FLAG/FLAG-Ida Regimen in Secondary and Relapsed/Refractory Acute Myeloid Leukemia—Even in the Era of New Treatment Modalities Still a Significant Player
Abstract
1. Introduction
2. Materials and Methods
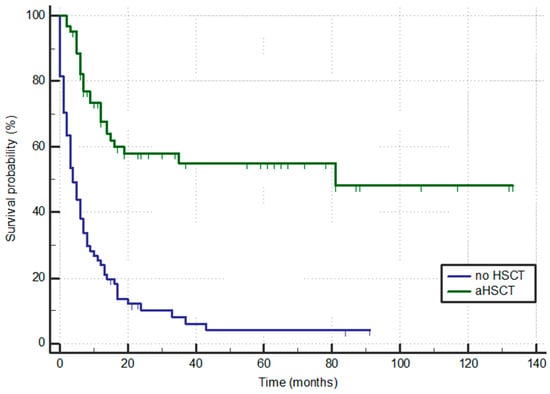
3. Results
4. Discussion
5. Conclusions
Author Contributions
Funding
Institutional Review Board Statement
Informed Consent Statement
Data Availability Statement
Conflicts of Interest
References
- Piccini, M.; Mannelli, F.; Coltro, G. The Role of Venetoclax in Relapsed/Refractory Acute Myeloid Leukemia: Past, Present, and Future Directions. Bioengineering 2023, 10, 591. [Google Scholar] [CrossRef]
- Bhansali, R.S.; Pratz, K.W.; Lai, C. Recent advances in targeted therapies in acute myeloid leukemia. J. Hematol. Oncol. 2023, 16, 29. [Google Scholar] [CrossRef]
- de Leeuw, D.C.; Ossenkoppele, G.J.; Janssen, J.J.W.M. Older Patients with Acute Myeloid Leukemia Deserve Individualized Treatment. Curr. Oncol. Rep. 2022, 24, 1387–1400. [Google Scholar] [CrossRef]
- Thol, F.; Heuser, M. Treatment for Relapsed/Refractory Acute Myeloid Leukemia. Hemasphere 2021, 5, e572. [Google Scholar] [CrossRef]
- Capelli, D.; Menotti, D.; Fiorentini, A.; Saraceni, F.; Olivieri, A. Secondary Acute Myeloid Leukemia: Pathogenesis and Treatment. In Leukemia; Li, W., Ed.; Exon Publications: Brisbane, Australia, 2022; Chapter 7. [Google Scholar] [CrossRef]
- Lancet, J.E.; Uy, G.L.; Cortes, J.E.; Newell, L.F.; Lin, T.L.; Ritchie, E.K.; Stuart, R.K.; Strickland, S.A.; Hogge, D.; Solomon, S.R.; et al. CPX-351 (cytarabine and daunorubicin) Liposome for Injection Versus Conventional Cytarabine Plus Daunorubicin in Older Patients with Newly Diagnosed Secondary Acute Myeloid Leukemia. J. Clin. Oncol. 2018, 36, 2684–2692. [Google Scholar] [CrossRef]
- Benitez, L.L.; Perissinotti, A.J.; Rausch, C.R.; Klaus, J.; Clark, S.M.; Filtz, M.; Ratermann, K.; Treptow, C.; Griffin, S.; Olson, M.; et al. Multicenter comparison of high-dose cytarabine-based regimens versus liposomal daunorubicin and cytarabine (CPX-351) in patients with secondary acute myeloid leukemia. Leuk. Lymphoma 2021, 62, 2184–2192. [Google Scholar] [CrossRef] [PubMed]
- Kuykendall, A.; Duployez, N.; Boissel, N.; Lancet, J.E.; Welch, J.S. Acute Myeloid Leukemia: The Good, the Bad, and the Ugly. Am. Soc. Clin. Oncol. Educ. Book 2018, 23, 555–573. [Google Scholar] [CrossRef] [PubMed]
- Basquiera, A.L.; Prates, M.V.; Sturich, A.G.; Berretta, A.R.; Milone, J.; Garcia, J. Clinical Outcomes in Patients with Relapsed/Refractory Acute Leukemia Treated with FLAG-IDA Regimen. Blood 2006, 108, 4561. [Google Scholar] [CrossRef]
- Montesinos, P.; de la Rubia, J.; Orti, G.; Sanz, J.; Martinez, D.; Mendoza, N.; Scaff, M.; Paciello, M.; Romero, M.; Martin, G.; et al. FLAG-IDA Regimen (Fludarabine, Cytarabine, Idarubicin and G-CSF) in the Treatment of Patients with High-Risk Acute Myeloid Leukemia and Myelodysplastic Syndromes. Blood 2007, 110, 2866. [Google Scholar] [CrossRef]
- Westhus, J.; Noppeney, R.; Dührsen, U.; Hanoun, M. FLAG salvage therapy combined with idarubicin in relapsed/refractory acute myeloid leukemia. Leuk. Lymphoma 2019, 60, 1014–1022. [Google Scholar] [CrossRef] [PubMed]
- Jiffry, M.Z.M.; Kloss, R.; Ahmed-Khan, M.; Carmona-Pires, F.; Okam, N.; Weeraddana, P.; Dharmaratna, D.; Dandwani, M.; Moin, K. A review of treatment options employed in relapsed/refractory AML. Hematology 2023, 28, 2196482. [Google Scholar] [CrossRef] [PubMed]
- Burnett, A.K.; Russell, N.H.; Hills, R.K.; Hunter, A.E.; Kjeldsen, L.; Yin, J.; Gibson, B.E.; Wheatley, K.; Milligan, D. Optimization of chemotherapy for younger patients with acute myeloid leukemia: Results of the medical research council AML15 trial. J. Clin. Oncol. 2013, 31, 3360–3368. [Google Scholar] [CrossRef] [PubMed]
- Guolo, F.; Minetto, P.; Clavio, M.; Miglino, M.; Di Grazia, C.; Ballerini, F.; Pastori, G.; Guardo, D.; Colombo, N.; Kunkl, A.; et al. High feasibility and antileukemic efficacy of fludarabine, cytarabine, and idarubicin (FLAI) induction followed by risk-oriented consolidation: A critical review of a 10-year, single-center experience in younger, non M3 AML patients. Am. J. Hematol. 2016, 91, 755–762. [Google Scholar] [CrossRef] [PubMed]
- Minetto, P.; Candoni, A.; Guolo, F.; Clavio, M.; Zannier, M.E.; Miglino, M.; Dubbini, M.V.; Carminati, E.; Sicuranza, A.; Ciofini, S.; et al. Fludarabine, High-Dose Cytarabine and Idarubicin-Based Induction May Overcome the Negative Prognostic Impact of FLT3-ITD in NPM1 Mutated AML, Irrespectively of FLT3-ITD Allelic Burden. Cancers 2020, 13, 34. [Google Scholar] [CrossRef]
- Döhner, H.; Wei, A.H.; Appelbaum, F.R.; Craddock, C.; DiNardo, C.D.; Dombret, H.; Ebert, B.L.; Fenaux, P.; Godley, L.A.; Hasserjian, R.P.; et al. Diagnosis and management of AML in adults: 2022 recommendations from an international expert panel on behalf of the ELN. Blood 2022, 140, 1345–1377. [Google Scholar] [CrossRef]
- Holowiecki, J.; Grosicki, S.; Giebel, S.; Robak, T.; Kyrcz-Krzemien, S.; Kuliczkowski, K.; Skotnicki, A.B.; Hellmann, A.; Sulek, K.; Dmoszynska, A.; et al. Cladribine, But Not Fludarabine, Added to Daunorubicin and Cytarabine During induction prolongs survival of patients with acute myeloid leukemia: A multicenter, randomized phase III study. J. Clin. Oncol. 2012, 30, 2441–2448. [Google Scholar] [CrossRef]
- Anžej Doma, S.; Škerget, M.; Pajič, T.; Sever, M. Improved survival of AML patients by addition of cladribine to standard induction chemotherapy. Ann. Hematol. 2020, 99, 519–525. [Google Scholar] [CrossRef]
- Shahswar, R.; Beutel, G.; Gabdoulline, R.; Schwarzer, A.; Kloos, A.; Koenecke, C.; Stadler, M.; Gohring, G.; Behrens, Y.L.; Li, Z.; et al. Fludarabine, cytarabine, and idarubicin with or without venetoclax in patients with relapsed/refractory acute myeloid leukemia. Haematologica 2023, 109, 72. [Google Scholar] [CrossRef]
- Lo, M.Y.; Tsai, X.C.; Lin, C.C.; Tien, F.M.; Kuo, Y.Y.; Lee, W.H.; Peng, Y.L.; Liu, M.C.; Tseng, M.H.; Hsu, C.A.; et al. Validation of the prognostic significance of the 2022 European Leukemia Net risk stratification system in intensive chemotherapy treated aged 18 to 65 years patients with de novo acute myeloid leukemia. Am. J. Hematol. 2023, 98, 760–769. [Google Scholar] [CrossRef] [PubMed]
- Virchis, A.; Koh, M.; Rankin, P.; Mehta, A.; Potter, M.; Hoffbrand, A.V.; Prentice, H.G. Fludarabine, cytosine arabinoside, granulocyte-colony stimulating factor with or without idarubicin in the treatment of high risk acute leukaemia or myelodysplastic syndromes. Br. J. Haematol. 2004, 124, 26–32. [Google Scholar] [CrossRef] [PubMed]
- Farooq, M.U.; Mushtaq, F.; Farooq, A.; Khan, D.H.; Mir, M.A. FLAG vs FLAG-IDA: Outcomes in relapsed/refractory acute leukemias. Cancer Chemother. Pharmacol. 2019, 83, 1191–1193. [Google Scholar] [CrossRef] [PubMed]
- Daver, N.; Venugopal, S.; Ravandi, F. FLT3 mutated acute myeloid leukemia: 2021 treatment algorithm. Blood Cancer J. 2021, 11, 104. [Google Scholar] [CrossRef] [PubMed]
- Ahn, J.S.; Kim, H.J. FLT3 mutations in acute myeloid leukemia: A review focusing on clinically applicable drugs. Blood Res. 2022, 57, 32–36. [Google Scholar] [CrossRef] [PubMed]
- Perl, A.E.; Martinelli, G.; Cortes, J.E.; Neubauer, A.; Berman, E.; Paolini, S.; Montesinos, P.; Baer, M.R.; Larson, R.A.; Ustun, C.; et al. Gilteritinib or Chemotherapy for Relapsed or Refractory FLT3-Mutated AML. N. Engl. J. Med. 2019, 31, 1728–1740. [Google Scholar] [CrossRef] [PubMed]
- Perl, A.E.; Larson, R.A.; Podoltsev, N.A.; Strickland, S.; Wang, E.S.; Atallah, E.; Schiller, G.J.; Martinelli, G.; Neubauer, A.; Sierra, J.; et al. Follow-up of patients with R/R FLT3-mutation–positive AML treated with gilteritinib in the phase 3 ADMIRAL trial. Blood 2022, 139, 3366–3375. [Google Scholar] [CrossRef] [PubMed]
- Reville, P.K.; Sasaki, K.; Kantarjian, H.M.; Daver, N.G.; Yilmaz, M.; Dinardo, C.D.; Short, N.J.; Borthakur, G.; Pemmaraju, N.; Mehta, R.S.; et al. Improved outcomes among newly diagnosed patients with FMS-like tyrosine kinase 3 internal tandem duplication mutated acute myeloid leukemia treated with contemporary therapy: Revisiting the European LeukemiaNet adverse risk classification. Am. J. Hematol. 2022, 97, 329–337. [Google Scholar] [CrossRef] [PubMed]
- Molica, M.; Perrone, S.; Rossi, M. Gilteritinib: The Story of a Proceeding Success into Hard-to-Treat FLT3-Mutated AML Patients. J. Clin. Med. 2023, 12, 3647. [Google Scholar] [CrossRef]
- Brancati, S.; Gozzo, L.; Romano, G.L.; Vetro, C.; Dulcamare, I.; Maugeri, C.; Parisi, M.; Longo, L.; Vitale, D.C.; Di Raimondo, F.; et al. Venetoclax in Relapsed/Refractory Acute Myeloid Leukemia: Are Supporting Evidences Enough? Cancers 2021, 14, 22. [Google Scholar] [CrossRef]
- Stahl, M.; Menghrajani, K.; Derkach, A.; Chan, A.; Xiao, W.; Glass, J.; King, A.C.; Daniyan, A.F.; Famulare, C.; Cuello, B.M.; et al. Clinical and molecular predictors of response and survival following venetoclax therapy in relapsed/refractory AML. Blood Adv. 2021, 5, 1552–1564. [Google Scholar] [CrossRef]
- Aldoss, I.; Yang, D.; Aribi, A.; Ali, H.; Sandhu, K.; Al Malki, M.M.; Mei, M.; Salhotra, A.; Khaled, S.; Nakamura, R.; et al. Efficacy of the combination of venetoclax and hypomethylating agents in relapsed/refractory acute myeloid leukemia. Haematologica 2018, 103, e404–e407. [Google Scholar] [CrossRef] [PubMed]
- Piccini, M.; Pilerci, S.; Merlini, M.; Grieco, P.; Scappini, B.; Bencini, S.; Peruzzi, B.; Caporale, R.; Signori, L.; Pancani, F.; et al. Venetoclax-Based Regimens for Relapsed/Refractory Acute Myeloid Leukemia in a Real-Life Setting: A Retrospective Single-Center Experience. J. Clin. Med. 2021, 10, 1684. [Google Scholar] [CrossRef] [PubMed]
- Unglaub, J.M.; Schlenk, R.F.; Hanoun, M.; Reinhardt, H.C.; Middeke, J.M.; Schäfer-Eckart, K.; Steffen, B.; Krause, S.W.; Schliemann, C.; Kaufmann, M.; et al. Venetoclax-Azacitidine As Salvage Therapy and Bridge to Allogeneic Cell Transplantation in Relapsed/Refractory AML Compared to Historical Data of the SAL Registry Study. Blood 2021, 138 (Suppl. S1), 4418. [Google Scholar] [CrossRef]
- Lachowiez, C.A.; Atluri, H.; DiNardo, C.D. Advancing the standard: Venetoclax combined with intensive induction and consolidation therapy for acute myeloid leukemia. Ther. Adv. Hematol. 2022, 13, 20406207221093964. [Google Scholar] [CrossRef]
- DiNardo, C.D.; Lachowiez, C.A.; Takahashi, K.; Loghavi, S.; Xiao, L.; Kadia, T.; Daver, N.; Adeoti, M.; Short, N.J.; Sasaki, K.; et al. Venetoclax Combined With FLAG-IDA Induction and Consolidation in Newly Diagnosed and Relapsed or Refractory Acute Myeloid Leukemia. J. Clin. Oncol. 2021, 39, 2768–2778. [Google Scholar] [CrossRef]
- Desikan, S.P.; Konopleva, M.; Takahashi, K.; Lachowiez, C.A.; Loghavi, S.; Xiao, L.-C.; Kadia, T.M.; Daver, N.; Short, N.; Sasaki, K.; et al. Updated Phase IIb Results of Venetoclax with FLAG-IDA in Relapsed or Refractory Acute Myeloid Leukemia. Blood 2022, 140, 534–536. [Google Scholar] [CrossRef]
- Othman, J.; Wilhelm-Benartzi, C.; Dillon, R.; Knapper, S.; Freeman, S.D.; Batten, L.M.; Canham, J.; Hinson, E.L.; Wych, J.; Betteridge, S.; et al. A randomized comparison of CPX-351 and FLAG-Ida in adverse karyotype AML and high-risk MDS: The UK NCRI AML19 trial. Blood Adv. 2023, 7, 4539–4549. [Google Scholar] [CrossRef] [PubMed]
- Russell, N.; Hills, R.; Kjeldsen, L.; Dennis, M.; Burnett, A. Treatment intensification with FLAG-Ida may improve disease control in younger patients with secondary acute myeloid leukaemia: Long-term follow up of the MRC AML15 trial. Br. J. Haematol. 2022, 196, 1344–1347. [Google Scholar] [CrossRef]
- Mohty, R.; El Hamed, R.; Brissot, E.; Bazarbachi, A.; Mohty, M. New drugs before, during, and after hematopoietic stem cell transplantation for patients with acute myeloid leukemia. Haematologica 2023, 108, 321–341. [Google Scholar] [CrossRef]
- Oran, B.; Giralt, S.; Saliba, R.; Hosing, C.; Popat, U.; Khouri, I.; Couriel, D.; Qazilbash, M.; Anderlini, P.; Kebriaei, P.; et al. Allogeneic hematopoietic stem cell transplantation for the treatment of high-risk acute myelogenous leukemia and myelodysplastic syndrome using reduced-intensity conditioning with fludarabine and melphalan. Biol. Blood Marrow Transplant. 2007, 13, 454–462. [Google Scholar] [CrossRef]
- Gilleece, M.H.; Labopin, M.; Savani, B.N.; Yakoub-Agha, I.; Socié, G.; Gedde-Dahl, T.; Blaise, D.; Byrne, J.L.; Craddock, C.; Cornelissen, J.J.; et al. Allogeneic haemopoietic transplantation for acute myeloid leukaemia in second complete remission: A registry report by the Acute Leukaemia Working Party of the EBMT. Leukemia 2020, 34, 87–99. [Google Scholar] [CrossRef]
- Burchert, A.; Bug, G.; Fritz, L.V.; Finke, J.; Stelljes, M.; Röllig, C.; Wollmer, E.; Wäsch, R.; Bornhäuser, M.; Berg, T.; et al. Sorafenib Maintenance after Allogeneic Hematopoietic Stem Cell Transplantation for Acute Myeloid Leukemia with FLT3-Internal Tandem Duplication Mutation (SORMAIN). J. Clin. Oncol. 2020, 38, 2993–3002. [Google Scholar] [CrossRef] [PubMed]


| Patients | n = 130 |
|---|---|
| Age (years, range) | 60 (19–79) |
| >60 years | 61 (47%) |
| Male | 60 (46%) |
| WBC at the beginning of chemotherapy (109/L) | 2.1 (0.19–210) |
| Relapsed AML | 48 (37%) |
| Resistant AML | 56 (43%) |
| Secondary AML | 26 (20%) |
| Prior treatment | |
| aHSCT | 10 (8%) |
| Daunorubicin–cytarabine-based chemotherapy | 102 (88%) |
| Chemotherapy for hematological malignancy | 23 (18%) |
| Chemotherapy for non-hematological malignancy | 5 (4%) |
| Risk stratification according to ELN | |
| Adverse | 51 (39%) |
| Intermediate | 61 (47%) |
| Favorable | 18 (14%) |
| Main genetic subgroups | |
| FLT3-positive AML | 23 (18%); 21: FLT3-ITD, 4: FLT3-TKD; 2: both |
| NPM1-positive normal karyotype AML | 30 (23%) |
| Complex karyotype | 26 (20%) |
| MDS-related genetic aberrations | 43 (33%) |
| Normal karyotype | 64/130 (49%) |
| CR (n, %) | CRi (n, %) | PR (n, %) | TF (n, %) | Early Death ∞ | |
|---|---|---|---|---|---|
| All patients, n = 130 | 53 (41) | 36 (28) | 2 (1.5) | 34 (26) | 5 (3.8) |
| Relapsed AML, n = 48 | 22 (46) | 15 (31) | 0 | 10 (21) | 1 (2.0) |
| Resistant AML, n = 56 | 25 (45) | 11 (20) | 1 (2.0) | 17 (30) | 2 (3.6) |
| Secondary AML, n = 26 | 6 (23) | 10 (38) | 1 (3.8) | 7 (27) | 2 (7.7) |
| Adverse risk (ELN2022), n = 51 | 17 (33) | 15 (29) | 1 (2.0) | 16 (31) | 2 (3.9) |
| Intermediate risk (ELN2022), n = 61 | 26 (43) | 17 (28) | 1 (1.6) | 14 (23) | 3 (4.9) |
| Favorable risk (ELN2022), n = 18 | 10 (56) | 4 (22) | 0 | 4 (22) | 0 |
| FLT3-positive AML, n = 23 | 10 (43) | 4 (17) | 1 (4.3) | 6 (26) | 2 (8.7) |
| Treated with FLAG-Ida, n = 89 | 38 (43) | 28 (31) | 2 (2.2) | 18 (20) | 3 (3.4) |
| Treated with FLAG, n = 41 | 15 (37) | 8 (20) | 0 | 16 (39) | 2 (4.9) |
| Hazard Ratio | p | 95% CI | |
|---|---|---|---|
| Age | 1.00 | 0.58 | 0.99–1.00 |
| FLAG vs. FLAG-Ida | 0.84 | 0.45 | 0.53–1.33 |
| Adverse risk according to ELN | 1.53 | 0.06 | 0.98–2.37 |
| FLT3 mutation | 1.65 | 0.08 | 0.95–2.85 |
| aHSCT | 0.24 | <0.001 | 0.14–0.43 |
Disclaimer/Publisher’s Note: The statements, opinions and data contained in all publications are solely those of the individual author(s) and contributor(s) and not of MDPI and/or the editor(s). MDPI and/or the editor(s) disclaim responsibility for any injury to people or property resulting from any ideas, methods, instructions or products referred to in the content. |
© 2024 by the authors. Licensee MDPI, Basel, Switzerland. This article is an open access article distributed under the terms and conditions of the Creative Commons Attribution (CC BY) license (https://creativecommons.org/licenses/by/4.0/).
Share and Cite
Anžej Doma, S.; Sever, M.; Jakoš, G.; Podgornik, H. FLAG/FLAG-Ida Regimen in Secondary and Relapsed/Refractory Acute Myeloid Leukemia—Even in the Era of New Treatment Modalities Still a Significant Player. J. Clin. Med. 2024, 13, 1842. https://doi.org/10.3390/jcm13071842
Anžej Doma S, Sever M, Jakoš G, Podgornik H. FLAG/FLAG-Ida Regimen in Secondary and Relapsed/Refractory Acute Myeloid Leukemia—Even in the Era of New Treatment Modalities Still a Significant Player. Journal of Clinical Medicine. 2024; 13(7):1842. https://doi.org/10.3390/jcm13071842
Chicago/Turabian StyleAnžej Doma, Saša, Matjaž Sever, Gorazd Jakoš, and Helena Podgornik. 2024. "FLAG/FLAG-Ida Regimen in Secondary and Relapsed/Refractory Acute Myeloid Leukemia—Even in the Era of New Treatment Modalities Still a Significant Player" Journal of Clinical Medicine 13, no. 7: 1842. https://doi.org/10.3390/jcm13071842
APA StyleAnžej Doma, S., Sever, M., Jakoš, G., & Podgornik, H. (2024). FLAG/FLAG-Ida Regimen in Secondary and Relapsed/Refractory Acute Myeloid Leukemia—Even in the Era of New Treatment Modalities Still a Significant Player. Journal of Clinical Medicine, 13(7), 1842. https://doi.org/10.3390/jcm13071842

