Exercise-Induced Bronchoconstriction in Children: State of the Art from Diagnosis to Treatment
Abstract
1. Introduction
2. Methods
3. Clinical Presentation of EIB
4. Epidemiology and Risk Factors
5. Pathogenesis
5.1. EIBa
5.2. EIBwa
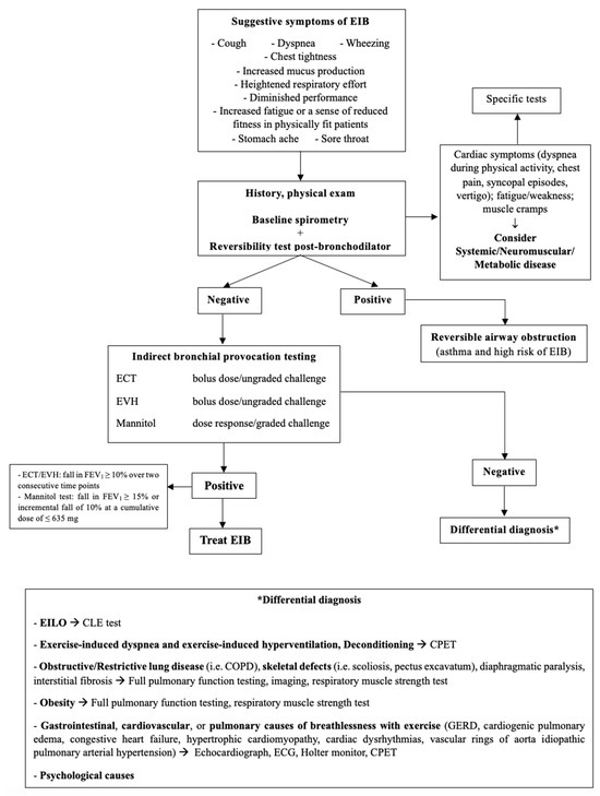
6. Diagnosis
7. Role of Cardio-Pulmonary Exercise Testing (CPET)
8. Differential Diagnosis
8.1. Exercise-Induced Laryngeal Obstruction (EILO)
8.2. Obesity
8.3. Physical Deconditioning
8.4. Rare Metabolic and Neuromuscular Diseases
9. The Point of View of Cardiologists
9.1. Hypertrophic Cardiomyopathy (HC)
9.2. Effort-Induced Ventricular (EIVT) or Supraventricular Tachycardia (SVT)
10. Treatment
10.1. Pharmacological Strategies
10.1.1. Short Acting Beta2 Agonists
10.1.2. Inhaled Corticosteroid (ICS) and Leukotriene Receptor Antagonist (LTRA)
10.1.3. Combination of ICS and Long-Acting Beta2 Agonists (LABA)
10.2. Nonpharmacological Strategies
10.2.1. Behavioral Modifications
10.2.2. Environmental Control
Avoidance of Cold Climates and High-Pollution Areas
Smoking and Diet
10.2.3. Treatment of EIB in Young Athletes
11. Follow-Up
12. Conclusions
Supplementary Materials
Author Contributions
Funding
Conflicts of Interest
References
- Jones, R.S.; Buston, M.H.; Wharton, M.J. The effect of exercise on ventilatory function in the child with asthma. Br. J. Dis. Chest 1962, 56, 78–86. [Google Scholar] [CrossRef] [PubMed]
- Anderson, S.D. Exercise-Induced bronchoconstriction. Immunol. Allergy Clin. N. Am. 2013, 33, xv–xvii. [Google Scholar] [CrossRef]
- McNeill, R.S.; Nairn, J.R.; Millar, J.S.; Ingram, C.G. Exercise-induced asthma. Q. J. Med. 1966, 35, 55–67. [Google Scholar] [CrossRef] [PubMed]
- Weiler, J.M.; Anderson, S.D.; Randolph, C.; Bonini, S.; Craig, T.J.; Pearlman, D.S.; Rundell, K.W.; Silvers, W.S.; Storms, W.W.; Bernstein, D.I.; et al. Pathogenesis, prevalence, diagnosis, and management of exercise-induced bronchoconstriction: A practice parameter. Ann. Allergy Asthma Immunol. 2010, 105, S1–S47. [Google Scholar] [CrossRef] [PubMed]
- Wenzel, S.E. Asthma: Defining of the persistent adult phenotypes. Lancet 2006, 368, 804–813. [Google Scholar] [CrossRef] [PubMed]
- Global Initiative for Asthma—GINA. Global Initiative for Asthma—GINA [Internet]. 9 January 2016. Available online: https://ginasthma.org/ (accessed on 19 March 2024).
- Bonini, S. EIB or not EIB? That is the question. In Medicine and Science in Sports and Exercise; ACSM: Indianapolis, IN, USA, 2008; pp. 1565–1566. [Google Scholar]
- Carlsen, K.H.; Anderson, S.D.; Bjermer, L.; Bonini, S.; Brusasco, V.; Canonica, W.; Cummiskey, J.; Delgado, L.; Del Giacco, S.R.; Drobnic, F.; et al. Exercise-induced asthma respiratory allergic disorders in elite athletes: Epidemiology mechanisms diagnosis: Part I of the report from the Joint Task Force of the European Respiratory Society (ERS) and the European Academy of Allergy and Clinical Immunology (EAACI) in cooperation with GA2LEN. Allergy 2008, 63, 387–403. [Google Scholar] [PubMed]
- Parsons, J.P.; Hallstrand, T.S.; Mastronarde, J.G.; Kaminsky, D.A.; Rundell, K.W.; Hull, J.H.; Storms, W.W.; Weiler, J.M.; Cheek, F.M.; Wilson, K.C.; et al. An official American Thoracic Society clinical practice guideline: Exercise-induced bronchoconstriction. Am. J. Respir. Crit. Care Med. 2013, 187, 1016–1027. [Google Scholar] [CrossRef] [PubMed]
- Weiler, J.M.; Brannan, J.D.; Randolph, C.C.; Hallstrand, T.S.; Parsons, J.; Silvers, W.; Storms, W.; Zeiger, J.; Bernstein, D.I.; Blessing-Moore, J.; et al. Exercise-induced bronchoconstriction update-2016. J. Allergy Clin. Immunol. 2016, 138, 1292–1295.e36. [Google Scholar] [CrossRef] [PubMed]
- Parsons, J.P.; Mastronarde, J.G. Exercise-induced bronchoconstriction in athletes. Chest 2005, 128, 453S. [Google Scholar] [CrossRef]
- Helenius, I.; Rytilä, P.; Sarna, S.; Lumme, A.; Helenius, M.; Remes, V.; Haahtela, T. Effect of continuing or finishing high-level sports on airway inflammation, bronchial hyperresponsiveness, and asthma: A 5-year prospective follow-up study of 42 highly trained swimmers. J. Allergy Clin. Immunol. 2002, 109, 962–968. [Google Scholar] [CrossRef]
- Ofiaeli, O.C.; Ndukwu, C.I.; Ugwu, N.O.; Nnamani, K.O.; Ebenebe, J.C.; Egbuonu, I. Exercise Induced Bronchospasm and associated factors in primary school children: A cross-sectional study. BMC Pediatr. 2023, 23, 153. [Google Scholar] [CrossRef] [PubMed]
- Boulet, L.-P.; O’Byrne, P.M. Asthma and exercise-induced bronchoconstriction in athletes. N. Engl. J. Med. 2015, 372, 641–648. [Google Scholar] [CrossRef] [PubMed]
- Bonini, M.; Palange, P. Exercise-induced bronchoconstriction: New evidence in pathogenesis, diagnosis and treatment. Asthma Res. Pract. 2015, 1, 2. [Google Scholar] [CrossRef] [PubMed]
- Anderson, S.D.; Daviskas, E. The mechanism of exercise-induced asthma is …. J. Allergy Clin. Immunol. 2000, 106, 453–459. [Google Scholar] [CrossRef] [PubMed]
- Klain, A.; Indolfi, C.; Dinardo, G.; Contieri, M.; Decimo, F.; Miraglia Del Giudice, M. Exercise-Induced Bronchoconstriction in Children. Front. Med. 2022, 8, 814976. [Google Scholar] [CrossRef] [PubMed]
- Kawabori, I.; Pierson, W.E.; Conquest, L.L.; Bierman, C.W. Incidence of exercise-induced asthma in children. J. Allergy Clin. Immunol. 1976, 58, 447–455. [Google Scholar] [CrossRef] [PubMed]
- Cropp, G.J. The exercise bronchoprovocation test: Standardization of procedures and evaluation of response. J. Allergy Clin. Immunol. 1979, 64, 627–633. [Google Scholar] [CrossRef] [PubMed]
- Weiler, J.M.; Hallstrand, T.S.; Parsons, J.P.; Randolph, C.; Silvers, W.S.; Storms, W.W.; Bronstone, A. Improving screening and diagnosis of exercise-induced bronchoconstriction: A call to action. J. Allergy Clin. Immunol. Pract. 2014, 2, 275–280.e7. [Google Scholar] [CrossRef]
- Bonini, M.; Silvers, W. Exercise-Induced Bronchoconstriction: Background, Prevalence, and Sport Considerations. Immunol. Allergy Clin. N. Am. 2018, 38, 205–214. [Google Scholar] [CrossRef]
- Storms, W.W. Exercise-induced bronchospasm. Curr. Sports Med. Rep. 2009, 8, 45–46. [Google Scholar] [CrossRef]
- Caggiano, S.; Cutrera, R.; Di Marco, A.; Turchetta, A. Exercise-Induced Bronchospasm and Allergy. Front. Pediatr. 2017, 5, 131. [Google Scholar] [CrossRef] [PubMed]
- Smoliga, J.M.; Weiss, P.; Rundell, K.W. Exercise induced bronchoconstriction in adults: Evidence based diagnosis and management. BMJ 2016, 352, h6951. [Google Scholar] [CrossRef] [PubMed][Green Version]
- Weiler, J.M.; Bonini, S.; Coifman, R.; Craig, T.; Delgado, L.; Capão-Filipe, M.; Passali, D.; Randolph, C.; Storms, W. American Academy of Allergy, Asthma & Immunology Work Group report: Exercise-induced asthma. J. Allergy Clin. Immunol. 2007, 119, 1349–1358. [Google Scholar] [PubMed]
- Caillaud, D.; Horo, K.; Baiz, N.; Banerjee, S.; Charpin, D.; Lavaud, F.; de Blay, F.; Raherison, C.; Annesi-Maesano, I. Exercise-induced bronchospasm related to different phenotypes of rhinitis without asthma in primary schoolchildren: The French Six Cities Study. Clin. Exp. Allergy. 2014, 44, 858–866. [Google Scholar] [CrossRef] [PubMed]
- Jones, C.O.; Qureshi, S.; Rona, R.J.; Chinn, S. Exercise-induced bronchoconstriction by ethnicity and presence of asthma in British nine year olds. Thorax 1996, 51, 1134–1136. [Google Scholar] [CrossRef] [PubMed][Green Version]
- Burr, M.L.; Wat, D.; Evans, C.; Dunstan, F.D.J.; Doull, I.J.M.; British Thoracic Society Research Committee. Asthma prevalence in 1973, 1988 and 2003. Thorax 2006, 61, 296–299. [Google Scholar] [CrossRef] [PubMed]
- Barry, D.M.; Burr, M.L.; Limb, E.S. Prevalence of asthma among 12 year old children in New Zealand and South Wales: A comparative survey. Thorax 1991, 46, 405–409. [Google Scholar] [CrossRef] [PubMed]
- de Aguiar, K.B.; Anzolin, M.; Zhang, L. Global prevalence of exercise-induced bronchoconstriction in childhood: A meta-analysis. Pediatr. Pulmonol. 2018, 53, 412–425. [Google Scholar] [CrossRef] [PubMed]
- Anthracopoulos, M.B.; Fouzas, S.; Papadopoulos, M.; Antonogeorgos, G.; Papadimitriou, A.; Panagiotakos, D.B.; Nicolaidou, P.; Priftis, K.N. Physical activity and exercise-induced bronchoconstriction in Greek schoolchildren. Pediatr. Pulmonol. 2012, 47, 1080–1087. [Google Scholar] [CrossRef]
- Backer, V.; Ulrik, C.S. Bronchial responsiveness to exercise in a random sample of 494 children and adolescents from Copenhagen. Clin. Exp. Allergy 1992, 22, 741–747. [Google Scholar] [CrossRef]
- Powell, C.V.; White, R.D.; Primhak, R.A. Longitudinal study of free running exercise challenge: Reproducibility. Arch. Dis. Child. 1996, 74, 108–114. [Google Scholar] [CrossRef] [PubMed][Green Version]
- Jones, A. Asymptomatic bronchial hyperreactivity and the development of asthma and other respiratory tract illnesses in children. Thorax 1994, 49, 757–761. [Google Scholar] [CrossRef] [PubMed]
- De Baets, F.; Bodart, E.; Dramaix-Wilmet, M.; Van Daele, S.; de Bilderling, G.; Masset, S.; Vermeire, P.; Michel, O. Exercise-induced respiratory symptoms are poor predictors of bronchoconstriction. Pediatr. Pulmonol. 2005, 39, 301–305. [Google Scholar] [CrossRef] [PubMed]
- Raherison, C.; Pénard-Morand, C.; Moreau, D.; Caillaud, D.; Charpin, D.; Kopfersmitt, C.; Lavaud, F.; Taytard, A.; Annesi-maesano, I. In utero and childhood exposure to parental tobacco smoke, and allergies in schoolchildren. Respir. Med. 2007, 101, 107–117. [Google Scholar] [CrossRef] [PubMed]
- Stelmach, I.; Cichalewski, Ł.; Majak, P.; Smejda, K.; Podlecka, D.; Jerzyńska, J.; Lavaud, F.; Taytard, A.; Annesi-maesano, I. School environmental factors are predictive for exercise-induced symptoms in children. Respir. Med. 2016, 112, 25–30. [Google Scholar] [CrossRef] [PubMed]
- Cichalewski, Ł.; Majak, P.; Jerzyńska, J.; Stelmach, W.; Kaczmarek, A.; Malewska, K.; Smejda, K.; Stelmach, I. Prevalence of exercise-induced cough in schoolchildren: A pilot study. Allergy Asthma Proc. 2015, 36, 65–69. [Google Scholar] [CrossRef] [PubMed]
- Vacek, L. Is the level of pollutants a risk factor for exercise-induced asthma prevalence? Allergy Asthma Proc. 1999, 20, 87–93. [Google Scholar] [CrossRef] [PubMed]
- Johansson, H.; Norlander, K.; Berglund, L.; Janson, C.; Malinovschi, A.; Nordvall, L.; Nordang, L.; Emtner, M. Prevalence of exercise-induced bronchoconstriction and exercise-induced laryngeal obstruction in a general adolescent population. Thorax 2015, 70, 57–63. [Google Scholar] [CrossRef] [PubMed]
- Heaman, D.J.; Estes, J. The free-running asthma screening test: An approach to screening for exercise-induced asthma in rural Alabama. J. Sch. Health 1997, 67, 83–88. [Google Scholar] [CrossRef]
- Randolph, C.; Fraser, B.; Matasavage, C. The free running athletic screening test as a screening test for exercise-induced asthma in high school. Allergy Asthma Proc. 1997, 18, 93–98. [Google Scholar] [CrossRef]
- Hemmelgarn, B.; Ernst, P. Airway function among Inuit primary school children in far northern Quebec. Am. J. Respir. Crit. Care Med. 1997, 156, 1870–1875. [Google Scholar] [CrossRef] [PubMed]
- Correia Junior, M.A.d.V.; Costa, E.C.; Sarinho, S.W.; Rizzo, J.Â.; Sarinho, E.S.C. Exercise-induced bronchospasm in a hot and dry region: Study of asthmatic, rhinitistic and asymptomatic adolescents. Expert. Rev. Respir. Med. 2017, 11, 1013–1019. [Google Scholar] [CrossRef] [PubMed]
- Addo-Yobo, E.O.D.; Woodcock, A.; Allotey, A.; Baffoe-Bonnie, B.; Strachan, D.; Custovic, A. Exercise-induced bronchospasm and atopy in Ghana: Two surveys ten years apart. PLoS Med. 2007, 4, e70. [Google Scholar] [CrossRef] [PubMed]
- Benarab-Boucherit, Y.; Mehdioui, H.; Nedjar, F.; Delpierre, S.; Bouchair, N.; Aberkane, A. Prevalence rate of exercise-induced bronchoconstriction in Annaba (Algeria) schoolchildren. J. Asthma 2011, 48, 511–516. [Google Scholar] [CrossRef] [PubMed]
- Calvert, J.; Burney, P. Ascaris, atopy, and exercise-induced bronchoconstriction in rural and urban South African children. J. Allergy Clin. Immunol. 2010, 125, 100–105. [Google Scholar] [CrossRef] [PubMed]
- Mtshali, B.F.; Mokwena, K.E. The prevalence of exercise-induced asthma among school children. S. Afr. Fam. Pract. 2009, 51, 489–491. [Google Scholar] [CrossRef]
- Ng’ang’a, L.W.; Odhiambo, J.A.; Mungai, M.W.; Gicheha, C.M.; Nderitu, P.; Maingi, B.; Macklem, P.T.; Becklake, M.R. Prevalence of exercise induced bronchospasm in Kenyan school children: An urban-rural comparison. Thorax 1998, 53, 919–926. [Google Scholar] [CrossRef] [PubMed]
- Sudhir, P.; Prasad, C.E. Prevalence of exercise-induced bronchospasm in schoolchildren: An urban-rural comparison. J. Trop. Pediatr. 2003, 49, 104–108. [Google Scholar] [CrossRef] [PubMed]
- Hong, S.J.; Lee, M.S.; Sohn, M.H.; Shim, J.Y.; Han, Y.S.; Park, K.S.; Ahn, Y.M.; Son, B.K.; Lee, H.B.; Korean ISAAC Study Group. Self-reported prevalence and risk factors of asthma among Korean adolescents: 5-year follow-up study, 1995–2000. Clin. Exp. Allergy 2004, 34, 1556–1562. [Google Scholar] [CrossRef] [PubMed]
- Shinohara, M.; Ogawa, S.; Nakaya, T.; Niino, R.; Ito, M.; Haro, K.; Ishii, E. Sex Differences in the Prevalence and Severity of Exercise-Induced Bronchoconstriction in Kindergarteners in Japan. J. Gen. Fam. Med. 2019, 20, 221–229. [Google Scholar] [CrossRef]
- Johansson, H.; Norlander, K.; Alving, K.; Hedenström, H.; Janson, C.; Malinovschi, A.; Nordang, L.; Emtner, M. Exercise test using dry air in random adolescents: Temporal profile and predictors of bronchoconstriction. Respirology 2016, 21, 289–296. [Google Scholar] [CrossRef]
- Satia, I.; Priel, E.; Al-Khazraji, B.K.; Jones, G.; Freitag, A.; O’Byrne, P.M.; Killian, K.J. Exercise-induced bronchoconstriction bronchodilation: Investigating the effects of age sex airflow limitation FEV. Eur. Respir. J. 2021, 58, 2004026. [Google Scholar] [CrossRef]
- Aggarwal, B.; Mulgirigama, A.; Berend, N. Exercise-induced bronchoconstriction: Prevalence, pathophysiology, patient impact, diagnosis and management. NPJ Prim. Care Respir. Med. 2018, 28, 31. [Google Scholar] [CrossRef]
- Goossens, J.; Jonckheere, A.C.; Seys, S.F.; Dilissen, E.; Decaesteker, T.; Goossens, C.; Peers, K.; Vanbelle, V.; Stappers, J.; Aertgeerts, S.; et al. Activation of Epithelial and Inflammatory Pathways in Adolescent Elite Athletes Exposed to Intense Exercise and Air Pollution. Thorax 2023, 78, 219651. [Google Scholar] [CrossRef]
- Sanchez, K.M.; Layton, A.M.; Garofano, R.; Yaniv, P.; Perzanowski, M.S.; Chillrud, S.N.; Miller, R.L.; Kattan, M.; Lovinsky-Desir, S. Nitrogen Dioxide Pollutant Exposure and Exercise-Induced Bronchoconstriction in Urban Childhood Asthma: A Pilot Study. Ann. Am. Thorac. Soc. 2022, 19, 139–142. [Google Scholar] [CrossRef]
- Rodriguez Bauza, D.E.; Silveyra, P. Sex Differences in Exercise-Induced Bronchoconstriction in Athletes: A Systematic Review and Meta-Analysis. Int. J. Environ. Res. Public Health 2020, 17, 7270. [Google Scholar] [CrossRef]
- Godfrey, S. Exercise-induced asthma. Arch. Dis. Child. 1983, 58, 1–2. [Google Scholar] [CrossRef][Green Version]
- Hull, J.H.K.; Ansley, L.; Garrod, R.; Dickinson, J.W. Exercise-induced bronchoconstriction in athletes-should we screen? Med. Sci. Sports Exerc. 2007, 39, 2117–2124. [Google Scholar] [CrossRef]
- Molphy, J.; Dickinson, J.; Hu, J.; Chester, N.; Whyte, G. Prevalence of bronchoconstriction induced by eucapnic voluntary hyperpnoea in recreationally active individuals. J. Asthma 2014, 51, 44–50. [Google Scholar] [CrossRef]
- Del Giacco, S.R.; Firinu, D.; Bjermer, L.; Carlsen, K.-H. Exercise and asthma: An overview. Eur. Respir. J. 2015, 2, 27984. [Google Scholar] [CrossRef]
- Marefati, H.; Vizvari, E.; Esmaeilizadeh, M.; Boskabady, M.H. The effect of climatic conditions on exercise-induced bronchoconstriction in 10-12 year old students. J. Bodyw. Mov. Ther. 2016, 20, 549–553. [Google Scholar] [CrossRef] [PubMed]
- Helenius, I.; Haahtela, T. Allergy and asthma in elite summer sport athletes. J. Allergy Clin. Immunol. 2000, 106, 444–452. [Google Scholar] [CrossRef] [PubMed]
- McCreanor, J.; Cullinan, P.; Nieuwenhuijsen, M.J.; Stewart-Evans, J.; Malliarou, E.; Jarup, L.; Jarup, L.; Harrington, R.; Svartengren, M.; Han, I.K.; et al. Respiratory effects of exposure to diesel traffic in persons with asthma. N. Engl. J. Med. 2007, 357, 2348–2358. [Google Scholar] [CrossRef] [PubMed]
- Rundell, K.W.; Im, J.; Mayers, L.B.; Wilber, R.L.; Szmedra, L.; Schmitz, H.R. Self-reported symptoms and exercise-induced asthma in the elite athlete. Med. Sci. Sports Exerc. 2001, 33, 208–213. [Google Scholar] [CrossRef]
- Stensrud, T.; Mykland, K.V.; Gabrielsen, K.; Carlsen, K.-H. Bronchial hyperresponsiveness in skiers: Field test versus methacholine provocation? Med. Sci. Sports Exerc. 2007, 39, 1681–1686. [Google Scholar] [CrossRef] [PubMed]
- Carlsen, K.-H. The breathless adolescent asthmatic athlete. Eur. Respir. J. 2011, 38, 713–720. [Google Scholar] [CrossRef] [PubMed]
- Sue-Chu, M.; Henriksen, A.H.; Bjermer, L. Non-invasive evaluation of lower airway inflammation in hyper-responsive elite cross-country skiers and asthmatics. Respir. Med. 1999, 93, 719–725. [Google Scholar] [CrossRef] [PubMed]
- Rundell, K.W. High levels of airborne ultrafine and fine particulate matter in indoor ice arenas. Inhal. Toxicol. 2003, 15, 237–250. [Google Scholar] [CrossRef] [PubMed]
- Lumme, A.; Haahtela, T.; Ounap, J.; Rytilä, P.; Obase, Y.; Helenius, M.; Remes, V.; Helenius, I. Airway inflammation, bronchial hyperresponsiveness and asthma in elite ice hockey players. Eur. Respir. J. 2003, 22, 113–117. [Google Scholar] [CrossRef]
- Mannix, E.T.; Farber, M.O.; Palange, P.; Galassetti, P.; Manfredi, F. Exercise-induced asthma in figure skaters. Chest 1996, 109, 312–315. [Google Scholar] [CrossRef]
- Rosenman, K.D.; Millerick-May, M.; Reilly, M.J.; Flattery, J.; Weinberg, J.; Harrison, R.; Lumia, M.; Stephens, A.C.; Borjan, M. Swimming facilities and work-related asthma. J. Asthma 2015, 52, 52–58. [Google Scholar] [CrossRef] [PubMed]
- Bernard, A.; Nickmilder, M.; Voisin, C.; Sardella, A. Impact of chlorinated swimming pool attendance on the respiratory health of adolescents. Pediatrics 2009, 124, 1110–1118. [Google Scholar] [CrossRef]
- Leahy, M.G.; Peters, C.M.; Geary, C.M.; Koehle, M.S.; McKenzie, D.C.; Brotherhood, J.; Sheel, A.W. Diagnosis of Exercise-induced Bronchoconstriction in Swimmers: Context Matters. Med. Sci. Sports Exerc. 2020, 52, 1855–1861. [Google Scholar] [CrossRef] [PubMed]
- Tripodi, S.; Barreto, M.; Di Rienzo-Businco, A.; Grossi, O.; Sfika, I.; Ragusa, G.; Campisano, M.; Miceli-Sopo, S. Asthma Control Test and Bronchial Challenge with Exercise in Pediatric Asthma. Front. Pediatr. 2016, 4, 16. [Google Scholar] [CrossRef] [PubMed]
- Correia, M.A.d.V., Jr.; Rizzo, J.A.; Sarinho, S.W.; Cavalcanti Sarinho, E.S.; Medeiros, D.; Assis, F. Effect of exercise-induced bronchospasm and parental beliefs on physical activity of asthmatic adolescents from a tropical region. Ann. Allergy Asthma Immunol. 2012, 108, 249–253. [Google Scholar] [CrossRef]
- Lin, L.-L.; Huang, S.-J.; Ou, L.-S.; Yao, T.-C.; Tsao, K.-C.; Yeh, K.-W.; Huang, J. L Exercise-induced bronchoconstriction in children with asthma: An observational cohort study. J. Microbiol. Immunol. Infect. 2019, 52, 471–479. [Google Scholar] [CrossRef] [PubMed]
- Bernard, A.; Carbonnelle, S.; de Burbure, C.; Michel, O.; Nickmilder, M. Chlorinated pool attendance, atopy, and the risk of asthma during childhood. Environ. Health Perspect. 2006, 114, 1567–1573. [Google Scholar] [CrossRef] [PubMed]
- Baek, H.S.; Cho, J.; Kim, J.H.; Oh, J.W.; Lee, H.B. Ratio of leukotriene e(4) to exhaled nitric oxide and the therapeutic response in children with exercise-induced bronchoconstriction. Allergy Asthma Immunol. Res. 2013, 5, 26–33. [Google Scholar] [CrossRef] [PubMed]
- El-Akkary, I.M.; Abdel-Fatah, Z.E.; El-Seweify, M.E.; El-Batouti, G.A.; Aziz, E.A.; Adam, A.I. Role of leukotrienes in exercise-induced bronchoconstriction before and after a pilot rehabilitation training program. Int. J. Gen. Med. 2013, 6, 631–636. [Google Scholar] [CrossRef][Green Version]
- Anderson, S.D.; Kippelen, P. A proposal to account for the stimulus, the mechanism, and the mediators released in exercise-induced bronchoconstriction. Front. Allergy 2023, 4, 1004170. [Google Scholar] [CrossRef]
- Tufvesson, E.; Svensson, H.; Ankerst, J.; Bjermer, L. Increase of club cell (Clara) protein (CC16) in plasma and urine after exercise challenge in asthmatics and healthy controls, and correlations to exhaled breath temperature and exhaled nitric oxide. Respir. Med. 2013, 107, 1675–1681. [Google Scholar] [CrossRef] [PubMed]
- Couto, M.; Kurowski, M.; Moreira, A.; Bullens, D.M.A.; Carlsen, K.H.; Delgado, L.; Kowalski, M.L.; Seys, S.F. Mechanisms of exercise-induced bronchoconstriction in athletes: Current perspectives and future challenges. Allergy 2018, 73, 8–16. [Google Scholar] [CrossRef] [PubMed]
- Lammers, N.; van Hoesel, M.H.T.; Kamphuis, M.; Brusse-Keizer, M.; van der Palen, J.; Visser, R.; Thio, B.J.; Driessen, J.M.M. Assessing Exercise-Induced Bronchoconstriction in Children; The Need for Testing. Front. Pediatr. 2019, 7, 157. [Google Scholar] [CrossRef] [PubMed]
- Lammers, N.; van Hoesel, M.H.T.; Brusse-Keizer, M.G.J.; van der Palen, J.; Spenkelink-Visser, R.; Driessen, J.M.M.; Thio, B.J. Can Pediatricians Assess Exercise-Induced Bronchoconstriction From Post-exercise Videos? Front. Pediatr. 2019, 7, 561. [Google Scholar] [CrossRef] [PubMed]
- Hengeveld, V.S.; van der Kamp, M.R.; Thio, B.J.; Brannan, J.D. The Need for Testing-The Exercise Challenge Test to Disentangle Causes of Childhood Exertional Dyspnea. Front. Pediatr. 2021, 9, 773794. [Google Scholar] [CrossRef] [PubMed]
- van Leeuwen, J.C.; Driessen, J.M.M.; de Jongh, F.H.C.; Anderson, S.D.; Thio, B.J. Measuring breakthrough exercise-induced bronchoconstriction in young asthmatic children using a jumping castle. J. Allergy Clin. Immunol. 2013, 131, 1427–1429.e5. [Google Scholar] [CrossRef] [PubMed]
- Haverkamp, H.C.; Dempsey, J.A.; Miller, J.D.; Romer, L.M.; Pegelow, D.F.; Lovering, A.T.; Eldridge, M.W. Repeat exercise normalizes the gas-exchange impairment induced by a previous exercise bout in asthmatic subjects. J. Appl. Physiol. 2005, 99, 1843–1852. [Google Scholar] [CrossRef] [PubMed]
- Mickleborough, T.D.; Lindley, M.R.; Turner, L.A. Comparative effects of a high-intensity interval warm-up and salbutamol on the bronchoconstrictor response to exercise in asthmatic athletes. Int. J. Sports Med. 2007, 28, 456–462. [Google Scholar] [CrossRef] [PubMed]
- Carlsen, K.H.; Engh, G.; Mørk, M. Exercise-induced bronchoconstriction depends on exercise load. Respir. Med. 2000, 94, 750–755. [Google Scholar] [CrossRef]
- Hallstrand, T.S.; Leuppi, J.D.; Joos, G.; Hall, G.L.; Carlsen, K.-H.; Kaminsky, D.A.; Coates, A.L.; Cockcroft, D.W.; Culver, B.H.; Diamant, Z.; et al. ERS technical standard on bronchial challenge testing: Pathophysiology and methodology of indirect airway challenge testing. Eur. Respir. J. 2018, 52, 1801033. [Google Scholar] [CrossRef]
- Crapo, R.O.; Casaburi, R.; Coates, A.L.; Enright, P.L.; Hankinson, J.L.; Irvin, C.G.; MacIntyre, N.R.; McKay, R.T.; Wanger, J.S.; Anderson, S.D.; et al. Guidelines for methacholine and exercise challenge testing-1999. This official statement of the American Thoracic Society was adopted by the ATS Board. of Directors, July 1999. Am. J. Respir. Crit. Care Med. 2000, 161, 309–329. [Google Scholar] [PubMed]
- Scheett, T.P.; Nemet, D.; Stoppani, J.; Maresh, C.M.; Newcomb, R.; Cooper, D.M. The effect of endurance-type exercise training on growth mediators and inflammatory cytokines in pre-pubertal and early pubertal males. Pediatr. Res. 2002, 52, 491–497. [Google Scholar] [CrossRef] [PubMed]
- Pedersen, S.; Hansen, O.R. Budesonide treatment of moderate and severe asthma in children: A dose-response study. J. Allergy Clin. Immunol. 1995, 95, 29–33. [Google Scholar] [CrossRef] [PubMed]
- Casaburi, R.; Cotes, J.; Donner, C.; Estenne, M.; Folgering, H.; Higenbottam, T.; Killian, K.J.; Palange, P.; Patessio, A.; Prefaut, C.; et al. Clinical exercise testing with reference to lung diseases: Indications, standardization and interpretation strategies. ERS Task Force on Standardization of Clinical Exercise Testing. European Respiratory Society. Eur. Respir. J. 1997, 10, 2662–2689. [Google Scholar]
- Anderson, S.D.; Brannan, J.D. Methods for “indirect” challenge tests including exercise, eucapnic voluntary hyperpnea, and hypertonic aerosols. Clin. Rev. Allergy Immunol. 2003, 24, 27–54. [Google Scholar] [CrossRef] [PubMed]
- Anderson, S.D.; Kippelen, P. Assessment of EIB: What you need to know to optimize test results. Immunol. Allergy Clin. N. Am. 2013, 33, 363–380. [Google Scholar] [CrossRef] [PubMed]
- Brannan, J.D.; Kippelen, P. Bronchial Provocation Testing for the Identification of Exercise-Induced Bronchoconstriction. J. Allergy Clin. Immunol. Pract. 2020, 8, 2156–2164. [Google Scholar] [CrossRef] [PubMed]
- Burman, J.; Elenius, V.; Lukkarinen, H.; Kuusela, T.; Mäkelä, M.J.; Kesti, O.; Väätäinen, K.; Maunula, M.; Remes, S.; Jartti, T. Cut-off values to evaluate exercise-induced asthma in eucapnic voluntary hyperventilation test for children. Clin. Physiol. Funct. Imaging 2020, 40, 343–350. [Google Scholar] [CrossRef] [PubMed]
- Sverrild, A.; Porsbjerg, C.; Thomsen, S.F.; Backer, V. Diagnostic properties of inhaled mannitol in the diagnosis of asthma: A population study. J. Allergy Clin. Immunol. 2009, 124, 928–932.e1. [Google Scholar] [CrossRef]
- Brannan, J.D.; Gulliksson, M.; Anderson, S.D.; Chew, N.; Kumlin, M. Evidence of mast cell activation and leukotriene release after mannitol inhalation. Eur. Respir. J. 2003, 22, 491–496. [Google Scholar] [CrossRef]
- Sverrild, A.; Porsbjerg, C.; Backer, V. The use of inhaled mannitol in the diagnosis and management of asthma. Expert. Opin. Pharmacother. 2012, 13, 115–123. [Google Scholar] [CrossRef]
- Van Brussel, M.; Bongers, B.C.; Hulzebos, E.H.J.; Burghard, M.; Takken, T. A Systematic Approach to Interpreting the Cardiopulmonary Exercise Test in Pediatrics. Pediatr. Exerc. Sci. 2019, 31, 194–203. [Google Scholar] [CrossRef]
- Karila, C.; de Blic, J.; Waernessyckle, S.; Benoist, M.R.; Scheinmann, P. Cardiopulmonary exercise testing in children: An individualized protocol for workload increase. Chest 2001, 120, 81–87. [Google Scholar] [CrossRef]
- Sayad, E.; Das, S. Exercise-Induced Laryngeal Obstruction. In StatPearls; StatPearls Publishing: Treasure Island, FL, USA, 2023. [Google Scholar]
- Zhang, C.; Hicks, M.; Ospina, M.B.; Martha, V.; Alnouri, G.; Dennett, L.; Sataloff, R.; Hicks, A. The impact of identifying laryngeal obstruction syndromes on reducing treatment of pediatric asthma: A systematic review. Pediatr. Pulmonol. 2022, 57, 1401–1415. [Google Scholar] [CrossRef]
- Clemm, H.H.; Olin, J.T.; McIntosh, C.; Schwellnus, M.; Sewry, N.; Hull, J.H.; Halvorsen, T. Exercise-induced laryngeal obstruction (EILO) in athletes: A narrative review by a subgroup of the IOC Consensus on “acute respiratory illness in the athlete”. Br. J. Sports Med. 2022, 56, 622–629. [Google Scholar] [CrossRef]
- Halvorsen, T.; Walsted, E.S.; Bucca, C.; Bush, A.; Cantarella, G.; Friedrich, G.; Herth, F.J.F.; Hull, J.H.; Jung, H.; Maat, R.; et al. Inducible laryngeal obstruction: An official joint European Respiratory Society and European Laryngological Society statement. Eur. Respir. J. 2017, 50, 1602221. [Google Scholar] [CrossRef]
- Ersson, K.; Mallmin, E.; Malinovschi, A.; Norlander, K.; Johansson, H.; Nordang, L. Prevalence of exercise-induced bronchoconstriction and laryngeal obstruction in adolescent athletes. Pediatr. Pulmonol. 2020, 55, 3509–3516. [Google Scholar] [CrossRef]
- Wells, C.; Makariou, I.; Barker, N.; Thevasagayam, R.; Sonnappa, S. Exercise induced laryngeal obstruction (EILO) in children and young people: Approaches to assessment and management. Paediatr. Respir. Rev. 2023, 46, 37–48. [Google Scholar] [CrossRef]
- Røksund, O.D.; Maat, R.C.; Heimdal, J.H.; Olofsson, J.; Skadberg, B.T.; Halvorsen, T. Exercise induced dyspnea in the young. Larynx as the bottleneck of the airways. Respir. Med. 2009, 103, 1911–1918. [Google Scholar] [CrossRef]
- Christensen, P.M.; Thomsen, S.F.; Rasmussen, N.; Backer, V. Exercise-induced laryngeal obstructions: Prevalence and symptoms in the general public. Eur. Arch. Otorhinolaryngol. 2011, 268, 1313–1319. [Google Scholar] [CrossRef]
- Christopher, K.L.; Morris, M.J. Vocal cord dysfunction, paradoxic vocal fold motion, or laryngomalacia? Our understanding requires an interdisciplinary approach. Otolaryngol. Clin. N. Am. 2010, 43, 43–66, viii. [Google Scholar] [CrossRef]
- Heimdal, J.-H.; Roksund, O.D.; Halvorsen, T.; Skadberg, B.T.; Olofsson, J. Continuous laryngoscopy exercise test: A method for visualizing laryngeal dysfunction during exercise. Laryngoscope 2006, 116, 52–57. [Google Scholar] [CrossRef]
- Maat, R.C.; Røksund, O.D.; Halvorsen, T.; Skadberg, B.T.; Olofsson, J.; Ellingsen, T.A.; Aarstad, H.J.; Heimdal, J.H. Audiovisual assessment of exercise-induced laryngeal obstruction: Reliability and validity of observations. Eur. Arch. Otorhinolaryngol. 2009, 266, 1929–1936. [Google Scholar] [CrossRef]
- Kramer, S.; deSilva, B.; Forrest, L.A.; Matrka, L. Does treatment of paradoxical vocal fold movement disorder decrease asthma medication use? Laryngoscope 2017, 127, 1531–1537. [Google Scholar] [CrossRef]
- Olin, J.T.; Clary, M.S.; Fan, E.M.; Johnston, K.L.; State, C.M.; Strand, M.; Christopher, K.L. Continuous laryngoscopy quantitates laryngeal behaviour in exercise and recovery. Eur. Respir. J. 2016, 48, 1192–1200. [Google Scholar] [CrossRef]
- Christensen, P.M.; Maltbæk, N.; Jørgensen, I.M.; Nielsen, K.G. Can flow-volume loops be used to diagnose exercise induced laryngeal obstructions? A comparison study examining the accuracy and inter-rater agreement of flow volume loops as a diagnostic tool. Prim. Care Respir. J. 2013, 22, 306–311. [Google Scholar] [CrossRef]
- McClean, K.M.; Kee, F.; Young, I.S.; Elborn, J.S. Obesity and the lung: 1. Epidemiology. Thorax 2008, 63, 649–654. [Google Scholar] [CrossRef]
- Swallen, K.C.; Reither, E.N.; Haas, S.A.; Meier, A.M. Overweight, obesity, and health-related quality of life among adolescents: The National Longitudinal Study of Adolescent Health. Pediatrics 2005, 115, 340–347. [Google Scholar] [CrossRef]
- Ferreira, M.S.; Mendes, R.T.; de Lima Marson, F.A.; Zambon, M.P.; Paschoal, I.A.; Toro, A.A.D.C.; Severino, S.D.; de Oliveira Ribeiro, M.Â.; Ribeiro, J.D. The relationship between physical functional capacity and lung function in obese children and adolescents. BMC Pulm. Med. 2014, 14, 199. [Google Scholar] [CrossRef]
- Lang, J.E.; Hossain, M.J.; Lima, J.J. Overweight children report qualitatively distinct asthma symptoms: Analysis of validated symptom measures. J. Allergy Clin. Immunol. 2015, 135, 886–893.e3. [Google Scholar] [CrossRef]
- Forno, E. Childhood obesity and asthma: To BMI or not to BMI? J. Allergy Clin. Immunol. 2017, 139, 767–768. [Google Scholar] [CrossRef]
- Quetelet, L.A. A treatise on man and the development of his faculties. 1842. Obes. Res. 1994, 2, 72–85. [Google Scholar] [CrossRef]
- Jones, R.L.; Nzekwu, M.-M.U. The effects of body mass index on lung volumes. Chest 2006, 130, 827–833. [Google Scholar] [CrossRef]
- King, G.G.; Brown, N.J.; Diba, C.; Thorpe, C.W.; Muñoz, P.; Marks, G.B.; Toelle, B.; Ng, K.; Berend, N.; Salome, C.M. The effects of body weight on airway calibre. Eur. Respir. J. 2005, 25, 896–901. [Google Scholar] [CrossRef]
- Peters, U.; Dixon, A.E.; Forno, E. Obesity and asthma. J. Allergy Clin. Immunol. 2018, 141, 1169–1179. [Google Scholar] [CrossRef]
- Tantisira, K.G.; Litonjua, A.A.; Weiss, S.T.; Fuhlbrigge, A.L.; Childhood Asthma Management Program Research Group. Association of body mass with pulmonary function in the Childhood Asthma Management Program (CAMP). Thorax 2003, 58, 1036–1041. [Google Scholar] [CrossRef]
- Forno, E.; Weiner, D.J.; Mullen, J.; Sawicki, G.; Kurland, G.; Han, Y.Y.; Cloutier, M.M.; Canino, G.; Weiss, S.T.; Litonjua, A.A.; et al. Obesity and Airway Dysanapsis in Children with and without Asthma. Am. J. Respir. Crit. Care Med. 2017, 195, 314–323. [Google Scholar] [CrossRef]
- Özgen, İ.T.; Çakır, E.; Torun, E.; Güleş, A.; Hepokur, M.N.; Cesur, Y. Relationship Between Functional Exercise Capacity and Lung Functions in Obese Chidren. J. Clin. Res. Pediatr. Endocrinol. 2015, 7, 217–221. [Google Scholar] [CrossRef]
- van Veen, W.J.; Driessen, J.M.M.; Kersten, E.T.G.; van Leeuwen, J.C.; Brusse-Keizer, M.G.J.; van Aalderen, W.M.C.; Thio, B.J. BMI predicts exercise induced bronchoconstriction in asthmatic boys. Pediatr. Pulmonol. 2017, 52, 1130–1134. [Google Scholar] [CrossRef]
- Forno, E.; Han, Y.-Y.; Mullen, J.; Celedón, J.C. Overweight, Obesity, and Lung Function in Children and Adults-A Meta-analysis. J. Allergy Clin. Immunol. Pract. 2018, 6, 570–581.e10. [Google Scholar] [CrossRef]
- Sherriff, A.; Maitra, A.; Ness, A.R.; Mattocks, C.; Riddoch, C.; Reilly, J.J.; Paton, J.Y.; Henderson, A.J. Association of duration of television viewing in early childhood with the subsequent development of asthma. Thorax 2009, 64, 321–325. [Google Scholar] [CrossRef]
- Malmberg, M.; Malmberg, L.P.; Pelkonen, A.S.; Mäkelä, M.J.; Kotaniemi-Syrjänen, A. Overweight and exercise-induced bronchoconstriction—Is there a link? Pediatr. Allergy Immunol. 2021, 32, 992–998. [Google Scholar] [CrossRef]
- Souza de Almeida, A.H.; Rodrigues Filho, E.d.A.; Lubambo Costa, E.; de Albuquerque, C.G.; Sarinho, E.S.C.; Medeiros Peixoto, D.; Dela Bianca, A.C.C.; Correia Júnior, M.A.V.; Rizzo, J.Â. Obesity is a risk factor for exercise-induced bronchospasm in asthmatic adolescents. Pediatr. Pulmonol. 2020, 55, 1916–1923. [Google Scholar] [CrossRef]
- den Dekker, H.T.; Sonnenschein-van der Voort, A.M.M.; de Jongste, J.C.; Anessi-Maesano, I.; Arshad, S.H.; Barros, H.; Beardsmore, C.S.; Bisgaard, H.; Phar, S.C.; Craig, L.; et al. Early growth characteristics and the risk of reduced lung function and asthma: A meta-analysis of 25,000 children. J. Allergy Clin. Immunol. 2016, 137, 1026–1035. [Google Scholar] [CrossRef]
- Strunk, R.C.; Colvin, R.; Bacharier, L.B.; Fuhlbrigge, A.; Forno, E.; Arbelaez, A.M.; Tantisira, K.G.; Childhood Asthma Management Program Research Group. Airway Obstruction Worsens in Young Adults with Asthma Who Become Obese. J. Allergy Clin. Immunol. Pract. 2015, 3, 765–771.e2. [Google Scholar] [CrossRef]
- Bull, F.C.; Al-Ansari, S.S.; Biddle, S.; Borodulin, K.; Buman, M.P.; Cardon, G.; Carty, C.; Chaput, J.P.; Chastin, S.; Chou, R.; et al. World Health Organization 2020 guidelines on physical activity and sedentary behaviour. Br. J. Sports Med. 2020, 54, 1451–1462. [Google Scholar] [CrossRef]
- Abu-Hasan, M.; Tannous, B.; Weinberger, M. Exercise-induced dyspnea in children and adolescents: If not asthma then what? Ann. Allergy Asthma Immunol. 2005, 94, 366–371. [Google Scholar] [CrossRef]
- Bhatia, R.; Abu-Hasan, M.; Weinberger, M. Exercise-Induced Dyspnea in Children and Adolescents: Differential Diagnosis. Pediatr. Ann. 2019, 48, e121–e127. [Google Scholar] [CrossRef]
- Chinn, S.; Rona, R.J. Can the increase in body mass index explain the rising trend in asthma in children? Thorax 2001, 56, 845–850. [Google Scholar] [CrossRef]
- Spotlight on Adolescent Health and Well-Being. Findings from the 2017/2018 Health Behaviour in School-Aged Children (HBSC) Survey in Europe and Canada. International Report. Volume 1. Key Findings. World Health Organization; 17 May 2020. Available online: https://www.who.int/europe/publications/i/item/9789289055000 (accessed on 5 July 2024).
- Panagiotou, M.; Koulouris, N.G.; Rovina, N. Physical Activity: A Missing Link in Asthma Care. J. Clin. Med. Res. 2020, 9, 706. [Google Scholar] [CrossRef]
- Berenson, G.S.; Srinivasan, S.R.; Bao, W.; Newman, W.P., 3rd; Tracy, R.E.; Wattigney, W.A. Association between multiple cardiovascular risk factors and atherosclerosis in children and young adults. The Bogalusa Heart Study. N. Engl. J. Med. 1998, 338, 1650–1656. [Google Scholar] [CrossRef] [PubMed]
- Bantulà, M.; Roca-Ferrer, J.; Arismendi, E.; Picado, C. Asthma and Obesity: Two Diseases on the Rise and Bridged by Inflammation. J. Clin. Med. Res. 2021, 10, 169. [Google Scholar] [CrossRef] [PubMed]
- Scotney, E.; Jayarathna, R.; Gupta, L.; Bush, A.; Saglani, S.; Fleming, L.; Sonappa, S. The role of cardiopulmonary exercise testing to evaluate exercise induced dyspnoea in asthmatic children. Eur. Respir. J. 2022, 60 (Suppl. S66), 1010. [Google Scholar]
- Shim, Y.M.; Burnette, A.; Lucas, S.; Herring, R.C.; Weltman, J.; Patrie, J.T.; Patrie, J.T.; Weltman, A.L.; Platts-Mills, T.A. Physical deconditioning as a cause of breathlessness among obese adolescents with a diagnosis of asthma. PLoS ONE 2013, 8, e61022. [Google Scholar] [CrossRef] [PubMed]
- Moreau, J.; Socchi, F.; Renoux, M.C.; Requirand, A.; Abassi, H.; Guillaumont, S.; Matecki, S.; Huguet, H.; Avesani, M.; Picot, M.C.; et al. Cardiopulmonary fitness in children with asthma versus healthy children. Arch. Dis. Child. 2023, 108, 204–210. [Google Scholar] [CrossRef] [PubMed]
- Dayton, J.D.; Ford, K.; Carroll, S.J.; Flynn, P.A.; Kourtidou, S.; Holzer, R.J. The Deconditioning Effect of the COVID-19 Pandemic on Unaffected Healthy Children. Pediatr. Cardiol. 2021, 42, 554–559. [Google Scholar] [CrossRef] [PubMed]
- Ewert, R.; Elhadad, M.A.; Habedank, D.; Heine, A.; Stubbe, B. Primary mitochondrial disease as a rare cause of unclear breathlessness and distinctive performance degradation—A case report. BMC Pulm. Med. 2023, 23, 104. [Google Scholar] [CrossRef]
- Tsao, C.-Y. Effective Treatment with Albuterol in DOK7 Congenital Myasthenic Syndrome in Children. Pediatr. Neurol. 2016, 54, 85–87. [Google Scholar] [CrossRef] [PubMed]
- Bhatia, R.; Schwendeman, E. Efficient Use of Simple Exercise-Induced Bronchoconstriction Challenge Testing in Pediatric Exercise-Induced Dyspnea. Respir. Care 2019, 64, 71–76. [Google Scholar] [CrossRef]
- Weiss, P.; Rundell, K.W. Imitators of exercise-induced bronchoconstriction. Allergy Asthma Clin. Immunol. 2009, 5, 7. [Google Scholar] [CrossRef]
- Hull, J.H.; Burns, P.; Carre, J.; Haines, J.; Hepworth, C.; Holmes, S.; Jones, N.; MacKenzie, A.; Paton, J.Y.; Ricketts, W.M.; et al. BTS clinical statement for the assessment and management of respiratory problems in athletic individuals. Thorax 2022, 77, 540–551. [Google Scholar] [CrossRef] [PubMed]
- Schwellnus, M.; Adami, P.E.; Bougault, V.; Budgett, R.; Clemm, H.H.; Derman, W.; Erdener, U.; Fitch, K.; Hull, J.H.; McIntosh, C.; et al. International Olympic Committee (IOC) consensus statement on acute respiratory illness in athletes part 2: Non-infective acute respiratory illness. Br. J. Sports Med. 2022, 56, 1089–1103. [Google Scholar] [CrossRef] [PubMed]
- Backer, V.; Mastronarde, J. Pharmacologic Strategies for Exercise-Induced Bronchospasm with a Focus on Athletes. Immunol. Allergy Clin. N. Am. 2018, 38, 231–243. [Google Scholar] [CrossRef] [PubMed]
- Smith, W.G. Beta2-agonists for exercise-induced asthma. Paediatr. Child. Health 2014, 19, 355–356. [Google Scholar] [PubMed]
- Bonini, M.; Di Mambro, C.; Calderon, M.A.; Compalati, E.; Schünemann, H.; Durham, S.; Canonica, G.W. Beta2-agonists for exercise-induced asthma. Cochrane Database Syst. Rev. 2013, CD003564. [Google Scholar] [CrossRef] [PubMed]
- Bonini, M. Beta-2 agonists for exercise-induced bronchoconstriction in children. Paediatr. Respir. Rev. 2014, 15, 42–44. [Google Scholar] [CrossRef] [PubMed]
- Stelmach, I.; Sztafiska, A.; Jerzyska, J.; Podlecka, D.; Majak, P.; Stelmach, W. New insights into treatment of children with exercise-induced asthma symptoms. Allergy Asthma Proc. 2016, 37, 466–474. [Google Scholar] [CrossRef] [PubMed]
- Schafroth Török, S.; Mueller, T.; Miedinger, D.; Jochmann, A.; Zellweger, L.J.; Sauter, S.; Goll, A.; Chhajed, P.N.; Taegtmeyer, A.B.; Knöpfli, B.; et al. An open-label study examining the effect of pharmacological treatment on mannitol- and exercise-induced airway hyperresponsiveness in asthmatic children and adolescents with exercise-induced bronchoconstriction. BMC Pediatr. 2014, 14, 196. [Google Scholar]
- Visser, R.; Wind, M.; de Graaf, B.; de Jongh, F.H.C.; van der Palen, J.; Thio, B.J. Protective effect of a low single dose inhaled steroid against exercise induced bronchoconstriction. Pediatr. Pulmonol. 2015, 50, 1178–1183. [Google Scholar] [CrossRef]
- Hengeveld, V.S.; Lammers, N.; van der Kamp, M.R.; van der Palen, J.; Thio, B.J. Can the response to a single dose of beclomethasone dipropionate predict the outcome of long-term treatment in childhood exercise-induced bronchoconstriction? Pediatr. Allergy Immunol. 2022, 33, e13808. [Google Scholar] [CrossRef]
- Raissy, H.H.; Harkins, M.; Kelly, F.; Kelly, H.W. Pretreatment with albuterol versus montelukast for exercise-induced bronchospasm in children. Pharmacotherapy 2008, 28, 287–294. [Google Scholar] [CrossRef] [PubMed]
- Philip, G.; Pearlman, D.S.; Villarán, C.; Legrand, C.; Loeys, T.; Langdon, R.B.; Reiss, T.F. Single-dose montelukast or salmeterol as protection against exercise-induced bronchoconstriction. Chest 2007, 132, 875–883. [Google Scholar] [CrossRef] [PubMed]
- Pearlman, D.S.; van Adelsberg, J.; Philip, G.; Tilles, S.A.; Busse, W.; Hendeles, L.; Loeys, T.; Dass, S.B.; Reiss, T.F. Onset and duration of protection against exercise-induced bronchoconstriction by a single oral dose of montelukast. Ann. Allergy Asthma Immunol. 2006, 97, 98–104. [Google Scholar] [CrossRef] [PubMed]
- Bar-Yoseph, R.; Gur, M.; Zuckerman, S.; Gut, G.; Hanna, M.; Toukan, Y.; Nir, V.; Masarweh, K.; Bentur, L. Short- and long-term effects of fluticasone furoate/vilanterol in exercising asthmatic adolescents: A randomized and open label trial. Basic. Clin. Pharmacol. Toxicol. 2021, 129, 369–375. [Google Scholar] [CrossRef] [PubMed]
- Lazarinis, N.; Jørgensen, L.; Ekström, T.; Bjermer, L.; Dahlén, B.; Pullerits, T.; Hedlin, G.; Carlsen, K.H.; Larsson, K. Combination of budesonide/formoterol on demand improves asthma control by reducing exercise-induced bronchoconstriction. Thorax 2014, 69, 130–136. [Google Scholar] [CrossRef] [PubMed]
- Tsukioka, K.; Koya, T.; Ueno, H.; Hayashi, M.; Sakagami, T.; Hasegawa, T.; Arakawa, M.; Suzuki, E.; Kikuchi, T. Phenotypic analysis of asthma in Japanese athletes. Allergol. Int. 2017, 66, 550–556. [Google Scholar] [CrossRef]
- Fitch, K.D. An overview of asthma and airway hyper-responsiveness in Olympic athletes. Br. J. Sports Med. 2012, 46, 413–416. [Google Scholar] [CrossRef]
- Bonini, M.; Gramiccioni, C.; Fioretti, D.; Ruckert, B.; Rinaldi, M.; Akdis, C.; Todaro, A.; Palange, P.; Carlsen, K.H.; Pelliccia, A.; et al. Asthma, allergy and the Olympics: A 12-year survey in elite athletes. Curr. Opin. Allergy Clin. Immunol. 2015, 15, 184. [Google Scholar] [CrossRef]
- Støle Melsom, H.; Randa, A.; Hisdal, J.; Stang, J.S.; Stensrud, T. Prevalence of Asthma among Norwegian Elite Athletes. Transl. Sports Med. 2022, 2022, 3887471. [Google Scholar] [CrossRef]
- O’Neill, C.; Russell, M.; Balogh, R.; Lloyd, M.; Dogra, S. Asthma prevalence and control levels among Special Olympics athletes, and asthma-related knowledge of their coaches. J. Intellect. Disabil. Res. 2019, 63, 338–345. [Google Scholar] [CrossRef]
- TUE Physician Guidelines—Asthma. World Anti Doping Agency [Internet]. Available online: https://www.wada-ama.org/en/resources/therapeutic-use-exemption/tue-physician-guidelines-asthma (accessed on 19 May 2024).
- World Anti-Doping Agency. Prohibited List. Available online: https://www.wada-ama.org/en/prohibited-list (accessed on 1 July 2024).
- Johansson, H.; Norlander, K.; Malinovschi, A. Increased prevalence of exercise-induced airway symptoms—A five-year follow-up from adolescence to young adulthood. Respir. Med. 2019, 154, 76–81. [Google Scholar] [CrossRef] [PubMed]
- van der Kamp, M.R.; Thio, B.J.; Tabak, M.; Hermens, H.J.; Driessen, J.; van der Palen, J. Does exercise-induced bronchoconstriction affect physical activity patterns in asthmatic children? J. Child. Health Care 2020, 24, 577–588. [Google Scholar] [CrossRef] [PubMed]
- Vathenen, A.S.; Knox, A.J.; Higgins, B.G.; Britton, J.R.; Tattersfield, A.E. Rebound increase in bronchial responsiveness after treatment with inhaled terbutaline. Lancet 1988, I, 554–558. [Google Scholar] [CrossRef]
- Lipworth, B.J.; Clark, R.A.; Dhillon, D.P.; McDevitt, D.G. Subsensitivity of beta-adrenoceptor responses in asthmatic patients taking regular low dose inhaled salbutamol. Eur. J. Clin. Pharmacol. 1990, 38, 203–205. [Google Scholar] [CrossRef] [PubMed]
- Weber, R.W.; Smith, J.A.; Nelson, H.S. Aerosolized terbutaline in asthmatics: Development of subsensitivity with longterm administration. J. Allergy Clin. Immunol. 1982, 70, 417–422. [Google Scholar] [CrossRef] [PubMed]



| Region | Range of Prevalence | Countries | Study, Country [Reference] |
|---|---|---|---|
| Europe | From to 3% to 23% | Greece, Denmark, UK, Wales, Sweden, Poland, France, Belgium, Czech Republic | Anthracopoulos 2012—Greece [31] Backer 1992—Denmark [32] Burr 2006—UK [28] Powell 1996—UK [33] Jones 1994—Wales [34] Barry 1991—South Wales [29] De Baets 2005—Belgium [35] Caillaud 2014—France [26] Raherison 2007—France [36] B 2016—Poland [37] Cichalewski 2015—Poland [38] Vacek 1999—Czech Republic [39] Johansson 2015—Sweden [40] |
| Northern America | From 6% to 22% | USA, Canada | Heaman 1997—USA [41] Randolph 1997—USA [42] Vacek 1999—Canada [39] Hemmelgarn 1997—Canada [43] |
| Southern America | From 7.4% to 19% | Brazil | Correia Kunior 2017—Brasil [44] |
| Africa | From 4% to 58% | Kenya, Ghana, Algeria, South Africa | Addo-Yobo 2007—Ghana [45] Benarab-Boucherit 2011—Algeria [46] Calvert 2010—South Africa [47] Mtshali 2009—South Africa [48] Ng’ang’a 1998—Kenya [49] |
| Asia | From 12% to 54% | Korea, India, Japan | Sudhir 2003—India [50] Hong 2004—Korea [51] Shinohara 2019—Japan [52] |
| Oceania | From 10% to 15% | New Zealand | Barry 1991—New Zealand [29] |
| Preliminary Assessments and Environmental Settings |
|---|
|
| Procedure |
|
| Diagnosis |
|
| Contraindications |
|---|
|
| Medications and foods to avoid before the test |
|
| Causes | Alternative Diagnosis |
|---|---|
| Respiratory |
|
| Cardiac |
|
| Metabolic/ Neuromuscular |
|
| Psychological |
|
| Others |
|
| Treatment Options for EIB | |
|---|---|
| Pharmacological | Nonpharmacological |
| First choice Short-acting beta2 agonists (SABA) about 10–15 min pre-exercise. | Behavior Warm-up Perform warm up exercise 10–15 min before the activity (for example interval high-intensity or a combination of high-intensity and low-intensity activity). Cooling down slowly for 5–10 min after exercise to prevent asthma symptoms after exercise. |
| Second choice In case of EIB despite using SABA or frequent use of SABA, consider: -inhaled corticosteroid (ICS), daily -leukotriene receptor antagonist (LTRA), daily | Triggers avoidance -Avoid exposure to cold air or wear a filter (such as a scarf or mask) and breathe through the nose during exercise. -Avoid outdoor exercise when pollution levels are very high. It is recommended to check the air quality indices online. -In case of allergy to pollen or mold it is useful to control environmental levels (through dedicated bulletins) avoiding outdoor exercise when they are very high. -Indoor training is recommended if outdoor trigger factors are present; alternatively, it is suggested to change the duration and intensity of outdoor training. |
| Other alternatives -Mast cell stabilizing agents pre-exercise -Inhaled anticholinergic agents pre-exercise | |
| Special population In asthmatic patients already treated with ICS/long acting beta2 antagonists (LABA), its use as needed before exercise is recommended (for example, Budesonide/Formoterol). | Lifestyle -Avoid smoking (both active and passive). -Follow a healthy diet, preferring food rich in vitamin D and omega 3 fatty acids and low in salt. -Practice regular aerobic exercise (at least 60 min of moderate to vigorous aerobic activity per day). |
Disclaimer/Publisher’s Note: The statements, opinions and data contained in all publications are solely those of the individual author(s) and contributor(s) and not of MDPI and/or the editor(s). MDPI and/or the editor(s) disclaim responsibility for any injury to people or property resulting from any ideas, methods, instructions or products referred to in the content. |
© 2024 by the authors. Licensee MDPI, Basel, Switzerland. This article is an open access article distributed under the terms and conditions of the Creative Commons Attribution (CC BY) license (https://creativecommons.org/licenses/by/4.0/).
Share and Cite
Grandinetti, R.; Mussi, N.; Rossi, A.; Zambelli, G.; Masetti, M.; Giudice, A.; Pilloni, S.; Deolmi, M.; Caffarelli, C.; Esposito, S.; et al. Exercise-Induced Bronchoconstriction in Children: State of the Art from Diagnosis to Treatment. J. Clin. Med. 2024, 13, 4558. https://doi.org/10.3390/jcm13154558
Grandinetti R, Mussi N, Rossi A, Zambelli G, Masetti M, Giudice A, Pilloni S, Deolmi M, Caffarelli C, Esposito S, et al. Exercise-Induced Bronchoconstriction in Children: State of the Art from Diagnosis to Treatment. Journal of Clinical Medicine. 2024; 13(15):4558. https://doi.org/10.3390/jcm13154558
Chicago/Turabian StyleGrandinetti, Roberto, Nicole Mussi, Arianna Rossi, Giulia Zambelli, Marco Masetti, Antonella Giudice, Simone Pilloni, Michela Deolmi, Carlo Caffarelli, Susanna Esposito, and et al. 2024. "Exercise-Induced Bronchoconstriction in Children: State of the Art from Diagnosis to Treatment" Journal of Clinical Medicine 13, no. 15: 4558. https://doi.org/10.3390/jcm13154558
APA StyleGrandinetti, R., Mussi, N., Rossi, A., Zambelli, G., Masetti, M., Giudice, A., Pilloni, S., Deolmi, M., Caffarelli, C., Esposito, S., & Fainardi, V. (2024). Exercise-Induced Bronchoconstriction in Children: State of the Art from Diagnosis to Treatment. Journal of Clinical Medicine, 13(15), 4558. https://doi.org/10.3390/jcm13154558

