Correlation Between Catheter Ablation Timing and the Duration of Atrial Fibrillation History on Arrhythmia Recurrence in Patients with Paroxysmal Atrial Fibrillation: A Systematic Review and Meta-Analysis
Abstract
1. Introduction
1.1. When to Consider Catheter Ablation Indications
1.2. Atrial Fibrillation Subgroups
1.3. Catheter Ablation Is Superior to Antiarrhythmic Drugs
2. Materials and Methods
2.1. Search Strategy
2.2. Inclusion and Exclusion Criteria
2.3. Data Extraction
2.4. Risk of Bias
2.5. Statistical Analysis
3. Results
3.1. Patient’s Characteristics
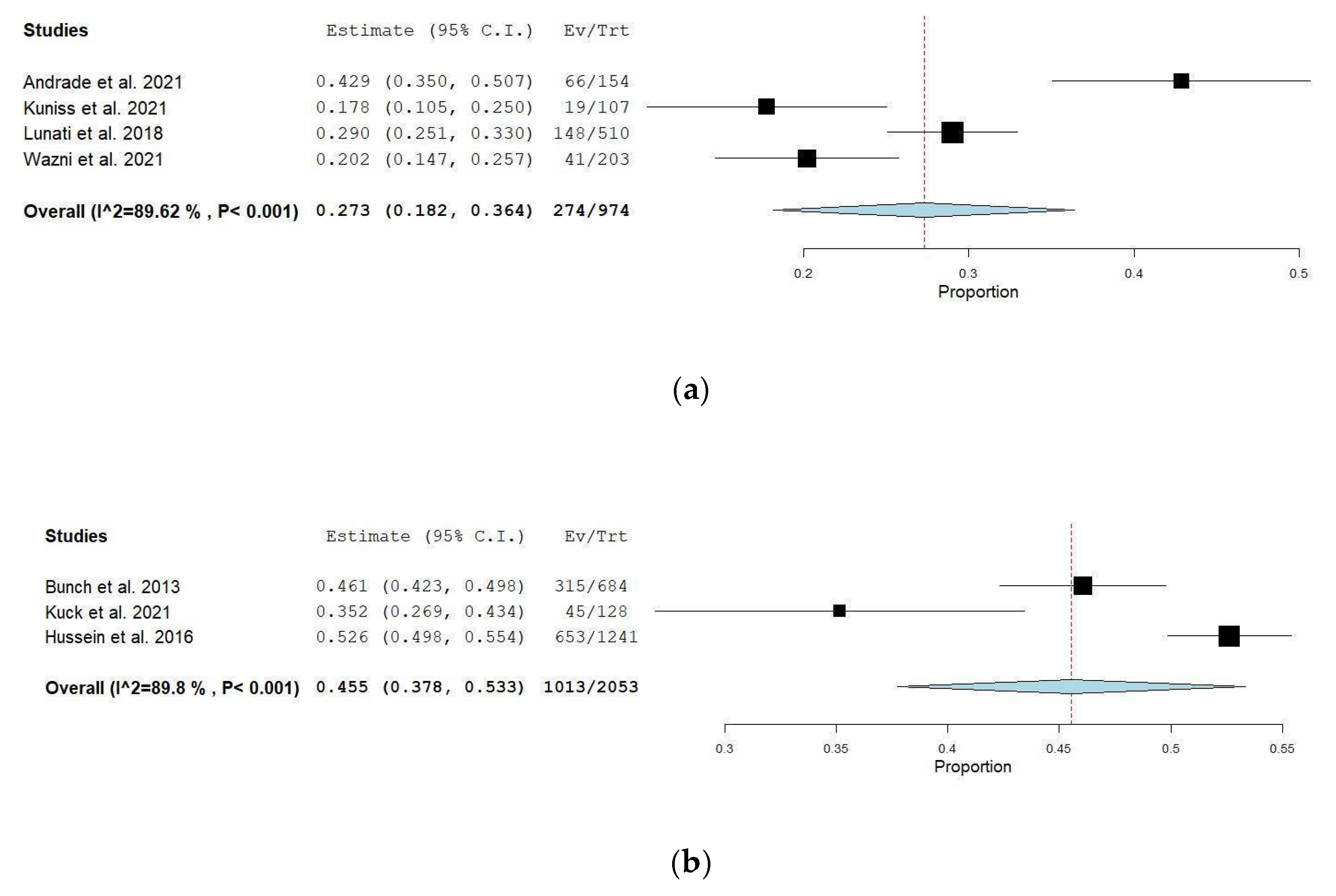
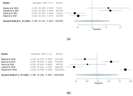
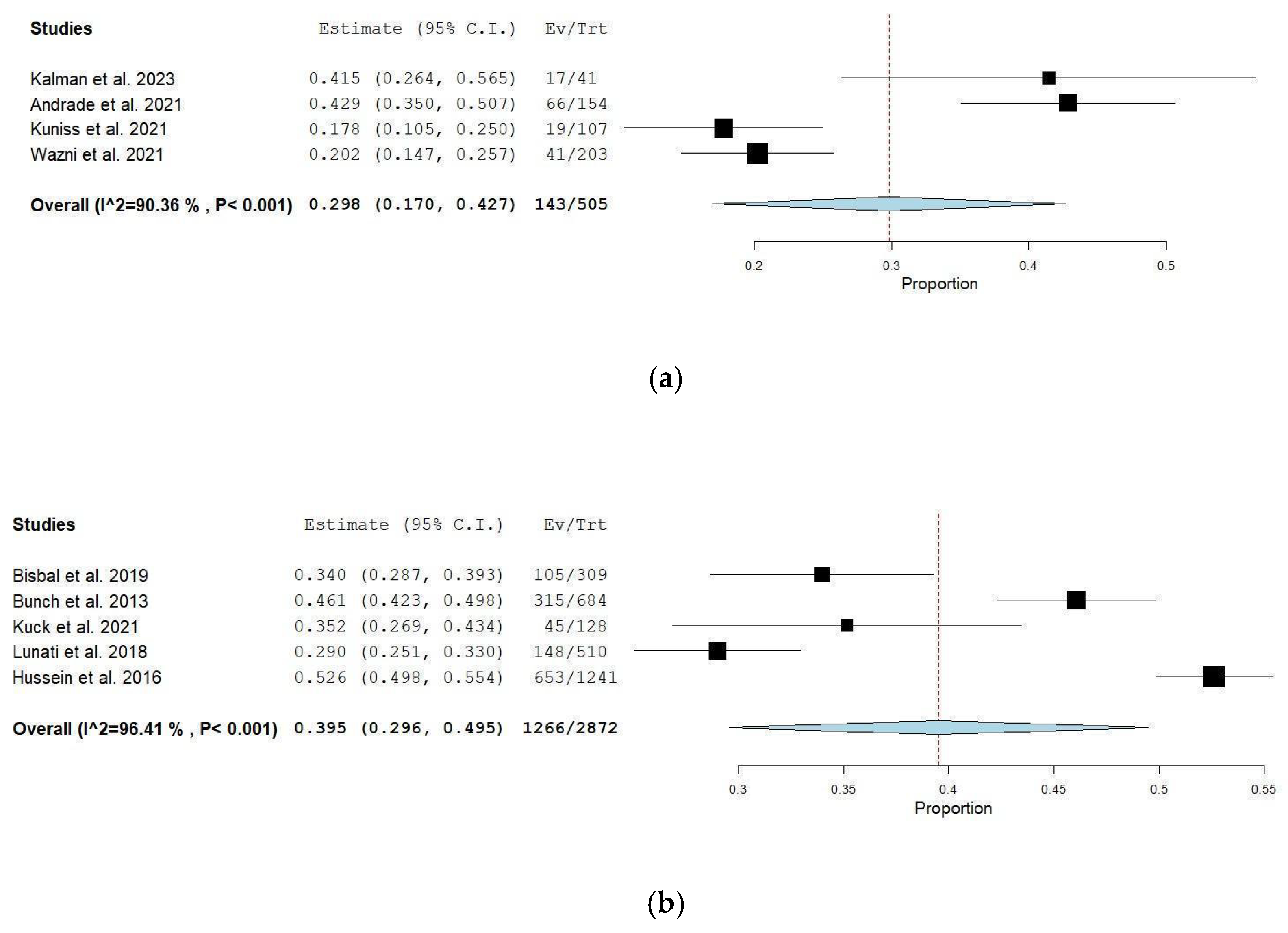
3.2. Delayed CA Studies (DAT of Three Years or More)
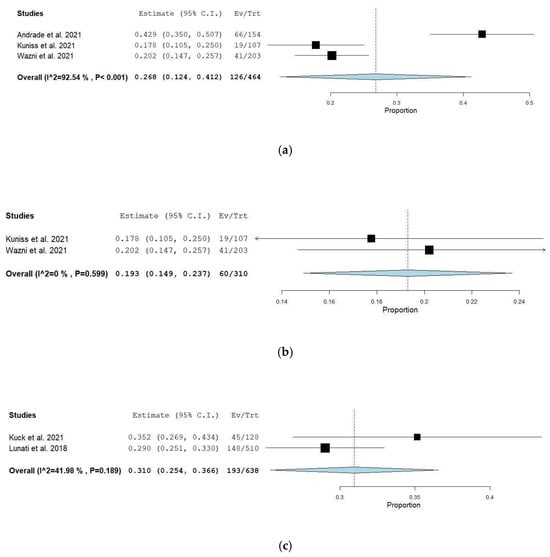
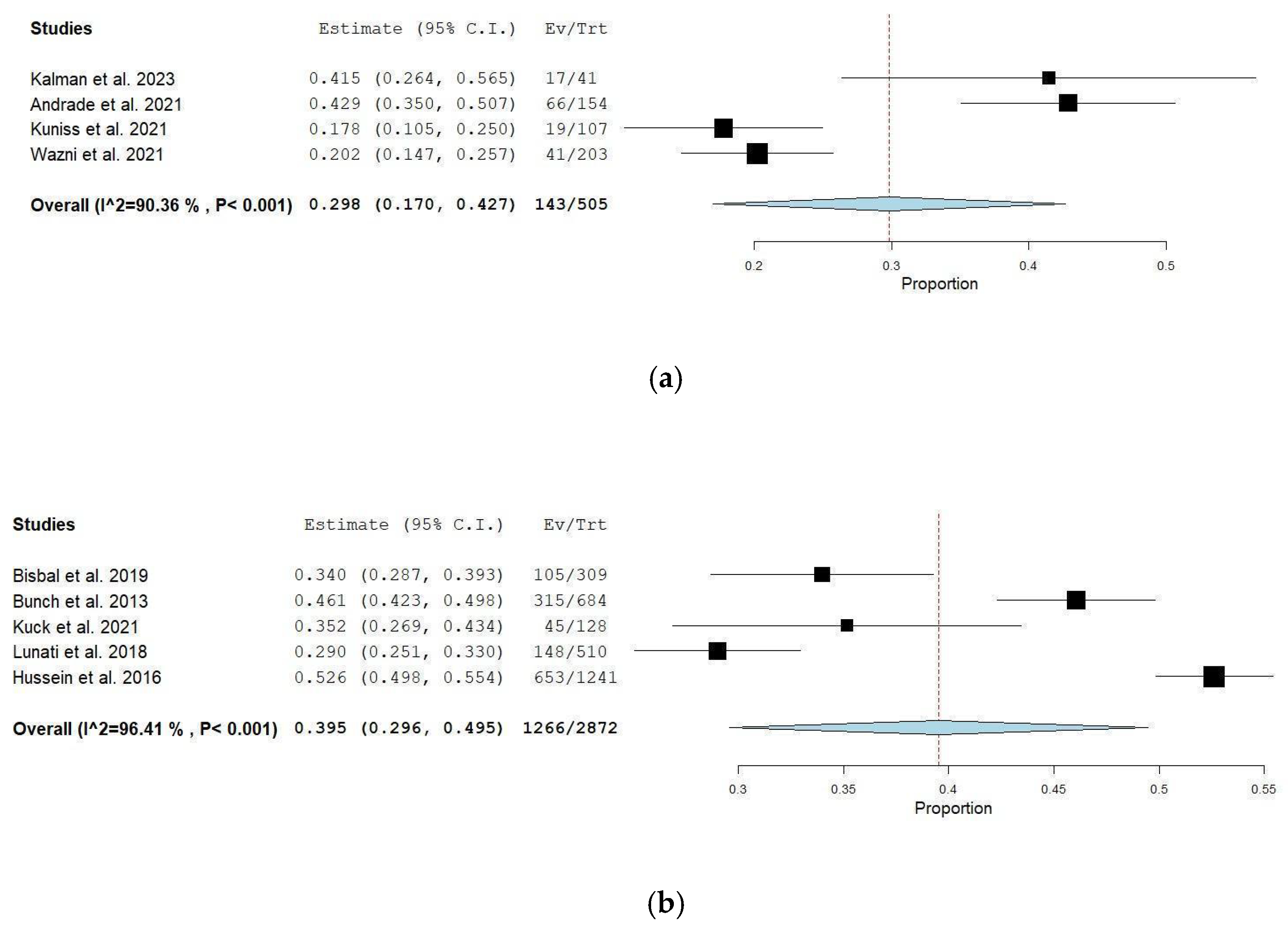
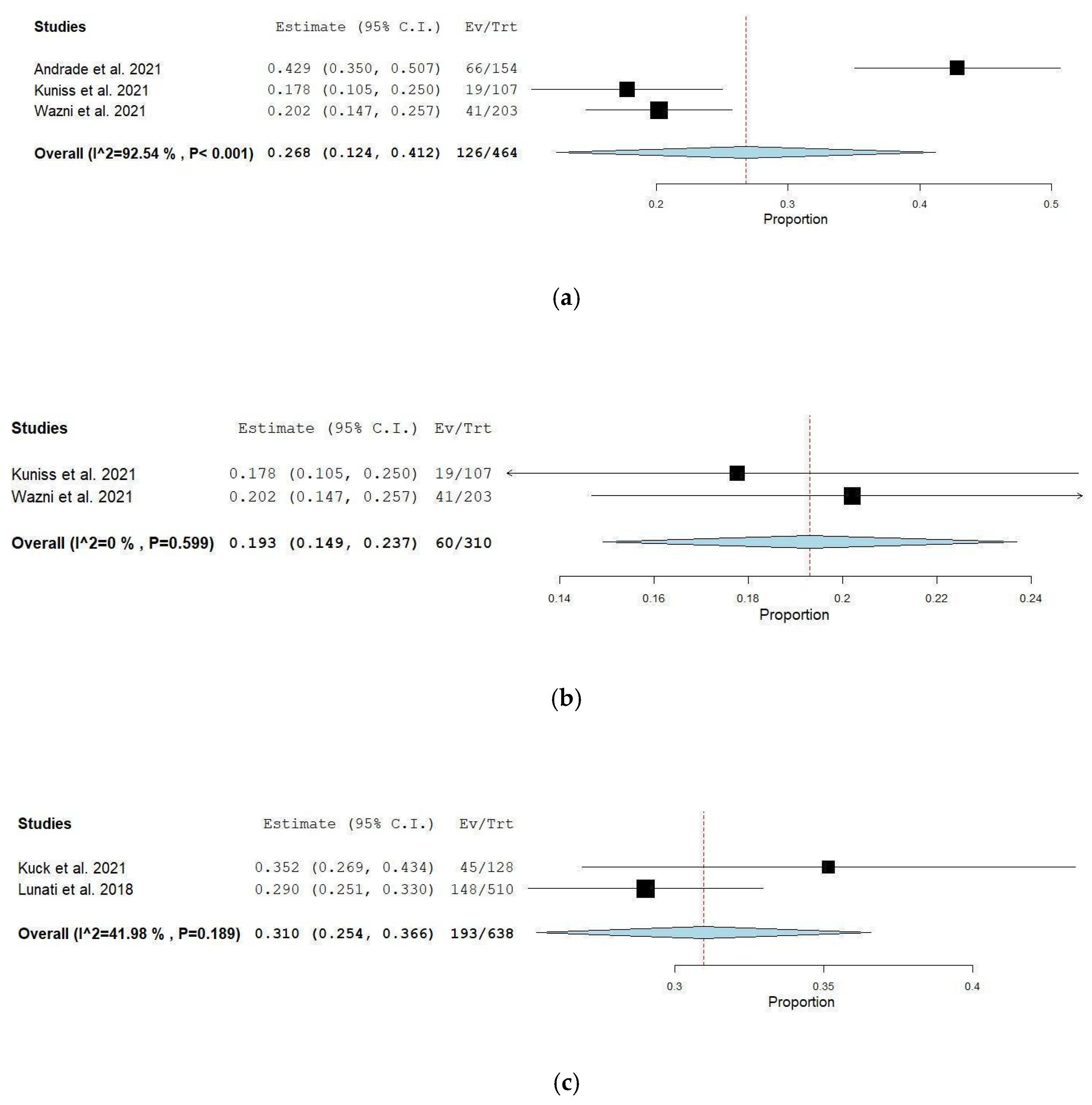
3.3. Early CA Studies (DAT Time of Less than Three Years)
3.4. Mixed DAT Studies
3.5. Comparison Between Different Approaches in DAT
3.6. Comparison Between AF Recurrences in Paroxysmal AF Studies
3.7. Comparison Between AF Recurrences in Different Ablation Procedures
3.8. Assessment of Follow-Up Methods Used
4. Discussion
4.1. Definition of Early and Delayed Rhythm-Control Strategy
4.2. Correlation and Impact Between DAT and Treatment Outcomes
5. Conclusions
6. Limitation
Author Contributions
Funding
Institutional Review Board Statement
Data Availability Statement
Acknowledgments
Conflicts of Interest
References
- Miyasaka, Y.; Barnes, M.E.; Gersh, B.J.; Cha, S.S.; Bailey, K.R.; Abhayaratna, W.P.; Seward, J.B.; Tsang, T.S.M. Secular trends in incidence of atrial fibrillation in Olmsted County, Minnesota, 1980 to 2000, and implications on the projections for future prevalence. Circulation 2006, 114, 119–125. [Google Scholar] [CrossRef]
- Haïssaguerre, M.; Jaïs, P.; Shah, D.C.; Takahashi, A.; Hocini, M.; Quiniou, G.; Garrigue, S.; Le Mouroux, A.; Le Métayer, P.; Clémenty, J. Spontaneous Initiation of Atrial Fibrillation by Ectopic Beats Originating in the Pulmonary Veins. N. Engl. J. Med. 1998, 339, 659–666. [Google Scholar] [CrossRef]
- Andrade, J.; Khairy, P.; Dobrev, D.; Nattel, S. The Clinical Profile and Pathophysiology of Atrial Fibrillation: Relationships 364 among Clinical Features, Epidemiology, and Mechanisms. Circ. Res. 2014, 114, 1453–1468. [Google Scholar] [CrossRef] [PubMed]
- Platonov, P.G. Atrial Fibrosis: An Obligatory Component of Arrhythmia Mechanisms in Atrial Fibrillation? J. Geriatr. Cardiol. 2017, 14, 233–237. [Google Scholar] [CrossRef]
- Hindricks, G.; Potpara, T.; Dagres, N.; Arbelo, E.; Bax, J.J.; Blomström-Lundqvist, C.; Boriani, G.; Castella, M.; Dan, G.-A.; Dilaveris, P.E.; et al. 2020 ESC Guidelines for the diagnosis and management of atrial fibrillation developed in collaboration with the European Association for Cardio-Thoracic Surgery (EACTS): The Task Force for the diagnosis and management of atrial fibrillation of the European Society of Cardiology (ESC) Developed with the special contribution of the European Heart Rhythm Association (EHRA) of the ESC. Eur. Heart J. 2021, 42, 373–498. [Google Scholar] [CrossRef]
- Mark, D.B.; Anstrom, K.J.; Sheng, S.; Piccini, J.P.; Baloch, K.N.; Monahan, K.H.; Daniels, M.R.; Bahnson, T.D.; Poole, J.E.; Rosenberg, Y.; et al. Effect of Catheter Ablation vs. Medical Therapy on Quality of Life Among Patients with Atrial Fibrillation: The CABANA Randomized Clinical Trial. JAMA 2019, 321, 1275–1285. [Google Scholar] [CrossRef]
- Marrouche, N.F.; Brachmann, J.; Andresen, D.; Siebels, J.; Boersma, L.; Jordaens, L.; Merkely, B.; Pokushalov, E.; Sanders, P.; Proff, J. Catheter Ablation for Atrial Fibrillation with Heart Failure. N. Engl. J. Med. 2018, 378, 417–427. [Google Scholar] [CrossRef]
- Packer, D.L.; Piccini, J.P.; Monahan, K.H.; Al-Khalidi, H.R.; Silverstein, A.P.; Noseworthy, P.A.; Poole, J.E.; Bahnson, T.D.; Lee, K.L.; Mark, D.B. CABANA Investigators. Ablation Versus Drug Therapy for Atrial Fibrillation in Heart Failure: Results from the CABANA Trial. Circulation 2021, 143, 1377–1390. [Google Scholar] [CrossRef]
- Sohns, C.; Fox, H.; Marrouche, N.F.; Crijns, H.J.; Costard-Jaeckle, A.; Bergau, L.; Sommer, P. Catheter Ablation in End-Stage Heart Failure with Atrial Fibrillation. N. Engl. J. Med. 2023, 389, 1380–1389. [Google Scholar] [CrossRef]
- Kuniss, M.; Pavlovic, N.; Velagic, V.; Hermida, J.S.; Healey, S.; Arena, G.; Badenco, N.; Meyer, C.; Chen, J.; Iacopino, S.; et al. Cryoballoon ablation vs. antiarrhythmic drugs: First-line therapy for patients with paroxysmal atrial fibrillation. EP Eur. 2021, 23, 1033–1041. [Google Scholar] [CrossRef]
- Andrade, J.G.; Wells, G.A.; Deyell, M.W.; Bennett, M.; Essebag, V.; Champagne, J.; Roux, J.-F.; Yung, D.; Skanes, A.; Khaykin, Y.; et al. Cryoablation or Drug Therapy for Initial Treatment of Atrial Fibrillation. N. Engl. J. Med. 2021, 384, 305–315. [Google Scholar] [CrossRef]
- Kuck, K.-H.; Lebedev, D.S.; Mikhaylov, E.N.; Romanov, A.; Gellér, L.; Kalējs, O.; Neumann, T.; Davtyan, K.; On, Y.K.; Popov, S.; et al. Catheter ablation or medical therapy to delay progression of atrial fibrillation: The randomized controlled atrial fibrillation progression trial (ATTEST). EP Eur. 2021, 23, 362–369a. [Google Scholar] [CrossRef] [PubMed]
- Andrade, J.G.; Deyell, M.W.; Macle, L.; Wells, G.A.; Bennett, M.; Essebag, V.; Champagne, J.; Roux, J.-F.; Yung, D.; Skanes, A.; et al. Progression of Atrial Fibrillation after Cryoablation or Drug Therapy. N. Engl. J. Med. 2023, 388, 105–116. [Google Scholar] [CrossRef] [PubMed]
- Wazni, O.M.; Dandamudi, G.; Sood, N.; Hoyt, R.; Tyler, J.; Durrani, S.; Niebauer, M.; Makati, K.; Halperin, B.; Gauri, A.; et al. Cryoballoon Ablation as Initial Therapy for Atrial Fibrillation. N. Engl. J. Med. 2021, 384, 316–324. [Google Scholar] [CrossRef] [PubMed]
- Sterne, J.A.C.; Savović, J.; Page, M.J.; Elbers, R.G.; Blencowe, N.S.; Boutron, I.; Cates, C.J.; Cheng, H.-Y.; Corbett, M.S.; Eldridge, S.M.; et al. RoB 2: A revised tool for assessing risk of bias in randomised trials. BMJ 2019, 366, l4898. [Google Scholar] [CrossRef]
- Bunch, T.J.; May, H.T.; Bair, T.L.; Johnson, D.L.; Weiss, J.P.; Crandall, B.G.; Osborn, J.S.; Anderson, J.L.; Muhlestein, J.B.; Lappe, D.L.; et al. Increasing time between first diagnosis of atrial fibrillation and catheter ablation adversely affects long-term outcomes. Heart Rhythm 2013, 10, 1257–1262. [Google Scholar] [CrossRef]
- Bisbal, F.; Alarcón, F.; Ferrero-De-Loma-Osorio, A.; González-Ferrer, J.J.; Alonso-Martín, C.; Pachón, M.; Vallés, E.; Cabanas-Grandío, P.; Sanchez, M.; Benito, E.; et al. Diagnosis-to-ablation time in atrial fibrillation: A modifiable factor relevant to clinical outcome. J. Cardiovasc. Electrophysiol. 2019, 30, 1483–1490. [Google Scholar] [CrossRef]
- Hussein, A.A.; Saliba, W.I.; Barakat, A.; Bassiouny, M.; Chamsi-Pasha, M.; Al-Bawardy, R.; Hakim, A.; Tarakji, K.; Baranowski, B.; Cantillon, D.; et al. Radiofrequency Ablation of Persistent Atrial Fibrillation. Circ. Arrhythmia Electrophysiol. 2016, 9, e003669. [Google Scholar] [CrossRef]
- Lunati, M.; Arena, G.; Iacopino, S.; Verlato, R.; Tondo, C.; Curnis, A.; Porcellini, S.; Sciarra, L.; Molon, G.; Senatore, G.; et al. Is the time between first diagnosis of paroxysmal atrial fibrillation and cryoballoon ablation a predictor of efficacy? J. Cardiovasc. Med. 2018, 19, 446–452. [Google Scholar] [CrossRef]
- Kalman, J.M.; Al-Kaisey, A.M.; Parameswaran, R.; Hawson, J.; Anderson, R.D.; Lim, M.; Chieng, D.; Joseph, S.A.; McLellan, A.; Morton, J.B.; et al. Impact of early vs. delayed atrial fibrillation catheter ablation on atrial arrhythmia recurrences. Eur. Heart J. 2023, 44, 2447–2454. [Google Scholar] [CrossRef]
- Kawaji, T.; Shizuta, S.; Yamagami, S.; Aizawa, T.; Komasa, A.; Yoshizawa, T.; Kato, M.; Yokomatsu, T.; Miki, S.; Ono, K.; et al. Early choice for catheter ablation reduced readmission in management of atrial fibrillation: Impact of diagnosis-to-ablation time. Int. J. Cardiol. 2019, 291, 69–76. [Google Scholar] [CrossRef] [PubMed]
- Padfield, G.J.; Steinberg, C.; Swampillai, J.; Qian, H.; Connolly, S.J.; Dorian, P.; Green, M.S.; Humphries, K.H.; Klein, G.J.; Sheldon, R.; et al. Progression of paroxysmal to persistent atrial fibrillation: 10-year follow-up in the Canadian Registry of Atrial Fibrillation. Heart Rhythm 2017, 14, 801–807. [Google Scholar] [CrossRef] [PubMed]
- Blum, S.; Meyre, P.; Aeschbacher, S.; Berger, S.; Auberson, C.; Briel, M.; Osswald, S.; Conen, D. Incidence and predictors of atrial fibrillation progression: A systematic review and meta-analysis. Heart Rhythm 2019, 16, 502–510. [Google Scholar] [CrossRef] [PubMed]
- de Vos, C.B.; Pisters, R.; Nieuwlaat, R.; Prins, M.H.; Tieleman, R.G.; Coelen, R.-J.S.; Heijkant, A.C.v.D.; Allessie, M.A.; Crijns, H.J. Progression from Paroxysmal to Persistent Atrial Fibrillation. J. Am. Coll. Cardiol. 2010, 55, 725–731. [Google Scholar] [CrossRef]
- Chew, D.S.; Black-Maier, E.; Loring, Z.; Noseworthy, P.A.; Packer, D.L.; Exner, D.V.; Mark, D.B.; Piccini, J.P. Diagnosis-to-Ablation Time and Recurrence of Atrial Fibrillation Following Catheter Ablation. Circ. Arrhythmia Electrophysiol. 2020, 13, e008128. [Google Scholar] [CrossRef]
- De Greef, Y.; Schwagten, B.; Chierchia, G.B.; de Asmundis, C.; Stockman, D.; Buysschaert, I. Diagnosis-to-ablation time as a predictor of success: Early choice for pulmonary vein isolation and long-term outcome in atrial fibrillation: Results from the Middelheim-PVI Registry. EP Eur. 2018, 20, 589–595. [Google Scholar] [CrossRef]
- Nastasă, A.; Sahloul, M.H.; Iorgulescu, C.; Bogdan, Ș.; Scărlătescu, A.; Paja, S.; Pupaza, A.; Mitran, R.; Gondos, V.; Vătășescu, R.G. The Association between Diagnosis-to-Ablation Time and the Recurrence of Atrial Fibrillation: A Retrospective Cohort Study. Diseases 2024, 12, 38. [Google Scholar] [CrossRef] [PubMed] [PubMed Central]
- Kirchhof, P.; Camm, A.J.; Goette, A.; Brandes, A.; Eckardt, L.; Elvan, A.; Fetsch, T.; van Gelder, I.C.; Haase, D.; Haegeli, L.M.; et al. Early Rhythm-Control Therapy in Patients with Atrial Fibrillation. N. Engl. J. Med. 2020, 383, 1305–1316. [Google Scholar] [CrossRef]
- De With, R.R.; Erküner, Ö.; Rienstra, M.; Nguyen, B.-O.; Körver, F.W.J.; Linz, D.; Ten, H.C.; Spronk, H.; Kroon, A.A.; Maass, A.H.; et al. Temporal patterns and short-term progression of paroxysmal atrial fibrillation: Data from RACE V. Europace 2020, 22, 1162–1172. [Google Scholar] [CrossRef]
- de Campos, M.C.A.V.; Moraes, V.R.Y.; Daher, R.F.; Micheleto, J.P.C.; de Campos, L.A.V.; Barros, G.F.A.; de Oliveira, H.M.; Barros, L.P.; da Silva Menezes, A., Jr. Pulsed-field ablation versus thermal ablation for atrial fibrillation: A meta-analysis. Heart Rhythm O2 2024, 5, 385–395. [Google Scholar]
- Ekanem, E.; Reddy, V.Y.; Schmidt, B.; Reichlin, T.; Neven, K.; Metzner, A.; Hansen, J.; Blaauw, Y.; Maury, P.; Arentz, T.; et al. Multi-national survey on the methods, efficacy, and safety on the post-approval clinical use of pulsed field ablation (MANIFEST-PF). Europace 2022, 24, 1256–1266. [Google Scholar] [CrossRef]
- Addeo, L.; Di Feo, F.; Vaccariello, M.; Varriale, A.; Brescia, B.; Bonadies, D.; Nardi, S.; Argenziano, L.; Marino, V.; Abbate, V.; et al. Comparative Effects of Pulsed Field and Radiofrequency Ablation on Blood Cell Parameters During Pulmonary Vein Isolation. Biomedicines 2025, 13, 1828. [Google Scholar] [CrossRef]
- Wiggins, B.S.; Cibotti-Sun, M.; Moore, M.M. 2023 ACC/AHA/ACCP/HRS guideline for the diagnosis and management of atrial fibrillation. J. Am. Coll. Cardiol. 2024, 83, e133–e279. [Google Scholar] [CrossRef] [PubMed]
- Marrouche, N.F.; Wilber, D.; Hindricks, G.; Jais, P.; Akoum, N.; Marchlinski, F.; Kholmovski, E.; Burgon, N.; Hu, N.; Mont, L.; et al. Association of atrial tissue fibrosis identified by delayed enhancement MRI and atrial fibrillation catheter ablation: The DECAAF study. JAMA 2014, 311, 498–506. [Google Scholar] [CrossRef] [PubMed]
- Benito, E.M.; Carlosena-Remirez, A.; Guasch, E.; Prat-González, S.; Perea, R.J.; Figueras, R.; Borràs, A.; Andrea, D.; Arbelo, E.; Tolosana, J.M.; et al. Left atrial fibrosis quantification by late gadolinium-enhanced magnetic resonance: A new method to standardize the thresholds for reproducibility. Europace 2017, 19, 1272–1279. [Google Scholar] [CrossRef]
- Yagishita, A.; DEOliveira, S.; Cakulev, I.; Ghanbari, H.; van Wagoner, D.R.; Chung, M.K. Correlation of left atrial voltage distribution between sinus rhythm and atrial fibrillation: Identifying structural remodeling by electroanatomic mapping. Heart Rhythm 2016, 13, 731–739. [Google Scholar] [CrossRef]
- Akoum, N.; McGann, C.; Vengara, G.; Badger, T.; Ranjan, R.; Mahnkopf, C.; Kholmovski, E.; Macleod, R.; Marrouche, N. Atrial fibrosis quantified using late gadolinium enhancement MRI is associated with sinus node dysfunction requiring pacemaker implant. J. Cardiovasc. Electrophysiol. 2012, 23, 44–50. [Google Scholar] [CrossRef]
- Oakes, R.S.; Badger, T.J.; Kholmovski, E.G.; Akoum, N.; Burgon, N.S.; Fish, E.N.; Blauer, J.J.; Rao, S.N.; DiBella, E.V.; Segerson, N.M.; et al. Detection and quantification of left atrial structural remodeling with delayed-enhancement magnetic resonance imaging in patients with atrial fibrillation. Circulation 2009, 119, 1758–1767. [Google Scholar] [CrossRef]
- Kuo, L.; Zado, E.; Frankel, D.; Santangeli, P.; Arkles, J.; Han, Y.; Marchlinski, F.E.; Nazarian, S.; Desjardind, B. Association of Left Atrial High-Resolution Late Gadolinium Enhancement on Cardiac Magnetic Resonance with Electrogram Abnormalities Beyond Voltage in Patients with Atrial Fibrillation. Circ. Arrhythm Electrophysiol. 2020, 13, e007586. [Google Scholar] [CrossRef]
- Jadidi, A.S.; Lehrmann, H.; Keyl, C.; Sorrel, J.; Markstein, V.; Minners, J.; Park, C.-I.; Denis, A.; Jaïs, P.; Hocini, M.; et al. Ablation of persistent atrial fibrillation targeting low-voltage areas with selective activation characteristics. Circ. Arrhythm. Electrophysiol. 2016, 9, e002962. [Google Scholar] [CrossRef]
- Boriani, G.; Glotzer, T.V.; Santini, M.; West, T.M.; De Melis, M.; Sepsi, M.; Gasparini, M.; Lewalter, T.; Camm, J.A.; Singer, D.E. Device-detected atrial fibrillation and risk for stroke: An analysis of >10,000 patients from the SOS AF project (Stroke Prevention Strategies Based on Atrial Fibrillation Information from Implanted Devices). Eur. Heart J. 2014, 35, 508–516. [Google Scholar] [CrossRef]
- Reiffel, J.A.; Verma, A.; Kowey, P.R.; Halperin, J.L.; Gersh, B.J.; Wachter, R.; Pouliot, E.; Zieger, P.D. Incidence of Previously Undiagnosed Atrial Fibrillation Using Insertable Cardiac Monitors in a High-Risk Population: The REVEAL AF Study. JAMA Cardiol. 2017, 2, 1120–1127. [Google Scholar] [CrossRef]
- Makdah, O.; Krayem, F.A.; Sahloul, H.; Ursu, C.; Bogdan, S.; Vatasescu, R.; Gheorghe-Fronea, O. Strategic timing- early and delayed catheter ablation in atrial fibrillation. Eur. Heart J. 2024, 45 (Suppl. S1), ehae666.583. [Google Scholar] [CrossRef]


| Study | Number of Patients | Mean Age | Male Sex n (%) | Hypertension n (%) | Diabetes n (%) | Dyslipidemia n (%) | Heart Failure n (%) | CHA2DS2-VAScmean ± SD | Obesity (%)/BMI ± SD |
|---|---|---|---|---|---|---|---|---|---|
| Bunch et al., 2013 [16] | 684 | 65 | 419 (61) | 512 (74.8) | 117 (17.1) | 214 (31.3) | 203 (29.7) | Most < 3 | NR |
| Kuck et al., 2021 [12] | 128 | 67.7 | 54 (42.2) | 120 (93.8) | 13 (10.2) | 67 (52.3) | 24 (18.8) | NR | NR |
| Bisbal et al., 2019 [17] | 309 | 56.9 | 219 (71) | 138 (44.5) | 26 (8.4) | NR | NR | 2.0 ± 1.5 | Obesity (21.3) BMI 28.1 ± 4.9 |
| Andrade et al., 2021 [11] | 154 | 57.7 | 112 (72.7) | 57 (37.0) | NR | NR | 14 (9.1) | 1.9 ± 1.0 | Obesity (36.4) BMI 30.9 ± 14.2 |
| Wazni et al., 2021 [14] | 203 | 60.4 | 63 (61) | 58 (56) | 15 (14) | NR | 1 (1) | Most < 3 | NR |
| Kuniss et al., 2021 [10] | 107 | 50.5 | 76 (71) | 33 (30.8) | 1 (0.9) | 23 (21.5) | 0 (0.0) | Majority 0–1 | NR |
| Hussein et al., 2016 [18] | 1241 | 61 | 974 (78.5) | 478 (38.5) | 105 (8.5) | NR | NR | NR | NR |
| Lunati et al., 2018 [19] | 510 | 59.1 | 344 (67.5) | 241 (47.2) | 26 (5.1) | NR | NR | Majority 0–2 | BMI 27 ± 4 |
| Kalman et al., 2023 [20] | 89 | 59 | Early 32 (67) Delayed 31 (76) | Early 26 (54) Delayed 22 (54) | Early 3 (6) Delayed 1 (2) | NR | Early 6 (13) Delayed 2 (5) | Early (48) 1.8 ± 1.6 Delayed (41) 1.2 ± 1.1 | BMI Early (48) 30 ± 5.5 Delayed (41) 30 ± 5.3 |
| Kawaji et al., 2019 [21] | 1206 | 64.3 | 856 (71) | 707 (58.6) | 195 (16.1) | NR | 102 (8.5) | 2.0 ± 1.5 | NR |
| Year Published | Type of Study | Ablation Strategy | Parox/Pers | Mean DAT | Mean/Median Follow-Up (Time) | Mean AF Burden | AF Recurrence | Left Atrium Diameter (mm)/Size (cm2) | EF | |
|---|---|---|---|---|---|---|---|---|---|---|
| Delayed ablation studies (DAT ≥ 3 years) | Bisbal et al., 2019 [17] | Observational prospective | Cryo + RF | 66.8% Parox | 51.3 months | 13.7 months | NR | 34.2% | 41.5 | 61.2% |
| Lunati et al., 2018 [19] | Observational prospective | Cryo | Parox | 36 months | 16.3 months | NR | 29% | 40.8 | 60.2% | |
| Bunch et al., 2013 [16] | Observational retrospective | RF | 30–180 days group (56.1% parox.) 181–545 days (58.6% parox) 546–1825 days (57% parox) > 1825 days (59.5% parox) | 39 months | 39.4 months | NR | 30–180 days (38.1%) 181–545 days (45.7%) 546–1825 (47.8%) >1825 (46.0%) | Not reported | 53% | |
| Hussein et al., 2016 [18] | Observational prospective | RF | Pers | 36 months | 24 months | NR | 48.3% | 26.7 | 52.3% | |
| Kuck et al., 2021 [12] | Randomied clinical trial (RCT) | RF | Parox | 51.2 months | 36 months | NR | 49.2% | 42.7 ± 5.9 | NR |
| Year Published | Type of Study | Ablation Strategy | Parox/Pers | Mean DAT | Mean/Median Follow-Up (Time) | Mean AF Burden | AF Recurrence | Left Atrium Diameter (mm)/Size (cm2) | EF | |
|---|---|---|---|---|---|---|---|---|---|---|
| Early Ablation (DAT < 3 years) | Andrade et al., 2021 [11] | Randomized clinical trial (RCT) | Cryo | Parox 95.5% | 12 months | 12 months | 0.6 ± 3.3 | 42.9% | 39.5 ± 5.0 | 59.6 ± 7.0 |
| Wazni et al., 2021 [14] | Randomized clinical trial (RCT) | Cryo | Parox | 15.6 months | 12 months | NR | 20% | 38.7 ± 5.7 | 60.9 ± 6.0 | |
| Kuniss et al., 2021 [10] | Randomized clinical trial (RCT) | Cryo | Parox | 8.4 months | 12 months | NR | 17.8% | 37.0 mm | 62.8 | |
| Kalman et al., 2023 [20] | Randomized clinical trial (RCT) | Cryo + RF | Parox 46% | One month (early), 12 months (delayed) | 12 months | (Early vs. Delayed: 0% vs. 0%) | 43.7% -> early ablation arm 41.4% delayed arm | NR | in early -> 57 ± 8, in delayed -> 61 ± 5 |
| Year Published | Type of Study | Ablation Strategy | Parox/Pers | Mean DAT | Mean/Median Follow-Up (Time) | Mean AF Burden | AF Recurrence | Left Atrium Diameter (mm)/Size (cm2) | EF | |
|---|---|---|---|---|---|---|---|---|---|---|
| Mixed DAT Studies | Kawaji et al., 2019 [21] | Observational retrospective | RF | Parox 70.7% | short (less than 36 months) (N = 675) and long (more than 36 months) (N = 531) | 60 months | NR | 38.6% (short DAT) 29.9% (long DAT) | 40.9 | 63.1% |
| Study | DAT |
|---|---|
| Bunch et al., 2013 [16] | 39 months (delayed) |
| Kuck et al., 2021 [12] | 51.2 months (delayed) |
| Bisbal et al., 2019 [17] | 51.3 months (delayed) |
| Hussein et al., 2016 [18] | 36 months (delayed) |
| Lunati et al., 2018 [19] | 36 months (delayed) |
| Andrade et al., 2021 [11] | 12 months (early) |
| Wazni et al., 2021 [14] | 15.6 months (early) |
| Kuniss et al., 2021 [10] | 8.4 months (early) |
| Kalman et al., 2023 [20] | 1 month (early), 12 months (delayed) |
| Kawaji et al., 2019 [21] | <36 months (early) >36 months (delayed) |
Disclaimer/Publisher’s Note: The statements, opinions and data contained in all publications are solely those of the individual author(s) and contributor(s) and not of MDPI and/or the editor(s). MDPI and/or the editor(s) disclaim responsibility for any injury to people or property resulting from any ideas, methods, instructions or products referred to in the content. |
© 2025 by the authors. Licensee MDPI, Basel, Switzerland. This article is an open access article distributed under the terms and conditions of the Creative Commons Attribution (CC BY) license (https://creativecommons.org/licenses/by/4.0/).
Share and Cite
Makdah, O.; Al Krayem, F.; Ursu, C.G.; Sahloul, M.H.; Gheorghe-Fronea, O.; Vătãsescu, R.; Musat, D.L.; Bogdan, Ș. Correlation Between Catheter Ablation Timing and the Duration of Atrial Fibrillation History on Arrhythmia Recurrence in Patients with Paroxysmal Atrial Fibrillation: A Systematic Review and Meta-Analysis. J. Clin. Med. 2025, 14, 6995. https://doi.org/10.3390/jcm14196995
Makdah O, Al Krayem F, Ursu CG, Sahloul MH, Gheorghe-Fronea O, Vătãsescu R, Musat DL, Bogdan Ș. Correlation Between Catheter Ablation Timing and the Duration of Atrial Fibrillation History on Arrhythmia Recurrence in Patients with Paroxysmal Atrial Fibrillation: A Systematic Review and Meta-Analysis. Journal of Clinical Medicine. 2025; 14(19):6995. https://doi.org/10.3390/jcm14196995
Chicago/Turabian StyleMakdah, Obaida, Feras Al Krayem, Cosmin Gabriel Ursu, Mohamad Hussam Sahloul, Oana Gheorghe-Fronea, Radu Vătãsescu, Dan L. Musat, and Ștefan Bogdan. 2025. "Correlation Between Catheter Ablation Timing and the Duration of Atrial Fibrillation History on Arrhythmia Recurrence in Patients with Paroxysmal Atrial Fibrillation: A Systematic Review and Meta-Analysis" Journal of Clinical Medicine 14, no. 19: 6995. https://doi.org/10.3390/jcm14196995
APA StyleMakdah, O., Al Krayem, F., Ursu, C. G., Sahloul, M. H., Gheorghe-Fronea, O., Vătãsescu, R., Musat, D. L., & Bogdan, Ș. (2025). Correlation Between Catheter Ablation Timing and the Duration of Atrial Fibrillation History on Arrhythmia Recurrence in Patients with Paroxysmal Atrial Fibrillation: A Systematic Review and Meta-Analysis. Journal of Clinical Medicine, 14(19), 6995. https://doi.org/10.3390/jcm14196995

