Concordance between Preoperative #ENZIANi Score and Postoperative #ENZIANs Score Classification—Why Do We Choose #ENZIAN and How Does It Impact the Future Classification Trend?
Abstract
1. Introduction
2. Materials and Methods
2.1. Population
2.2. Ultrasound Examination
2.3. The Pelvic MRI Scan
2.4. Other Imaging Techniques
2.5. Surgery
2.6. Study Design
- Preoperative assessment (#ENZIANi = imaging, TVS + MRI):
- 2.
- Postoperative assessment (#ENZIANs = surgery):
2.7. Statistical Analysis
3. Results
3.1. Population
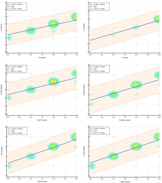
3.2. Concordance
3.3. Diagnostic Test Evaluation
4. Discussion
4.1. The B Compartment
4.2. Rectum (C)
4.3. Location in Abdominal Wall (Fw)
4.4. Ureters’ Assessment (Fu)
4.5. Why Would a Surgeon Use a Score?
- In our opinion, the condensed information provided by the #ENZIANu scale (ultrasound), when compared with the #ENZIANm scale (MRI), is more communicative and easier to compare than juxtaposing one-and-a-half-page imaging reports;
- This simplifies both the comparison of imaging methods and the correlation of preoperative and postoperative results, as well as the assessment of the complexity of surgical procedures for individual patients—whether for medical or research purposes.
5. Limitations
5.1. Specificity of the Ward
5.2. The Learning Curve
6. Conclusions
- 3.
- Preoperative assessment using TVS/TAS + MRI with the #ENZIANi score correlated well with the #ENZIANs postoperative score and demonstrated good concordance in the detection and localization of deep endometriosis, thereby lessening false negative results and enhancing accurate preoperative staging in our tertiary center observation;
- 4.
- The ultrasound examination performed by the surgeon achieves the following:
- Enhances the utility of the scale through the direct application of visual representation of the pelvis and concise, practical, repetitive coding;
- Highlights key aspects for the patient, better preparing them for surgery, discussions with the patient, and obtaining full informed consent;
- Improves diagnostic efficiency as the surgeon performing the examination learns to analyze ultrasound images more effectively, which can be compared with images of endometrial changes during surgery. This correlation contributes to better assessment in subsequent examinations;
- 5.
- The #ENZIAN classification was invented to meet surgeon needs, and one of its most valuable advantages is its continuous development. Suggestions for future improvements, such as adding the expanded C module or including the ureter and kidney condition, may be considered during the upcoming new edition of “the #ENZIAN app” launch.
Author Contributions
Funding
Institutional Review Board Statement
Informed Consent Statement
Data Availability Statement
Conflicts of Interest
References
- Shafrir, A.; Farland, L.; Shah, D.; Harris, H.; Kvaskoff, M.; Zondervan, K.; Missmer, S. Risk for and consequences of endometriosis: A critical epidemiologic review. Best Pract. Res. Clin. Obstet. Gynaecol. 2018, 51, 1–15. [Google Scholar] [CrossRef]
- Swift, B.; Taneri, B.; Becker, C.M.; Basarir, H.; Naci, H.; Missmer, S.A.; Zondervan, K.T.; Rahmioglu, N. Prevalence, diagnostic delay and economic burden of endometriosis and its impact on quality of life: Results from an Eastern Mediterranean population. Eur. J. Public Health 2024, 34, 244–252. [Google Scholar] [CrossRef] [PubMed]
- Thomassin-Naggara, I.; Monroc, M.; Chauveau, B.; Fauconnier, A.; Verpillat, P.; Dabi, Y.; Gavrel, M.; Bolze, P.-A.; Darai, E.; Touboul, C.; et al. Multicenter External Validation of the Deep Pelvic Endometriosis Index Magnetic Resonance Imaging Score. JAMA Netw. Open 2023, 6, e2311686. [Google Scholar] [CrossRef] [PubMed]
- Keckstein, J.; Saridogan, E.; Ulrich, U.A.; Sillem, M.; Oppelt, P.; Schweppe, K.W.; Krentel, H.; Janschek, E.; Exacoustos, C.; Malzoni, M.; et al. The #Enzian classification: A comprehensive non-invasive and surgical description system for endometriosis. Acta Obstet. Gynecol. Scand. 2021, 100, 1165–1175. [Google Scholar] [CrossRef]
- von Elm, E.; Altman, D.G.; Egger, M.; Pocock, S.J.; Gotzsche, P.C.; Vandenbroucke, J.P. Strengthening the Reporting of Observational Studies in Epidemiology (STROBE) statement: Guidelines for reporting observational studies. BMJ 2007, 335, 806–808. [Google Scholar] [CrossRef] [PubMed]
- Guerriero, S.; Condous, G.; van den Bosch, T.; Valentin, L.; Leone, F.P.G.; Van Schoubroeck, D.; Exacoustos, C.; Installé, A.J.F.; Martins, W.P.; Abrao, M.S.; et al. Systematic approach to sonographic evaluation of the pelvis in women with suspected endometriosis, including terms, definitions and measurements: A consensus opinion from the International Deep Endometriosis Analysis (IDEA) group. Ultrasound Obstet. Gynecol. 2016, 48, 318–332. [Google Scholar] [CrossRef] [PubMed]
- Bazot, M.; Bharwani, N.; Huchon, C.; Kinkel, K.; Cunha, T.M.; Guerra, A.; Manganaro, L.; Buñesch, L.; Kido, A.; Togashi, K.; et al. European society of urogenital radiology (ESUR) guidelines: MR imaging of pelvic endometriosis. Eur. Radiol. 2017, 27, 2765–2775. [Google Scholar] [CrossRef] [PubMed]
- Rousset, P.; Rousset-Jablonski, C.; Alifano, M.; Mansuet-Lupo, A.; Buy, J.-N.; Revel, M.-P. Thoracic endometriosis syndrome: CT and MRI features. Clin. Radiol. 2014, 69, 323–330. [Google Scholar] [CrossRef] [PubMed]
- Di Giovanni, A.; Montanari, E.; Hudelist, G.; Malzoni, M.; Keckstein, J. Comparison Between Sonography-Based and Surgical Evaluation of Endometriotic Lesions Using the #Enzian Classification—A Retrospective Data Analysis. Ultraschall Med. 2023, 44, 290–298. [Google Scholar] [CrossRef]
- Frumkin, N.; Schmädecker, R.; Isermann, R.; Keckstein, J.; Ulrich, U.A. Surgical Treatment of Deep Endometriosis. Geburtshilfe Frauenheilkd. 2023, 83, 79–87. [Google Scholar] [CrossRef]
- Gui, B.; Valentini, A.L.; Ninivaggi, V.; Micco, M.; Zecchi, V.; Grimaldi, P.P.; Cambi, F.; Guido, M.; Bonomo, L. Shining light in a dark landscape: MRI evaluation of unusual localization of endometriosis. Diagn. Interv. Radiol. 2017, 23, 272–281. [Google Scholar] [CrossRef] [PubMed]
- Keckstein, J.; Becker, C.M.; Canis, M.; Feki, A.; Grimbizis, G.F.; Hummelshoj, L.; Nisolle, M.; Roman, H.; Saridogan, E.; Tanos, V.; et al. Recommendations for the surgical treatment of endometriosis. Part 2: Deep endometriosis. Hum. Reprod. Open 2020, 2020, hoaa002. [Google Scholar] [CrossRef] [PubMed]
- Altman, D. Practical Statistics for Medical Research; Chapman and Hall/CRC: New York, NY, USA, 1990. [Google Scholar]
- Montanari, E.; Bokor, A.; Szabó, G.; Kondo, W.; Trippia, C.H.; Malzoni, M.; Di Giovanni, A.; Tinneberg, H.R.; Oberstein, A.; Rocha, R.M.; et al. Accuracy of sonography for non-invasive detection of ovarian and deep endometriosis using #Enzian classification: Prospective multicenter diagnostic accuracy study. Ultrasound Obstet. Gynecol. 2022, 59, 385–391. [Google Scholar] [CrossRef] [PubMed]
- Bendifallah, S.; Roman, H.; Rubod, C.; Leguevaque, P.; Watrelot, A.; Bourdel, N.; Ballester, M.; Darai, E. Impact of hospital and surgeon case volume on morbidity in colorectal endometriosis management: A plea to define criteria for expert centers. Surg. Endosc. 2018, 32, 2003–2011. [Google Scholar] [CrossRef] [PubMed]
- Condous, G.; Gerges, B.; I Thomassin-Naggara, I.; Becker, C.; Tomassetti, C.; Krentel, H.; van Herendael, B.J.; Malzoni, M.; Abrao, M.S.; Saridogan, E.E.; et al. Non-invasive imaging techniques for diagnosis of pelvic deep endometriosis and endometriosis classification systems: An International Consensus Statement. Hum. Reprod. Open 2024, 2024, hoae029. [Google Scholar] [CrossRef]
- Keckstein, J.; Hoopmann, M.; Merz, E.; Grab, D.; Weichert, J.; Helmy-Bader, S.; Wölfler, M.; Bajka, M.; Mechsner, S.; Schäfer, S.; et al. Expert opinion on the use of transvaginal sonography for presurgical staging and classification of endometriosis. Arch. Gynecol. Obstet. 2023, 307, 5–19. [Google Scholar] [CrossRef]
- Guerriero, S.; Ajossa, S.; Pagliuca, M.; Borzacchelli, A.; Deiala, F.; Springer, S.; Pilloni, M.; Taccori, V.; Pascual, M.A.; Graupera, B.; et al. Advances in Imaging for Assessing Pelvic Endometriosis. Diagnostics 2022, 12, 2960. [Google Scholar] [CrossRef]
- Burla, L.; Scheiner, D.; Samartzis, E.P.; Seidel, S.; Eberhard, M.; Fink, D.; Boss, A.; Imesch, P. The ENZIAN score as a preoperative MRI-based classification instrument for deep infiltrating endometriosis. Arch. Gynecol. Obstet. 2019, 300, 109–116. [Google Scholar] [CrossRef]
- Di Paola, V.; Manfredi, R.; Castelli, F.; Negrelli, R.; Mehrabi, S.; Mucelli, R.P. Detection and localization of deep endometriosis by means of MRI and correlation with the ENZIAN score. Eur. J. Radiol. 2015, 84, 568–574. [Google Scholar] [CrossRef]
- Enzelsberger, S.; Oppelt, P.; Nirgianakis, K.; Seeber, B.; Drahoňovský, J.; Wanderer, L.; Krämer, B.; Grübling, K.N.; Kundu, S.; Salehin, D.; et al. Preoperative application of the Enzian classification for endometriosis (The cEnzian Study): A prospective international multicenter study. BJOG Int. J. Obstet. Gynaecol. 2022, 129, 2052–2061. [Google Scholar] [CrossRef]
- de Resende, J.A.D.; Cavalini, L.T.; Crispi, C.P.; Fonseca, M.d.F. Risk of urinary retention after nerve-sparing surgery for deep infiltrating endometriosis: A systematic review and meta-analysis. Neurourol. Urodyn. 2017, 36, 57–61. [Google Scholar] [CrossRef] [PubMed]
- Roman, H.; Desnyder, E.; Pontré, J.; Hennetier, C.; Klapczynski, C.; Collard, P.; Cornu, J.-N.; Tuech, J.-J. Combined vaginal-laparoscopic approach vs. laparoscopy alone for prevention of bladder voiding dysfunction after removal of large rectovaginal endometriosis. J. Visc. Surg. 2021, 158, 118–124. [Google Scholar] [CrossRef] [PubMed]
- Keckstein, J.; Hudelist, G. Classification of deep endometriosis (DE) including bowel endometriosis: From r-ASRM to #Enzian-classification. Best Pract. Res. Clin. Obstet. Gynaecol. 2021, 71, 27–37. [Google Scholar] [CrossRef]
- Ghezzi, F.; Cromi, A.; Bergamini, V.; Bolis, P. Management of ureteral endometriosis: Areas of controversy. Curr. Opin. Obstet. Gynecol. 2007, 19, 319–324. [Google Scholar] [CrossRef]
- Hu, Z.; Li, P.; Liu, Q.; Zhu, H.; Sun, Y.; Zhao, X.; Xie, L.; Liu, K. Ureteral endometriosis in patients with deep infiltrating endometriosis: Characteristics and management from a single-center retrospective study. Arch. Gynecol. Obstet. 2019, 300, 967–973. [Google Scholar] [CrossRef] [PubMed]
- Berlanda, N.; Vercellini, P.; Carmignani, L.; Aimi, G.; Amicarelli, F.; Fedele, L. Ureteral and vesical endometriosis. Two different clinical entities sharing the same pathogenesis. Obstet. Gynecol. Surv. 2009, 64, 830–842. [Google Scholar] [CrossRef]
- Barra, F.; Scala, C.; Biscaldi, E.; Vellone, V.G.; Ceccaroni, M.; Terrone, C.; Ferrero, S. Ureteral endometriosis: A systematic review of epidemiology, pathogenesis, diagnosis, treatment, risk of malignant transformation and fertility. Hum. Reprod. Update 2018, 24, 710–730. [Google Scholar] [CrossRef]
- Maccagnano, C.; Pellucchi, F.; Rocchini, L.; Ghezzi, M.; Scattoni, V.; Montorsi, F.; Rigatti, P.; Colombo, R. Ureteral endometriosis: Proposal for a diagnostic and therapeutic algorithm with a review of the literature. Urol. Int. 2013, 91, 1–9. [Google Scholar] [CrossRef]





| k Cohen | |
|---|---|
| P | 0.519; SE 0.041 (95% CI, 0.437–0.600) |
| O left | 0.722; SE 0.038 (95% CI, 0.648–0.797) |
| O right | 0.754; SE 0.036 (95% CI, 0.684–0.823) |
| T left | 0.795; SE 0.031 (95% CI, 0.735–0.856) |
| T right | 0.791; SE 0.031 (95% CI, 0.729–0.853) |
| A | 0.690; SE 0.038 (95% CI, 0.614–0.765) |
| B left | 0.643; SE 0.036 (95% CI, 0.573–0.714) |
| B right | 0.653; SE 0.036 (95% CI, 0.582–0.723) |
| C | 0.766; SE 0.036 (95% CI, 0.695–0.836) |
| F adenom | 0.776; SE 0.041 (95% CI, 0.696–0.856) |
| F bladder | 0.448; SE 0.071 (95% CI, 0.309–0.586) |
| F intest | 0.647; SE 0.048 (95% CI, 0.553–0.741) |
| F ureter | 0.374; SE 0.050 (95% CI, 0.275–0.472) |
| F nerve | 0.031; SE 0.041 (95% CI, −0.049 to 0.111) |
| F diaphragm | 0.663; SE 0.224 (95% CI, 0.224–1.000) |
| F lung | 0.000; SE 0.000 (95% CI, −0.000 to 0.000) |
| F muscle | −0.033; SE 0.010 (95% CI, −0.053 to −0.013) |
| F appendix | −0.022; SE 0.009 (95% CI, −0.039 to −0.005) |
| F bone | −0.011; SE 0.006 (95% CI, −0.023 to 0.001) |
| F abdominal wall | 0.837; SE 0.060 (95% CI, 0.720–0.955) |
| Sensitivity, % (95% CI) | Specificity, % (95% CI) | Accuracy, % (95% CI) | PPV, % (95% CI) | NPV, % (95% CI) | |
|---|---|---|---|---|---|
| P | 98.19 (95.82–99.41) | 83.33 (35.88–99.58) | 97.87 (95.43–99.22) | 99.63 (97.84–99.94) | 50.00 (28.10–71.90) |
| O left | 86.59 (80.40–91.40) | 84.16 (75.55–90.67) | 85.66 (80.85–89.65) | 89.87 (84.94–93.32) | 79.44 (72.19–85.19) |
| O right | 87.32 (80.71–92.31) | 88.72 (82.08–93.55) | 88.00 (83.56–91.59) | 89.21 (83.64–93.04) | 86.76 (80.91–91.02) |
| T left | 96.93 (93.78–98.76) | 82.61 (68.58–92.18) | 94.53 (91.13–96.90) | 96.51 (93.63–98.11) | 84.44 (72.12–91.93) |
| T right | 96.51 (93.23–98.48) | 84.44 (70.54–93.51) | 94.53 (91.13–96.90) | 96.93 (94.11–98.42) | 82.61 (70.39–90.47) |
| A | 96.31 (93.11–98.30) | 83.33 (67.19–93.63) | 94.64 (91.32–96.97) | 97.51 (94.96–98.79) | 76.92 (63.33–86.55) |
| B left | 93.55 (89.73–96.27) | 85.29 (68.94–95.05) | 92.55 (88.84–95.33) | 97.89 (95.38–99.05) | 64.44 (52.51–74.81) |
| B right | 95.31 (91.96–97.55) | 80.77 (60.65–93.45) | 93.97 (90.52–96.45) | 97.99 (95.69–99.08) | 63.64 (49.41–75.82) |
| C | 95.75 (92.53–97.86) | 76.19 (52.83–91.78) | 94.29 (90.89–96.70) | 98.02 (95.85–99.07) | 59.26 (43.76–73.11) |
| F adenomyosis | 92.82 (88.25–96.02) | 85.06 (75.80–91.80) | 90.43 (86.38–93.60) | 93.30 (89.38–95.84) | 84.09 (76.00–89.82) |
| F bladder | 48.08 (34.01–62.37) | 93.04 (88.95–95.97) | 84.75 (80.02–88.74) | 60.98 (47.39–73.05) | 88.80 (85.89–91.17) |
| F intestines | 88.04 (82.46–92.35) | 76.53 (66.89–84.50) | 84.04 (79.24–88.12) | 87.57 (83.07–91.00) | 77.32 (69.41–83.67) |
| F diaphragm | 66.67 (9.43–99.16) | 99.64 (98.02–99.99) | 99.29 (97.46–99.91) | 66.67 (19.46–94.30) | 99.64 (98.25–99.93) |
| F lung | n/a | 99.65 (98.04–99.99) | n/a | n/a | 100.00 (98.70–100.00) |
| F muscle | 0.00 (0.00–18.53) | 97.73 (95.12–99.16) | 91.49 (87.60–94.47) | 0 | 93.48 (93.37–93.59) |
| F appendix | 0.00 (0.00–24.71) | 98.51 (96.24–99.59) | 93.97 (90.52–96.45) | 0 | 95.32 (95.26–95.39) |
| F bone | 0.00 (0.00–40.96) | 99.27 (97.40–99.91) | 96.81 (94.03–98.53) | 0 | 97.50 (97.48–97.52) |
| F abdominal wall | 83.33 (62.62–95.26) | 98.83 (96.63–99.76) | 97.51 (94.93–98.99) | 86.96 (68.09–95.42) | 98.45 (96.29–99.36) |
| R (Right Ureter) | R,L (Both Ureters) | L (Left Ureter) | |
|---|---|---|---|
| Surgery | 19 | 67 | 41 |
| Imaging | 17 | 23 | 25 |
| Imaging% | 89.47% | 34.33% | 60.98% |
Disclaimer/Publisher’s Note: The statements, opinions and data contained in all publications are solely those of the individual author(s) and contributor(s) and not of MDPI and/or the editor(s). MDPI and/or the editor(s) disclaim responsibility for any injury to people or property resulting from any ideas, methods, instructions or products referred to in the content. |
© 2024 by the authors. Licensee MDPI, Basel, Switzerland. This article is an open access article distributed under the terms and conditions of the Creative Commons Attribution (CC BY) license (https://creativecommons.org/licenses/by/4.0/).
Share and Cite
Borowiec, Z.; Mrugała, M.; Nowak, K.; Bek, W.; Milnerowicz-Nabzdyk, E. Concordance between Preoperative #ENZIANi Score and Postoperative #ENZIANs Score Classification—Why Do We Choose #ENZIAN and How Does It Impact the Future Classification Trend? J. Clin. Med. 2024, 13, 6005. https://doi.org/10.3390/jcm13196005
Borowiec Z, Mrugała M, Nowak K, Bek W, Milnerowicz-Nabzdyk E. Concordance between Preoperative #ENZIANi Score and Postoperative #ENZIANs Score Classification—Why Do We Choose #ENZIAN and How Does It Impact the Future Classification Trend? Journal of Clinical Medicine. 2024; 13(19):6005. https://doi.org/10.3390/jcm13196005
Chicago/Turabian StyleBorowiec, Zofia, Maja Mrugała, Krzysztof Nowak, Wiktor Bek, and Ewa Milnerowicz-Nabzdyk. 2024. "Concordance between Preoperative #ENZIANi Score and Postoperative #ENZIANs Score Classification—Why Do We Choose #ENZIAN and How Does It Impact the Future Classification Trend?" Journal of Clinical Medicine 13, no. 19: 6005. https://doi.org/10.3390/jcm13196005
APA StyleBorowiec, Z., Mrugała, M., Nowak, K., Bek, W., & Milnerowicz-Nabzdyk, E. (2024). Concordance between Preoperative #ENZIANi Score and Postoperative #ENZIANs Score Classification—Why Do We Choose #ENZIAN and How Does It Impact the Future Classification Trend? Journal of Clinical Medicine, 13(19), 6005. https://doi.org/10.3390/jcm13196005

