Racial and Ethnic Disparities in the Outcomes and Treatment of Patients Admitted with Heart Failure: A Nationwide Analysis
Abstract
1. Introduction
2. Materials and Methods
3. Results
3.1. Patient Characteristics
3.2. Primary Outcome: Mortality
3.3. Secondary Outcomes
3.3.1. Resource Utilization and Complications
3.3.2. Interventions and Procedures
3.3.3. Predictors of In-Hospital Mortality
4. Discussion
5. Conclusions
Supplementary Materials
Author Contributions
Funding
Institutional Review Board Statement
Informed Consent Statement
Data Availability Statement
Conflicts of Interest
References
- Bozkurt, B.; Ahmad, T.; Alexander, K.M.; Baker, W.L.; Bosak, K.; Breathett, K.; Fonarow, G.C.; Heidenreich, P.; Ho, J.E.; Hsich, E.; et al. Heart Failure Epidemiology and Outcomes Statistics: A Report of the Heart Failure Society of America. J. Card. Fail. 2023, 29, 1412–1451. [Google Scholar] [CrossRef]
- Mensah, G.A.; Mokdad, A.H.; Ford, E.S.; Greenlund, K.J.; Croft, J.B. State of disparities in cardiovascular health in the United States. Circulation 2005, 111, 1233–1241. [Google Scholar] [CrossRef] [PubMed]
- Davis, A.M.; Vinci, L.M.; Okwuosa, T.M.; Chase, A.R.; Huang, E.S. Cardiovascular health disparities: A systematic review of health care interventions. Med. Care Res. Rev. MCRR 2007, 64 (Suppl. S5), 29S–100S. [Google Scholar] [CrossRef] [PubMed]
- Institute of Medicine (US) Committee on Understanding and Eliminating Racial and Ethnic Disparities in Health Care. Unequal Treatment: Confronting Racial and Ethnic Disparities in Health Care; Smedley, B.D., Stith, A.Y., Nelson, A.R., Eds.; National Academies Press: Washington, DC, USA, 2003. [Google Scholar] [CrossRef]
- Alexander, M.; Grumbach, K.; Remy, L.; Rowell, R.; Massie, B.M. Congestive heart failure hospitalizations and survival in California: Patterns according to race/ethnicity. Am. Heart J. 1999, 137, 919–927. [Google Scholar] [CrossRef]
- Durstenfeld, M.S.; Ogedegbe, O.; Katz, S.D.; Park, H.; Blecker, S. Racial and Ethnic Differences in Heart Failure Readmissions and Mortality in a Large Municipal Healthcare System. JACC Heart Fail. 2016, 4, 885–893. [Google Scholar] [CrossRef] [PubMed]
- Schrage, B.; Weimann, J.; Dabboura, S.; Yan, I.; Hilal, R.; Becher, P.M.; Seiffert, M.; Bernhardt, A.M.; Kluge, S.; Reichenspurner, H.; et al. Patient Characteristics, Treatment and Outcome in Non-Ischemic vs. Ischemic Cardiogenic Shock. J. Clin. Med. 2020, 9, 931. [Google Scholar] [CrossRef] [PubMed]
- Alharbi, A.; Shah, M.; Bansal, N.; Franz, A.; Kwak, E.S.; Alsughayer, A.; Mhanna, M.; Salih, A.; Mohamed, A.; Qafisheh, Q.; et al. Outcomes and complications of heart failure with iron deficiency anemia: A nationwide analysis. Hosp. Pract. 2024, 52, 84–90. [Google Scholar] [CrossRef] [PubMed]
- Bansal, N.; Alharbi, A.; Shah, M.; Altorok, I.; Assaly, R.; Altorok, N. Impact of Malnutrition on the Outcomes in Patients Admitted with Heart Failure. J. Clin. Med. 2024, 13, 4215. [Google Scholar] [CrossRef]
- Bates, B.A.; Akhabue, E.; Nahass, M.M.; Mukherjee, A.; Hiltner, E.; Rock, J.; Wilton, B.; Mittal, G.; Visaria, A.; Rua, M.; et al. Validity of International Classification of Diseases (ICD)-10 Diagnosis Codes for Identification of Acute Heart Failure Hospitalization and Heart Failure with Reduced Versus Preserved Ejection Fraction in a National Medicare Sample. Circ. Cardiovasc. Qual. Outcomes 2023, 16, e009078. [Google Scholar] [CrossRef] [PubMed]
- World Health Organization. International Statistical Classification of Diseases, Tenth Revision (ICD-10), Clinical Modification; World Health Organization: Geneva, Switzerland, 1992. [Google Scholar]
- Overview of Hospital Stays for Children in the United States, 2012: Statistical Brief #187. In Healthcare Cost and Utilization Project (HCUP) Statistical Briefs; Witt, W.P., Weiss, A.J., Elixhauser, A., Eds.; Agency for Healthcare Research and Quality: Rockville, MD, USA, 2014. [Google Scholar]
- Brown, D.W.; Haldeman, G.A.; Croft, J.B.; Giles, W.H.; Mensah, G.A. Racial or ethnic differences in hospitalization for heart failure among elderly adults: Medicare, 1990 to 2000. Am. Heart J. 2005, 150, 448–454. [Google Scholar] [CrossRef] [PubMed]
- Alexander, M.; Grumbach, K.; Selby, J.; Brown, A.F.; Washington, E. Hospitalization for congestive heart failure. Explain. Racial Differ. JAMA 1995, 274, 1037–1042. [Google Scholar] [CrossRef] [PubMed]
- Afzal, A.; Ananthasubramaniam, K.; Sharma, N.; Ai-Malki, Q.; Ali, A.S.; Jacobsen, G.; Jafri, S.M. Racial differences in patients with heart failure. Clin. Cardiol. 1999, 22, 791–794. [Google Scholar] [CrossRef] [PubMed]
- Spitaleri, G.; Zamora, E.; Cediel, G.; Codina, P.; Santiago-Vacas, E.; Domingo, M.; Lupón, J.; Santesmases, J.; Diez-Quevedo, C.; Troya, M.I.; et al. Cause of Death in Heart Failure Based on Etiology: Long-Term Cohort Study of All-Cause and Cardiovascular Mortality. J. Clin. Med. 2022, 11, 784. [Google Scholar] [CrossRef] [PubMed]
- Shen, J.J.; Washington, E.L.; Chung, K.; Bell, R. Factors underlying racial disparities in hospital care of congestive heart failure. Ethn. Dis. 2007, 17, 206–213. [Google Scholar]
- Chouairi, F.; Fuery, M.; Clark, K.A.; Mullan, C.W.; Stewart, J.; Caraballo, C.; Clarke, J.D.; Sen, S.; Guha, A.; Ibrahim, N.E.; et al. Evaluation of Racial and Ethnic Disparities in Cardiac Transplantation. J. Am. Heart Assoc. 2021, 10, e021067. [Google Scholar] [CrossRef]
- Olanipekun, T.; Abe, T.; Effoe, V.; Egbuche, O.; Mather, P.; Echols, M.; Adedinsewo, D. Racial and Ethnic Disparities in the Trends and Outcomes of Cardiogenic Shock Complicating Peripartum Cardiomyopathy. JAMA Netw. Open 2022, 5, e2220937. [Google Scholar] [CrossRef]
- Reinier, K.; Nichols, G.A.; Huertas-Vazquez, A.; Uy-Evanado, A.; Teodorescu, C.; Stecker, E.C.; Gunson, K.; Jui, J.; Chugh, S.S.; Farioli, A.; et al. Distinctive Clinical Profile of Blacks Versus Whites Presenting with Sudden Cardiac Arrest. Circulation 2015, 132, 380–387. [Google Scholar] [CrossRef] [PubMed]
- Deo, R.; Safford, M.M.; Khodneva, Y.A.; Jannat-Khah, D.P.; Brown, T.M.; Judd, S.E.; McClellan, W.M.; Rhodes, J.D.; Shlipak, M.G.; Soliman, E.Z.; et al. Differences in Risk of Sudden Cardiac Death Between Blacks and Whites. J. Am. Coll. Cardiol. 2018, 72, 2431–2439. [Google Scholar] [CrossRef] [PubMed]
- Hess, P.L.; Hernandez, A.F.; Bhatt, D.L.; Hellkamp, A.S.; Yancy, C.W.; Schwamm, L.H.; Peterson, E.D.; Schulte, P.J.; Fonarow, G.C.; Al-Khatib, S.M. Sex and Race/Ethnicity Differences in Implantable Cardioverter-Defibrillator Counseling and Use Among Patients Hospitalized with Heart Failure: Findings from the Get with The Guidelines-Heart Failure Program. Circulation 2016, 134, 517–526. [Google Scholar] [CrossRef]
- Quan, H.; Li, B.; Couris, C.M.; Fushimi, K.; Graham, P.; Hider, P.; Januel, J.-M.; Sundararajan, V. Updating and validating the Charlson comorbidity index and score for risk adjustment in hospital discharge abstracts using data from 6 countries. Am. J. Epidemiol. 2011, 173, 676–682. [Google Scholar] [CrossRef]



| Whites | Blacks | Hispanics | p Value * | |
|---|---|---|---|---|
| Total (%) of heart failure admissions | 63 | 23.2 | 8.8 | |
| Age (median) | 76 | 63 | 68 | <0.01 |
| Female gender (%) | 46.56 | 47.36 | 44.74 | <0.01 |
| Median Income in patients Zip code (%) | <0.01 | |||
| $1–47,999 | 26.94 | 55.49 | 40.97 | |
| $48,000–60,999 | 30.08 | 22.43 | 26.5 | |
| $61,000–81,999 | 24.02 | 13.59 | 20.85 | |
| ≥$82,000 | 18.96 | 8.49 | 11.68 | |
| Charlson comorbidity index (%) | 0.12 | |||
| 1 | 8.98 | 7.48 | 7.5 | |
| 2 | 15.07 | 12.55 | 13.72 | |
| 3 or more | 75.95 | 79.97 | 78.78 | |
| Hospital Region | <0.01 | |||
| Northeast | 19.05 | 14.47 | 17.94 | |
| Midwest | 26.02 | 20.31 | 6.4 | |
| South | 39.02 | 56.14 | 37.67 | |
| West | 15.91 | 9.08 | 37.99 | |
| Hospital Bed size (%) | <0.01 | |||
| Small | 25.26 | 21.87 | 20.72 | |
| Medium | 29.06 | 27.09 | 30.8 | |
| Large | 45.68 | 51.04 | 48.48 | |
| Hospital Location (%) | <0.01 | |||
| Rural | 12.96 | 6.12 | 2.38 | |
| Urban | 87.04 | 93.88 | 97.62 | |
| Hospital Teaching (%) | <0.01 | |||
| Non-teaching (%) | 33.63 | 20 | 22.45 | |
| Teaching (%) | 66.37 | 80 | 77.55 | |
| Insurance type (%) | <0.01 | |||
| Medicaid | 78.98 | 58.49 | 60.39 | |
| Medicare | 7.27 | 21.79 | 23.45 | |
| Private | 11.48 | 14.7 | 10.48 | |
| Uninsured | 2.26 | 5.03 | 5.68 | |
| Co-morbidities (%) | ||||
| Diabetes | 12.76 | 13.46 | 16.62 | <0.01 |
| Diabetes with complications | 34.48 | 39.85 | 46.95 | <0.01 |
| Renal dysfunction | 52.32 | 61.01 | 58.41 | <0.01 |
| Myocardial infarction | 23.1 | 19.58 | 21.69 | <0.01 |
| Coronary artery disease (CAD) | 49.28 | 37.34 | 43.88 | <0.01 |
| Atrial fibrillation | 53 | 29.21 | 34.13 | <0.01 |
| Mitral regurgitation | 6.91 | 6.68 | 6.74 | 0.31 |
| Aortic stenosis | 6.75 | 2.23 | 4.46 | 0.06 |
| Variable | Whites | Blacks | Hispanics | p Value |
|---|---|---|---|---|
| Deaths (%) | 3.09 | 1.83 | 2.23 | <0.01 |
| Complications (%) | ||||
| Cardiogenic shock | 2.91 | 3.55 | 2.82 | <0.01 |
| Cardiac arrest | 0.73 | 0.89 | 1 | <0.01 |
| Acute kidney injury | 35.31 | 38.65 | 37.75 | <0.01 |
| Acute respiratory failure | 39.06 | 30.5 | 33.9 | <0.01 |
| Resource Use | ||||
| LOS, d | 5.52 (5.46–5.59) | 5.74 (5.61–5.86) | 5.43 (5.28–5.59) | 0.34 |
| Hospital cost, $ | 58,829 (56,979–60,679) | 64,181 (61,218–67,143) | 78,837 (74,543–83,132) | 0.27 |
| Advanced Procedures (%) | ||||
| Implantable defibrillator | 0.85 | 1.09 | 1.06 | 0.12 |
| CRT | 0.63 | 0.5 | 0.57 | 0.06 |
| Ventricular assist device | 0.23 | 0.16 | 0.16 | <0.01 |
| Heart transplant | 0.15 | 0.16 | 0.16 | 0.68 |
| Quantitative Outcomes | Whites | Blacks | Hispanics | p Value |
|---|---|---|---|---|
| Length of stay (days) | 5.52 | 5.30 | 5.16 | <0.01 |
| Hospitalization charges ($) | 58,829 | 55,587 | 50,965 | <0.01 |
| Outcomes (Blacks vs. Whites) | aOR; 95% CI | p Value |
|---|---|---|
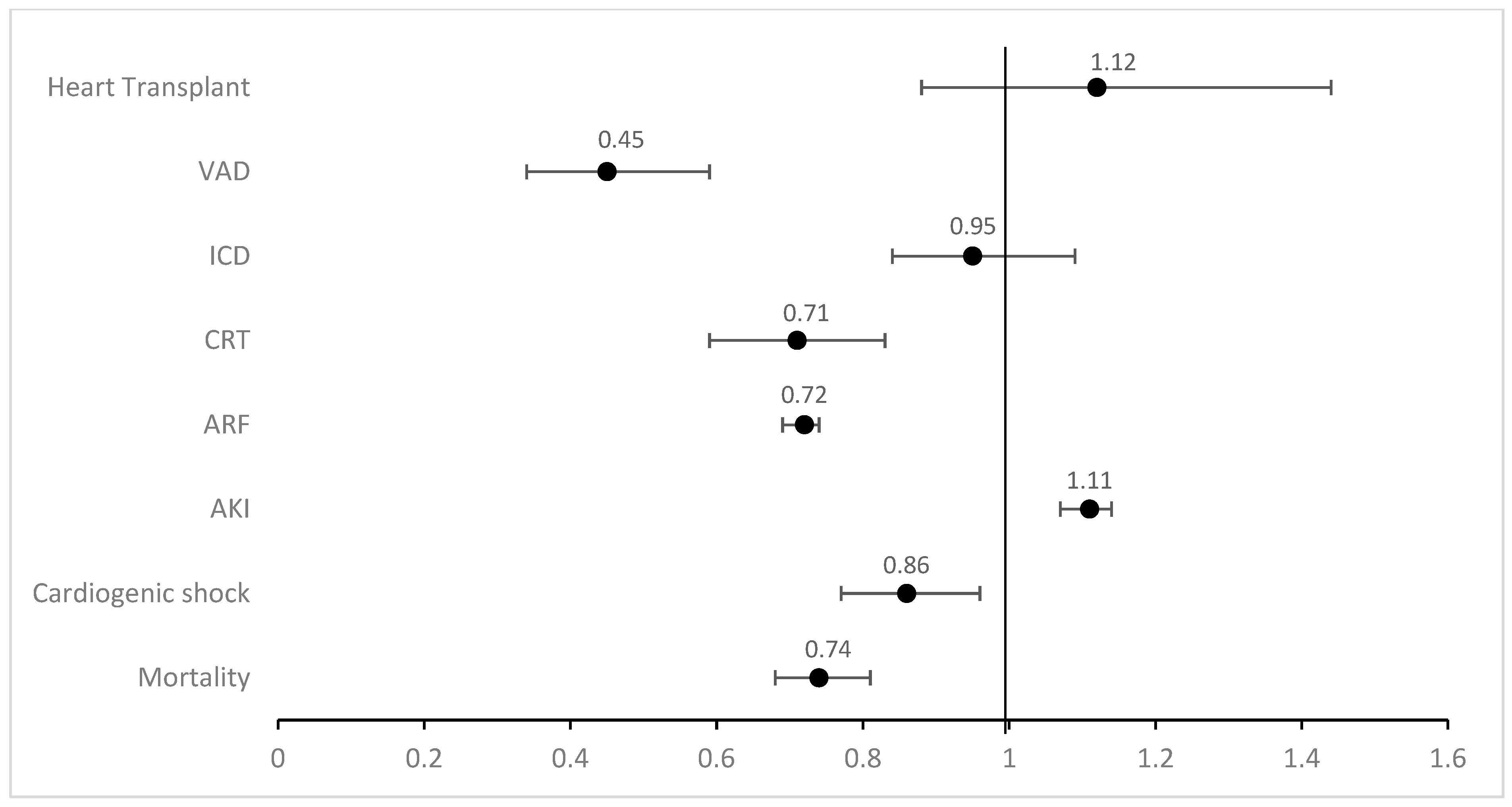
| Mortality | 0.74 (0.68–0.81) | <0.001 * |
| Cardiogenic shock | 0.86 (0.77–0.96) | 0.007 * |
| Cardiac arrest | 1.18 (1.03–1.34) | 0.02 * |
| Acute kidney injury | 1.11 (1.07–1.14) | <0.001 * |
| Acute respiratory failure | 0.72 (0.69–0.74) | <0.001 * |
| CRT | 0.71 (0.59–0.83) | <0.001 * |
| ICD | 0.95 (0.84–1.08) | 0.47 |
| VAD | 0.45 (0.34–0.59) | <0.001 * |
| Heart transplant | 0.57 (0.42–0.77) | <0.001 * |
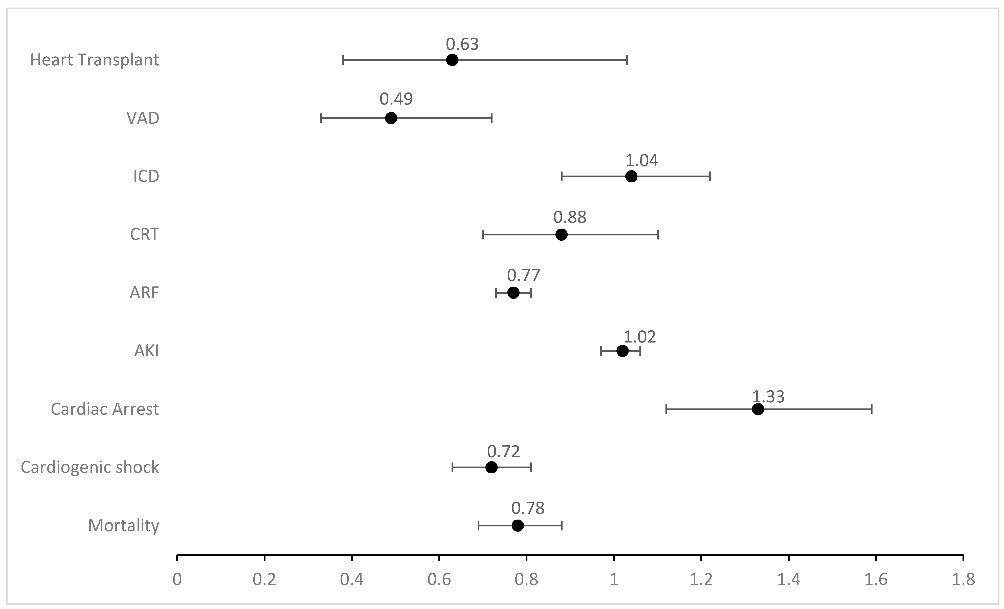
| Outcomes (Hispanics vs. Whites) | ||
| Mortality | 0.78 (0.69–0.88) | <0.001 * |
| Cardiogenic shock | 0.72 (0.63–0.81) | <0.001 * |
| Cardiac arrest | 1.33 (1.12–1.59) | 0.001 * |
| Acute kidney injury | 1.01 (0.96–1.06) | 0.63 |
| Acute respiratory failure | 0.77 (0.73–0.81) | <0.001 * |
| CRT | 0.88 (0.70–1.1) | 0.26 |
| ICD | 1.04 (0.88–1.22) | 0.63 |
| VAD | 0.49 (0.33–0.72) | <0.001 * |
| Heart transplant | 0.63 (0.38–1.02) | 0.12 |
| Variable | Adjusted Odds Ratio (aOR) | p Value |
|---|---|---|
| Age | 1.03 (1.02–1.05) | <0.01 |
| Female sex | 0.88 (0.83–0.93) | <0.01 |
| Charlson comorbidity index | 1.10 (1.08–1.12) | <0.01 |
| Income quartile | ||
| $1–47,999 | Reference | |
| $48,000–60,999 | 1.03 (0.96–1.11) | 0.36 |
| $61,000–81,999 | 0.96 (0.88–1.05) | 0.35 |
| ≥$82,000 | 0.97 (0.88–1.07) | 0.6 |
| Hospital location | ||
| Rural | Reference | |
| Urban | 0.98 (0.87–1.11) | 0.85 |
| Hospital bed size | ||
| Small | Reference | |
| Medium | 1.06 (0.97–1.16) | 0.223 |
| Large | 1.29 (1.19–1.40) | <0.01 |
Disclaimer/Publisher’s Note: The statements, opinions and data contained in all publications are solely those of the individual author(s) and contributor(s) and not of MDPI and/or the editor(s). MDPI and/or the editor(s) disclaim responsibility for any injury to people or property resulting from any ideas, methods, instructions or products referred to in the content. |
© 2024 by the authors. Licensee MDPI, Basel, Switzerland. This article is an open access article distributed under the terms and conditions of the Creative Commons Attribution (CC BY) license (https://creativecommons.org/licenses/by/4.0/).
Share and Cite
Bansal, N.; Alharbi, A.; Qiu, S.; Wang, L. Racial and Ethnic Disparities in the Outcomes and Treatment of Patients Admitted with Heart Failure: A Nationwide Analysis. J. Clin. Med. 2025, 14, 18. https://doi.org/10.3390/jcm14010018
Bansal N, Alharbi A, Qiu S, Wang L. Racial and Ethnic Disparities in the Outcomes and Treatment of Patients Admitted with Heart Failure: A Nationwide Analysis. Journal of Clinical Medicine. 2025; 14(1):18. https://doi.org/10.3390/jcm14010018
Chicago/Turabian StyleBansal, Nahush, Abdulmajeed Alharbi, Shuhao Qiu, and Libin Wang. 2025. "Racial and Ethnic Disparities in the Outcomes and Treatment of Patients Admitted with Heart Failure: A Nationwide Analysis" Journal of Clinical Medicine 14, no. 1: 18. https://doi.org/10.3390/jcm14010018
APA StyleBansal, N., Alharbi, A., Qiu, S., & Wang, L. (2025). Racial and Ethnic Disparities in the Outcomes and Treatment of Patients Admitted with Heart Failure: A Nationwide Analysis. Journal of Clinical Medicine, 14(1), 18. https://doi.org/10.3390/jcm14010018

