Assessment of Metabolic, Inflammatory, and Immunological Disorders Using a New Panel of Plasma Parameters in People Living with HIV Undergoing Antiretroviral Therapy—A Retrospective Study
Abstract
1. Introduction
2. Material and Methods
2.1. Study Group Characteristics
2.2. Institutional Review Board Statement
2.3. Material for Research
2.4. Test Methods
2.5. Statistical Analysis
3. Results
3.1. Study Population
3.2. Assessment of Immunological Parameters in a Group of MLWH
3.3. A Panel of Parameters in the Plasma of MLWH and the Control Group with Statistical Analysis
3.4. A Panel of Demographic, Immunological, and Biochemical Data of MLWH Based on the Type of cART
3.5. A Panel of Parameters of MLWH Concerning theCD4+/CD8+ Ratio
3.6. A Panel of Parameters Concerning the Age of MLWH
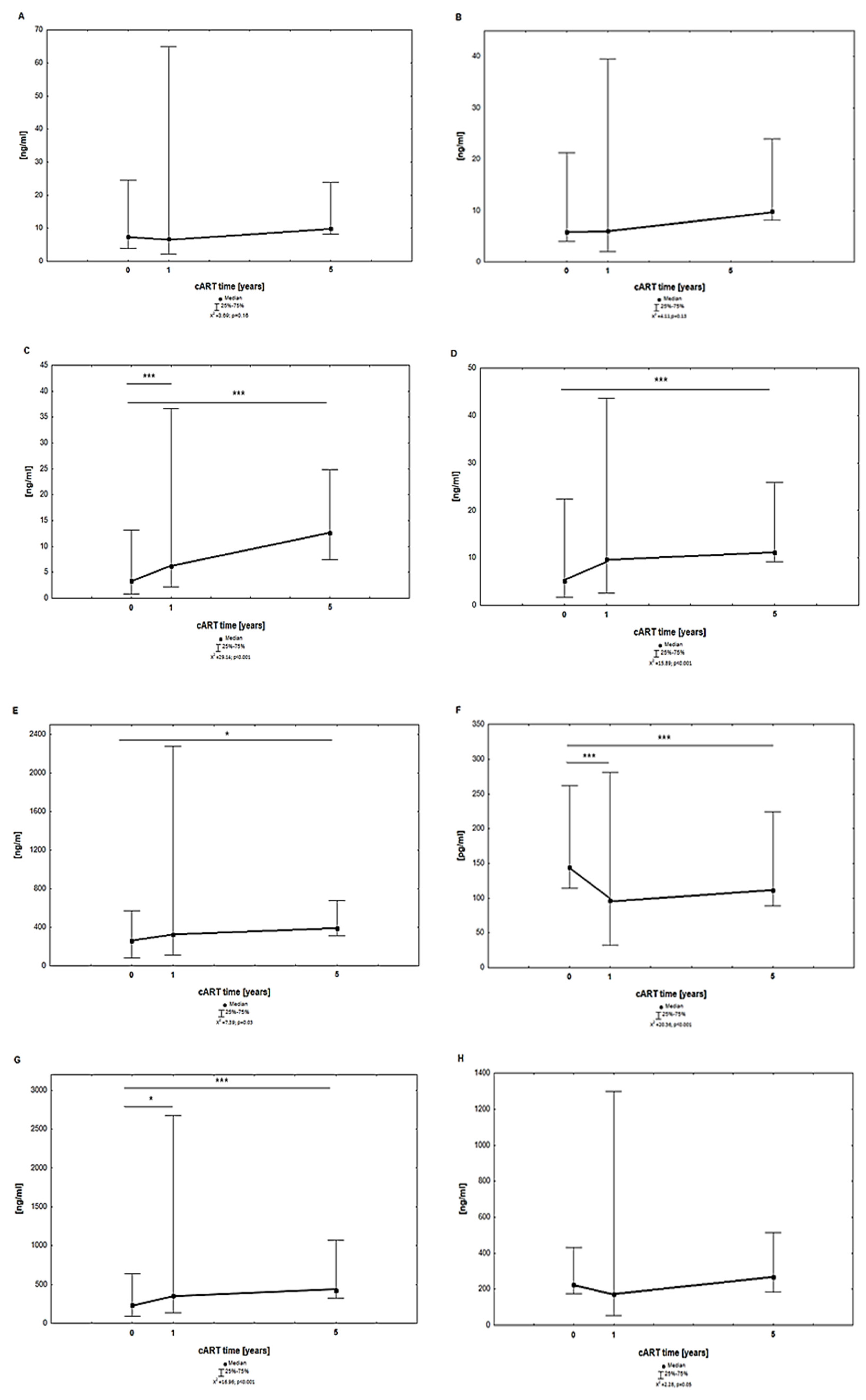
3.7. Comparative Analysis Panel of Parameters in the MLWH Group before, after 1 Year, and after 5 Years of Antiretroviral Therapy
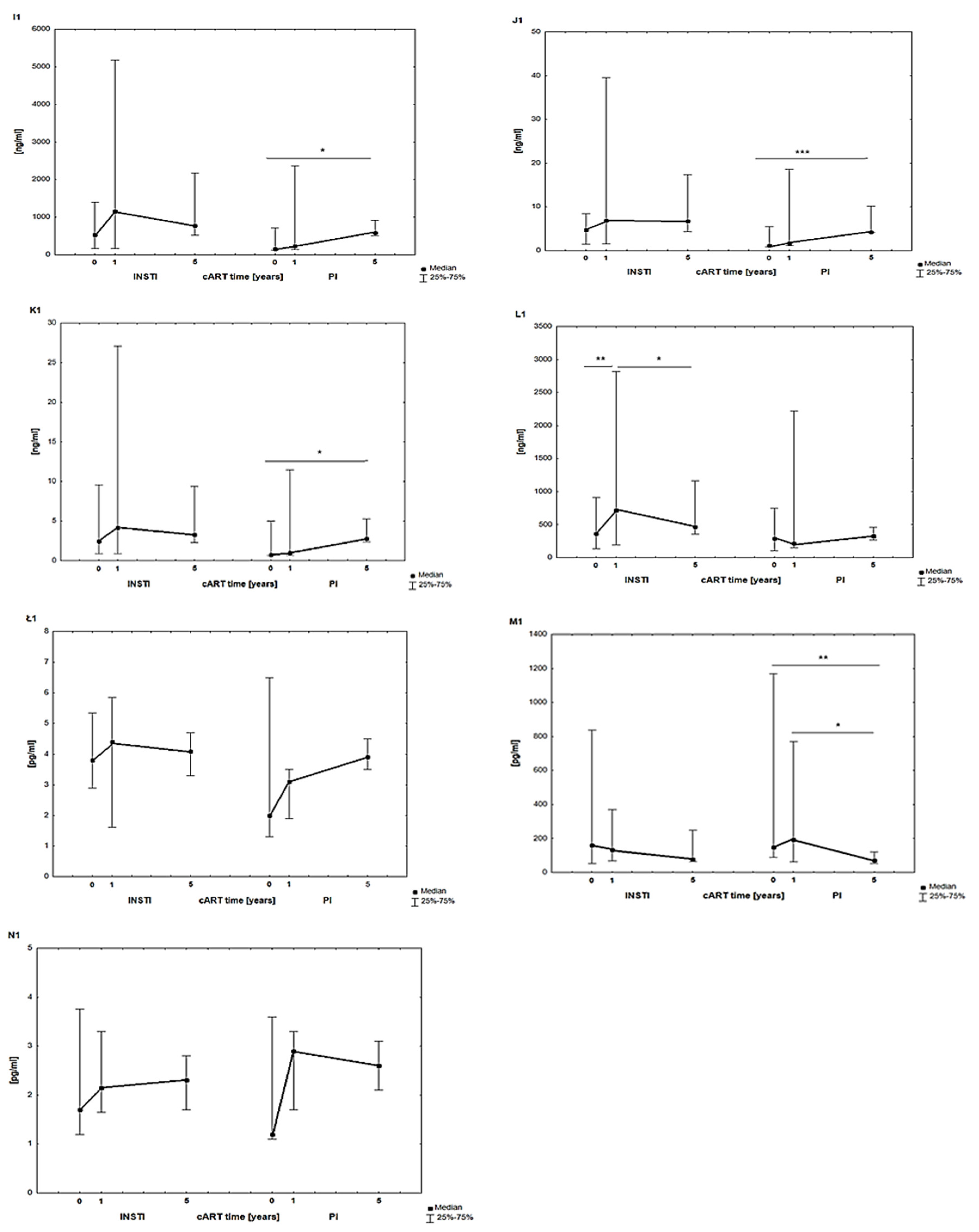
3.8. Results of Parameters in the MLWH Subgroups Treated with Two Therapeutic Regimens (INSTIs and PIs) before, 1 Year after, and 5 Years after cART
4. Discussion
Limitations
5. Conclusions
Author Contributions
Funding
Institutional Review Board Statement
Informed Consent Statement
Data Availability Statement
Conflicts of Interest
References
- Fauci, A.S.; Lane, H.C. Four Decades of HIV/AIDS—Much Accomplished, Much to Do. N. Engl. J. Med. 2020, 383, 1–4. [Google Scholar] [CrossRef] [PubMed]
- Currier, J.S.; Havlir, D.V. CROI 2018: Complications of HIV Infection and Antiretroviral Therapy. Top. Antivir. Med. 2018, 26, 22–29. [Google Scholar] [PubMed]
- Sarkar, S.; Brown, T.T. Lipid Disorders in People with HIV. Endotext South Dartmouth (MA). Available online: http://www.ncbi.nlm.nih.gov/books/NBK567198/ (accessed on 21 January 2023).
- Sarkar, S.; Brown, T.T. Diabetes in People with HIV. Curr. Diab. Rep. 2021, 21, 13. [Google Scholar] [CrossRef] [PubMed]
- Zicari, S.; Sessa, L.; Cotugno, N.; Ruggiero, A.; Morrocchi, E.; Concato, C.; Rocca, S.; Zangari, P.; Manno, E.E.; Palma, P. Immune Activation, Inflammation, and Non-AIDS Co-Morbidities in HIV-Infected Patients under Long-Term ART. Viruses 2019, 11, 200. [Google Scholar] [CrossRef] [PubMed]
- Houtkooper, R.H.; Pirinen, S.E.; Auwerx, J. Sirtuins as regulators of metabolism and health span. Nat. Rev. Mol. Cell Biol. 2012, 13, 225–238. [Google Scholar] [CrossRef] [PubMed]
- Jurkowska, K.; Szymańska, B.; Knysz, B.; Kuźniarski, A.; Piwowar, A. Sirtuins as Interesting Players in the Course of HIV Infection and Comorbidities. Cells 2021, 10, 2739. [Google Scholar] [CrossRef] [PubMed]
- Frydzińska, Z.; Owczarek, A.; Winiarska, K. Sirtuins and their role in metabolism regulation. Postepy Biochem. 2019, 65, 31–40. [Google Scholar] [CrossRef] [PubMed]
- Korta, P.; Pocheć, E.; Mazur-Biały, A. Irisin as a Multifunctional Protein: Implications for Health and Certain Diseases. Medicina 2019, 55, 485. [Google Scholar] [CrossRef]
- Flori, L.; Testai, L.; Calderone, V. The “irisin system”: From biological roles to pharmacological and nutraceutical perspectives. Life Sci. 2021, 267, 118954. [Google Scholar] [CrossRef]
- Carvalho, L.P.; Basso-Vanelli, R.P.; Di Thommazo-Luporini, L.; Mendes, R.G.; Oliveira-Junior, M.C.; Vieira, R. de P.; Bonjorno-Junior, J.C.; Oliveira, C.R.; Luporini, R.; Borghi-Silva, A. Myostatin and adipokines: The role of the metabolically unhealthy obese phenotype in muscle function and aerobic capacity in young adults. Cytokine 2018, 107, 118–124. [Google Scholar] [CrossRef]
- Assyov, Y.S.; Velikova, T.V.; Kamenov, Z.A. Myostatin and carbohydrate disturbances. Endocr. Res. 2016, 42, 102–109. [Google Scholar] [CrossRef] [PubMed]
- Lafferty, R.A.; Flatt, P.R.; Irwin, N. Established and emerging roles peptide YY (PYY) and exploitation in obesity-diabetes. Curr. Opin. Endocrinol. Diabetes. Obes. 2021, 28, 253–261. [Google Scholar] [CrossRef] [PubMed]
- Haj-Yehia, E.; Mertens, R.W.; Kahles, F.; Rückbeil, M.V.; Rau, M.; Moellmann, J.; Biener, M.; Almalla, M.; Schroeder, J.; Giannitsis, E.; et al. Peptide YY (PYY) Is Associated with Cardiovascular Risk in Patients with Acute Myocardial Infarction. J. Clin. Med. 2020, 9, 3952. [Google Scholar] [CrossRef] [PubMed]
- Nauck, M.A.; Meier, J.J. Incretin hormones: Their role in health and disease. Diabetes Obes. Metab. 2018, 20 (Suppl. S1), 5–21. [Google Scholar] [CrossRef] [PubMed]
- Srinivasa, S.; Wong, K.; Fitch, K.V.; Wei, J.; Petrow, E.; Cypess, A.M.; Torriani, M.; Grinspoon, S.K. Effects of lifestyle modification and metformin on irisin and FGF21 among HIV-infected subjects with the metabolic syndrome. Clin. Endocrinol. 2015, 82, 678–685. [Google Scholar] [CrossRef] [PubMed]
- Proost, P.; Struyf, S.; Schols, D.; Durinx, C.; Wuyts, A.; Lenaerts, J.-P.; De Clercq, E.; De Meester, I.; Van Damme, J. Processing by CD26/dipeptidyl-peptidase IV reduces the chemotactic and anti-HIV-1 activity of stromal-cell-derived factor-1α. FEBS Lett. 1998, 432, 73–76. [Google Scholar] [CrossRef] [PubMed]
- Icer, M.A.; Yıldıran, H. Effects of fetuin-A with diverse functions and multiple mechanisms on human health. Clin. Biochem. 2021, 88, 1–10. [Google Scholar] [CrossRef] [PubMed]
- Kunes, P.; Holubcova, Z.; Kolackova, M.; Krejsek, J. Pentraxin 3(PTX 3): An endogenous modulator of the inflammatory response. Mediat. Inflamm. 2012, 2012, 920517. [Google Scholar] [CrossRef]
- Bakogiannis, C.; Sachse, M.; Stamatelopoulos, K.; Stellos, K. Platelet-derived chemokines in inflammation and atherosclerosis. Cytokine 2019, 122, 154157. [Google Scholar] [CrossRef]
- Yeregui, E.; Viladés, C.; Domingo, P.; Ceausu, A.; Pacheco, Y.M.; Veloso, S.; Inciarte, A.; Vidal-González, J.; Peraire, M.; Perpiñán, C.; et al. High circulating SDF-1and MCP-1 levels and genetic variations in CXCL12, CCL2 and CCR5: Prognostic signature of immune recovery status in treated HIV-positive patients. EBio Med. 2020, 62, 103077. [Google Scholar] [CrossRef]
- Suffee, N.; Hlawaty, H.; Meddahi-Pelle, A.; Maillard, L.; Louedec, L.; Haddad, O.; Martin, L.; Laguillier, C.; Richard, B.; Oudar, O.; et al. RANTES/CCL5-induced pro-angiogenic effects depend on CCR1, CCR5 and glycosaminoglycans. Angiogenesis 2012, 15, 727–744. [Google Scholar] [CrossRef]
- Nakayama, E.E.; Hoshino, Y.; Xin, X.; Liu, H.; Goto, M.; Watanabe, N.; Taguchi, H.; Hitani, A.; Kawana-Tachikawa, A.; Fukushima, M.; et al. Polymorphism in the Interleukin-4 Promoter Affects Acquisition of Human Immunodeficiency Virus Type 1 Syncytium-Inducing Phenotype. J. Virol. 2000, 74, 5452–5459. [Google Scholar] [CrossRef] [PubMed]
- Vandergeeten, C.; Fromentin, R.; DaFonseca, S.; Lawani, M.B.; Sereti, I.; Lederman, M.M.; Ramgopal, M.; Routy, J.P.; Sékaly, R.P.; Chomont, N. Interleukin-7 promotes HIV persistence during antiretroviral therapy. Blood 2013, 121, 4321–4329. [Google Scholar] [CrossRef] [PubMed]
- Ahmad, A.; Ahmad, R.; Iannello, A.; Toma, E.; Morisset, R.; Sindhu, S. IL-15 and HIV infection: Lessons for immunotherapy and vaccination. Curr. HIV Res. 2005, 3, 261–270. [Google Scholar] [CrossRef]
- Jurkowska, K.; Szymańska, B.; Knysz, B.; Piwowar, A. Effect of Combined Antiretroviral Therapy on the Levels of Selected Parameters Reflecting Metabolic and Inflammatory Disturbances in HIV-Infected Patients. JCM 2022, 11, 1713. [Google Scholar] [CrossRef] [PubMed]
- Szymańska, B.; Jurkowska, K.; Knysz, B.; Piwowar, A. Differences in Expression of Selected Interleukins in HIV-Infected Subjects Undergoing Antiretroviral Therapy. Viruses 2022, 14, 997. [Google Scholar] [CrossRef]
- Jurkowska, K.; Szymańska, B.; Knysz, B.; Piwowar, A. The Effect of Antiretroviral Therapy on SIRT1, SIRT3 and SIRT6 Expression in HIV-Infected Patients. Molecules 2022, 27, 1358. [Google Scholar] [CrossRef] [PubMed]
- Jaqua, E.; Labib, W.; Danji, K. HIV-Associated Conditions in Older Adults. Cureus 2022, 14, e32661. [Google Scholar] [CrossRef] [PubMed]
- Liu, G.; Chen, H.; Liu, H.; Zhang, W.; Zhou, J. Emerging roles of SIRT6 in human diseases and its modulators. Med. Res. Rev. 2021, 41, 1089–1137. [Google Scholar] [CrossRef]
- Dong, X.C. Sirtuin 6-A Key Regulator of Hepatic Lipid Metabolism and Liver Health. Cells 2023, 12, 663. [Google Scholar] [CrossRef]
- Waseem, R.; Shamsi, A.; Mohammad, T.; Hassan, M.I.; Kazim, S.N.; Chaudhary, A.A.; Rudayni, H.A.; Al-Zharani, M.; Ahmad, F.; Islam, A. FNDC5/Irisin: Physiology and Pathophysiology. Molecules 2022, 27, 1118. [Google Scholar] [CrossRef] [PubMed]
- Moreno-Perez, O.; Reyes-Garcia, R.; Muñoz-Torres, M.; Merino, E.; Boix, V.; Reus, S.; Giner, L.; Alfayate, R.; Garcia-Fontana, B.; Sanchez-Paya, J.; et al. High Irisin levels in nondiabetic HIV-infected males are associated with insulin resistance, nonalcoholic fatty liver disease, and subclinical atherosclerosis. Clin. Endocrinol. 2018, 89, 414–423. [Google Scholar] [CrossRef] [PubMed]
- Jang, D.H.; Choi, B.S.; Kim, S.S. The effects of RANTES/CCR5 promoter polymorphisms on HIV disease progression in HIV-infected Koreans. Int. J. Immunogenet. 2008, 35, 101–105. [Google Scholar] [CrossRef] [PubMed]
- Aukrust, P.; Fredrik Muller, F.; Frøland, S.S. Circulating Levels of RANTES in Human Immunodeficiency Virus Type 1 Infection: Effect of Potent Antiretroviral Therapy. JID 1998, 177, 1091–1096. [Google Scholar] [CrossRef] [PubMed][Green Version]
- Gonzalez-Cadavid, N.F.; Taylor, W.E.; Yarasheski, K.; Sinha-Hikim, I.; Ma, K.; Ezzat, S.; Shen, R.; Lalani, R.; Asa, S.; Mamita, M.; et al. Organization of the human myostatin gene and expression in healthy men and HIV-infected men with muscle wasting. Proc. Natl. Acad. Sci. USA 1998, 95, 14938–14943. [Google Scholar] [CrossRef]
- Amor, M.; Itariu, B.K.; Moreno-Viedma, V.; Keindl, M.; Jürets, A.; Prager, G.; Langer, F.; Grablowitz, V.; Zeyda, M.; Stulnig, T.M. Serum Myostatin is Upregulated in Obesity and Correlates with Insulin Resistance in Humans. Exp. Clin. Endocrinol. Diabetes. 2019, 12, 550–556. [Google Scholar] [CrossRef] [PubMed]
- Porte, R.; Davoudian, S.; Asgari, F.; Parente, R.; Mantovani, A.; Garlanda, C.; Bottazzi, B. The Long Pentraxin PTX3 as a Humoral Innate Immunity Functional Player and Biomarker of Infections and Sepsis. Front. Immunol. 2019, 10, 794. [Google Scholar] [CrossRef] [PubMed]
- Liu, S.; Qu, X.; Liu, F.; Wang, C. Pentraxin 3 as a prognostic biomarker in patients with systemic inflammation or infection. Mediat. Inflamm. 2014, 2014, 421429. [Google Scholar] [CrossRef] [PubMed]
- Ye, W.; Huang, Q.D.; Tang, T.Y.; Qin, G.Y. Diagnostic value of pentraxin 3 in respiratory tract infections: A meta-analysis. Medicine 2020, 99, e19532. [Google Scholar] [CrossRef]
- Benyoucef, S.; Hober, D.; De Groote, D.; Bocket, L.; La Tribonnière, D.; Mouton, Y.; Wattré, P. RANTES production in HIV-1 antigen-stimulated whole blood culture: Relationship with type 1 immune response and plasma viral load in individuals infected with HIV-1. Scand. J. Immunol. 1998, 48, 212–216. [Google Scholar] [CrossRef]
- McBride, J.A.; Striker, R. Imbalance in the game of T cells: What can the CD4/CD8 T-cell ratio tell us about HIV and health? PLoS Pathog. 2017, 13, e1006624. [Google Scholar] [CrossRef] [PubMed]
- Mueller, Y.M.; Katsikis, P.D. IL-15 in HIV infection: Pathogenic or therapeutic potential? Eur. Cytokine Netw. 2010, 21, 219–221. [Google Scholar] [PubMed]
- Kalayjian, R.C.; Landay, A.; Pollard, R.B.; Taub, D.D.; Gross, B.H.; Francis, I.R.; Sevin, A.; Pu, M.; Spritzler, J.; Chernoff, M.; et al. Age-related immune dysfunction in health and in human immunodeficiency virus (HIV) disease: Association of age and HIV infection with naive CD8+ cell depletion, reduced expression of CD28 on CD8+ cells, and reduced thymic volumes. JID 2003, 187, 1924–1933. [Google Scholar] [CrossRef] [PubMed]
- Egger, M.; May, M.; Phillips, A.N.; Ledergerber, B.; Dabis, F.; Costagliola, D.; Monforte, A.D.; de Wolf, F.; Reiss, P.; Lundgren, J.D.; et al. Prognosis of HIV-1-infected patients starting highly active antiretroviral therapy: A collaborative analysis of prospective studies. Lancet 2002, 360, 119–129. [Google Scholar] [CrossRef] [PubMed]
- Manfredi, R.; Chiodo, F. A case-control study of virological and immunological effects of highly active antiretroviral therapy in HIV-infected patients with advanced age. AIDS 2000, 14, 1475–1477. [Google Scholar] [CrossRef]
- Sabin, C.A.; Smith, C.J.; d’Arminio Monforte, A.; Battegay, M.; Gabiano, C.; Galli, L.; Geelen, S.P.M.; Gibb, D.M.; Guiguet, M.; Judd, A.; et al. Response to combination antiretroviral therapy: Variation by age. AIDS 2008, 22, 1463–1473. [Google Scholar] [PubMed]
- Kratz, E.M.; Sołkiewicz, K.; Kaczmarek, A.; Piwowar, A. Sirtuins: Enzymes with multidirectional catalytic activity. Postepy Hig. Med. Dosw. 2021, 75, 152–174. [Google Scholar] [CrossRef]
- Abebe, E.C.; Muche, Z.T.; Mariam, A.B.; Ayele, T.M.; Agidew, M.M.; Azezew, M.A.; Zewde, E.A.; Dejenie, T.A.; Mengstie, M.A. The structure, biosynthesis, and biological roles of fetuin-A: A review. Front. Cell Dev. Biol. 2022, 10, 945287. [Google Scholar] [CrossRef]
- Ahn, M.Y.; Jiamsakul, A.; Khusuwan, S. The influence of age-associated comorbidities on responses to combination antiretroviral therapy in older people living with HIV. J. Int. AIDS Soc. 2019, 22, e25228. [Google Scholar] [CrossRef]
- Andersen, O.; Haugaard, S.; Holst, J.; Deacon, C.; Iversen, J.; Andersen, U.; Nielsen, J.; Madsbad, S. Enhanced glucagon-like peptide-1 (GLP-1) response to oral glucose in glucose-intolerant HIV-infected patients on antiretroviral therapy. HIV Med. 2005, 6, 91–98. [Google Scholar] [CrossRef]
- Birukov, A.; Polemiti, E.; Jäger, S.; Stefan, N.; Schulze, M.B. Fetuin-A and risk of diabetes-related vascular complications: A prospective study. Cardiovasc. Diabetol. 2022, 21, 6. [Google Scholar] [CrossRef] [PubMed]
- Montessori, V.; Press, N.; Harris, M.; Akagi, M.J. Adverse effects of antiretroviral therapy for HIV infection. CMAJ. 2004, 170, 229–238. [Google Scholar] [PubMed]




| Group Characteristic | MLWH (n = 54) | Control Group (n = 51) | p |
|---|---|---|---|
| Me (IQR) | |||
| Age [years] | 37.50 (34.00–46.00) | 39.98 (36.00–45.00) | 0.39 |
| FBG [mg/dL] | 90.50 (85.00–103.00) | 93.20 (88.00–99.00) | 0.78 |
| TG [mg/dL] | 116.50 (86.00–158.00) | 105.00 (98.00–115.00) | 0.21 |
| TC [mg/dL] | 182.50 (167.00–214.50) | 179.00 (165.00–195.00) | 0.34 |
| LDL [mg/dL] | 121.00(106.00–132.50) | 99.00 (97.00–115.00) | 0.002 |
| HDL [mg/dL] | 46.00 (42.00–53.00) | 74.00 (59.00–88.00) | 0.03 |
| Me (IQR) | |
|---|---|
| CD4+ T lymphocytes [cells/µL] | 647.00 (500.00–754.00) |
| CD8+ T lymphocytes [cells/µL] | 661.00 (498.00–823.00) |
| CD4+/CD8+ ratio | 0.93 (0.74–1.32) |
| HIV RNA [copies/mL] | 54.00 (47.00–31,800.00) |
| Parameters | MLWH (n = 54) | Control Group (n = 51) | p |
|---|---|---|---|
| Me (IQR) | |||
| SIRT-1 [ng/mL] | 9.90 (8.20–23.90) | 8.60 (4.90–31.40) | 0.36 |
| SIRT-3 [ng/mL] | 7.85 (6.40–20.70) | 6.40 (4.20–27.10) | 0.14 |
| SIRT-6 [ng/mL] | 12.60 (7.50–24.50) | 5.70 (3.80–32.60) | 0.02 |
| IRS [ng/mL] | 11.10 (9.20–25.90) | 9.30 (3.40–31.50) | 0.02 |
| MSTN [ng/mL] | 387.00 (312.80–678.80) | 393.0 (240.20–1755.20) | 0.95 |
| PYY [pg/mL] | 111.55 (89.30–224.10) | 114.30 (80.30–418.10) | 0.71 |
| GLP-1 [ng/mL] | 418.99 (324.87–1067.91) | 360.40 (195.39–1131.00) | 0.09 |
| DPP-4 [ng/mL] | 268.05 (185.20–514.80) | 262.80 (124.40–780.40) | 0.42 |
| FETU-A [ng/mL] | 660.50 (520.30–1965.10) | 593.20 (328.70–3333.10) | 0.82 |
| PTX3 [ng/mL] | 5.20 (4.10–12.10) | 4.30 (2.50–20.60) | 0.30 |
| SDF-1 [ng/mL] | 2.90 (2.40–7.20) | 2.90 (1.80–12.20) | 0.86 |
| RANTES [ng/mL] | 372.10 (311.10–745.70) | 601.50 (363.40–1665.20) | 0.02 |
| IL-4 [pg/mL] | 3.90 (3.50–4.50) | 3.35 (2.20–4.10) | ≤0.001 |
| IL-7 [pg/mL] | 74.00 (62.00–176.00) | 138.85 (68.00–497.00) | 0.03 |
| IL-15 [pg/mL] | 2.40 (1.19–2.90) | 2.50 (1.80–3.00) | 0.20 |
| Parameters | NRTI + INSTI (n = 31) | NRTI + PI (n = 23) | p |
|---|---|---|---|
| Me (IQR) | |||
| Age [years] | 37.00 (32.00–42.00) | 39.00 (34.00–46.00) | 0.16 |
| CD4+ T lymphocytes [cells/µL] | 694.00 (539.00–842.00) | 618.50 (42.50–727.00) | 0.26 |
| CD8+ T lymphocytes [cells/µL] | 661.00 (446.00–822.00) | 699.00 (514.00–974.00) | 0.52 |
| CD4+/CD8+ ratio | 1.00 (0.83–1.32) | 0.84 (0.58–1.31) | 0.19 |
| HIV RNA [copies/mL] | 63.50 (40.00–76.00) | 52.00 (47–31800) | 0.41 |
| FBG [mg/dL] | 89.50 (83.00–104.00) | 92.00 (86.00–103.00) | 0.85 |
| TG [mg/dL] | 116.00 (68.00–151.00) | 116.50 (94.00–222.00) | 0.36 |
| TC [mg/dL] | 176.50 (167.00–197.00) | 198.50 (167.00–222.00) | 0.28 |
| LDL [mg/dL] | 113.00 (107.00–128.00) | 125.5 (81.00–156.00) | 0.37 |
| HDL [mg/dL] | 46.00 (44.00–55.00) | 47.80 (40.00–52.00) | 0,66 |
| Parameters | NRTI + INSTI (n = 31) | NRTI + PI (n = 23) | p |
|---|---|---|---|
| Me (IQR) | |||
| SIRT-1 [ng/mL] | 10.40 (8.20–25.90) | 9.20 (8.20–12.60) | 0.26 |
| SIRT-3 [ng/mL] | 9.10 (6.40–26.90) | 7.80 (6.40–9.30) | 0.28 |
| SIRT-6 [ng/mL] | 13.20 (5.90–28.80) | 10.50 (7.80–15.80) | 0.62 |
| IRS [ng/mL] | 13.30 (10.10–29.50) | 10.20 (8.80–17.10) | 0.07 |
| MSTN [ng/mL] | 425.00 (350.20–1110.10) | 334.40 (304.40–515.10) | 0.02 |
| PYY [pg/mL] | 145.60 (90.10–319.60) | 96.30 (86.20–180.90) | 0.12 |
| GLP-1 [ng/mL] | 618.08 (324.87–1286.15) | 354.86 (308.21–779.69) | 0.07 |
| DPP-4 [ng/mL] | 351.10 (191.30–645.20) | 221.10 (174.60–416.60) | 0.08 |
| FETU-A [ng/mL] | 778.10 (522.80–2172.10) | 587.10 (508.10–918.20) | 0.12 |
| PTX3 [ng/mL] | 6.80 (4.30–17.30) | 4.20 (4.10–10.20) | 0.04 |
| SDF-1 [ng/mL] | 3.30 (2.30–9.40) | 2.80 (2.40–5.30) | 0.59 |
| RANTES [ng/mL] | 464.10 (358.80–1162.10) | 328.20 (270.40–458.10) | 0.01 |
| IL-4 [pg/mL] | 4.10 (3.30–4.70) | 3.90 (3.50–4.50) | 0.93 |
| IL-7 [pg/mL] | 76.00 (64.00–250.00) | 70.00 (52.00–122.00) | 0.03 |
| IL-15 [pg/mL] | 2.30 (1.70–2.80) | 2.60 (2.10–3.10) | 0.06 |
| Parameters | CD4+/CD8+ ratio < 1 (n = 18) | CD4+/CD8+ ratio ≥ 1 (n = 36) | p |
|---|---|---|---|
| Me (IQR) | |||
| SIRT-1 [ng/mL] | 10.70 (8.30–16.60) | 9.15 (7.90–10.50) | 0.17 |
| SIRT-3 [ng/mL] | 8.40 (7.00–17.20) | 7.85 (6.30–13.50) | 0.43 |
| SIRT-6 [ng/mL] | 13.10 (8.20–26.40) | 9.95 (5.30–17.20) | 0.58 |
| IRS [ng/mL] | 12.10 (10.10–25.40) | 9.85 (8.60–16.80) | 0.09 |
| MSTN [ng/mL] | 390.30 (316.40–519.50) | 343.45 (304.40–587.10) | 0.41 |
| PYY [pg/mL] | 117.90 (89.80–202.40) | 95.25 (84.20- 177.10) | 0.32 |
| GLP-1 [ng/mL] | 411.50 (329.87–1007.93) | 376.52 (308.21–897.97) | 0.46 |
| DPP-4 [ng/mL] | 274.50 (183.70–474.80) | 223.50 (169.10–384.70) | 0.45 |
| FETU-A [ng/mL] | 687.50 (572.80–1666.20) | 540.05 (513.50–1479.10) | 0.31 |
| PTX3 [ng/mL] | 5.10 (4.20–10.80) | 4.40 (3.50–8.90) | 0.29 |
| SDF-1 [ng/mL] | 3.10 (2.50–6.70) | 2.55 (2.20–4.20) | 0.19 |
| RANTES [ng/mL] | 410.20 (340.60–718.10) | 336.45 (286.40–566.40) | 0.17 |
| IL-4 [pg/mL] | 4.10 (3.70–4.70) | 3.70 (3.50–4.10) | 0.21 |
| IL-7 [pg/mL] | 72.00 (58.00–170.00) | 76.00 (64.00–138.00) | 0.60 |
| IL-15 [pg/mL] | 2.50 (2.10–2.90) | 2.20 (1.90–2.60) | 0.19 |
| Parameters | Age < 40 Years 40 (n = 30) | Age ≥ 40 Years (n = 24) | p |
|---|---|---|---|
| Me (IQR) | |||
| SIRT-1 [ng/mL] | 11.85 (9.60–28.50) | 8.25 (7.50–10.45) | ≤0.001 |
| SIRT-3 [ng/mL | 11.25 (7.60–29.30) | 6.85 (6.15–8.40) | 0.002 |
| SIRT-6 [ng/mL] | 15.65 (8.70–43.90) | 8.55 (5.35–11.95) | 0.003 |
| IRS [ng/mL] | 16.50 (10.30–50.10) | 9.95 (8.50–12.90) | 0.003 |
| MSTN [ng/mL] | 464.30 (329.00–1167.10) | 347.20 (264.55–445.30) | 0.02 |
| PYY [pg/mL] | 179.00 (95.90–345.20) | 91.60 (80.90–136.35) | 0.002 |
| GLP-1 [ng/mL] | 818.01 (354.86–1627.68) | 351.53 (293.22–603.09) | 0.01 |
| DPP-4 [ng/mL] | 407.80 (214.20–741.80) | 218.10 (170.60–313.70) | 0.01 |
| FETU-A [ng/mL] | 1349.1(591.30–3563.10) | 561.05 (471.85–713.10) | ≤0.001 |
| PTX3 [ng/mL] | 8.25 (4.30–20.10) | 4.20 (3.50–6.15) | 0.002 |
| SDF-1 [ng/mL] | 4.65 (2.60–16.30) | 2.55 (2.20–3.20) | 0.002 |
| RANTES [ng/mL] | 515.25 (388.80–1531.10) | 347.20 (279.95- 453.60) | 0.003 |
| IL-4 [pg/mL] | 3.9 (3.70–4.70) | 3.90 (3.50–4.40) | 0.93 |
| IL-7 [pg/mL] | 76.00 (62.00–248.00) | 73.00 (63.00–129.00) | 0.52 |
| IL-15 [pg/mL] | 2.15 (1.90–2.50) | 2.65 (2.25–3.35) | 0.02 |
Disclaimer/Publisher’s Note: The statements, opinions and data contained in all publications are solely those of the individual author(s) and contributor(s) and not of MDPI and/or the editor(s). MDPI and/or the editor(s) disclaim responsibility for any injury to people or property resulting from any ideas, methods, instructions or products referred to in the content. |
© 2024 by the authors. Licensee MDPI, Basel, Switzerland. This article is an open access article distributed under the terms and conditions of the Creative Commons Attribution (CC BY) license (https://creativecommons.org/licenses/by/4.0/).
Share and Cite
Szymańska, B.; Knysz, B.; Ciepłucha, H.; Piwowar, A. Assessment of Metabolic, Inflammatory, and Immunological Disorders Using a New Panel of Plasma Parameters in People Living with HIV Undergoing Antiretroviral Therapy—A Retrospective Study. J. Clin. Med. 2024, 13, 4580. https://doi.org/10.3390/jcm13154580
Szymańska B, Knysz B, Ciepłucha H, Piwowar A. Assessment of Metabolic, Inflammatory, and Immunological Disorders Using a New Panel of Plasma Parameters in People Living with HIV Undergoing Antiretroviral Therapy—A Retrospective Study. Journal of Clinical Medicine. 2024; 13(15):4580. https://doi.org/10.3390/jcm13154580
Chicago/Turabian StyleSzymańska, Beata, Brygida Knysz, Hubert Ciepłucha, and Agnieszka Piwowar. 2024. "Assessment of Metabolic, Inflammatory, and Immunological Disorders Using a New Panel of Plasma Parameters in People Living with HIV Undergoing Antiretroviral Therapy—A Retrospective Study" Journal of Clinical Medicine 13, no. 15: 4580. https://doi.org/10.3390/jcm13154580
APA StyleSzymańska, B., Knysz, B., Ciepłucha, H., & Piwowar, A. (2024). Assessment of Metabolic, Inflammatory, and Immunological Disorders Using a New Panel of Plasma Parameters in People Living with HIV Undergoing Antiretroviral Therapy—A Retrospective Study. Journal of Clinical Medicine, 13(15), 4580. https://doi.org/10.3390/jcm13154580
