Effects of Robotic Postural Stand Training with Epidural Stimulation on Sitting Postural Control in Individuals with Spinal Cord Injury: A Pilot Study
Abstract
1. Introduction
2. Materials and Methods
2.1. Participants
2.2. Spinal Cord Epidural Stimulation Implant and Parameters
2.3. Experimental Protocol
2.3.1. Steady Sitting Assessment
2.3.2. Self-Initiated Sitting Trunk Movements
2.3.3. Neuromuscular Recovery Scale
2.4. Kinematic Data Acquisition and Analysis
2.5. Robotic Postural Stand Training
2.6. Statistical Analysis
3. Results
3.1. Steady Sitting Postural Control
3.1.1. Self-Initiated Trunk Movements
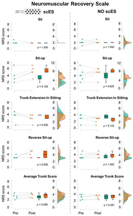
3.1.2. Neuromuscular Recovery Scale
4. Discussion
4.1. Task Specificity in Training-Induced Neural Plasticity for Motor Recovery
4.2. Posture Specificity as a Conceivable Determinant of Training-Induced Neural Plasticity
4.3. Limitations
4.4. Conclusions
Supplementary Materials
Author Contributions
Funding
Institutional Review Board Statement
Informed Consent Statement
Data Availability Statement
Acknowledgments
Conflicts of Interest
References
- Minkel, J.L. Seating and mobility considerations for people with spinal cord injury. Phys. Ther. 2000, 80, 701–709. [Google Scholar] [CrossRef]
- Lanzetta, D.; Cattaneo, D.; Pellegatta, D.; Cardini, R. Trunk control in unstable sitting posture during functional activities in healthy subjects and patients with multiple sclerosis. Arch. Phys. Med. Rehabil. 2004, 85, 279–283. [Google Scholar] [CrossRef]
- Milosevic, M.; Masani, K.; Kuipers, M.J.; Rahouni, H.; Verrier, M.C.; McConville, K.M.; Popovic, M.R. Trunk control impairment is responsible for postural instability during quiet sitting in individuals with cervical spinal cord injury. Clin. Biomech. 2015, 30, 507–512. [Google Scholar] [CrossRef]
- Rath, M.; Vette, A.H.; Ramasubramaniam, S.; Li, K.; Burdick, J.; Edgerton, V.R.; Gerasimenko, Y.P.; Sayenko, D.G. Trunk Stability Enabled by Noninvasive Spinal Electrical Stimulation after Spinal Cord Injury. J. Neurotrauma 2018, 35, 2540–2553. [Google Scholar] [CrossRef]
- Cloud, B.A.; Zhao, K.D.; Ellingson, A.M.; Nassr, A.; Windebank, A.J.; An, K.N. Increased Seat Dump Angle in a Manual Wheelchair Is Associated with Changes in Thoracolumbar Lordosis and Scapular Kinematics during Propulsion. Arch. Phys. Med. Rehabil. 2017, 98, 2021–2027.e2. [Google Scholar] [CrossRef]
- Crawford, A.; Armstrong, K.; Loparo, K.; Audu, M.; Triolo, R. Detecting destabilizing wheelchair conditions for maintaining seated posture. Disabil. Rehabil. Assist. Technol. 2018, 13, 178–185. [Google Scholar] [CrossRef]
- Desroches, G.; Gagnon, D.; Nadeau, S.; Popovic, M.R. Effects of sensorimotor trunk impairments on trunk and upper limb joint kinematics and kinetics during sitting pivot transfers in individuals with a spinal cord injury. Clin. Biomech. 2013, 28, 1–9. [Google Scholar] [CrossRef] [PubMed]
- Hagen, E.M.; Eide, G.E.; Rekand, T.; Gilhus, N.E.; Gronning, M. A 50-year follow-up of the incidence of traumatic spinal cord injuries in Western Norway. Spinal Cord 2010, 48, 313–318. [Google Scholar] [CrossRef]
- Chen, C.L.; Yeung, K.T.; Bih, L.I.; Wang, C.H.; Chen, M.I.; Chien, J.C. The relationship between sitting stability and functional performance in patients with paraplegia. Arch. Phys. Med. Rehabil. 2003, 84, 1276–1281. [Google Scholar] [CrossRef]
- Gill, M.; Linde, M.; Fautsch, K.; Hale, R.; Lopez, C.; Veith, D.; Calvert, J.; Beck, L.; Garlanger, K.; Edgerton, R.; et al. Epidural Electrical Stimulation of the Lumbosacral Spinal Cord Improves Trunk Stability During Seated Reaching in Two Humans with Severe Thoracic Spinal Cord Injury. Front. Syst. Neurosci. 2020, 14, 79. [Google Scholar] [CrossRef]
- Tharu, N.S.; Alam, M.; Ling, Y.T.; Wong, A.Y.; Zheng, Y.P. Combined Transcutaneous Electrical Spinal Cord Stimulation and Task-Specific Rehabilitation Improves Trunk and Sitting Functions in People with Chronic Tetraplegia. Biomedicines 2022, 11, 34. [Google Scholar] [CrossRef]
- Anderson, K.D. Targeting recovery: Priorities of the spinal cord-injured population. J. Neurotrauma 2004, 21, 1371–1383. [Google Scholar] [CrossRef]
- Rejc, E.; Angeli, C.A.; Bryant, N.; Harkema, S.J. Effects of Stand and Step Training with Epidural Stimulation on Motor Function for Standing in Chronic Complete Paraplegics. J. Neurotrauma 2017, 34, 1787–1802. [Google Scholar] [CrossRef]
- Angeli, C.A.; Boakye, M.; Morton, R.A.; Vogt, J.; Benton, K.; Chen, Y.; Ferreira, C.K.; Harkema, S.J. Recovery of Over-Ground Walking after Chronic Motor Complete Spinal Cord Injury. N. Engl. J. Med. 2018, 379, 1244–1250. [Google Scholar] [CrossRef]
- Angeli, C.; Rejc, E.; Boakye, M.; Herrity, A.; Mesbah, S.; Hubscher, C.; Forrest, G.; Harkema, S. Targeted Selection of Stimulation Parameters for Restoration of Motor and Autonomic Function in Individuals with Spinal Cord Injury. Neuromodulation Technol. Neural Interface 2024, 27, 645–660. [Google Scholar] [CrossRef]
- Rowald, A.; Komi, S.; Demesmaeker, R.; Baaklini, E.; Hernandez-Charpak, S.D.; Paoles, E.; Montanaro, H.; Cassara, A.; Becce, F.; Lloyd, B.; et al. Activity-dependent spinal cord neuromodulation rapidly restores trunk and leg motor functions after complete paralysis. Nat. Med. 2022, 28, 260–271. [Google Scholar] [CrossRef]
- Gill, M.L.; Grahn, P.J.; Calvert, J.S.; Linde, M.B.; Lavrov, I.A.; Strommen, J.A.; Beck, L.A.; Sayenko, D.G.; Van Straaten, M.G.; Drubach, D.I.; et al. Neuromodulation of lumbosacral spinal networks enables independent stepping after complete paraplegia. Nat. Med. 2018, 24, 1677–1682. [Google Scholar] [CrossRef]
- Joshi, K.; Rejc, E.; Ugiliweneza, B.; Harkema, S.J.; Angeli, C.A. Spinal Cord Epidural Stimulation Improves Lower Spine Sitting Posture Following Severe Cervical Spinal Cord Injury. Bioengineering 2023, 10, 1065. [Google Scholar] [CrossRef]
- Khan, M.; Luna, T.; Santamaria, V.; Omofuma, I.; Martelli, D.; Rejc, E.; Stein, J.; Harkema, S.; Agrawal, S. Stand Trainer with Applied Forces at the Pelvis and Trunk: Response to Perturbations and Assist-as-Needed Support. IEEE Trans. Neural Syst. Rehabil. Eng. 2019, 27, 1855–1864. [Google Scholar] [CrossRef]
- Bowersock, C.D.; Pisolkar, T.; Ai, X.; Zhu, C.; Angeli, C.A.; Harkema, S.J.; Forrest, G.; Agrawal, S.; Rejc, E. Standing Reactive Postural Responses of Lower Limbs with and Without Self-Balance Assistance in Individuals with Spinal Cord Injury Receiving Epidural Stimulation. J. Neurotrauma 2024, 41, 1133–1145. [Google Scholar] [CrossRef]
- Rejc, E.; Bowersock, C.; Pisolkar, T.; Omofuma, I.; Luna, T.; Khan, M.; Santamaria, V.; Ugiliweneza, B.; Angeli, C.A.; Forrest, G.F.; et al. Robotic Postural Training with Epidural Stimulation for the Recovery of Upright Postural Control in Individuals with Motor Complete Spinal Cord Injury: A Pilot Study. Neurotrauma Rep. 2024, 5, 277–292. [Google Scholar] [CrossRef]
- Harkema, S.; Gerasimenko, Y.; Hodes, J.; Burdick, J.; Angeli, C.; Chen, Y.; Ferreira, C.; Willhite, A.; Rejc, E.; Grossman, R.G.; et al. Effect of epidural stimulation of the lumbosacral spinal cord on voluntary movement, standing, and assisted stepping after motor complete paraplegia: A case study. Lancet 2011, 377, 1938–1947. [Google Scholar] [CrossRef]
- Ibáñez, J.; Angeli, C.A.; Harkema, S.J.; Farina, D.; Rejc, E. Recruitment order of motor neurons promoted by epidural stimulation in individuals with spinal cord injury. J. Appl. Physiol. 2021, 131, 1100–1110. [Google Scholar] [CrossRef]
- Tester, N.J.; Lorenz, D.J.; Suter, S.P.; Buehner, J.J.; Falanga, D.; Watson, E.; Velozo, C.A.; Behrman, A.L.; Michele Basso, D. Responsiveness of the Neuromuscular Recovery Scale during Outpatient Activity-Dependent Rehabilitation for Spinal Cord Injury. Neurorehabilit. Neural Repair 2016, 30, 528–538. [Google Scholar] [CrossRef]
- Velozo, C.; Moorhouse, M.; Ardolino, E.; Lorenz, D.; Suter, S.; Basso, D.M.; Behrman, A.L. Validity of the Neuromuscular Recovery Scale: A Measurement Model Approach. Arch. Phys. Med. Rehabil. 2015, 96, 1385–1396. [Google Scholar] [CrossRef]
- Harkema, S.; Shogren, C.; Ardolino, E.; Lorenz, D. Assessment of functional improvement without compensation for human spinal cord injury: Extending the Neuromuscular Recovery Scale to the upper extremities. J. Neurotrauma 2016, 33, 2181–2190. [Google Scholar] [CrossRef]
- Lafond, D.; Corriveau, H.; Prince, F. Postural control mechanisms during quiet standing in patients with diabetic sensory neuropathy. Diabetes Care 2004, 27, 173–178. [Google Scholar] [CrossRef]
- Paillard, T.; Noé, F. Techniques and Methods for Testing the Postural Function in Healthy and Pathological Subjects. BioMed Res. Int. 2015, 2015, 891390. [Google Scholar] [CrossRef]
- Hunt, C.M.; Widener, G.; Allen, D.D. Variability in postural control with and without balance-based torso- weighting in people with multiple sclerosis and healthy controls. Phys. Ther. 2014, 94, 1489–1498. [Google Scholar] [CrossRef][Green Version]
- Sullivan, G.M.; Feinn, R. Using Effect Size-or Why the P Value Is Not Enough. J. Grad. Med. Educ. 2012, 4, 279–282. [Google Scholar] [CrossRef]
- Silverman, B.W. Density estimation for statistics and data analysis. In Monographs on Statistics and Applied Probability; Chapman and Hall: London, UK, 1986. [Google Scholar]
- Edgerton, V.R.; Tillakaratne, N.J.; Bigbee, A.J.; de Leon, R.D.; Roy, R.R. Plasticity of the spinal neural circuitry after injury. Annu. Rev. Neurosci. 2004, 27, 145–167. [Google Scholar] [CrossRef] [PubMed]
- Kaiser, A.; Chan, K.; Pakosh, M.; Musselman, K.E. Characteristics of activity-based therapy interventions for people living with spinal cord injury or disease across the continuum of care: A scoping review protocol. BMJ Open 2020, 10, e040014. [Google Scholar] [CrossRef]
- Sadowsky, C.L.; McDonald, J.W. Activity-based restorative therapies: Concepts and applications in spinal cord injury-related neurorehabilitation. Dev. Disabil. Res. Rev. 2009, 15, 112–116. [Google Scholar] [CrossRef]
- Behrman, A.L.; Bowden, M.G.; Nair, P.M. Neuroplasticity after spinal cord injury and training: An emerging paradigm shift in rehabilitation and walking recovery. Phys. Ther. 2006, 86, 1406–1425. [Google Scholar] [CrossRef]
- Hodgson, J.A.; Roy, R.R.; de Leon, R.D.; Dobkin, B.H.; Edgerton, V.R. Can the mammalian lumbar spinal cord learn a motor task? Med. Sci. Sport. Exerc. 1994, 26, 1491–1497. [Google Scholar] [CrossRef]
- Bigbee, A.J.; Crown, E.D.; Ferguson, A.R.; Roy, R.R.; Tillakaratne, N.J.; Grau, J.W.; Edgerton, V.R. Two chronic motor training paradigms differentially influence acute instrumental learning in spinally transected rats. Behav. Brain Res. 2007, 180, 95–101. [Google Scholar] [CrossRef]
- Cai, L.L.; Fong, A.J.; Otoshi, C.K.; Liang, Y.; Burdick, J.W.; Roy, R.R.; Edgerton, V.R. Implications of assist-as-needed robotic step training after a complete spinal cord injury on intrinsic strategies of motor learning. J. Neurosci. 2006, 26, 10564–10568. [Google Scholar] [CrossRef] [PubMed]
- Shah, P.K.; Gerasimenko, Y.; Shyu, A.; Lavrov, I.; Zhong, H.; Roy, R.R.; Edgerton, V.R. Variability in step training enhances locomotor recovery after a spinal cord injury. Eur. J. Neurosci. 2012, 36, 2054–2062. [Google Scholar] [CrossRef]
- Guo, Z.; Ye, J.; Zhang, S.; Xu, L.; Chen, G.; Guan, X.; Li, Y.; Zhang, Z. Effects of Individualized Gait Rehabilitation Robotics for Gait Training on Hemiplegic Patients: Before-After Study in the Same Person. Front. Neurorobotics 2021, 15, 817446. [Google Scholar] [CrossRef]
- Teodoro, J.; Fernandes, S.; Castro, C.; Fernandes, J.B. Current Trends in Gait Rehabilitation for Stroke Survivors: A Scoping Review of Randomized Controlled Trials. J. Clin. Med. 2024, 13, 1358. [Google Scholar] [CrossRef]
- Roy, R.; Harkema, S.; Edgerton, V. Basic concepts of activity-based interventions for improved recovery of motor function after spinal cord injury. Arch. Phys. Med. Rehabil. 2012, 93, 1487–1497. [Google Scholar] [CrossRef] [PubMed]
- Edgerton, V.R.; Roy, R.R. Activity-dependent plasticity of spinal locomotion: Implications for sensory processing. Exerc. Sport Sci. Rev. 2009, 37, 171–178. [Google Scholar] [CrossRef]
- Grillner, S. Neurobiological bases of rhythmic motor acts in vertebrates. Science 1985, 228, 143–149. [Google Scholar] [CrossRef] [PubMed]
- Alm, M.; Gutierrez, E.; Hultling, C.; Saraste, H. Clinical evaluation of seating in persons with complete thoracic spinal cord injury. Spinal Cord 2003, 41, 563–571. [Google Scholar] [CrossRef] [PubMed]
- Floyd, W.F.; Silver, P.H. The function of the erectores spinae muscles in certain movements and postures in man. J. Physiol. 1955, 129, 184–203. [Google Scholar] [CrossRef]
- Angeli, C.; Wagers, S.; Harkema, S.; Rejc, E. Sensory Information Modulates Voluntary Movement in an Individual with a Clinically Motor- and Sensory-Complete Spinal Cord Injury: A Case Report. J. Clin. Med. 2023, 12, 6875. [Google Scholar] [CrossRef]
- Tolle, H.; Rapacz, A.; Weintraub, B.; Shogren, C.; Harkema, S.J.; Gibson, J.L. Establishing the NeuroRecovery Network Community Fitness and Wellness facilities: Multi-site fitness facilities provide activity-based interventions and assessments for evidence-based functional gains in neurologic disorders. Disabil. Rehabil. 2018, 40, 3086–3093. [Google Scholar] [CrossRef]





| Pub ID | Age (Yrs) | Sex | Time since Injury (Yrs) | Level of Injury | AIS | Time since scES Implant (Yrs) | Sitting Trunk Practice Time (Hrs) |
|---|---|---|---|---|---|---|---|
| A96 | 29 | F | 5.3 | C4 | A | 1.7 | 268 |
| A101 | 33 | M | 4.2 | C3 | A | 1.6 | 260 |
| A82 | 37 | M | 8.8 | C4 | A | 1.2 | 601 |
| B45 | 36 | M | 9.3 | C7 | B | 0.3 | 3 |
| B07 | 35 | M | 14.4 | T2 | B | 11.0 | - |
| B23 | 38 | M | 9.4 | C4 | B | 6.1 | 25 |
Disclaimer/Publisher’s Note: The statements, opinions and data contained in all publications are solely those of the individual author(s) and contributor(s) and not of MDPI and/or the editor(s). MDPI and/or the editor(s) disclaim responsibility for any injury to people or property resulting from any ideas, methods, instructions or products referred to in the content. |
© 2024 by the authors. Licensee MDPI, Basel, Switzerland. This article is an open access article distributed under the terms and conditions of the Creative Commons Attribution (CC BY) license (https://creativecommons.org/licenses/by/4.0/).
Share and Cite
Rejc, E.; Zaccaron, S.; Bowersock, C.; Pisolkar, T.; Ugiliweneza, B.; Forrest, G.F.; Agrawal, S.; Harkema, S.J.; Angeli, C.A. Effects of Robotic Postural Stand Training with Epidural Stimulation on Sitting Postural Control in Individuals with Spinal Cord Injury: A Pilot Study. J. Clin. Med. 2024, 13, 4309. https://doi.org/10.3390/jcm13154309
Rejc E, Zaccaron S, Bowersock C, Pisolkar T, Ugiliweneza B, Forrest GF, Agrawal S, Harkema SJ, Angeli CA. Effects of Robotic Postural Stand Training with Epidural Stimulation on Sitting Postural Control in Individuals with Spinal Cord Injury: A Pilot Study. Journal of Clinical Medicine. 2024; 13(15):4309. https://doi.org/10.3390/jcm13154309
Chicago/Turabian StyleRejc, Enrico, Simone Zaccaron, Collin Bowersock, Tanvi Pisolkar, Beatrice Ugiliweneza, Gail F. Forrest, Sunil Agrawal, Susan J. Harkema, and Claudia A. Angeli. 2024. "Effects of Robotic Postural Stand Training with Epidural Stimulation on Sitting Postural Control in Individuals with Spinal Cord Injury: A Pilot Study" Journal of Clinical Medicine 13, no. 15: 4309. https://doi.org/10.3390/jcm13154309
APA StyleRejc, E., Zaccaron, S., Bowersock, C., Pisolkar, T., Ugiliweneza, B., Forrest, G. F., Agrawal, S., Harkema, S. J., & Angeli, C. A. (2024). Effects of Robotic Postural Stand Training with Epidural Stimulation on Sitting Postural Control in Individuals with Spinal Cord Injury: A Pilot Study. Journal of Clinical Medicine, 13(15), 4309. https://doi.org/10.3390/jcm13154309

