Abstract
Background: Data regarding the characterization and outcomes of diabetics with heart failure with a mildly reduced ejection fraction (HFmrEF) is scarce. This study investigates the prevalence and prognostic impact of type 2 diabetes in patients with HFmrEF. Methods: Consecutive patients with HFmrEF (i.e., left ventricular ejection fraction 41–49% and signs and/or symptoms of HF) were retrospectively included at one institution from 2016 to 2022. Patients with type 2 diabetes (dia-betics) were compared to patients without (i.e., non-diabetics). The primary endpoint was all-cause mortality at 30 months. Statistical analyses included Kaplan–Meier, multivariable Cox regression analyses and propensity score matching. Results: A total of 2169 patients with HFmrEF were included. The overall prevalence of type 2 diabetes was 36%. Diabetics had an increased risk of 30-months all-cause mortality (35.8% vs. 28.6%; HR = 1.273; 95% CI 1.092–1.483; p = 0.002), which was confirmed after multivariable adjustment (HR = 1.234; 95% CI 1.030–1.479; p = 0.022) and propensity score matching (HR = 1.265; 95% CI 1.018–1.572; p = 0.034). Diabetics had a higher risk of HF-related rehospitalization (17.8% vs. 10.7%; HR = 1.714; 95% CI 1.355–2.169; p = 0.001). Finally, the risk of all-cause mortality was increased in diabetics treated with insulin (40.7% vs. 33.1%; log-rank p = 0.029), whereas other anti-diabetic pharmacotherapies had no prognostic impact in HFmrEF. Conclusions: Type 2 diabetes is common and independently associated with adverse long-term prognosis in patients with HFmrEF.
1. Introduction
The risk of heart failure (HF) has been shown to be twice as high in men and five times higher in women suffering from diabetes mellitus compared to non-diabetics [1]. Ongoing demographic changes have led to an increasing prevalence of obesity even in HF, accompanied by an increasing number of patients with HF and type 2 diabetes mellitus (DM II) is consistently increasing [2,3,4]. DM II sustaines the development of coronary artery disease (CAD), as well as insulin resistance, glucose toxicity, vascular and microcirculatory dysfunction, inflammation and the activation of the renin–angiotensin–aldosterone system (RAAS) [5,6,7]. Of note, the prevalence of HF is also increased in the absence of significant CAD. This so-called “diabetic cardiomyopathy” may specifically lead to HF with preserved ejection fraction (HFpEF), whereas left ventricular (LV) dysfunction is typically present in advanced stages of DM II [8,9].
Recently, following the revision of the European guidelines for the management of HF, a third category—patients with HF with mildly reduced ejection fraction (HFmrEF)—was introduced in addition to patients with HF with reduced (HFrEF) and preserved ejection fraction (HFpEF) [10]. This subgroup of HF patients is largely unexplored in clinical studies, leading to limited guideline recommendations for these patients. Recently, a comparable risk of all-cause mortality in patients with DM was demonstrated in a study including 2258 patients with acute HF stratified by left ventricular ejection fraction (LVEF) (i.e., HFrEF, HFmrEF and HFpEF) [11]. Furthermore, the prognosis of patients with and without DM did not differ in patients with acute HF, irrespective of the HF category, while 962 patients suffered from HFmrEF [12]. In contrast, DM was shown to impair the long-term prognosis of patients with acute coronary syndrome (ACS) and HFmrEF [13], whereas no association with all-cause mortality was observed in patients with cardiogenic shock [14].
However, studies investigating the prognostic value of concomitant DM II in patients with HFmrEF are inconclusive and predominantly restricted to specific subgroups (i.e., acute HF, ACS and acute myocardial infarction (AMI)) [15], whereas the prognostic impact of DM II in HFmrEF is still unclear. Accordingly, data investigating predictors of adverse prognosis in patients with HFmrEF stratified by the presence or absence of diabetes and the prognostic role of anti-diabetic therapies is rare. Therefore, the present study sought to investigate (1) the prognostic impact of DM II in patients with HFmrEF, (2) predictors of all-cause mortality and HF-related rehospitalization and (3) anti-diabetic pharmacotherapies in HFmrEF.
2. Materials and Methods
2.1. Study Patients, Design and Data Collection
For the present study, all consecutive patients hospitalized from January 2016 to December 2022 with HFmrEF at one university medical center were included, as recently published [16]. Using the electronic hospital information system, all relevant clinical data related to the index event were documented, such as baseline characteristics, vital signs on admission, prior medical history, prior medical treatment, length of index hospital and intensive care unit (ICU) stay, laboratory values, data derived from all non-invasive or invasive cardiac diagnostics and device therapies (such as echocardiographic data, coronary angiography and data derived from prior or newly implanted cardiac devices). Every revisit at the outpatient clinic or rehospitalization related to HF or adverse cardiac events was documented until the end of the year 2022. Heart rate (HR) was measured using 12-lead electrocardiography (ECG).
The present study is derived from the “Heart Failure with Mildly Reduced Ejection Fraction Registry” (HARMER), representing a retrospective single-center registry including all consecutive patients with HFmrEF hospitalized at the University Medical Center Mannheim (UMM), Germany (clinicaltrials.gov identifier: NCT05603390). The registry was carried out according to the principles of the Declaration of Helsinki and was approved by the Medical Ethics Committee II of the Medical Faculty Mannheim, University of Heidelberg, Germany (ethical approval code: 2022-818).
2.2. Inclusion and Exclusion Criteria
All consecutive patients ≥ 18 years of age hospitalized with HFmrEF at one institution were included. Patients < 18 years of age were excluded. The diagnosis of HFmrEF was determined according to the “2021 ESC Guidelines for the diagnosis and treatment of acute and chronic heart failure” [10]. Accordingly, all patients with LVEF 41–49% and symptoms and/or signs of HF were included. The presence of elevated aminoterminal prohormone levels in brain natriuretic peptide (NT-proBNP) and other evidence of structural heart disease were considered to make the diagnosis more likely but were not mandatory for diagnosis of HFmrEF. Transthoracic echocardiography was performed by cardiologists during routine clinical care; they were blinded to the final study analysis in accordance with current European guidelines [17]. For the present study, all echocardiographic examinations and reports were reassessed post hoc by two independent cardiologists, whereas important echocardiographic measurements were reassessed. The presence of right ventricular dysfunction was defined as a tricuspid annular plane systolic excursion (TAPSE) < 18 mm.
2.3. Risk Stratification
For the present study, risk stratification was performed according to the presence or absence of DM II. Documentation of new-onset or pre-existent DM II was derived from documented medical history within the electronic hospital information system. DM II was defined in the presence of glycated hemoglobin A1c (HbA1c) ≥ 6.5%, fasting plasma glucose levels ≥ 126 mg/dL or 2 h post-load plasma glucose levels ≥ 200 mg/dL in accordance with established guidelines [18]. Patients with DM other than type II were excluded from the present study.
2.4. Study Endpoints
The primary endpoint was long-term all-cause mortality. Long-term was defined as the median time of clinical follow-up in months (i.e., 30 months). Secondary endpoints comprised in-hospital all-cause mortality, all-cause mortality at 12 months, rehospitalization for worsening HF at 30 months and cardiac rehospitalization, acute myocardial infarction (AMI), stroke, coronary revascularization and major adverse cardiac and cerebrovascular events (MACCE) at long-term follow-up, as well as changes in LVEF and NT-pro BNP levels during the follow-up period. All-cause mortality was documented using the electronic hospital information system and by directly contacting state resident registration offices (‘bureau of mortality statistics’). HF-related hospitalization was defined as a rehospitalization due to worsening HF requiring intravenous diuretic therapy. HF-related rehospitalization comprised patients with hospitalization due to worsening HF as the primary cause, as a result of another cause but associated with worsening HF at the time of admission or as a result of another cause but complicated by worsening HF during its cause. Cardiac rehospitalization was defined as rehospitalization due to a primary cardiac condition, including worsening HF, AMI, coronary revascularization and symptomatic atrial or ventricular arrhythmias. MACCE were defined as a composite of all-cause mortality, coronary revascularization, non-fatal AMI and non-fatal stroke. Time-trend sub-analyses evaluated the course of LVEF, NT-proBNP levels and estimated glomerular filtration rate (eGFR) at follow-up every 6 months in patients comparing diabetics and non-diabetics. Here, all available echocardiographic examinations being investigated during routine care either within (re)hospitalization or ambulatorily in the outpatient clinic at our institution were documented at six-month intervals (0–6, 6–12, 12–18, 18–24 and 24–30 months).
2.5. Statistical Methods
Quantitative data is presented as mean ± standard error of mean (SEM), median and interquartile range (IQR) and ranges depending on the distribution of the data. They were compared using the Student’s t-test for normally distributed data or the Mann–Whitney U test for non-parametric data. Deviations from a Gaussian distribution were tested using the Kolmogorov–Smirnov test. Qualitative data is presented as absolute and relative frequencies and were compared using the Chi-square test or the Fisher’s exact test, as appropriate. Kaplan–Meier analyses were performed comparing diabetics and non-diabetics, as well as stratifying by the need for insulin treatment in diabetics (IDDM vs. NIDDM). Kaplan–Meier analyses were performed regarding the risk of all-cause mortality and HF-related rehospitalization. With regard to the risk of rehospitalization, only patients surviving index hospitalizations were included. Univariable hazard ratios (HRs) were given together with 95% confidence intervals. The prognostic impact of DM II was thereafter investigated within multivariable Cox regression models using the “forward selection” option. LVEF, NT-pro BNP levels and eGFR were compared among patients with and without DM II at 6-month intervals following index hospitalization using the Student’s t-test or the Mann–Whitney U test. Related to the all-comers study design, additional propensity score matching was applied to account for the heterogenous distribution of baseline characteristics and comorbidities comparing diabetics and non-diabetics. Propensity score matching analyses were applied for the comparison of diabetics compared to non-diabetics, including the entire study cohort and applying a non-parsimonious multivariable logistic regression model. Propensity scores were created according to the presence of the following independent variables: age, sex, body mass index (BMI), prior CAD, prior AMI, prior congestive HF, prior decompensated HF < 12 months, chronic kidney disease, peripheral artery disease, malignancies, chronic obstructive pulmonary disease (COPD), arterial hypertension, hyperlipidemia, smoking status, AMI on admission, HF etiology, acute decompensated heart failure (ADHF), NYHA functional class, LVEF, TAPSE, the presence or absence of aortic stenosis, regurgitation and mitral or tricuspid regurgitation, eGFR and hemoglobin on admission. Based on the propensity score values counted using logistic regression, for each patient, one patient in the control group with a similar propensity score value was found (accepted difference of propensity score value < 1%). Within the propensity score-matched subgroup, the Kaplan–Meier method was applied, and univariable HRs were given together with 95% confidence intervals. Thereafter, multivariable Cox regression analyses were performed stratified by the presence or absence of DM II to investigate predictors of prognosis in diabetics and non-diabetics. Finally, additional multivariable Cox regression analyses were performed, focusing on anti-diabetic therapies.
The results of all statistical tests were considered significant at p ≤ 0.05. SPSS (Version 28, IBM, Armonk, NY, USA) was used for statistics.
3. Results
3.1. Study Population
From 2016 to 2022, 2228 patients with HFmrEF were hospitalized at our institution. A total of 44 patients with incomplete follow-up and 15 patients with type 1 diabetes were excluded. The final study cohort comprised 2169 patients with HFmrEF with an overall prevalence of DM II of 36% (n = 784). Diabetics were older (median age 77 vs. 74 years; p = 0.001), had higher rates of prior CAD (49.7% vs. 36.0%; p = 0.001), chronic kidney disease (40.2% vs. 25.7%; p = 0.001) and congestive HF (39.7% vs. 30.7%; p = 0.001), with a higher proportion of patients being hospitalized for acute decompensated HF < 12 months (13.5% vs. 9.3%; p = 0.002) (Table 1; left panel). Furthermore, other cardiovascular risk factors included arterial hypertension (90.7% vs. 70.5%; p = 0.001) and hyperlipidemia (38.3% vs. 25.7%; p = 0.001). Furthermore, diabetics had higher rates of acute decompensated HF at index hospitalization (28.8% vs. 18.3%; p = 0.001). In contrast, the rates of atrial fibrillation (43.8% vs. 41.2%; p = 0.253) and cardiopulmonary resuscitation (2.6% vs. 2.4%; p = 0.807) did not significantly differ in both groups.
Table 1.
Baseline characteristics.
Ischemic cardiomyopathy was the most common HF etiology in both groups, with a higher prevalence in diabetics (64.9% vs. 53.5%; p = 0.001) (Table 2; left panel). Diabetics had more advanced stages of NYHA functional class (i.e., NYHA III and IV: 35.5% vs. 23.3%; p = 0.001). With regard to echocardiographic parameters, especially TAPSE (median 20 vs. 20 mm; p = 0.152) and valvular heart diseases did not differ in patients with or without diabetes. In contrast, a higher proportion of diabetics had three-vessel CAD (55.7% vs. 32.5%; p = 0.001), along with a higher rate of coronary artery bypass grafting (CABG) (12.4% vs. 5.4%; p = 0.001) and coronary chronic total occlusion (CTO) (18.3% vs. 9.5%; p = 0.001). Subsequently, a higher proportion of diabetics was sent to CABG following index coronary angiography (9.6% vs. 3.5%; p = 0.001). With regard to laboratory data, diabetics had higher creatinine levels (1.20 mg/dL vs. 1.02 mg/dL; p = 0.001) and lower hemoglobin levels (median 12.0 g/dL vs. 12.6 g/dL; p = 0.001). Finally, a higher proportion of diabetics was treated with angiotensin receptor blockers (ARB) (28.7% vs. 20.6%; p = 0.001) and aldosterone antagonists (16.0% vs. 12.8%; p = 0.046). With regard to diabetes-related treatment, most diabetics were treated with insulin (38.0%), followed by metformin (36.7%) (Table 2; left panel).
Table 2.
Heart failure-related and procedural data.
3.2. Prognostic Value of Type 2 Diabetes in Patients with HFmrEF
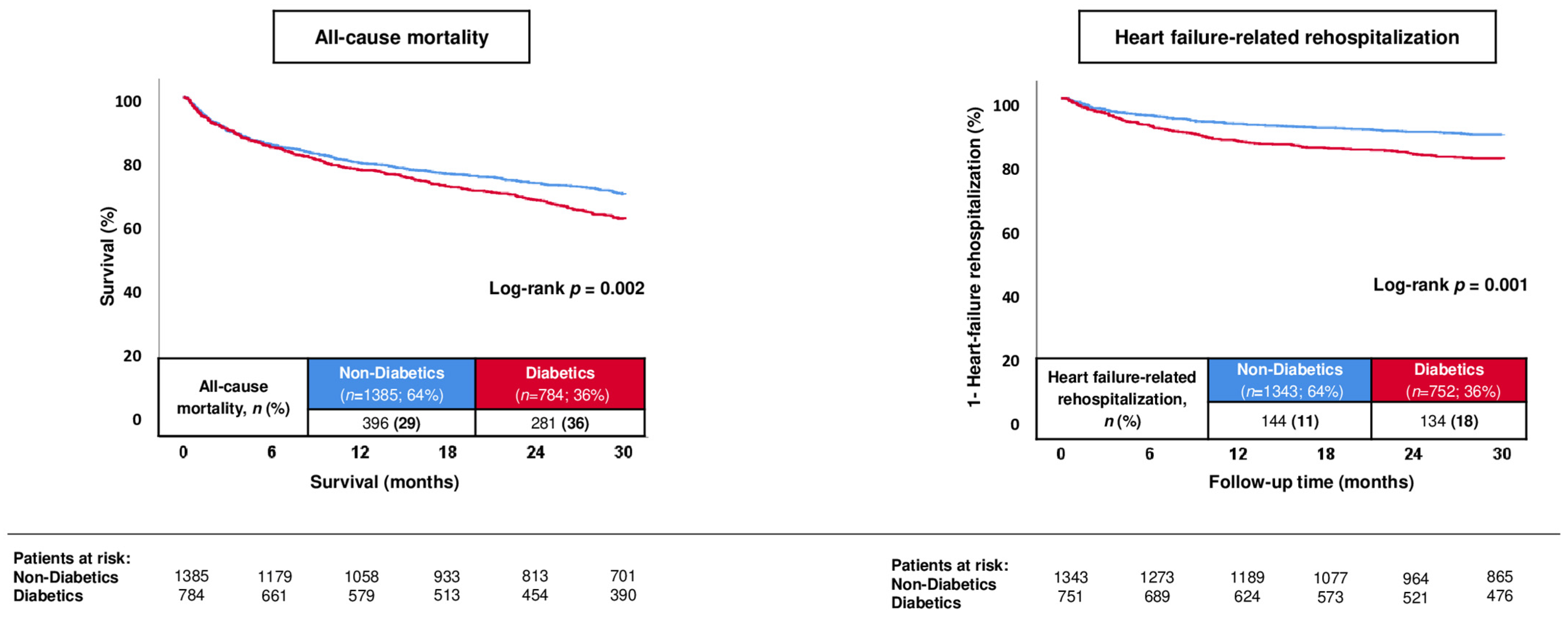
During a median follow-up of 30 months, the primary endpoint of all-cause mortality occurred in 35.8% of diabetics and in 28.6% of non-diabetics (log-rank p = 0.002) (Figure 1; left panel). Diabetics were associated with a higher risk of 30-month all-cause mortality compared to non-diabetics (HR = 1.273; 95% CI 1.092–1.483; p = 0.002). Furthermore, the risk of rehospitalization for worsening HF was higher in diabetics (17.8% vs. 10.7%; log-rank p = 0.001; HR = 1.714; 95% CI 1.355–2.169; p = 0.001) (Figure 1; right panel). In line with this, the risks of cardiac rehospitalization (25.7% vs. 19.8%; HR = 1.344; 95% CI 1.108–1.606; p = 0.002), revascularization (8.4% vs. 5.7%; HR = 1.467; 95% CI 1.058–2.059; p = 0.022), AMI (4.7% vs. 2.2%; HR = 2.169; 95% CI 1.326–3.548; p = 0.002) and MACCE (44.1% vs. 35.2%; HR = 1.298; 95% CI 1.131–1.489; p = 0.001) were higher in diabetics than in non-diabetics (Table 3; endpoints).
Figure 1.
Prognostic impact of type 2 diabetes mellitus in patients with HFmrEF with regard to 30-month all-cause mortality (left panel) and HF-related rehospitalization (right panel) within the entire study cohort.
Table 3.
Follow-up data, primary and secondary endpoints.
3.3. Propensity Score Matching
Even after propensity score matching (n = 551 diabetics and non-diabetics), especially age, sex and vital signs on admission were equally distributed in both groups, along with similar rates of prior congestive HF and decompensated HF < 12 months (Table 1; right panel). In line, the distribution of HF etiologies and NYHA functional class did not differ in both groups (Table 2; right panel). Even after propensity score matching, the risk of all-cause mortality at 30 months was still higher in diabetics than in non-diabetics (33.0% vs. 26.7%; log-rank p = 0.034; HR = 1.265; 95% CI 1.018–1.572; p = 0.034) (Figure 2; left panel). In contrast, the risk of HF-related rehospitalization at 30 months did not differ in diabetics and non-diabetics after propensity score matching (16.8% vs. 14.5%; log-rank p = 0.306; HR = 1.172; 95% CI 0.865–1.589; p = 0.306) (Figure 2; right panel).
Figure 2.
Prognostic impact of type 2 diabetes mellitus in patients with HFmrEF with regard to 30-month all-cause mortality (left panel) and HF-related rehospitalization (right panel) after propensity score matching.
3.4. Changes in LVEF, NT-proBNP Levels and eGFR in Diabetics and Non-Diabetics
During a follow-up period of 30 months, LVEF was lower in diabetics than in non-diabetics at 6 months (median 45% vs. 47%; p = 0.006) and 24 months (median 45% vs. 52%; p = 0.001), whereas LVEF values did not differ in both groups at 12, 18 and 20 months of follow-up (Figure 3; left panel). In contrast, NT-proBNP levels were comparable in diabetics and non-diabetics at all time points during follow-up (Figure 3; middle panel). Finally, eGFR values were lower in diabetics during index hospitalization (median 57.6 mL/min vs. 70.2 mL/min; p = 0.001), as well as at 6 months (median 43.0 mL/min vs. 54.0 mL/min; p = 0.005), 12 months (median 38.5 mL/min vs. 55.5 mL/min; p = 0.001) and 30 months thereafter (median 38.0 mL/min vs. 46.0 mL/min; p = 0.001) (Figure 3; right panel).
Figure 3.
Changes in LVEF (left panel), NT-pro BNP levels (middle panel) and eGFR (right panel) among diabetics and non-diabetics during 30-month follow-up. Data are presented as median and interquartile range (IQR).
3.5. Predictors of Prognosis in Diabetics and Non-Diabetics
In diabetics, the risk of all-cause mortality at 30 months was higher in patients with higher age, higher creatinine levels and in patients with acute decompensated HF, whereas higher hemoglobin levels were associated with improved survival rates (Table 4). In contrast, an increased risk of all-cause mortality in non-diabetics was observed in patients with higher age, males and in patients with acute decompensated HF, whereas creatinine levels were not associated with outcomes. Furthermore, a higher body mass index, the presence of AMI and hyperlipidemia were associated with improved survival in patients without diabetes.
Table 4.
Multivariable Cox regression analyses in diabetics and non-diabetics with regard to all-cause mortality and heart failure-related rehospitalization at 30 months.
3.6. Prognostic Impact of Diabetes-Related Treatment
In patients with type 2 diabetes, 38.0% of patients had IDDM. Patients with IDDM had a higher risk of 30-months all-cause mortality compared to patients with NIDDM (40.7% vs. 33.1%; log-rank p = 0.029) (Figure 4; left panel). In contrast, the risk of HF-related rehospitalization did not differ in patients with IDDM and NIDDM (log-rank p = 0.115). After multivariable adjustment, patients with IDDM were still associated with a higher risk of 30-months all-cause mortality compared to NIDDM patients (HR = 1.332; 95% CI 1.018–1.742; p = 0.047), whereas other anti-diabetic pharmacotherapies had no prognostic impact on the risk of all-cause death in diabetics (Table 5).
Figure 4.
Prognostic impact of insulin-dependent diabetes in type 2 diabetics with HFmrEF with regard to 30-month all-cause mortality (left panel) and HF-related rehospitalization (right panel).
Table 5.
Multivariable Cox regression analyses in diabetics with regard to all-cause mortality and heart failure-related rehospitalization at 30 months.
4. Discussion
The present study differentiates the prevalence and long-term prognostic impact of type 2 diabetes in patients with HFmrEF using a large, retrospective single-center registry from 2016 to 2022. This data suggests that DM II represents one of the most common non-cardiac comorbidities, with an overall prevalence of 36% in patients with HFmrEF. Diabetics had an increased risk of 30-months all-cause mortality and HF-related rehospitalization. The increased risk of all-cause mortality was still evident after multivariable adjustment and propensity score matching. In line with this, the rates of coronary revascularization, AMI and MACCE were higher in diabetics. Finally, patients with IDDM had an increased risk of 30-months all-cause death compared to those with NIDDM, whereas other anti-diabetic pharmacotherapies had no prognostic impact on the prognosis of diabetics with HFmrEF.
DM II represents one of the most common cardiovascular risk factors, affecting about 40% of patients hospitalized for HF [19,20]. Diabetics are associated with an increased risk of all-cause mortality in various clinical conditions, including atrial fibrillation and ventricular tachyarrhythmias [21,22,23]. However, whether DM itself represents an independent predictor of mortality in patients with HF remains controversial. Data from the OPTIMIZE-HF trial suggested that the presence of DM was not independently associated with the risk of in-hospital and mortality at follow-up in more than 48,000 patients with HF and a mean LVEF of 39%. Surprisingly, follow-up mortality was even lower in patients with DM in their study within the subgroup of patients without LV dysfunction, which may be attributed to improved guideline-recommended therapies in patients with concomitant DM [19]. In contrast, data from the EVEREST trial suggested an increased risk of all-cause mortality and hospitalization for HF in diabetics, including 4133 patients with HF and LVEF < 40% [20]. Adverse prognosis diabetics is supported by the Korean Acute Heart Failure registry, including 5625 patients with acute HF; however, this association was only evident for patients with HFrEF, whereas no prognostic value of diabetes was demonstrated in HFmrEF and HFpEF. However, only 877 patients in their study suffered from HFmrEF [24]. To the best knowledge of the authors, the present study is the largest to investigate the prognostic impact of DM in consecutive patients with HFmrEF, suggesting an increased risk of adverse long-term prognosis, including all-cause mortality, hospitalization for worsening HF, coronary revascularization, AMI and MACCE at 30 months. The adverse prognostic impact of DM was still evident after multivariable adjustment and propensity score matching, suggesting an independent association of DM with adverse outcomes in patients with HFmrEF.
Of note, the characteristics of patients with and without DM were shown to differ significantly in HF studies, including a higher rate of ischemic etiology and chronic kidney disease in individuals with concomitant DM [19,20]. Although ischemic cardiomyopathy was shown to be the most common etiology leading to HFmrEF, the distribution of comorbidities differed among patients with HFmrEF, HFrEF and HFpEF [25,26,27]. Thus, DM was especially shown to be the most common comorbidity with a prevalence of 43% in patients with HFmrEF [25,28]. Interestingly, Dries et al. suggested that the prognostic role of concomitant DM may vary among different HF etiologies. Within a post hoc analysis of the SOLVD trial, it was suggested that DM may specifically impair prognosis in patients with ischemic etiology, whereas DM had no prognostic impact in patients with non-ischemic cardiomyopathy [29]. In the present study, almost two-thirds of patients suffered from ischemic cardiomyopathy, with higher rates of three-vessel CAD, CABG and coronary CTO. Alongside, a higher proportion of diabetics was sent to CABG following index coronary angiography, with subsequent higher rates of AMI and coronary revascularization during follow-up.
Furthermore, diabetes-related microangiopathy was shown to contribute to increased mortality rates in diabetics. From this perspective, diabetic neuropathy was shown to increase the risk of stroke even more compared to diabetic nephropathy [30]. A meta-analysis including 25 studies and 2935 patients demonstrated decreased heart rate variability (HVR) in patients with concomitant DM [31]. Even resting HR was demonstrated to be an independent predictor of diabetes-related mortality in 1877 elderly diabetics [32]. However, the present study did not find an association between HR on admission in patients with HFmrEF, irrespective of the presence of concomitant DM. In line with this, Hansen et al. did not find an association between changes in HR and HRV in 4166 people with and without dysglycemia [33]. Furthermore, Mayyas et al. suggested that cardiovascular disease and chronic kidney disease specifically represent the strongest predictors of diabetes-related mortality [34]. In the present study, the presence of impaired renal function was associated with an increased risk of all-cause mortality in patients with concomitant DM. eGFR values were lower in diabetics at 6, 12 and 30 months following index hospitalization, which may be in line with the study by Mayyas et al., who suggested that the presence of chronic kidney disease may predict adverse outcomes. The Studies of Left Ventricular Dysfunction (SOLVD) trial suggested DM was an independent predictor of worsening renal function in 6758 patients with congestive HF, whereas worsening renal function specifically predicted adverse outcomes [35].
Besides the risk of microvascular diseases, DM is associated with important comorbidities, especially arterial hypertension, hyperlipidemia and the presence and extent of CAD [36]. Especially the risk of obstructive sleep apnea syndrome (OSAS) and metabolic syndrome is increased [37]. The presence of OSAS was shown to be associated with adverse outcomes, including the risk of developing chronic kidney disease and tricuspid or aortic regurgitation in patients with HFmrEF [38]. In the present study, the distribution of BMI as well as obesity-related comorbidities were similar after propensity score matching, suggesting an independent association between diabetes and the risk of all-cause mortality in patients hospitalized with HFmrEF.
Data focusing on the prognostic impact of diabetes-related pharmacotherapies in patients with concomitant HFmrEF patients is scarce. In the EVEREST trial, no prognostic difference concerning diabetes-related therapeutic strategies (i.e., diet alone, oral treatment or insulin) with regard to the risk of all-cause mortality or HF-related hospitalization was observed [20]. In contrast, an increased risk of all-cause death was observed among patients with IDDM, including 496 patients with DM with HFrEF following AMI [15]. Impaired outcomes in patients receiving insulin were specifically observed in patients with lower HbA1c within the Korean Acute Heart Failure registry [39]. The present study specifically suggested that patients with IDDM had an increased risk of all-cause death compared to patients with NIDDM, which was confirmed after multivariable adjustment. This may be in line with the adverse prognosis in patients with insufficient glycemic control in patients with orally treated DM [24].
However, in the present study, other diabetes-related pharmacotherapies had no prognostic impact on the risk of all-cause mortality. Besides the treatment with insulin, treatment with sodium glucose transporter 2 (SGLT2) inhibitors has gained more importance related to randomized controlled trials for HF patients with and without concomitant DM II [40,41,42,43]. As a result, treatment with SGLT2 inhibitors in patients with DM II increased to 12% in 2018 in the Swedish HF registry [44] and was upgraded to a class 1A indication for patients with HFmrEF in 2023 [45]. However, in the present study, only 8.9% of diabetics with HFmrEF were treated with SGLT2 inhibitors from 2016 to 2022, which may explain the lack of a mortality benefit in our study. Further studies are warranted to investigate the prognostic impact of anti-diabetic therapies in patients with HFmrEF. Furthermore, a very low proportion of patients was treated with angiotensin receptor-neprilysin inhibitors (ARNI) in the present study, which may further reduce the risk of HF-related rehospitalization [46]. However, this may be related to the limited evidence of ARNI in patients with HFmrEF [10,45,47]. Even though the proportion of patients with optimal medical HF treatment will increase in patients with HFmrEF due to the upgrade of SGLT2 inhibitors in the revised European HF guidelines in 2023 [45], further studies are needed concerning the use of ARNI in patients with HFmrEF.
5. Study Limitations
This study has several limitations. Due to the retrospective and single-center study design, the results may be influenced by measured and unmeasured confounding, although we tried to adjust for potential confounding using multivariable risk prediction models and propensity score matching. HF-related and cardiac rehospitalizations were assessed at our institution only. For the present study, no information on HbA1c values during follow-up or HbA1c variability was available [48]. For the present study, the rates of holter ECG were low. Therefore, no further sub-analyses regarding the prognostic impact of diabetic neuropathy assessed by HR changes and HRV were performed. The prognostic impact of worsening renal function was beyond the scope of this manuscript. Finally, the causes of death beyond index hospitalization at long-term follow-up were not available for the present study.
6. Conclusions
Type 2 diabetes represents a common cardiovascular risk factor in patients with HFmrEF, with an overall prevalence of 36%. The presence of type 2 diabetes was independently associated with an increased risk of 30-month all-cause mortality. Finally, patients with IDDM had an increased risk of all-cause mortality compared to patients with NIDDM, whereas other anti-diabetic pharmacotherapies had no prognostic impact in patients with HFmrEF.
Author Contributions
Conceptualization, T.S., I.A. and M.B.; methodology, T.S., F.L., N.A. (Niklas Ayasse), N.A. (Noah Abel), A.S. and M.A. (Mohammad Abumayyaleh); software, A.S., N.A. (Noah Abel) and T.S.; validation, M.A. (Muharrem Akin), T.B., K.W., T.S. and M.B.; formal analysis, A.S., M.R., J.F. and T.S.; investigation, T.S., A.S., M.R., M.B. and I.A.; resources, T.S. and M.B.; data curation, T.S., M.A. (Mohammad Abumayyaleh), N.A. (Niklas Ayasse), K.W. and T.B.; writing—original draft preparation, T.S.; writing—review and editing, M.A. (Mohammad Abumayyaleh), M.A. (Muharrem Akin), M.A. (Muharrem Akin), A.S., I.A. and M.B.; visualization, J.F. and A.S.; supervision, M.A. (Mohammad Abumayyaleh), K.W., M.A. (Muharrem Akin), N.A. (Niklas Ayasse), T.B., M.B. and I.A.; project administration, T.S., M.B. and I.A. All authors have read and agreed to the published version of the manuscript.
Funding
This research received no external funding.
Institutional Review Board Statement
This study was conducted in accordance with the Declaration of Helsinki and approved by the Medical Ethics Committee II of the Medical Faculty Mannheim (approval code: 2022-818, approval date: 4 April 2022).
Informed Consent Statement
Not applicable.
Data Availability Statement
The datasets used and/or analyzed during the current study are available from the corresponding author upon reasonable request.
Conflicts of Interest
The authors declare no conflicts of interest.
References
- Kannel, W.B.; Hjortland, M.; Castelli, W.P. Role of diabetes in congestive heart failure: The Framingham study. Am. J. Cardiol. 1974, 34, 29–34. [Google Scholar] [CrossRef]
- Bollano, E.; Redfors, B.; Rawshani, A.; Venetsanos, D.; Völz, S.; Angerås, O.; Ljungman, C.; Alfredsson, J.; Jernberg, T.; Råmunddal, T.; et al. Temporal trends in characteristics and outcome of heart failure patients with and without significant coronary artery disease. ESC Heart Fail. 2022, 9, 1812–1822. [Google Scholar] [CrossRef] [PubMed]
- Chioncel, O.; Benson, L.; Crespo-Leiro, M.G.; Anker, S.D.; Coats, A.J.S.; Filippatos, G.; McDonagh, T.; Margineanu, C.; Mebazaa, A.; Metra, M.; et al. Comprehensive Characterization of Non-Cardiac Comorbidities in Acute Heart Failure—An analysis of ESC-HFA EORP Heart Failure Long-Term Registry. Eur. J. Prev. Cardiol. 2023. [Google Scholar] [CrossRef] [PubMed]
- Dunlay, S.M.; Givertz, M.M.; Aguilar, D.; Allen, L.A.; Chan, M.; Desai, A.S.; Deswal, A.; Dickson, V.V.; Kosiborod, M.N.; Lekavich, C.L.; et al. Type 2 Diabetes Mellitus and Heart Failure: A Scientific Statement From the American Heart Association and the Heart Failure Society of America: This statement does not represent an update of the 2017 ACC/AHA/HFSA heart failure guideline update. Circulation 2019, 140, e294–e324. [Google Scholar] [CrossRef]
- Nakamura, K.; Miyoshi, T.; Yoshida, M.; Akagi, S.; Saito, Y.; Ejiri, K.; Matsuo, N.; Ichikawa, K.; Iwasaki, K.; Naito, T.; et al. Pathophysiology and Treatment of Diabetic Cardiomyopathy and Heart Failure in Patients with Diabetes Mellitus. Int. J. Mol. Sci. 2022, 23, 3587. [Google Scholar] [CrossRef] [PubMed]
- Wang, Z.V.; Hill, J.A. Diabetic cardiomyopathy: Catabolism driving metabolism. Circulation 2015, 131, 771–773. [Google Scholar] [CrossRef]
- Tochiya, M.; Makino, H.; Tamanaha, T.; Omura-Ohata, Y.; Matsubara, M.; Koezuka, R.; Noguchi, M.; Tomita, T.; Asaumi, Y.; Miyamoto, Y.; et al. Diabetic microvascular complications predicts non-heart failure with reduced ejection fraction in type 2 diabetes. ESC Heart Fail. 2023, 10, 1158–1169. [Google Scholar] [CrossRef]
- Jia, G.; Hill, M.A.; Sowers, J.R. Diabetic Cardiomyopathy: An Update of Mechanisms Contributing to This Clinical Entity. Circ. Res. 2018, 122, 624–638. [Google Scholar] [CrossRef] [PubMed]
- Bando, Y.K.; Murohara, T. Diabetes-related heart failure. Circ. J. 2014, 78, 576–583. [Google Scholar] [CrossRef]
- McDonagh, T.A.; Metra, M.; Adamo, M.; Gardner, R.S.; Baumbach, A.; Böhm, M.; Burri, H.; Butler, J.; Čelutkienė, J.; Chioncel, O.; et al. 2021 ESC Guidelines for the diagnosis and treatment of acute and chronic heart failure: Developed by the Task Force for the diagnosis and treatment of acute and chronic heart failure of the European Society of Cardiology (ESC) With the special contribution of the Heart Failure Association (HFA) of the ESC. Eur. Heart J. 2021, 42, 3599–3726. [Google Scholar]
- Al-Jarallah, M.; Rajan, R.; Al-Zakwani, I.; Dashti, R.; Bulbanat, B.; Ridha, M.; Sulaiman, K.; Alsheikh-Ali, A.A.; Panduranga, P.; AlHabib, K.F.; et al. Mortality and Morbidity in HFrEF, HFmrEF, and HFpEF Patients with Diabetes in the Middle East. Oman Med. J. 2020, 35, e99. [Google Scholar] [CrossRef] [PubMed]
- Al-Jarallah, M.; Rajan, R.; Al-Zakwani, I.; Dashti, R.; Bulbanat, B.; Ridha, M.; Sulaiman, K.; Alsheikh-Ali, A.A.; Panduranga, P.; AlHabib, K.F.; et al. Impact of diabetes on mortality and rehospitalization in acute heart failure patients stratified by ejection fraction. ESC Heart Fail. 2020, 7, 297–305. [Google Scholar] [CrossRef] [PubMed]
- Li, L.; Li, G.; Chen, H.; Feng, Z.; Zhang, L.; Chen, L.; Fan, L. Role of Diabetes Mellitus in Acute Coronary Syndrome Patients with Heart Failure and Midrange Ejection Fraction Who Have Undergone Percutaneous Coronary Intervention: A 3-Year Case-Series Follow-Up Retrospective Study. Diabetes Metab. Syndr. Obes. 2021, 14, 4931–4944. [Google Scholar] [CrossRef] [PubMed]
- Forner, J.; Schupp, T.; Weidner, K.; Ruka, M.; Egner-Walter, S.; Behnes, M.; Akin, M.; Ayoub, M.; Mashayekhi, K.; Akin, I.; et al. Effect of Cardiovascular Risk Factors on 30-Day All-Cause Mortality in Cardiogenic Shock. J. Clin. Med. 2023, 12, 4870. [Google Scholar] [CrossRef] [PubMed]
- Murcia, A.M.; Hennekens, C.H.; Lamas, G.A.; Jiménez-Navarro, M.; Rouleau, J.L.; Flaker, G.C.; Goldman, S.; Skali, H.; Braunwald, E.; Pfeffer, M.A.; et al. Impact of diabetes on mortality in patients with myocardial infarction and left ventricular dysfunction. Arch. Intern. Med. 2004, 164, 2273–2279. [Google Scholar] [CrossRef] [PubMed]
- Schmitt, A.; Schupp, T.; Reinhardt, M.; Abel, N.; Lau, F.; Forner, J.; Ayoub, M.; Mashayekhi, K.; Weiß, C.; Akin, I.; et al. Prognostic impact of acute decompensated heart failure in patients with heart failure and mildly reduced ejection fraction. Eur. Heart J. Acute Cardiovasc. Care 2023, zuad139, Online ahead of print. [Google Scholar] [CrossRef]
- Popescu, B.A.; Andrade, M.J.; Badano, L.P.; Fox, K.F.; Flachskampf, F.A.; Lancellotti, P.; Varga, A.; Sicari, R.; Evangelista, A.; Nihoyannopoulos, P.; et al. European Association of Echocardiography recommendations for training, competence, and quality improvement in echocardiography. Eur. J. Echocardiogr. 2009, 10, 893–905. [Google Scholar] [CrossRef]
- Cosentino, F.; Grant, P.J.; Aboyans, V.; Bailey, C.J.; Ceriello, A.; Delgado, V.; Federici, M.; Filippatos, G.; Grobbee, D.E.; Hansen, T.B.; et al. 2019 ESC Guidelines on diabetes, pre-diabetes, and cardiovascular diseases developed in collaboration with the EASD. Eur. Heart J. 2020, 41, 255–323. [Google Scholar] [CrossRef]
- Greenberg, B.H.; Abraham, W.T.; Albert, N.M.; Chiswell, K.; Clare, R.; Stough, W.G.; Gheorghiade, M.; O’Connor, C.M.; Sun, J.L.; Yancy, C.W.; et al. Influence of diabetes on characteristics and outcomes in patients hospitalized with heart failure: A report from the Organized Program to Initiate Lifesaving Treatment in Hospitalized Patients with Heart Failure (OPTIMIZE-HF). Am. Heart J. 2007, 154, 277.e1–e8. [Google Scholar] [CrossRef]
- Sarma, S.; Mentz, R.J.; Kwasny, M.J.; Fought, A.J.; Huffman, M.; Subacius, H.; Nodari, S.; Konstam, M.; Swedberg, K.; Maggioni, A.P.; et al. Association between diabetes mellitus and post-discharge outcomes in patients hospitalized with heart failure: Findings from the EVEREST trial. Eur. J. Heart Fail. 2013, 15, 194–202. [Google Scholar] [CrossRef]
- Weidner, K.; Behnes, M.; Schupp, T.; Rusnak, J.; Reiser, L.; Bollow, A.; Taton, G.; Reichelt, T.; Ellguth, D.; Engelke, N.; et al. Type 2 diabetes is independently associated with all-cause mortality secondary to ventricular tachyarrhythmias. Cardiovasc. Diabetol. 2018, 17, 125. [Google Scholar] [CrossRef]
- Papazoglou, A.S.; Kartas, A.; Samaras, A.; Vouloagkas, I.; Vrana, E.; Moysidis, D.V.; Akrivos, E.; Kotzampasis, G.; Baroutidou, A.; Papanastasiou, A.; et al. Prognostic significance of diabetes mellitus in patients with atrial fibrillation. Cardiovasc. Diabetol. 2021, 20, 40. [Google Scholar] [CrossRef] [PubMed]
- Polovina, M.; Lund, L.H.; Đikić, D.; Petrović-Đorđević, I.; Krljanac, G.; Milinković, I.; Veljić, I.; Piepoli, M.F.; Rosano, G.M.C.; Ristić, A.D.; et al. Type 2 diabetes increases the long-term risk of heart failure and mortality in patients with atrial fibrillation. Eur. J. Heart Fail. 2020, 22, 113–125. [Google Scholar] [CrossRef] [PubMed]
- Kong, M.G.; Jang, S.Y.; Jang, J.; Cho, H.J.; Lee, S.; Lee, S.E.; Kim, K.H.; Yoo, B.S.; Kang, S.M.; Baek, S.H.; et al. Impact of diabetes mellitus on mortality in patients with acute heart failure: A prospective cohort study. Cardiovasc. Diabetol. 2020, 19, 49. [Google Scholar] [CrossRef] [PubMed]
- Gracia Gutiérrez, A.; rados Saso, D.; Esteban Cabello, E.I.; Salas Trigo, E.M.; Sánchez Marteles, M.; Garcés Horna, V.; Ioakeim-Skoufa, I.; Gimeno-Miguel, A.; Prados-Torres, A.; Ruiz Laiglesia, F.J. Clinical characteristics of heart failure patients with mid-range ejection fraction. Acta Cardiol. 2023, 78, 233–240. [Google Scholar] [CrossRef]
- Hsu, J.J.; Ziaeian, B.; Fonarow, G.C. Heart Failure With Mid-Range (Borderline) Ejection Fraction: Clinical Implications and Future Directions. JACC Heart Fail. 2017, 5, 763–771. [Google Scholar] [CrossRef]
- Shiga, T.; Suzuki, A.; Haruta, S.; Mori, F.; Ota, Y.; Yagi, M.; Oka, T.; Tanaka, H.; Murasaki, S.; Yamauchi, T.; et al. Clinical characteristics of hospitalized heart failure patients with preserved, mid-range, and reduced ejection fractions in Japan. ESC Heart Fail. 2019, 6, 475–486. [Google Scholar] [CrossRef]
- Bhambhani, V.; Izer, J.R.; Lima, J.A.C.; van der Harst, P.; Bahrami, H.; Nayor, M.; de Filippi, C.R.; Enserro, D.; Blaha, M.J.; Cushman, M.; et al. Predictors and outcomes of heart failure with mid-range ejection fraction. Eur. J. Heart Fail. 2018, 20, 651–659. [Google Scholar] [CrossRef]
- Dries, D.L.; Sweitzer, N.K.; Drazner, M.H.; Stevenson, L.W.; Gersh, B.J. Prognostic impact of diabetes mellitus in patients with heart failure according to the etiology of left ventricular systolic dysfunction. J. Am. Coll. Cardiol. 2001, 38, 421–428. [Google Scholar] [CrossRef]
- Yen, F.S.; Wei, J.C.; Shih, Y.H.; Hsu, C.C.; Hwu, C.M. Impact of individual microvascular disease on the risks of macrovascular complications in type 2 diabetes: A nationwide population-based cohort study. Cardiovasc. Diabetol. 2023, 22, 109. [Google Scholar] [CrossRef]
- Benichou, T.; Pereira, B.; Mermillod, M.; Tauveron, I.; Pfabigan, D.; Maqdasy, S.; Dutheil, F. Heart rate variability in type 2 diabetes mellitus: A systematic review and meta-analysis. PLoS ONE 2018, 13, e0195166. [Google Scholar] [CrossRef]
- Carnethon, M.R.; Yan, L.; Greenland, P.; Garside, D.B.; Dyer, A.R.; Metzger, B.; Daviglus, M.L. Resting heart rate in middle age and diabetes development in older age. Diabetes Care 2008, 31, 335–339. [Google Scholar] [CrossRef]
- Hansen, C.S.; Jørgensen, M.E.; Malik, M.; Witte, D.R.; Brunner, E.J.; Tabák, A.G.; Kivimäki, M.; Vistisen, D. Heart Rate and Heart Rate Variability Changes Are Not Related to Future Cardiovascular Disease and Death in People With and Without Dysglycemia: A Downfall of Risk Markers? The Whitehall II Cohort Study. Diabetes Care 2021, 44, 1012–1019. [Google Scholar] [CrossRef]
- Mayyas, F.A.; Ibrahim, K.S. Predictors of mortality among patients with type 2 diabetes in Jordan. BMC Endocr. Disord. 2021, 21, 200. [Google Scholar] [CrossRef]
- Knight, E.L.; Glynn, R.J.; McIntyre, K.M.; Mogun, H.; Avorn, J. Predictors of decreased renal function in patients with heart failure during angiotensin-converting enzyme inhibitor therapy: Results from the studies of left ventricular dysfunction (SOLVD). Am. Heart J. 1999, 138, 849–855. [Google Scholar] [CrossRef]
- Khan, M.S.; Samman Tahhan, A.; Vaduganathan, M.; Greene, S.J.; Alrohaibani, A.; Anker, S.D.; Vardeny, O.; Fonarow, G.C.; Butler, J. Trends in prevalence of comorbidities in heart failure clinical trials. Eur. J. Heart Fail. 2020, 22, 1032–1042. [Google Scholar] [CrossRef]
- Borel, A.L.; Tamisier, R.; Böhme, P.; Priou, P.; Avignon, A.; Benhamou, P.Y.; Hanaire, H.; Pépin, J.L.; Kessler, L.; Valensi, P.; et al. Obstructive sleep apnoea syndrome in patients living with diabetes: Which patients should be screened? Diabetes Metab. 2019, 45, 91–101. [Google Scholar] [CrossRef]
- Ardelean, C.L.; Pescariu, S.; Lighezan, D.F.; Pleava, R.; Ursoniu, S.; Nadasan, V.; Mihaicuta, S. Particularities of Older Patients with Obstructive Sleep Apnea and Heart Failure with Mid-Range Ejection Fraction. Medicina 2019, 55, 449. [Google Scholar] [CrossRef]
- Jang, S.Y.; Jang, J.; Yang, D.H.; Cho, H.J.; Lim, S.; Jeon, E.S.; Lee, S.E.; Kim, J.J.; Kang, S.M.; Baek, S.H.; et al. Impact of insulin therapy on the mortality of acute heart failure patients with diabetes mellitus. Cardiovasc. Diabetol. 2021, 20, 180. [Google Scholar] [CrossRef]
- Banerjee, M.; Pal, R.; Nair, K.; Mukhopadhyay, S. SGLT2 inhibitors and cardiovascular outcomes in heart failure with mildly reduced and preserved ejection fraction: A systematic review and meta-analysis. Indian. Heart J. 2023, 75, 122–127. [Google Scholar] [CrossRef]
- Solomon, S.D.; McMurray, J.J.V.; Claggett, B.; de Boer, R.A.; DeMets, D.; Hernandez, A.F.; Inzucchi, S.E.; Kosiborod, M.N.; Lam, C.S.P.; Martinez, F.; et al. Dapagliflozin in Heart Failure with Mildly Reduced or Preserved Ejection Fraction. N. Engl. J. Med. 2022, 387, 1089–1098. [Google Scholar] [CrossRef]
- McMurray, J.J.V.; Solomon, S.D.; Inzucchi, S.E.; Køber, L.; Kosiborod, M.N.; Martinez, F.A.; Ponikowski, P.; Sabatine, M.S.; Anand, I.S.; Bělohlávek, J.; et al. Dapagliflozin in Patients with Heart Failure and Reduced Ejection Fraction. N. Engl. J. Med. 2019, 381, 1995–2008. [Google Scholar] [CrossRef]
- Kosiborod, M.N.; Bhatt, A.S.; Claggett, B.L.; Vaduganathan, M.; Kulac, I.J.; Lam, C.S.P.; Hernandez, A.F.; Martinez, F.A.; Inzucchi, S.E.; Shah, S.J.; et al. Effect of Dapagliflozin on Health Status in Patients With Preserved or Mildly Reduced Ejection Fraction. J. Am. Coll. Cardiol. 2023, 81, 460–473. [Google Scholar] [CrossRef]
- Becher, P.M.; Schrage, B.; Ferrannini, G.; Benson, L.; Butler, J.; Carrero, J.J.; Cosentino, F.; Dahlström, U.; Mellbin, L.; Rosano, G.M.C.; et al. Use of sodium-glucose co-transporter 2 inhibitors in patients with heart failure and type 2 diabetes mellitus: Data from the Swedish Heart Failure Registry. Eur. J. Heart Fail. 2021, 23, 1012–1022. [Google Scholar] [CrossRef]
- McDonagh, T.A.; Metra, M.; Adamo, M.; Gardner, R.S.; Baumbach, A.; Böhm, M.; Burri, H.; Butler, J.; Čelutkienė, J.; Chioncel, O.; et al. 2023 Focused Update of the 2021 ESC Guidelines for the diagnosis and treatment of acute and chronic heart failure: Developed by the task force for the diagnosis and treatment of acute and chronic heart failure of the European Society of Cardiology (ESC) With the special contribution of the Heart Failure Association (HFA) of the ESC. Eur. Heart J. 2024. Online ahead of print. [Google Scholar] [CrossRef]
- McMurray, J.J.; Packer, M.; Desai, A.S.; Gong, J.; Lefkowitz, M.P.; Rizkala, A.R.; Rouleau, J.L.; Shi, V.C.; Solomon, S.D.; Swedberg, K.; et al. Angiotensin-neprilysin inhibition versus enalapril in heart failure. N. Engl. J. Med. 2014, 371, 993–1004. [Google Scholar] [CrossRef]
- Kuno, T.; Ueyama, H.; Fujisaki, T.; Briasouli, A.; Takagi, H.; Briasoulis, A. Meta-Analysis Evaluating the Effects of Renin-Angiotensin-Aldosterone System Blockade on Outcomes of Heart Failure With Preserved Ejection Fraction. Am. J. Cardiol. 2020, 125, 1187–1193. [Google Scholar] [CrossRef]
- Gu, J.; Pan, J.A.; Fan, Y.Q.; Zhang, H.L.; Zhang, J.F.; Wang, C.Q. Prognostic impact of HbA1c variability on long-term outcomes in patients with heart failure and type 2 diabetes mellitus. Cardiovasc. Diabetol. 2018, 17, 96. [Google Scholar] [CrossRef] [PubMed]
Disclaimer/Publisher’s Note: The statements, opinions and data contained in all publications are solely those of the individual author(s) and contributor(s) and not of MDPI and/or the editor(s). MDPI and/or the editor(s) disclaim responsibility for any injury to people or property resulting from any ideas, methods, instructions or products referred to in the content. |
© 2024 by the authors. Licensee MDPI, Basel, Switzerland. This article is an open access article distributed under the terms and conditions of the Creative Commons Attribution (CC BY) license (https://creativecommons.org/licenses/by/4.0/).



