, E.; Van Rompaey, V.; Peter, N. The correlation between tinnitus-specific and quality of life questionnaires to assess the impact on the quality of life in tinnitus patients. Front. Neurol. 2022, 13, 969978. [Google Scholar] [CrossRef]
- Mazurek, B.; Hesse, G.; Sattel, H.; Kratzsch, V.; Lahmann, C.; Dobel, C. S3 Guideline: Chronic Tinnitus: German Society for Otorhinolaryngology, Head and Neck Surgery e. V. (DGHNO-KHC). HNO 2022, 70, 795–827. [Google Scholar] [CrossRef]
- Burkart, M.; Brueggemann, P.; Szczepek, A.J.; Frank, D.; Mazurek, B. Intermittent tinnitus-an empirical description. HNO 2019, 67, 51–58. [Google Scholar] [CrossRef]
- Langguth, B.; Elgoyhen, A.B.; Cederroth, C.R. Therapeutic Approaches to the Treatment of Tinnitus. Annu. Rev. Pharmacol. Toxicol. 2019, 59, 291–313. [Google Scholar] [CrossRef]
- Baguley, D.; McFerran, D.; Hall, D. Tinnitus. Lancet 2013, 382, 1600–1607. [Google Scholar] [CrossRef]
- Jarach, C.M.; Lugo, A.; Scala, M.; van den Brandt, P.A.; Cederroth, C.R.; Odone, A.; Garavello, W.; Schlee, W.; Langguth, B.; Gallus, S. Global Prevalence and Incidence of Tinnitus: A Systematic Review and Meta-analysis. JAMA Neurol. 2022, 79, 888–900. [Google Scholar] [CrossRef]
- Biswas, R.; Lugo, A.; Akeroyd, M.A.; Schlee, W.; Gallus, S.; Hall, D.A. Tinnitus prevalence in Europe: A multi-country cross-sectional population study. Lancet Reg. Health Eur. 2022, 12, 100250. [Google Scholar] [CrossRef]
- Fabijanska, A.; Rogowski, M.; Bartnik, G.; Skarzynski, H. Epidemiology of tinnitus and hyperacusis in Poland. In Proceedings of the Sixth International Tinnitus Seminar; JWP, H., Ed.; The Tinnitus and Hyperacusis Centre: Cambridge, UK, 2002; pp. 415–417. [Google Scholar]
- Rademaker, M.M.; Essers, B.A.B.; Stokroos, R.J.; Smit, A.L.; Stegeman, I. What Tinnitus Therapy Outcome Measures Are Important for Patients?- A Discrete Choice Experiment. Front. Neurol. 2021, 12, 668880. [Google Scholar] [CrossRef]
- Cederroth, C.R.; Gallus, S.; Hall, D.A.; Kleinjung, T.; Langguth, B.; Maruotti, A.; Meyer, M.; Norena, A.; Probst, T.; Pryss, R.; et al. Editorial: Towards an Understanding of Tinnitus Heterogeneity. Front. Aging Neurosci. 2019, 11, 53. [Google Scholar] [CrossRef]
- Mazurek, B.; Boecking, B.; Dobel, C.; Rose, M.; Brüggemann, P. Tinnitus and Influencing Comorbidities. Laryngo-Rhino-Otologie 2023, 102, S50–S58. [Google Scholar] [CrossRef]
- Zielinska-Blizniewska, H.; Olszewski, J. Tinnitus and depression. Otolaryngol. Pol. 2009, 63, 20–23. [Google Scholar] [CrossRef] [PubMed]
- Brüggemann, P.; Grando Sória, M.; Brandes-Schramm, J.; Mazurek, B. The influence of depression, anxiety and cognition on the treatment effects of Ginkgo biloba extract EGb 761® in patients with tinnitus and dementia: A mediation analysis. J. Clin. Med. 2021, 10, 3151. [Google Scholar] [CrossRef]
- von Elm, E.; Altman, D.G.; Egger, M.; Pocock, S.J.; Gotzsche, P.C.; Vandenbroucke, J.P.; Initiative, S. The Strengthening the Reporting of Observational Studies in Epidemiology (STROBE) statement: Guidelines for reporting observational studies. PLoS Med. 2007, 4, e296. [Google Scholar] [CrossRef]
- Biesinger, E.; Heiden, C.; Greimel, V.; Lendle, T.; Hoing, R.; Albegger, K. Strategies in ambulatory treatment of tinnitus. HNO 1998, 46, 157–169. [Google Scholar] [CrossRef]
- Hiller, W.; Goebel, G. A psychometric study of complaints in chronic tinnitus. J. Psychosom. Res. 1992, 36, 337–348. [Google Scholar] [CrossRef]
- Newman, C.W.; Jacobson, G.P.; Spitzer, J.B. Development of the Tinnitus Handicap Inventory. Arch. Otolaryngol. Head Neck Surg. 1996, 122, 143–148. [Google Scholar] [CrossRef]
- Adamchic, I.; Langguth, B.; Hauptmann, C.; Tass, P.A. Psychometric evaluation of visual analog scale for the assessment of chronic tinnitus. Am. J. Audiol. 2012, 21, 215–225. [Google Scholar] [CrossRef]
- Brueggemann, P.; Goebel, G.; Boecking, B.; Hofrichter, N.; Rose, M.; Mazurek, B. Analysis of items on the short forms of the tinnitus questionnaire: Mini-TQ-12 and Mini-TQ-15. HNO 2023, 71, 708–718. [Google Scholar] [CrossRef] [PubMed]
- Sheehan, D.V.; Harnett-Sheehan, K.; Raj, B.A. The measurement of disability. Int. Clin. Psychopharmacol. 1996, 11, 89–95. [Google Scholar] [CrossRef]
- Herrmann, C. International experiences with the Hospital Anxiety and Depression Scale—A review of validation data and clinical results. J. Psychosom. Res. 1997, 42, 17–41. [Google Scholar] [CrossRef] [PubMed]
- Levenstein, S.; Prantera, C.; Varvo, V.; Scribano, M.L.; Berto, E.; Luzi, C.; Andreoli, A. Development of the Perceived Stress Questionnaire: A new tool for psychosomatic research. J. Psychosom. Res. 1993, 37, 19–32. [Google Scholar] [CrossRef]
- Olusanya, B.O.; Davis, A.C.; Hoffman, H.J. Hearing loss grades and the International classification of functioning, disability and health. Bull. World Health Organ. 2019, 97, 725–728. [Google Scholar] [CrossRef] [PubMed]
- Hall, D.A.; Mehta, R.L.; Argstatter, H. Interpreting the Tinnitus Questionnaire (German version): What individual differences are clinically important? Int. J. Audiol. 2018, 57, 553–557. [Google Scholar] [CrossRef]
- Wang, B.; Ogburn, E.L.; Rosenblum, M. Analysis of covariance in randomized trials: More precision and valid confidence intervals, without model assumptions. Biometrics 2019, 75, 1391–1400. [Google Scholar] [CrossRef]
- Hall, D.A.; Haider, H.; Szczepek, A.J.; Lau, P.; Rabau, S.; Jones-Diette, J.; Londero, A.; Edvall, N.K.; Cederroth, C.R.; Mielczarek, M.; et al. Systematic review of outcome domains and instruments used in clinical trials of tinnitus treatments in adults. Trials 2016, 17, 270–289. [Google Scholar] [CrossRef]
- Boecking, B.; Brueggemann, P.; Kleinjung, T.; Mazurek, B. All for One and One for All?—Examining Convergent Validity and Responsiveness of the German Versions of the Tinnitus Questionnaire (TQ), Tinnitus Handicap Inventory (THI), and Tinnitus Functional Index (TFI). Front. Psychol. 2021, 12, 596037. [Google Scholar] [CrossRef]
- Gauthier, S.; Schlaefke, S. Efficacy and tolerability of Ginkgo biloba extract EGb 761® in dementia: A systematic review and meta-analysis of randomized placebo-controlled trials. Clin. Interv. Aging 2014, 9, 2065–2077. [Google Scholar] [CrossRef]
- Engelke, M.; Basso, L.; Langguth, B.; Zeman, F.; Schlee, W.; Schoisswohl, S.; Cima, R.; Kikidis, D.; Lopez-Escamez, J.A.; Bruggemann, P.; et al. Estimation of Minimal Clinically Important Difference for Tinnitus Handicap Inventory and Tinnitus Functional Index. Otolaryngol. Head Neck Surg. 2025, 173, 69–79. [Google Scholar] [CrossRef]
- Lukas, C.F.; Mazurek, B.; Brueggemann, P.; Junghofer, M.; Guntinas-Lichius, O.; Dobel, C. A retrospective two-center cohort study of the bidirectional relationship between depression and tinnitus-related distress. Commun. Med. 2024, 4, 242–252. [Google Scholar] [CrossRef] [PubMed]
- Barth, S.W.; Lehner, M.D.; Dietz, G.P.H.; Schulze, H. Pharmacologic treatments in preclinical tinnitus models with special focus on Ginkgo biloba leaf extract EGb 761®. Mol. Cell Neurosci. 2021, 116, 103669. [Google Scholar] [CrossRef] [PubMed]
- Beck, S.M.; Ruge, H.; Schindler, C.; Burkart, M.; Miller, R.; Kirschbaum, C.; Goschke, T. Effects of Ginkgo biloba extract EGb 761® on cognitive control functions, mental activity of the prefrontal cortex and stress reactivity in elderly adults with subjective memory impairment—A randomized double-blind placebo-controlled trial. Hum. Psychopharmacol. 2016, 31, 227–242. [Google Scholar] [CrossRef]
- Lopez-Gonzalez, M.A.; Santiago, A.M.; Esteban-Ortega, F. Sulpiride and melatonin decrease tinnitus perception modulating the auditolimbic dopaminergic pathway. J. Otolaryngol. 2007, 36, 213–219. [Google Scholar] [CrossRef]
- Sziklai, I.; Szilvassy, J.; Szilvassy, Z. Tinnitus control by dopamine agonist pramipexole in presbycusis patients: A randomized, placebo-controlled, double-blind study. Laryngoscope 2011, 121, 888–893. [Google Scholar] [CrossRef]
- Vasilkov, V.; Caswell-Midwinter, B.; Zhao, Y.; de Gruttola, V.; Jung, D.H.; Liberman, M.C.; Maison, S.F. Evidence of cochlear neural degeneration in normal-hearing subjects with tinnitus. Sci. Rep. 2023, 13, 19870. [Google Scholar] [CrossRef] [PubMed]
- Krauss, P.; Tziridis, K.; Buerbank, S.; Schilling, A.; Schulze, H. Therapeutic Value of Ginkgo biloba Extract EGb 761® in an Animal Model (Meriones unguiculatus) for Noise Trauma Induced Hearing Loss and Tinnitus. PLoS ONE 2016, 11, e0157574. [Google Scholar] [CrossRef] [PubMed]
- Procházková, K.; Šejna, I.; Skutil, J.; Hahn, A. Ginkgo biloba extract EGb 761® versus pentoxifylline in chronic tinnitus: A randomized, double-blind clinical trial. Int. J. Clin. Pharm. 2018, 40, 1335–1341. [Google Scholar] [CrossRef]
- von Boetticher, A. Ginkgo biloba extract in the treatment of tinnitus: A systematic review. Neuropsychiatr. Dis. Treat. 2011, 7, 441–447. [Google Scholar] [CrossRef]
- Liu, D.; Hu, Y.; Wang, D.; Han, H.; Wang, Y.; Wang, X.; Zhou, Z.; Ma, X.; Dong, Y. Herbal medicines in the treatment of tinnitus: An updated review. Front. Pharmacol. 2022, 13, 1037528. [Google Scholar] [CrossRef]
- Sereda, M.; Xia, J.; Scutt, P.; Hilton, M.P.; El Refaie, A.; Hoare, D.J. Ginkgo biloba for tinnitus. Cochrane Database Syst. Rev. 2022, 11, CD013514. [Google Scholar] [CrossRef]
- Kulic, Z.; Lehner, M.D.; Dietz, G.P.H. Ginkgo biloba leaf extract EGb 761((R)) as a paragon of the product by process concept. Front. Pharmacol. 2022, 13, 1007746. [Google Scholar] [CrossRef] [PubMed]




| Parameter | Total (N = 170) |
|---|---|
| Age (years) | |
| Mean ± SD | 51.6 ± 13.0 |
| Min, max | 21, 82 |
| Gender | |
| Female | 62 (36.5%) |
| Male | 108 (63.5%) |
| Tinnitus characteristics, n (%) † | |
| Bilateral | 87 (51.2%) |
| Permanent | 149 (87.6%) |
| Duration > 1 year | 138 (81.2%) |
| Comorbidities | |
| Patients with hearing impairment, n (%) | |
| No impairment | 118 (69.4%) |
| At least mild impairment | 52 (30.6%) |
| HADS anxiety, n (%) | |
| Normal or subsyndromal (0–10 points) | 135 (79.4%) |
| Abnormal (11–21 points) | 34 (20.0%) |
| HADS anxiety, mean ± SD | 7.7 ± 3.9 |
| HADS depression, n (%) | |
| Normal (0–7 points) | 111 (65.3%) |
| Subsyndromal or abnormal (8–21 points) | 58 (34.1%) |
| HADS depression, mean ± SD | 5.5 ± 4.0 |
| PSQ (stress index), n (%) | |
| Normal (<0.45) | 112 (65.9%) |
| Abnormal (≥0.45) | 58 (34.1%) |
| PSQ stress index, mean ± SD | 0.389 ± 0.159 |
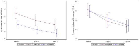
| Outcomes | Baseline (N = 170) | Improvement, Week 12 (N = 164) * | Improvement, Week 24 (N = 170) | ||
|---|---|---|---|---|---|
| Mean (±SD) | Mean (±SD) | p-value | Mean (±SD) | p-value | |
| TQ (points) | 39.7 (±16.5) | −3.8 (±9.7) | p < 0.0001 | −6.0 (±11.9) | p < 0.0001 |
| TQ mini (12 items) | 12.4 (±5.3) | −1.3 (±3.5) | p < 0.0001 | −2.1 (±4.2) | p < 0.0001 |
| THI (points) | 47.2 (±23.4) | −4.7 (±14.7) | p = 0.0001 | −7.7 (±17.3) | p < 0.0001 |
| Loudness (points) | 5.5 (±2.1) | −0.4 (±1.7) | p = 0.0011 | −0.8 (±1.9) | p < 0.0001 |
| Annoyance (points) | 5.6 (±2.2) | −0.7 (±1.9) | p < 0.0001 | −0.9 (±2.0) | p < 0.0001 |
| Outcomes | Patients with Anxiety, HADS ≥ 11 (n = 34) | Patients with Subsyndromal or No Anxiety, HADS < 11 (n = 135) | Group Difference † | ||
|---|---|---|---|---|---|
| Baseline Mean ± SD | Improvement, Week 24 Mean ± SD, p-Value * | Baseline Mean ± SD | Improvement, Week 24 Mean ± SD, p-Value * | p-Value † | |
| TQ (points) | 51.0 ± 14.6 | −10.4 ± 13.0, p < 0.0001 | 35.3 ± 14.8 | −4.6 ± 11.2, p = 0.0005 | 0.0211 |
| TQ mini (points) | 16.1 ± 4.4 | −3.5 ± 4.3, p < 0.0001 | 11.4 ± 5.1 | −1.6 ± 4.1, p < 0.0001 | 0.0263 |
| THI (points) | 66.5 ± 19.4 | −12.8 ± 17.0, p = 0.0001 | 42.3 ± 22.2 | −6.3 ± 17.3, p < 0.0001 | 0.0536 |
| Loudness (points) | 6.1 ± 2.1 | −1.4 ± 2.3, p = 0.0009 | 5.2 ± 2.0 | −0.6 ± 1.8, p = 0.0002 | 0.0606 |
| Annoyance (points) | 6.6 ± 2.1 | −1.6 ± 2.3, p = 0.0002 | 5.4 ± 2.1 | −0.8 ± 1.9, p < 0.0001 | 0.0418 |
Disclaimer/Publisher’s Note: The statements, opinions and data contained in all publications are solely those of the individual author(s) and contributor(s) and not of MDPI and/or the editor(s). MDPI and/or the editor(s) disclaim responsibility for any injury to people or property resulting from any ideas, methods, instructions or products referred to in the content. |
© 2025 by the authors. Licensee MDPI, Basel, Switzerland. This article is an open access article distributed under the terms and conditions of the Creative Commons Attribution (CC BY) license.
Share and Cite
Lisowska, G.; Urban, I.; Skarżyński, P.H.; Schlaefke, S.; Brueggemann, P.; Mazurek, B. Ginkgo biloba Extract EGb 761® in Patients with Chronic Tinnitus: Treatment Effects and Effect Modifiers. J. Clin. Med. 2026, 15, 87. https://doi.org/10.3390/jcm15010087
Lisowska G, Urban I, Skarżyński PH, Schlaefke S, Brueggemann P, Mazurek B. Ginkgo biloba Extract EGb 761® in Patients with Chronic Tinnitus: Treatment Effects and Effect Modifiers. Journal of Clinical Medicine. 2026; 15(1):87. https://doi.org/10.3390/jcm15010087
Chicago/Turabian StyleLisowska, Grażyna, Irena Urban, Piotr Henryk Skarżyński, Sandra Schlaefke, Petra Brueggemann, and Birgit Mazurek. 2026. "Ginkgo biloba Extract EGb 761® in Patients with Chronic Tinnitus: Treatment Effects and Effect Modifiers" Journal of Clinical Medicine 15, no. 1: 87. https://doi.org/10.3390/jcm15010087
APA StyleLisowska, G., Urban, I., Skarżyński, P. H., Schlaefke, S., Brueggemann, P., & Mazurek, B. (2026). Ginkgo biloba Extract EGb 761® in Patients with Chronic Tinnitus: Treatment Effects and Effect Modifiers. Journal of Clinical Medicine, 15(1), 87. https://doi.org/10.3390/jcm15010087

