The External Validation of GLOBE and UK-PBC Risk Scores for Predicting Ursodeoxycholic Acid Treatment Response in a Large U.S. Cohort of Primary Biliary Cholangitis Patients
Abstract
1. Introduction
2. Materials and Methods
2.1. Study Population
2.2. Study Outcome, Variables, and Definitions
2.3. Statistical Analysis
3. Results
3.1. Baseline Characteristics
3.2. Treatment Response
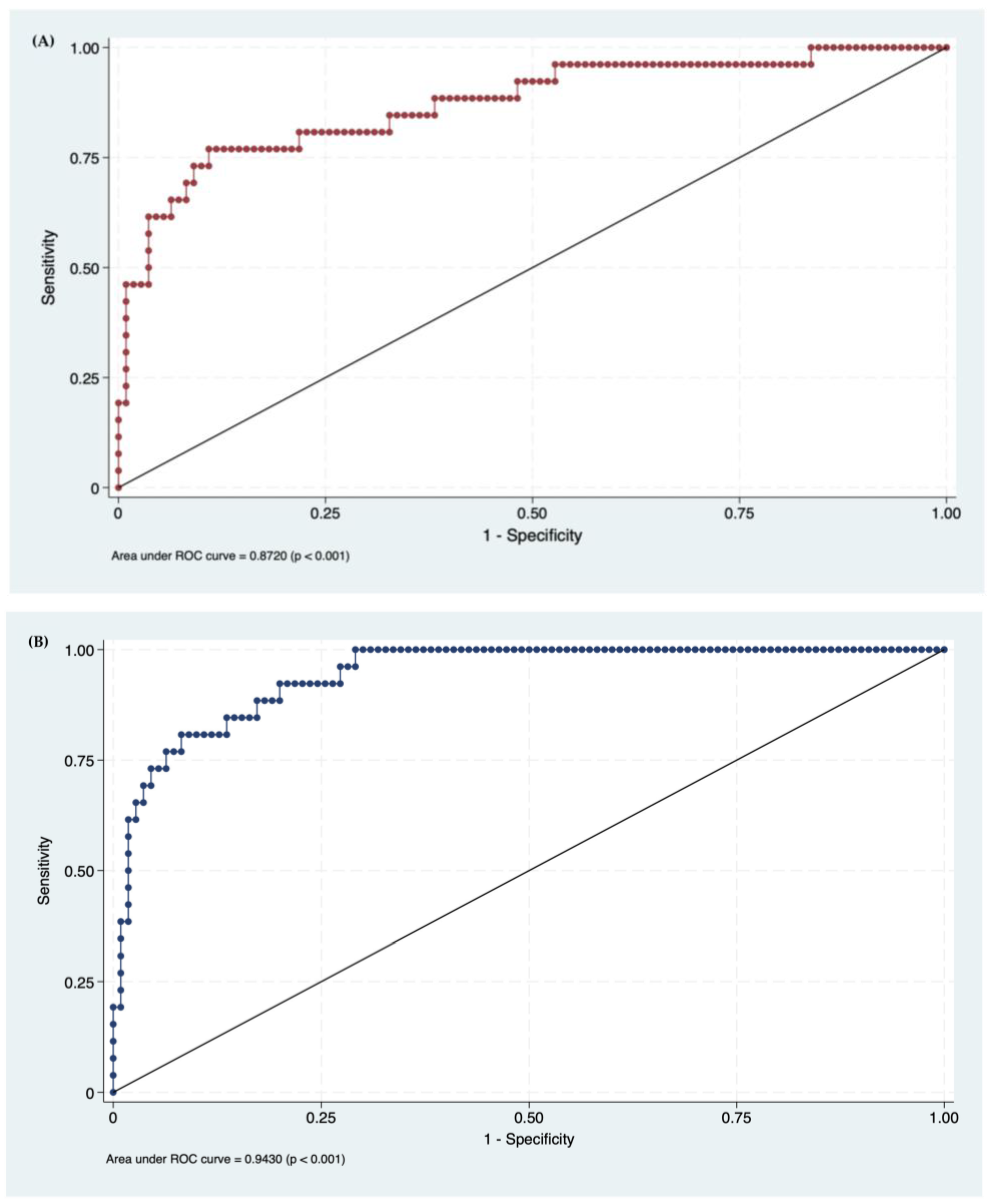
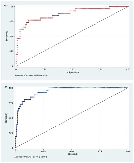
3.3. Predictive Performance
4. Discussion
5. Conclusions
Author Contributions
Funding
Institutional Review Board Statement
Informed Consent Statement
Data Availability Statement
Conflicts of Interest
References
- Lv, T.; Chen, S.; Li, M.; Zhang, D.; Kong, Y.; Jia, J. Regional variation and temporal trend of primary biliary cholangitis epidemiology: A systematic review and meta-analysis. J. Gastroenterol. Hepatol. 2021, 36, 1423–1434. [Google Scholar] [CrossRef]
- Trivella, J.; John, B.V.; Levy, C. Primary biliary cholangitis: Epidemiology, prognosis, and treatment. Hepatol. Commun. 2023, 7, e0179. [Google Scholar] [CrossRef]
- Barba Bernal, R.; Ferrigno, B.; Morales, E.M.; Castro, C.M.; Goyes, D.; Trivedi, H.; Patwardhan, V.R.; Bonder, A. Management of primary biliary cholangitis: Current treatment and future perspectives. Turk. J. Gastroenterol. 2023, 34, 89–100. [Google Scholar] [CrossRef]
- Christensen, E.; Crowe, J.; Doniach, D.; Popper, H.; Ranek, L.; Rodés, J.; Tygstrup, N.; Williams, R. Clinical pattern and course of disease in primary biliary cirrhosis based on an analysis of 236 patients. Gastroenterology 1980, 78, 236–246. [Google Scholar] [CrossRef]
- Goel, A.; Kim, W.R. Natural history of primary biliary cholangitis in the ursodeoxycholic acid era. Clin. Liver Dis. 2018, 22, 563–578. [Google Scholar] [CrossRef]
- Yamashita, M.; Honda, A.; Shimoyama, S.; Umemura, M.; Ohta, K.; Chida, T.; Noritake, H.; Kurono, N.; Ichimura-Shimizu, M.; Tsuneyama, K.; et al. Breach of tolerance versus burden of bile acids: Resolving the conundrum in the immunopathogenesis and natural history of primary biliary cholangitis. J. Autoimmun. 2023, 136, 103027. [Google Scholar] [CrossRef] [PubMed]
- Harms, M.H.; van Buuren, H.R.; Corpechot, C.; Thorburn, D.; Janssen, H.L.; Lindor, K.D.; Hirschfield, G.M.; Parés, A.; Floreani, A.; Mayo, M.J.; et al. Ursodeoxycholic acid therapy and liver transplant-free survival in patients with primary biliary cholangitis. J. Hepatol. 2019, 71, 357–365. [Google Scholar] [CrossRef]
- Carbone, M.; Harms, M.H.; Lammers, W.J.; Marmon, T.; Pencek, R.; MacConell, L.; Shapiro, D.; Jones, D.E.; Mells, G.F.; Hansen, B.E. Clinical application of the Globe and united kingdom-primary biliary cholangitis risk scores in a trial cohort of patients with primary biliary cholangitis. Hepatol. Commun. 2018, 2, 683–692. [Google Scholar] [CrossRef]
- Montano-Loza, A.J.; Corpechot, C. Definition and management of patients with primary biliary cholangitis and an incomplete response to therapy. Clin. Gastroenterol. Hepatol. 2021, 19, 2241–2251.e1. [Google Scholar] [CrossRef]
- Yang, C.; Guo, G.; Li, B.; Zheng, L.; Sun, R.; Wang, X.; Deng, J.; Jia, G.; Zhou, X.; Cui, L.; et al. Prediction and evaluation of high-risk patients with primary biliary cholangitis receiving ursodeoxycholic acid therapy: An early criterion. Hepatol. Int. 2022, 17, 237–248. [Google Scholar] [CrossRef]
- Lammers, W.J.; Hirschfield, G.M.; Corpechot, C.; Nevens, F.; Lindor, K.D.; Janssen, H.L.; Floreani, A.; Ponsioen, C.Y.; Mayo, M.J.; Invernizzi, P.; et al. Development and validation of a scoring system to predict outcomes of patients with primary biliary cirrhosis receiving ursodeoxycholic acid therapy. Gastroenterology 2015, 147, 149. [Google Scholar] [CrossRef]
- Carbone, M.; Sharp, S.J.; Flack, S.; Paximadas, D.; Spiess, K.; Adgey, C.; Griffiths, L.; Lim, R.; Trembling, P.; Williamson, K.; et al. The UK-PBC risk scores: Derivation and validation of a scoring system for long-term prediction of end-stage liver disease in primary biliary cholangitis. Hepatology 2015, 63, 930–950. [Google Scholar] [CrossRef]
- de Veer, R.C.; van Hooff, M.C.; Corpechot, C.; Thorburn, D.; Invernizzi, P.; Lammers, W.J.; Janssen, H.L.; Battezzati, P.M.; Nevens, F.; Lindor, K.D.; et al. Ursodeoxycholic acid treatment–induced GLOBE score changes are associated with liver transplantation-free survival in patients with primary biliary cholangitis. Am. J. Gastroenterol. 2022, 118, 1196–1203. [Google Scholar] [CrossRef]
- Cheung, A.C.; Gulamhusein, A.F.; Juran, B.D.; Schlicht, E.M.; McCauley, B.M.; de Andrade, M.; Atkinson, E.J.; Lazaridis, K.N. External validation of the united kingdom-primary biliary cholangitis risk scores of patients with primary biliary cholangitis treated with Ursodeoxycholic acid. Hepatol. Commun. 2018, 2, 676–682. [Google Scholar] [CrossRef]
- Yang, F.; Yang, Y.; Wang, Q.; Wang, Z.; Miao, Q.; Xiao, X.; Wei, Y.; Bian, Z.; Sheng, L.; Chen, X.; et al. The risk predictive values of UK-PBC and GLOBE scoring system in Chinese patients with primary biliary cholangitis: The additional effect of anti-gp210. Aliment. Pharmacol. Ther. 2017, 45, 733–743. [Google Scholar] [CrossRef]
- Alomari, M.; Covut, F.; Al Momani, L.; Chadalavada, P.; Hitawala, A.; Young, M.F.; Romero-Marrero, C. Evaluation of the united kingdom-primary biliary cholangitis and global primary biliary cholangitis group prognostic models for primary biliary cholangitis patients treated with ursodeoxycholic acid in the U.S. population. JGH Open 2019, 4, 132–139. [Google Scholar] [CrossRef]
- Goet, J.C.; Harms, M.H.; Carbone, M.; Hansen, B.E. Risk stratification and prognostic modelling in primary biliary cholangitis. Best Pract. Res. Clin. Gastroenterol. 2018, 34–35, 95–106. [Google Scholar] [CrossRef]
- Chascsa, D.; Carey, E.J.; Lindor, K.D. Old and new treatments for primary biliary cholangitis. Liver Int. 2017, 37, 490–499. [Google Scholar] [CrossRef]
- Levy, C.; Manns, M.; Hirschfield, G. New treatment paradigms in primary biliary cholangitis. Clin. Gastroenterol. Hepatol. 2023, 21, 2076–2087. [Google Scholar] [CrossRef] [PubMed]
- Tanaka, A. Current understanding of primary biliary cholangitis. Clin. Mol. Hepatol. 2021, 27, 1–21. [Google Scholar] [CrossRef]
- Cortez-Pinto, H.; Liberal, R.; Lopes, S.; Machado, M.V.; Carvalho, J.; Dias, T.; Santos, A.; Agostinho, C.; Figueiredo, P.; Loureiro, R.; et al. Predictors for incomplete response to ursodeoxycholic acid in primary biliary cholangitis. data from a national registry of liver disease. United Eur. Gastroenterol. J. 2021, 9, 699–706. [Google Scholar] [CrossRef]
- Hirschfield, G.M.; Heathcote, E.J.; Gershwin, M.E. Pathogenesis of cholestatic liver disease and therapeutic approaches. Gastroenterology 2010, 139, 1481–1496. [Google Scholar] [CrossRef] [PubMed]
- Mané, F.; Cardoso, H.; Liberal, R.; Lopes, S.; Pereira, P.; Gonçalves, R.; Macedo, G. Treatment response in primary biliary cholangitis: The role of autoimmune hepatitis features. Ann. Hepatol. 2019, 18, 488–493. [Google Scholar] [CrossRef] [PubMed]
- Lammers, W.J.; van Buuren, H.R.; Hirschfield, G.M.; Janssen, H.L.; Invernizzi, P.; Mason, A.L.; Ponsioen, C.Y.; Floreani, A.; Corpechot, C.; Mayo, M.J.; et al. Levels of alkaline phosphatase and bilirubin are surrogate end points of outcomes of patients with primary biliary cirrhosis: An international follow-up study. Gastroenterology 2014, 147, 1338–1349.e5. [Google Scholar] [CrossRef]
- Cheung, A.C.; Lammers, W.J.; Murillo Perez, C.F.; van Buuren, H.R.; Gulamhusein, A.; Trivedi, P.J.; Lazaridis, K.N.; Ponsioen, C.Y.; Floreani, A.; Hirschfield, G.M.; et al. Effects of age and sex of response to ursodeoxycholic acid and transplant-free survival in patients with primary biliary cholangitis. Clin. Gastroenterol. Hepatol. 2019, 17, 2076–2084.e2. [Google Scholar] [CrossRef] [PubMed]
- Myers, R.P.; Shaheen, A.A.; Fong, A.; Burak, K.W.; Wan, A.; Swain, M.G.; Hilsden, R.J.; Sutherland, L.; Quan, H. Epidemiology and natural history of primary biliary cirrhosis in a Canadian health region: A population-based study. Hepatology 2009, 50, 1884–1892. [Google Scholar] [CrossRef] [PubMed]
- Gazda, J.; Drazilova, S.; Janicko, M.; Grgurevic, I.; Kanizaj, T.F.; Koller, T.; Bodorovska, B.; Bozin, T.; Mijic, M.; Rob, Z.; et al. Prognostic factors in primary biliary cholangitis: A retrospective study of Joint Slovak and Croatian cohort of 249 patients. J. Pers. Med. 2021, 11, 495. [Google Scholar] [CrossRef]
- Tababi, R.; Mrabet, S.; Akkari, I.; Harbi, R.; Ben Jazia, E. Prognostic scores in primary biliary cholangitis. Future Sci. OA 2024, 10, FSO975. [Google Scholar] [CrossRef] [PubMed]
- Goet, J.C.; Murillo Perez, C.F.; Harms, M.H.; Floreani, A.; Cazzagon, N.; Bruns, T.; Prechter, F.; Dalekos, G.N.; Verhelst, X.; Gatselis, N.K.; et al. A comparison of prognostic scores (Mayo, UK-PBC, and globe) in primary biliary cholangitis. Am. J. Gastroenterol. 2021, 116, 1514–1522. [Google Scholar] [CrossRef]
- Montano-Loza, A.J.; Lytvyak, E.; Hirschfield, G.; Hansen, B.E.; Ebadi, M.; Berney, T.; Toso, C.; Magini, G.; Villamil, A.; Nevens, F.; et al. Prognostic scores for Ursodeoxycholic acid-treated patients predict graft loss and mortality in recurrent primary biliary cholangitis after liver transplantation. J. Hepatol. 2024, 24, 1–11. [Google Scholar] [CrossRef]
- Parés, A.; Caballería, L.; Rodés, J. Excellent long-term survival in patients with primary biliary cirrhosis and biochemical response to Ursodeoxycholic acid. Gastroenterology 2006, 130, 715–720. [Google Scholar] [CrossRef]
- Gazda, J.; Drazilova, S.; Gazda, M.; Janicko, M.; Koky, T.; Macej, M.; Carbone, M.; Jarcuska, P. Treatment response to ursodeoxycholic acid in primary biliary cholangitis: A systematic review and meta-analysis. Dig. Liver Dis. 2023, 55, 1318–1327. [Google Scholar] [CrossRef]
- Cheung, K.S.; Seto, W.K.; Fung, J.; Lai, C.-L.; Yuen, M.-F. Prognostic factors for Transplant-free survival and validation of prognostic models in Chinese patients with primary biliary cholangitis receiving ursodeoxycholic acid. Clin. Transl. Gastroenterol. 2017, 8, e100. [Google Scholar] [CrossRef]
- Yoo, J.J.; Cho, E.J.; Lee, B.; Kim, S.G.; Kim, Y.S.; Bin Lee, Y.; Lee, J.-H.; Yu, S.J.; Kim, Y.J.; Yoon, J.-H. Prognostic value of biochemical response models for primary biliary cholangitis and the additional role of the neutrophil-to-lymphocyte ratio. Gut Liver 2018, 12, 714–721. [Google Scholar] [CrossRef]


| Variables | Baseline (N = 136) |
|---|---|
| Age, mean (SD) | 56 (12) |
| Gender, female N (%) | 123 (90) |
| Race, N (%) | |
| White Caucasian | 107 (79) |
| Hispanic or Latino | 11 (8) |
| African American | 1 (0.74) |
| Other/multiracial | 8 (6) |
| Asian | 9 (7) |
| BMI, mean (SD) | 29 (6) |
| Diagnosis method | |
| Elevated ALP, N (%) | 111 (82) |
| Positive AMA/positive sp100, anti-gp210, N (%) | 86 (63) |
| Liver biopsy, N (%) | 70 (51) |
| Cirrhosis at diagnosis, N (%) | 17 (12.5) |
| Ascites at diagnosis, N (%) | 4 (3) |
| Laboratory values at UDCA initiation, median (IQR) | |
| ALP (IU/L) | 177 (129–252) |
| ALT (IU/L) | 49 (28–63) |
| AST (IU/L) | 42 (28–53) |
| TB (mg/dL) | 0.6 (0.4–0.8) |
| ALB (mg/dL) | 4.3 (4.2–4.5) |
| PL (×109/L) | 261 (211–291) |
| WB (×109/μL) | 6.7 (5.4–7.7) |
| PT (sec) | 11.5 (10.8–12.2) |
| INR | 1 (0.9–1.1) |
| IgG (mg/dL) | 1261 (1015–1484) |
| Variables | Responders (N = 110) | Non-Responders (N = 26) | p Value |
|---|---|---|---|
| Laboratory values after 12 months of UDCA initiation, median (IQR) | |||
| ALP (IU/L) | 130 (99–172) | 141 (96–230) | 0.001 |
| ALT (IU/L) | 16 (25–36) | 23 (17–35) | 0.004 |
| AST (IU/L) | 26 (21–34) | 30 (24–44) | 0.001 |
| TB (mg/dL) | 0.5 (0.3–0.6) | 1.2 (1.1–1.3) | <0.001 |
| ALB (mg/dL) | 4.3 (4.2–4.5) | 4.2 (3.8–4.5) | 0.001 |
| PL (×109/L) | 255 (213–284) | 189.5 (116–261) | 0.007 |
| PT (sec) | 11.2 (10.9–11.95) | 11.7 (11.2–12.5) | 0.821 |
| Treatment response, mean (SD) | |||
| Paris criteria, treatment response N (%) | 110 (80) | 26 (20) | 0.014 |
| GLOBE score, treatment response N (%) | 111 (82) | 25 (18) | 0.205 |
| GLOBE score, mean (SD) | −0.82 (1.02) | 0.55 (0.95) | <0.001 |
| UK-PBC Score | Baseline | 12 Months after UDCA Treatment | ||||
|---|---|---|---|---|---|---|
| Responder | Non-Responder | p Value | Responder | Non-Responder | p Value | |
| 5 y | 1.12 (4.22) | 3.29 (3.6) | 0.000 | 0.52 (0.43) | 2.44 (2.16) | <0.001 |
| 10 y | 3.17 (8.19) | 10.12 (10.03) | 0.000 | 1.7 (1.4) | 7.78 (6.5) | <0.001 |
| 15 y | 5.26 (9.47) | 17.27 (15.51) | <0.001 | 3.13 (2.55) | 13.65 (10.8) | <0.001 |
| Variable | Univariate | Variable | Multivariate | ||||
|---|---|---|---|---|---|---|---|
| OR | CI 95% | p Value | OR | CI 95% | p Value | ||
| Age | 1.02 | 0.98–1.05 | 0.305 | ALP | 1.01 | 1.00–1.03 | 0.001 |
| ALP | 1.02 | 1.00–1.05 | 0.027 | AST | 1.02 | 0.99–1.05 | 0.198 |
| ALT | 1.01 | 0.99–1.02 | 0.082 | ||||
| AST | 1.02 | 1.00–1.04 | 0.006 | TB | 3.39 | 0.98–10.3 | 0.549 |
| TB | 9.78 | 5.82–13.7 | <0.001 | ||||
| ALB | 0.14 | 0.04–0.51 | 0.002 | ALB | 2.73 | 0.50–15.14 | 0.250 |
| PL | 0.99 | 0.98–0.99 | 0.005 | PL | 1.00 | 0.99–1.01 | 0.480 |
| GLOBE score | 6.64 | 3.13–14.05 | <0.001 | GLOBE score | 9.30 | 3.21–24.9 | <0.001 |
| UK-PBC score | 19.3 | 5.98–62.5 | <0.001 | UK-PBC score | 32.97 | 7.44–45.97 | <0.001 |
Disclaimer/Publisher’s Note: The statements, opinions and data contained in all publications are solely those of the individual author(s) and contributor(s) and not of MDPI and/or the editor(s). MDPI and/or the editor(s) disclaim responsibility for any injury to people or property resulting from any ideas, methods, instructions or products referred to in the content. |
© 2024 by the authors. Licensee MDPI, Basel, Switzerland. This article is an open access article distributed under the terms and conditions of the Creative Commons Attribution (CC BY) license (https://creativecommons.org/licenses/by/4.0/).
Share and Cite
Marenco-Flores, A.; Rojas Amaris, N.; Kahan, T.; Sierra, L.; Barba Bernal, R.; Medina-Morales, E.; Goyes, D.; Patwardhan, V.; Bonder, A. The External Validation of GLOBE and UK-PBC Risk Scores for Predicting Ursodeoxycholic Acid Treatment Response in a Large U.S. Cohort of Primary Biliary Cholangitis Patients. J. Clin. Med. 2024, 13, 4497. https://doi.org/10.3390/jcm13154497
Marenco-Flores A, Rojas Amaris N, Kahan T, Sierra L, Barba Bernal R, Medina-Morales E, Goyes D, Patwardhan V, Bonder A. The External Validation of GLOBE and UK-PBC Risk Scores for Predicting Ursodeoxycholic Acid Treatment Response in a Large U.S. Cohort of Primary Biliary Cholangitis Patients. Journal of Clinical Medicine. 2024; 13(15):4497. https://doi.org/10.3390/jcm13154497
Chicago/Turabian StyleMarenco-Flores, Ana, Natalia Rojas Amaris, Tamara Kahan, Leandro Sierra, Romelia Barba Bernal, Esli Medina-Morales, Daniela Goyes, Vilas Patwardhan, and Alan Bonder. 2024. "The External Validation of GLOBE and UK-PBC Risk Scores for Predicting Ursodeoxycholic Acid Treatment Response in a Large U.S. Cohort of Primary Biliary Cholangitis Patients" Journal of Clinical Medicine 13, no. 15: 4497. https://doi.org/10.3390/jcm13154497
APA StyleMarenco-Flores, A., Rojas Amaris, N., Kahan, T., Sierra, L., Barba Bernal, R., Medina-Morales, E., Goyes, D., Patwardhan, V., & Bonder, A. (2024). The External Validation of GLOBE and UK-PBC Risk Scores for Predicting Ursodeoxycholic Acid Treatment Response in a Large U.S. Cohort of Primary Biliary Cholangitis Patients. Journal of Clinical Medicine, 13(15), 4497. https://doi.org/10.3390/jcm13154497

