Prospective Analysis of Squamous Cell Carcinoma Antigen-1 and -2 for Diagnosing Sinonasal Inverted Papilloma
Abstract
1. Introduction
2. Materials and Methods
2.1. Patients
2.2. SCCA Measurement
2.3. Relationship between Clinical Characteristics and SCCA
2.4. Statistical Analysis
3. Results
3.1. Patient Characteristics
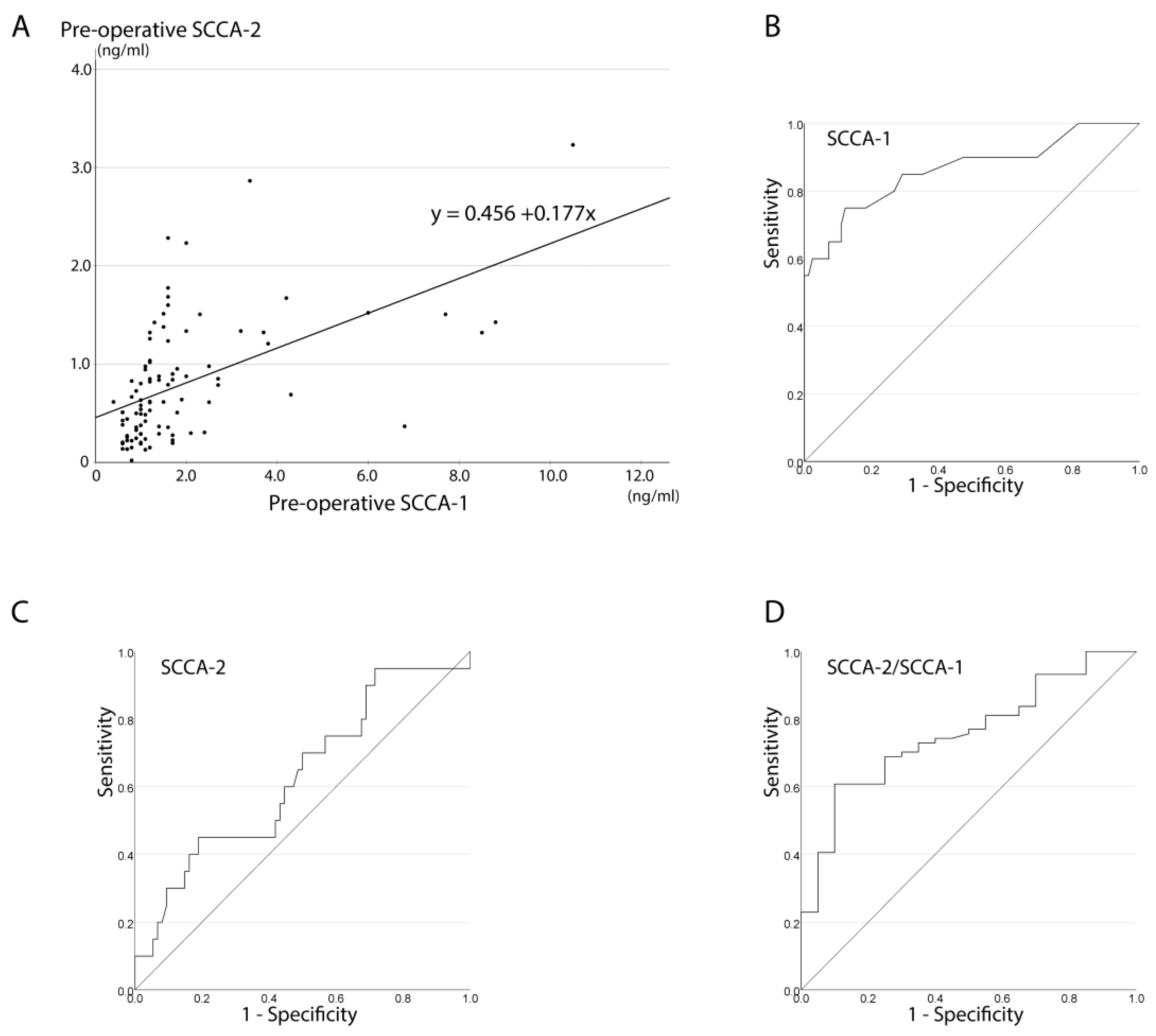
3.2. Relationship between Preoperative SCCA-1 and SCCA-2
3.3. Preoperative SCCA-1 in Patients with Sinonasal Diseases
3.4. Preoperative SCCA-2 in Patients with Sinonasal Diseases
3.5. Perioperative Changes in SCCA-1 and SCCA-2
3.6. Influence of Comorbidities and Lifestyle Factors (Smoking and Alcohol Consumption) on SCCA Values
4. Discussion
5. Conclusions
Supplementary Materials
Author Contributions
Funding
Institutional Review Board Statement
Informed Consent Statement
Data Availability Statement
Acknowledgments
Conflicts of Interest
References
- Kato, H.; Morioka, H.; Aramaki, S.; Torigoe, T. Radioimmunoassay for tumor-antigen of human cervical squamous cell carcinoma. Cell. Mol. Biol. Incl. Cyto Enzymol. 1979, 25, 51–56. [Google Scholar] [CrossRef] [PubMed]
- Schneider, S.S.; Schick, C.; Fish, K.E.; Miller, E.; Pena, J.C.; Treter, S.D.; Hui, S.M.; Silverman, G.A. A serine proteinase-inhibitor locus at 18q21.3 contains a tandem duplication of the human squamous-cell carcinoma antigen gene. Proc. Natl. Acad. Sci. USA 1995, 92, 3147–3151. [Google Scholar] [CrossRef] [PubMed]
- Uemura, Y.; Pak, S.C.; Luke, C.; Cataltepe, S.; Tsu, C.; Schick, C.; Kamachi, Y.; Pomeroy, S.L.; Perlmutter, D.H.; Silverman, G.A. Circulating serpin tumor markers SCCA1 and SCCA2 are not actively secreted but reside in the cytosol of squamous carcinoma cells. Int. J. Cancer 2000, 89, 368–377. [Google Scholar] [CrossRef] [PubMed]
- Suminami, Y.; Nagashima, S.; Murakami, A.; Nawata, S.; Gondo, T.; Hirakawa, H.; Numa, F.; Silverman, G.A.; Kato, H. Suppression of a squamous cell carcinoma (SCC)-related serpin, SCC antigen, inhibits tumor growth with increased intratumor infiltration of natural killer cells. Cancer Res. 2001, 61, 1776–1780. [Google Scholar] [PubMed]
- Hsu, K.F.; Wu, C.L.; Huang, S.C.; Wu, C.M.; Hsiao, J.R.; Yo, Y.T.; Chen, Y.H.; Shiau, A.L.; Chou, C.Y. Cathepsin L mediates resveratrol-induced autophagy and apoptotic cell death in cervical cancer cells. Autophagy 2009, 5, 451–460. [Google Scholar] [CrossRef] [PubMed]
- Campbell, B.; De’Ambrosis, B. Squamous cell carcinoma antigen in patients with cutaneous disorders. J. Am. Acad. Dermatol. 1990, 22, 639–642. [Google Scholar] [CrossRef]
- Xu, L.; Bian, W.; Gu, X.H.; Shen, C. Differing expression of cytokines and tumor markers in combined pulmonary fibrosis and emphysema compared to emphysema and pulmonary fibrosis. COPD 2017, 14, 245–250. [Google Scholar] [CrossRef] [PubMed]
- Deng, Z.; Hasegawa, M.; Yamashita, Y.; Matayoshi, S.; Kiyuna, A.; Agena, S.; Uehara, T.; Maeda, H.; Suzuki, M. Prognostic value of human papillomavirus and squamous cell carcinoma antigen in head and neck squamous cell carcinoma. Cancer Sci. 2012, 103, 2127–2134. [Google Scholar] [CrossRef] [PubMed]
- Qin, L. Study on the preoperative value of serum SCC-Ag in predicting the stromal invasion of cervical squamous cell carcinoma. J. Cancer Res. Clin. Oncol. 2023, 149, 9167–9171. [Google Scholar] [CrossRef] [PubMed]
- Udager, A.M.; Rolland, D.C.M.; Mc Hugh, J.B.; Betz, B.L.; Murga-Zamalloa, C.; Carey, T.E.; Marentette, L.J.; Hermsen, M.A.; Du Ross, K.E.; Lim, M.S.; et al. High-frequency targetable EGFR mutations in sinonasal squamous cell carcinomas arising from inverted sinonasal papilloma. Cancer Res. 2015, 75, 2600–2606. [Google Scholar] [CrossRef]
- Peng, R.; Thamboo, A.; Choby, G.; Ma, Y.; Zhou, B.; Hwang, P.H. Outcomes of sinonasal inverted papilloma resection by surgical approach: An updated systematic review and meta-analysis. Int. Forum Allergy Rhinol. 2019, 9, 573–581. [Google Scholar] [CrossRef] [PubMed]
- Kim, J.S.; Kwon, S.H. Recurrence of sinonasal inverted papilloma following surgical approach: A meta-analysis. Laryngoscope 2017, 127, 52–58. [Google Scholar] [CrossRef] [PubMed]
- McCormick, J.P.; Suh, J.D.; Lee, J.T.; Wells, C.; Wang, M.B. Role of high-risk HPV detected by PCR in malignant sinonasal inverted papilloma: A meta-analysis. Laryngoscope 2022, 132, 926–932. [Google Scholar] [CrossRef] [PubMed]
- van den Boer, C.; Brutel, G.; de Vries, N. Is routine histopathological examination of FESS material useful? Eur. Arch. Otorhinolaryngol. 2010, 267, 381–384. [Google Scholar] [CrossRef] [PubMed][Green Version]
- Yasumatsu, R.; Nakashima, T.; Kuratomi, Y.; Hirakawa, N.; Azuma, K.; Tomita, K.; Cataltepe, S.; Silverman, G.A.; Clayman, G.L.; Komiyama, S. Serum squamous cell carcinoma antigen is a useful biologic marker in patients with inverted papillomas of the sinonasal tract. Cancer 2002, 94, 152–158. [Google Scholar] [CrossRef] [PubMed]
- Suzuki, M.; Deng, Z.; Hasegawa, M.; Uehara, T.; Kiyuna, A.; Maeda, H. Squamous cell carcinoma antigen production in nasal inverted papilloma. Am. J. Rhinol. Allergy 2012, 26, 365–370. [Google Scholar] [CrossRef] [PubMed]
- Matousek, P.; Zelenik, K.; Safarcik, K.; Cabalova, L.; Kominek, P. Squamous cell carcinoma antigen as a marker of sinonasal inverted papilloma. Eur. Arch. Otorhinolaryngol. 2014, 271, 535–538. [Google Scholar] [CrossRef] [PubMed]
- Promsopa, C.; Suwansri, S.; Khuntikij, P. The serum squamous cell carcinoma antigen level in inverted sinonasal papilloma and nasal polyps patients. World J. Otorhinolaryngol. Head Neck Surg. 2021, 7, 23–27. [Google Scholar] [CrossRef] [PubMed]
- Kitamura, Y.; Kamimura, S.; Fujii, T.; Kanamura, R.; Fukuda, J.; Kondo, E.; Azuma, T.; Sato, G.; Takeda, N. Long-term changes in serum squamous cell carcinoma antigen levels after surgery in patients with sinonasal inverted papilloma. Auris Nasus Larynx 2022, 49, 697–702. [Google Scholar] [CrossRef] [PubMed]
- Yamashita, Y.; Uehara, T.; Hasegawa, M.; Deng, Z.; Matayoshi, S.; Kiyuna, A.; Kondo, S.; Maeda, H.; Ganaha, A.; Suzuki, M. Squamous cell carcinoma antigen as a diagnostic marker of nasal inverted papilloma. Am. J. Rhinol. Allergy 2016, 30, 122–127. [Google Scholar] [CrossRef] [PubMed]
- Zhang, Z.; Xu, B.; Wang, X.; Yan, S.; Li, S.; Jiang, Y.; Yu, L. Diagnostic value of serum squamous cell carcinoma antigen and cytokeratin fragment antigen 21-1 for sinonasal inverted papilloma: An exploratory study. Rhinology, 2024; ahead of print. [Google Scholar] [CrossRef]
- Takeuchi, S.; Furusyo, N.; Ono, J.; Azuma, Y.; Takemura, M.; Esaki, H.; Yamamura, K.; Mitamura, Y.; Tsuji, G.; Kiyomatsu-Oda, M.; et al. Serum squamous cell carcinoma antigen (SCCA)-2 correlates with clinical severity of pediatric atopic dermatitis in Ishigaki cohort. J. Dermatol. Sci. 2019, 95, 70–75. [Google Scholar] [CrossRef] [PubMed]
- Hirayama, J.; Fujisawa, T.; Nagao, M.; Kuwabara, Y.; Kainuma, K.; Azuma, Y.; Ono, J.; Ohta, S.; Hirayama, M.; Izuhara, K.; et al. Squamous cell carcinoma antigens are sensitive biomarkers for atopic dermatitis in children and adolescents: A cross-sectional study. Asia Pac. Allergy 2021, 11, e42. [Google Scholar] [CrossRef] [PubMed]
- Mori, E.; Kurano, M.; Tobita, A.; Shimosaka, H.; Yatomi, Y. Existence of a squamous cell carcinoma antigen-immunoglobulin complex causes a deviation between squamous cell carcinoma antigen concentrations determined using two different immunoassays: First report of squamous cell carcinoma antigen coupling with immunoglobulin A. Ann. Clin. Biochem. 2017, 54, 655–663. [Google Scholar] [PubMed]
- Serdarevic, N.; Stanciu, A.E. Comparison of Architect i2000 for determination of SCC with IMX determination of SCC with different methods. Clin. Lab 2013, 59, 1129–1133. [Google Scholar] [CrossRef] [PubMed]
- Krouse, J.H. Development of a staging system for inverted papilloma. Laryngoscope 2000, 110, 965–968. [Google Scholar] [CrossRef] [PubMed]
- Yasumatsu, R.; Nakano, T.; Sato, M.; Jiroumaru, R.; Hashimoto, K.; Kogo, R.; Wakasaki, T.; Nakashima, T.; Nakagawa, T. Combination of serum squamous cell carcinoma antigens 1 and 2 as potential diagnostic marker for sinonasal squamous cell carcinoma and inverted papilloma. Head Neck 2018, 40, 2583–2589. [Google Scholar] [CrossRef] [PubMed]
- Yan, C.H.; Tong, C.C.L.; Penta, M.; Patel, V.S.; Palmer, J.N.; Adappa, N.D.; Nayak, J.V.; Hwang, P.H.; Patel, Z.M. Imaging predictors for malignant transformation of inverted papilloma. Laryngoscope 2019, 129, 777–782. [Google Scholar] [CrossRef] [PubMed]
- Lisan, Q.; Laccourreye, O.; Bonfils, P. Sinonasal inverted papilloma: From diagnosis to treatment. Eur. Ann. Otorhinolaryngol. Head Neck Dis. 2016, 133, 337–341. [Google Scholar] [CrossRef] [PubMed]



| Preop. SCCA-1 (n) | Preop. SCCA-1 (ng/mL) | SD | Postop. SCCA-1 (n) | Postop. SCCA-1 (ng/mL) | SD | Preop. SCCA-2/SCCA-1 (n) | Preop. SCCA-2/SCCA-1 | SD | |
|---|---|---|---|---|---|---|---|---|---|
| IP | 18 | 4.3 | 3.0 | 18 | 1.3 | 1.1 | 18 | 0.3 | 0.2 |
| Other types of papilloma | 2 | 2.8 | 2.2 | 2 | 1.2 | 0.2 | 2 | 0.4 | 0.3 |
| CRS | 77 | 1.2 | 0.6 | 75 | 1.0 | 0.4 | 70 | 0.6 | 0.3 |
| Hemangioma | 1 | 0.9 | NA | 1 | 1.1 | NA | 1 | 0.8 | NA |
| Sinonasal cancer | 4 | 1.1 | 0.5 | 3 | 1.4 | 0.7 | 3 | 0.7 | 0.4 |
| Patients with Preoperative SCCA-2, n | Preoperative SCCA-2 (ng/mL) | SD | Patients with Postoperative SCCA-2, n | Postoperative SCCA-2 (ng/mL) | SD | |
|---|---|---|---|---|---|---|
| IP | 18 | 1.1 | 0.9 | 13 | 1.1 | 0.6 |
| Other types of papilloma | 2 | 0.7 | 0.1 | 1 | 0.8 | NA |
| CRS | 70 | 0.7 | 0.5 | 62 | 0.8 | 0.6 |
| Hemangioma | 1 | 0.7 | NA | 1 | 1.2 | NA |
| Sinonasal cancer | 3 | 1.0 | 0.7 | 2 | 1.0 | 0.9 |
| Patients with Preoperative SCCA-1, n | Preoperative SCCA-1 (ng/mL) | |||
|---|---|---|---|---|
| <1.8 | ≥1.8 to <3.4 | ≥3.4 | ||
| IP | 18 | 4 | 4 | 10 |
| Other types of papilloma | 2 | 1 | 0 | 1 |
| CRS | 77 | 67 | 10 | 0 |
| Hemangioma | 1 | 1 | 0 | 0 |
| Sinonasal cancer | 4 | 4 | 0 | 0 |
Disclaimer/Publisher’s Note: The statements, opinions and data contained in all publications are solely those of the individual author(s) and contributor(s) and not of MDPI and/or the editor(s). MDPI and/or the editor(s) disclaim responsibility for any injury to people or property resulting from any ideas, methods, instructions or products referred to in the content. |
© 2024 by the authors. Licensee MDPI, Basel, Switzerland. This article is an open access article distributed under the terms and conditions of the Creative Commons Attribution (CC BY) license (https://creativecommons.org/licenses/by/4.0/).
Share and Cite
Hirakawa, H.; Ikegami, T.; Toyama, M.; Ooshiro, Y.; Higa, T.; Kinjyo, H.; Kondo, S.; Kise, N.; Yamashita, Y.; Suzuki, M. Prospective Analysis of Squamous Cell Carcinoma Antigen-1 and -2 for Diagnosing Sinonasal Inverted Papilloma. J. Clin. Med. 2024, 13, 2721. https://doi.org/10.3390/jcm13092721
Hirakawa H, Ikegami T, Toyama M, Ooshiro Y, Higa T, Kinjyo H, Kondo S, Kise N, Yamashita Y, Suzuki M. Prospective Analysis of Squamous Cell Carcinoma Antigen-1 and -2 for Diagnosing Sinonasal Inverted Papilloma. Journal of Clinical Medicine. 2024; 13(9):2721. https://doi.org/10.3390/jcm13092721
Chicago/Turabian StyleHirakawa, Hitoshi, Taro Ikegami, Masatomo Toyama, Yurika Ooshiro, Tomoyo Higa, Hidetoshi Kinjyo, Shunsuke Kondo, Norimoto Kise, Yukashi Yamashita, and Mikio Suzuki. 2024. "Prospective Analysis of Squamous Cell Carcinoma Antigen-1 and -2 for Diagnosing Sinonasal Inverted Papilloma" Journal of Clinical Medicine 13, no. 9: 2721. https://doi.org/10.3390/jcm13092721
APA StyleHirakawa, H., Ikegami, T., Toyama, M., Ooshiro, Y., Higa, T., Kinjyo, H., Kondo, S., Kise, N., Yamashita, Y., & Suzuki, M. (2024). Prospective Analysis of Squamous Cell Carcinoma Antigen-1 and -2 for Diagnosing Sinonasal Inverted Papilloma. Journal of Clinical Medicine, 13(9), 2721. https://doi.org/10.3390/jcm13092721

