Gestational Age, Infection, and Suboptimal Maternal Prepregnancy BMI Independently Associate with Placental Histopathology in a Cohort of Pregnancies without Major Maternal Comorbidities
Abstract
1. Introduction
2. Materials and Methods
2.1. Study Population
2.2. Maternal and Infant Characteristic Data Collection
2.3. Placental Collection and Processing
2.4. Placental Morphometry
2.5. Placental Maturity
2.6. Statistical Analyses
2.6.1. Univariate Analyses
2.6.2. Multivariable Analyses
3. Results
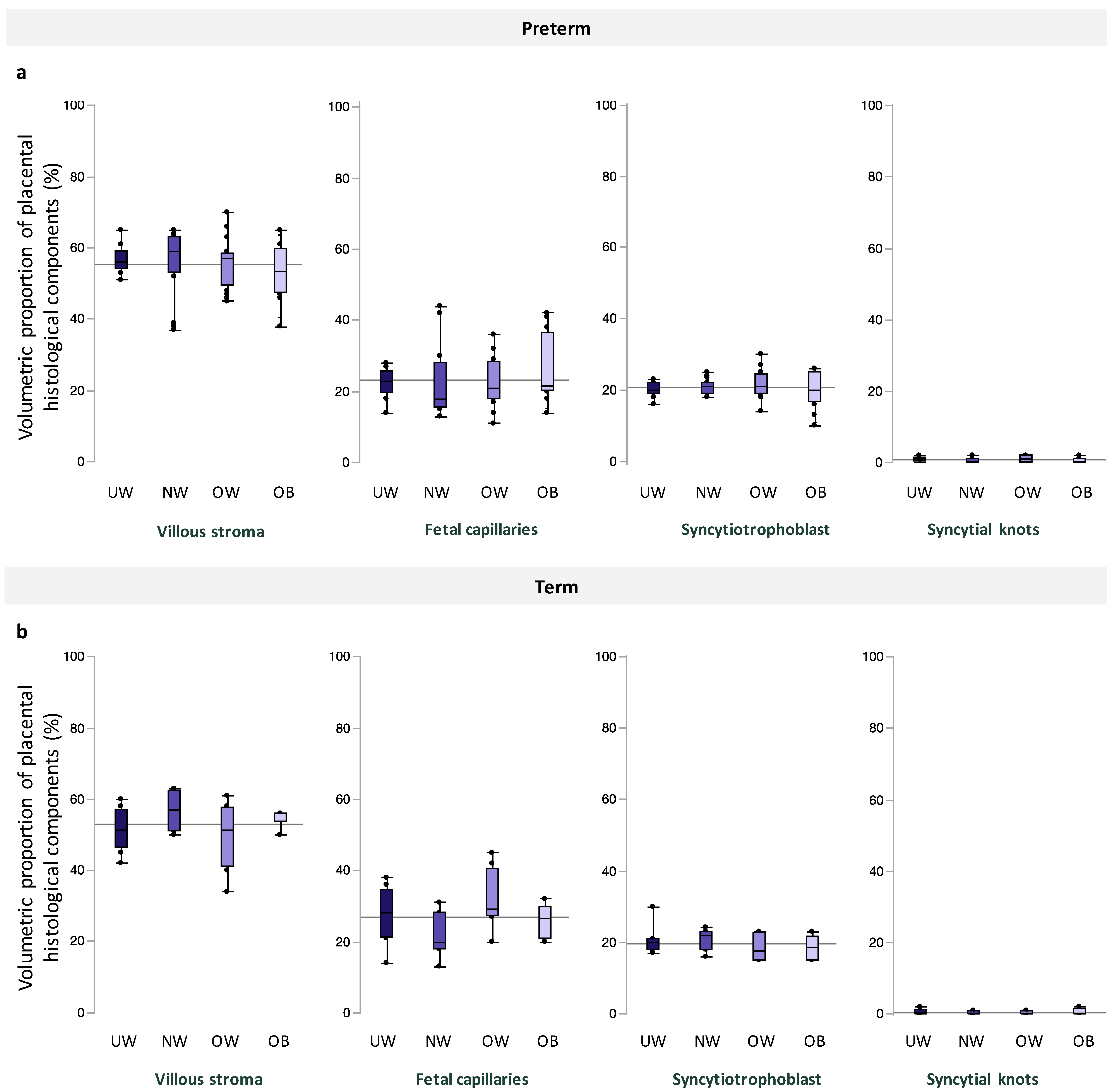
3.1. Maternal BMI Has Limited Effect on Placental Maturity or Morphometry
3.2. Maternal BMI Has Limited Effect on Birth Outcomes
3.3. Gestational Age and Infection Status Associate with Altered Placental Maturity and Morphometry
3.4. Preterm Pregnancies with Chorioamnionitis Associate with Decreased Infant Apgar Scores
3.5. Placental Maturity and Chorangiosis Associate with Placental Morphometry
4. Discussion
5. Conclusions
Supplementary Materials
Author Contributions
Funding
Institutional Review Board Statement
Informed Consent Statement
Data Availability Statement
Acknowledgments
Conflicts of Interest
References
- Heslehurst, N.; Ells, L.; Simpson, H.; Batterham, A.; Wilkinson, J.; Summerbell, C. Trends in maternal obesity incidence rates, demographic predictors, and health inequalities in 36,821 women over a 15-year period. BJOG Int. J. Obstet. Gynaecol. 2007, 114, 187–194. [Google Scholar] [CrossRef]
- Black, R.e.; Victora, C.g.; Walker, S.P.; Bhutta, Z.A.; Christian, P.; de Onis, M.; Ezzati, M.; Grantham-McGregor, S.; Katz, J.; Martorell, R.; et al. Maternal and child undernutrition and overweight in low-income and middle-income countries. Lancet 2013, 382, 427–451. [Google Scholar] [CrossRef]
- Girsen, A.; Mayo, J.; Carmichael, S.; Phibbs, C.; Shachar, B.; Stevenson, D.; Lyell, D.; Shaw, G.; Gould, J.; the March of Dimes Prematurity Research Center at Stanford University School of Medicine. Women’s prepregnancy underweight as a risk factor for preterm birth: A retrospective study. BJOG Int. J. Obstet. Gynaecol. 2016, 123, 2001–2007. [Google Scholar] [CrossRef] [PubMed]
- Sipola-Leppanen, M.; Vaarasmaki, M.; Tikanmaki, M.; Matinolli, H.-M.; Miettola, S.; Hovi, P.; Wehkalampi, K.; Ruokonen, A.; Sundvall, J.; Pouta, A.; et al. Cardiometabolic risk factors in young adults who were born preterm. Am. J. Epidemiol. 2015, 181, 861–873. [Google Scholar] [CrossRef]
- Ream, M.A.; Lehwald, L. Neurologic Consequences of Preterm Birth. Curr. Neurol. Neurosci. Rep. 2018, 18, 48. [Google Scholar] [CrossRef] [PubMed]
- Johnson, S.; Marlow, N. Early and long-term outcome of infants born extremely preterm. Arch. Dis. Child. 2017, 102, 97–102. [Google Scholar] [CrossRef]
- Huang, L.; Liu, J.; Feng, L.; Chen, Y.; Zhang, J.; Wang, W. Maternal prepregnancy obesity is associated with higher risk of placental pathological lesions. Placenta 2014, 35, 563–569. [Google Scholar] [CrossRef] [PubMed]
- Dimasuay, K.G.; Boeuf, P.; Powell, T.L.; Jansson, T. Placental Responses to Changes in the Maternal Environment Determine Fetal Growth. Front. Physiol. 2016, 7, 12. [Google Scholar] [CrossRef]
- Kingdom, J.; Huppertz, B.; Seaward, G.; Kaufmann, P. Development of the placental villous tree and its consequences for fetal growth. Eur. J. Obstet. Gynecol. Reprod. Biol. 2000, 92, 35–43. [Google Scholar] [CrossRef]
- Wallace, J.; Horgan, G.; Bhattacharya, S. Placental weight and efficiency in relation to maternal body mass index and the risk of pregnancy complications in women delivering singleton babies. Placenta 2012, 33, 611–618. [Google Scholar] [CrossRef]
- Meng, Q.; Shao, L.; Luo, X.; Mu, Y.; Xu, W.; Gao, C.; Gao, L.; Liu, J.; Cui, Y. Ultrastructure of Placenta of Gravidas with Gestational Diabetes Mellitus. Obstet. Gynecol. Int. 2015, 2015, 1–9. [Google Scholar] [CrossRef] [PubMed]
- Evers, I. Placental pathology in women with type 1 diabetes and in a control group with normal and large-for-gestational-age infants. Placenta 2003, 24, 819–825. [Google Scholar] [CrossRef] [PubMed]
- Sirico, A.; Rizzo, G.; Maruotti, G.M.; Aiello, E.; Morlando, M.; Arduini, D.; Martinelli, P. Does fetal macrosomia affect umbilical artery Doppler velocity waveforms in pregnancies complicated by gestational diabetes? J. Matern.-Fetal Neonatal Med. 2016, 29, 3266–3270. [Google Scholar] [CrossRef] [PubMed]
- Schulz, L.C.; Schlitt, J.M.; Caesar, G.; Pennington, K.A. Leptin and the placental response to maternal food restriction during early pregnancy in mice. Biol. Reprod. 2012, 87, 120. [Google Scholar] [CrossRef] [PubMed]
- Castellucci, M.; Schepe, M.; Scheffen, I.; Celona, A.; Kaufmann, P. The development of the human placental villous tree. Anat. Embryol. 1990, 181, 117–128. [Google Scholar] [CrossRef] [PubMed]
- Burton, G.J.; Tham, S.W. Formation of vasculo-syncytial membranes in the human placenta. J. Dev. Physiol. 1992, 18, 43–47. [Google Scholar] [PubMed]
- Loukeris, K.; Sela, R.; Baergen, R.N.; Loukeris, R.S.K.; Stark, M.W.; Clark, L.; Craver, R.D. Syncytial knots as a reflection of placental maturity: Reference values for 20 to 40 weeks' gestational age. Pediatr. Dev. Pathol. 2010, 13, 305–309. [Google Scholar] [CrossRef] [PubMed]
- Chisholm, K.M.; E Norton, M.; A Penn, A.; Heerema-McKenney, A. Classification of Preterm Birth with Placental Correlates. Pediatr. Dev. Pathol. 2018, 21, 548–560. [Google Scholar] [CrossRef]
- Morgan, T.K.; Tolosa, J.E.; Mele, L.; Wapner, R.J.; Spong, C.Y.; Sorokin, Y.; Dudley, D.J.; Peaceman, A.M.; Mercer, B.M.; Thorp, J.M.; et al. Placental villous hypermaturation is associated with idiopathic preterm birth. J. Matern. -Fetal Neonatal Med. 2012, 26, 647–653. (In English) [Google Scholar] [CrossRef]
- Roberts, D.J.; Post, M.D. The placenta in pre-eclampsia and intrauterine growth restriction. J. Clin. Pathol. 2008, 61, 1254–1260. [Google Scholar] [CrossRef]
- Boyle, A.K.; Rinaldi, S.F.; Norman, J.E.; Stock, S.J. Preterm birth: Inflammation, fetal injury and treatment strategies. J. Reprod. Immunol. 2017, 119, 62–66. [Google Scholar] [CrossRef] [PubMed]
- Bar, J.; Schreiber, L.; Saruhanov, E.; Ben-Haroush, A.; Golan, A.; Kovo, M. Placental histopathological findings in obese and nonobese women with complicated and uncomplicated pregnancies. Arch. Gynecol. Obstet. 2012, 286, 1343–1347. [Google Scholar] [CrossRef] [PubMed]
- Brouwers, L.; Franx, A.; E Vogelvang, T.; Houben, M.L.; van Rijn, B.B.; Nikkels, P.G. Association of Maternal Prepregnancy Body Mass Index With Placental Histopathological Characteristics in Uncomplicated Term Pregnancies. Pediatr. Dev. Pathol. 2019, 22, 45–52. [Google Scholar] [CrossRef] [PubMed]
- Body Mass Index—BMI. 19 March 2021. Available online: https://www.euro.who.int/en/health-topics/disease-prevention/nutrition/a-healthy-lifestyle/body-mass-index-bmi (accessed on 1 December 2021). (In English).
- Scott, H.; Martinelli, L.; Grynspan, D.; Bloise, E.; Connor, K. Preterm Birth Associates With Increased Placental Expression of MDR Transporters Irrespective of Prepregnancy BMI. J. Clin. Endocrinol. Metab. 2022, 107, 1140–1158. [Google Scholar] [CrossRef] [PubMed]
- Kramer, M.S.; Platt, R.W.; Wen, S.W.; Joseph, K.S.; Allen, A.; Abrahamowicz, M.; Blondel, B.; Breart, G.; for the Fetal/Infant Health Study Group of the Canadian Perinatal Surveillance System. A new and improved population-based Canadian reference for birth weight for gestational age. Pediatrics 2001, 108, e35. [Google Scholar] [CrossRef] [PubMed]
- Bloise, E.; Braga, J.R.S.; Andrade, C.B.V.; Imperio, G.E.; Martinelli, L.M.; Antunes, R.A.; Silva, K.R.; Nunes, C.B.; Cobellis, L.; Bloise, F.F.; et al. Altered Umbilical Cord Blood Nutrient Levels, Placental Cell Turnover and Transporter Expression in Human Term Pregnancies Conceived by Intracytoplasmic Sperm Injection (ICSI). Nutrients 2021, 13, 2587. [Google Scholar] [CrossRef] [PubMed]
- Samson, J.; Mari, G.; Dick, E.; Hubbard, G.; Ferry, R.; Schlabritz-Loutsevitch, N. The morphometry of materno-fetal oxygen exchange barrier in a baboon model of obesity. Placenta 2011, 32, 845–851. [Google Scholar] [CrossRef] [PubMed]
- Jauniaux, E.; Burton, G.J.; Hustin, J.; Moscoso, G.J. Development of the early human placenta: A morphometric study. Placenta 1991, 12, 269–276. [Google Scholar] [CrossRef] [PubMed]
- Martinelli, L.M.; Reginatto, M.W.; Fontes, K.N.; Andrade, C.B.V.; Monteiro, V.R.S.; Gomes, H.R.; Almeida, F.R.C.L.; Bloise, F.F.; Matthews, S.G.; Ortiga-Carvalho, T.M.; et al. Breast cancer resistance protein (Bcrp/Abcg2) is selectively modulated by lipopolysaccharide (LPS) in the mouse yolk sac. Reprod. Toxicol. 2020, 98, 82–91. [Google Scholar] [CrossRef]
- Martinelli, L.M.; Fontes, K.N.; Reginatto, M.W.; Andrade, C.B.V.; Monteiro, V.R.S.; Gomes, H.R.; Silva-Filho, J.L.; Pinheiro, A.A.S.; Vago, A.R.; Almeida, F.R.C.L.; et al. Malaria in pregnancy regulates P-glycoprotein (P-gp/Abcb1a) and ABCA1 efflux transporters in the Mouse Visceral Yolk Sac. J. Cell. Mol. Med. 2020, 24, 10636–10647. [Google Scholar] [CrossRef]
- Khong, T.Y.; Mooney, E.E.; Ariel, I.; Balmus, N.C.M.; Boyd, T.K.; Brundler, M.-A.; Derricott, H.; Evans, M.J.; Faye-Petersen, O.M.; Gillan, J.E.; et al. Sampling and Definitions of Placental Lesions: Amsterdam Placental Workshop Group Consensus Statement. Arch. Pathol. Lab. Med. 2016, 140, 698–713. [Google Scholar] [CrossRef] [PubMed]
- Vangrieken, P.; Vanterpool, S.F.; van Schooten, F.J.; Al-Nasiry, S.; Andriessen, P.; Degreef, E.; Alfer, J.; Kramer, B.W.; von Rango, U. Histological villous maturation in placentas of complicated pregnancies. Histol. Histopathol. 2020, 35, 849–862. [Google Scholar] [CrossRef] [PubMed]
- Clifton, V.L. Review: Sex and the human placenta: Mediating differential strategies of fetal growth and survival. Placenta 2010, 31, S33–S39. [Google Scholar] [CrossRef] [PubMed]
- Sirico, A.; Rossi, E.D.; Degennaro, V.A.; Arena, V.; Rizzi, A.; Tartaglione, L.; Di Leo, M.; Pitocco, D.; Lanzone, A. Placental diabesity: Placental VEGF and CD31 expression according to pregestational BMI and gestational weight gain in women with gestational diabetes. Arch. Gynecol. Obstet. 2022, 307, 1823–1831. [Google Scholar] [CrossRef] [PubMed]
- Ukah, U.V.; Bayrampour, H.; Sabr, Y.; Razaz, N.; Chan, W.-S.; Lim, K.I.; Lisonkova, S. Association between gestational weight gain and severe adverse birth outcomes in Washington State, US: A population-based retrospective cohort study, 2004–2013. PLOS Med. 2019, 16, e1003009. [Google Scholar] [CrossRef] [PubMed]
- Jacques, S.M.; Qureshi, F. Chronic chorioamnionitis: A clinicopathologic and immunohistochemical study. Hum. Pathol. 1998, 29, 1457–1461. [Google Scholar] [CrossRef] [PubMed]
- Kramer, B.W.; Kaemmerer, U.; Kapp, M.; Herbst, D.; Marx, A.; Berg, D.; A Groneck, P.; Speer, C.P. Decreased expression of angiogenic factors in placentas with chorioamnionitis after preterm birth. Pediatr. Res. 2005, 58, 607–612. [Google Scholar] [CrossRef] [PubMed]
- Stanek, J. Comparison of placental pathology in preterm, late-preterm, near-term, and term births. Am. J. Obstet. Gynecol. 2014, 210, 234.e1–234.e6. [Google Scholar] [CrossRef] [PubMed]
- Zhu, M.; Du, M.; Nathanielsz, P.; Ford, S. Maternal obesity up-regulates inflammatory signaling pathways and enhances cytokine expression in the mid-gestation sheep placenta. Placenta 2010, 31, 387–391. [Google Scholar] [CrossRef]
- Bauer, S.; Pollheimer, J.; Hartmann, J.; Husslein, P.; Aplin, J.D.; Knöfler, M. Tumor necrosis factor-alpha inhibits trophoblast migration through elevation of plasminogen activator inhibitor-1 in first-trimester villous explant cultures. J. Clin. Endocrinol. Metab. 2004, 89, 812–822. [Google Scholar] [CrossRef]
- He, M.; Curran, P.; Raker, C.; Martin, S.; Larson, L.; Bourjeily, G. Placental findings associated with maternal obesity at early pregnancy. Pathol. Res. Pract. 2016, 212, 282–287. [Google Scholar] [CrossRef] [PubMed]
- Stanek, J. Placental pathology varies in hypertensive conditions of pregnancy. Virchows Arch. 2018, 472, 415–423. [Google Scholar] [CrossRef] [PubMed]
- Alves, P.; Malheiro, M.F.; Gomes, J.C.; Ferraz, T.; Montenegro, N. Risks of Maternal Obesity in Pregnancy: A Case-control Study in a Portuguese Obstetrical Population. Rev. Bras. Ginecol. Obstet. 2019, 41, 682–687. [Google Scholar] [CrossRef] [PubMed]
- Iacobellis, G.; Ribaudo, M.C.; Zappaterreno, A.; Iannucci, C.V.; Leonetti, F. Prevalence of uncomplicated obesity in an Italian obese population. Obes. Res. 2005, 13, 1116–1122. [Google Scholar] [CrossRef] [PubMed]
- Wildman, R.P.; Muntner, P.; Reynolds, K.; McGinn, A.P.; Rajpathak, S.; Wylie-Rosett, J.; Sowers, M.R. The obese without cardiometabolic risk factor clustering and the normal weight with cardiometabolic risk factor clustering: Prevalence and correlates of 2 phenotypes among the US population (NHANES 1999–2004). Arch. Intern. Med. 2008, 168, 1617–1624. [Google Scholar] [CrossRef] [PubMed]
- Burton, G.J.; Charnock-Jones, D.S.; Jauniaux, E. Regulation of vascular growth and function in the human placenta. Reproduction 2009, 138, 895–902. [Google Scholar] [CrossRef]
- Szpera-Gozdziewicz, A.; Breborowicz, G.H. Endothelial dysfunction in the pathogenesis of pre-eclampsia. Front. Biosci. 2014, 19, 734–746. [Google Scholar] [CrossRef] [PubMed]
- Christians, J.K.; Grynspan, D. Placental villous hypermaturation is associated with improved neonatal outcomes. Placenta 2019, 76, 1–5. [Google Scholar] [CrossRef] [PubMed]
- Mayhew, T. Fetoplacental angiogenesis during gestation is biphasic, longitudinal and occurs by proliferation and remodelling of vascular endothelial cells. Placenta 2002, 23, 742–750. [Google Scholar] [CrossRef]
- Gude, N.M.; Roberts, C.T.; Kalionis, B.; King, R.G. Growth and function of the normal human placenta. Thromb. Res. 2004, 114, 397–407. [Google Scholar] [CrossRef]
- Burton, G.; Woods, A.; Jauniaux, E.; Kingdom, J. Rheological and physiological consequences of conversion of the maternal spiral arteries for uteroplacental blood flow during human pregnancy. Placenta 2009, 30, 473–482. [Google Scholar] [CrossRef]
- Ogunyemi, D.; Murillo, M.; Jackson, U.; Hunter, N.; Alperson, B. The relationship between placental histopathology findings and perinatal outcome in preterm infants. J. Matern.-Fetal Neonatal Med. 2003, 13, 102–109. [Google Scholar] [CrossRef] [PubMed]
- Vinnars, M.; Papadogiannakis, N.; Nasiell, J.; Holmström, G.; Westgren, M. Placental pathology in relation to stillbirth and neonatal outcome in an extremely preterm population: A prospective cohort study. Acta Obstet. Gynecol. Scand. 2015, 94, 584–590. [Google Scholar] [CrossRef] [PubMed]
- van Vliet, E.O.; de Kieviet, J.F.; van der Voorn, J.P.; Been, J.V.; Oosterlaan, J.; van Elburg, R.M. Placental pathology and long-term neurodevelopment of very preterm infants. Am. J. Obstet. Gynecol. 2012, 206, 489.e1–489.e7. [Google Scholar] [CrossRef] [PubMed]
- Redline, R.W.; Minich, N.; Taylor, H.G.; Hack, M. Placental lesions as predictors of cerebral palsy and abnormal neurocognitive function at school age in extremely low birth weight infants. Pediatr. Dev. Pathol. 2007, 10, 282–292. [Google Scholar] [CrossRef] [PubMed]
- Benton, S.J.; Mery, E.E.; Grynspan, D.; Gaudet, L.M.; Smith, G.N.; Bainbridge, S.A. Placental Pathology as a Tool to Identify Women for Postpartum Cardiovascular Risk Screening following Preeclampsia: A Preliminary Investigation. J. Clin. Med. 2022, 11, 1576. (In English) [Google Scholar] [CrossRef]
- Brouwers, L.; Roest, A.J.v.d.M.; Savelkoul, C.; Vogelvang, T.E.; Lely, A.T.; Franx, A.; van Rijn, B.B. Recurrence of pre-eclampsia and the risk of future hypertension and cardiovascular disease: A systematic review and meta-analysis. BJOG Int. J. Obstet. Gynaecol. 2018, 125, 1642–1654. [Google Scholar] [CrossRef]
- Ying, W.; Catov, J.M.; Ouyang, P.; Tooher, J.; Thornton, C.; Makris, A.; Ogle, R.; Korda, A.; Hennessy, A.; Staff, A.C.; et al. Hypertensive Disorders of Pregnancy and Future Maternal Cardiovascular Risk. J. Am. Heart Assoc. 2018, 7, e009382. [Google Scholar] [CrossRef]




| Histopathological Characteristic | Definition | Scoring |
|---|---|---|
| Immature |
| [0 (absent) or 1 (present)] |
| Hypermature |
| [0 (absent) or 1 (present)] |
| Hypercapillarisation |
| [0 (absent) or 1 (present)] |
| Prepregnancy BMI | |||||
|---|---|---|---|---|---|
| UW | NW | OW | OB | p Value | |
| Infant characteristics | |||||
| Preterm pregnancies | (n = 12) | (n = 17) | (n = 18) | (n = 13) | |
| Sex (n [%]) | 0.47 | ||||
| Female | 5 (41.7) | 5 (29.4) | 10 (55.6) | 5 (38.5) | |
| Male | 7 (58.3) | 12 (70.59) | 8 (44.4) | 8 (61.5) | |
| Z-birthweight | −0.34 ± 0.94 A | −0.02 ± 0.71 AB | 0.20 ± 0.65 AB | 0.59 ± 1.09 B | 0.05 |
| Birthweight (g) | 1735 (1010, 2118) | 1820 (1005, 2176) | 1700 (960, 2685) | 1820 (1510, 2955) | 0.53 |
| Placental weight (g) | 410 (350, 490) | 400 (330, 530) | 448 (323, 690) | 480 (388, 670) | 0.21 |
| Birthweight (g): placental weight (g) | 4.39 ± 1.19 | 3.96 ± 1.23 | 3.73 ± 1.19 | 3.90 ± 1.00 | 0.52 |
| Apgar score | |||||
| 1 min | 8 (6.25, 8) | 8 (4.5, 9) | 8 (5, 9) | 8.5 (3.75, 9) | 0.93 |
| 5 min | 8.5 (8, 9) | 9 (8, 9) | 9 (8, 9) | 9 (8, 9) | 0.87 |
| 10 min a | 8 (8, 8) | 8 (2.75, 8.75) | 7 (7, 9) | 9 (5, 9) | 0.90 |
| Gestational age (weeks) | 32.1 (29, 34.2) | 31.3 (27, 34.7) | 31 (27.5, 34.8) | 33.3 (29.6, 35.2) | 0.81 |
| Term pregnancies | (n = 9) | (n = 8) | (n = 8) | (n = 11) | |
| Sex (n [%]) | 0.05 | ||||
| Female | 3 (33.3) | 2 (37.5) | 6 (66.7) | 9 (81.8) | |
| Male | 6 (66.7) | 5 (62.5) | 3 (33.3) | 2 (18.2) | |
| Z-birthweight | −0.31 (−0.78, 0.11) A | 0.02 (−0.49, 0.75) A | 0.14 (−0.27, 0.66) A | 0.62 (0.09, 2.28) A | 0.04 |
| Birthweight (g) | 3280 (3075, 3480) | 3500 (3230, 3820) | 3630 (3160, 3780) | 3550 (3310, 3940) | 0.13 |
| Placental weight (g) | 500 (465, 620) | 700 (563, 743) | 610 (550, 780) | 618 (570, 1000) | 0.09 |
| Birthweight (g): placental weight (g) | 6.11 ± 0.87 | 5.45 ± 1.00 | 5.46 ± 0.74 | 5.15 ± 1.35 | 0.25 |
| Apgar score (n [%]) | |||||
| 1 min | 9 (8, 9) | 9 (9, 9) | 9 (8.5, 9) | 9 (6.75, 9) | 0.47 |
| 5 min | 9 (9, 9) | 9 (9, 9) | 9 (9, 9) | 9 (8.75, 9) | 0.37 |
| 10 min a | - | - | 9 | 9 (9, 9) | 1.00 |
| Gestational age (weeks) | 39.3 ± 0.52 | 39.3 ± 1.05 | 39.8 ± 1.30 | 38.7 ± 0.88 | 0.12 |
| Model C | Model D | |||
|---|---|---|---|---|
| Volumetric Proportion of Placental Histological Components (%) | β (95% CI) | p-Value | aβ (95% CI) | p Value |
| Preterm (n = 56) | ||||
| Syncytiotrophoblast | −0.01 (−0.15, 0.12) | 0.80 | −0.05 (−0.19, 0.08) | 0.42 |
| Cytotrophoblast | 0.001 (−0.006, 0.008) | 0.74 | −0.002 (−0.008, 0.004) | 0.53 |
| Villous stroma | −0.19 (−0.48, 0.09) | 0.18 | −0.22 (−0.53, 0.08) | 0.16 |
| Fetal Capillaries | 0.21 (−0.11, 0.54) | 0.19 | 0.28 (−0.05, 0.63) | 0.09 |
| Syncytial knots | −0.008 (−0.04, 0.02) | 0.60 | −0.01 (−0.04, 0.02) | 0.52 |
| Term (n = 31) | ||||
| Syncytiotrophoblast | −0.11 (−0.29, 0.06) | 0.18 | −0.08 (−0.31, 0.1) | 0.42 |
| Cytotrophoblast | −0.006 (−0.02, 0.009) | 0.42 | −0.002 (−0.02, 0.02) | 0.82 |
| Villous stroma | 0.03 (−0.31, 0.38) | 0.81 | −0.07 (−0.52, 0.38) | 0.73 |
| Fetal Capillaries | 0.06 (−0.32, 0.45) | 0.74 | 0.14 (−0.37, 0.66) | 0.58 |
| Syncytial knots | −0.005 (−0.03, 0.02) | 0.74 | −0.002 (−0.04, 0.03) | 0.63 |
| Gestational Age and Infection Status | ||||
|---|---|---|---|---|
| Preterm Chorio (n = 29) | Preterm (n = 31) | Term (n = 36) | p Value | |
| Infant characteristics | ||||
| Sex (n [%]) | 0.37 | |||
| Female | 13 (44.8) | 12 (38.7) | 20 (55.6) | |
| Male | 16 (55.7) | 19 (61.3) | 16 (44.4) | |
| Z-birthweight | 0.02 (−0.34, 0.33) | 0.3 (−0.71, 0.89) | 0.14 (−0.49, 0.74) | 0.85 |
| Birthweight (g) | 1130 (950, 1700) A | 2340 (1810, 2710) B | 3485 (3230, 3672) C | <0.0001 |
| Placental weight (g) | 368 (303, 463) A | 500 (400, 650) B | 600 (543, 743) C | <0.0001 |
| Birthweight (g): placental weight (g) | 3.43 ± 1.04 A | 4.43 ± 1.05 B | 5.54 ± 1.05 C | <0.0001 |
| Apgar score | ||||
| 1 min | 8 (4, 8) A | 8.5 (6, 9) AB | 9 (8, 9) B | 0.0003 |
| 5 min | 8 (6, 9) A | 9 (8, 9) A | 9 (9, 9) B | 0.0001 |
| 10 min a | 7 (5, 8) A | 9 (8, 9) B | 9 (9, 9) B | 0.0048 |
| Gestational age (weeks) | 28.1 (26.6, 31.4) A | 34.7 (31.9, 35.6) B | 39.1 (38.6, 39.7) C | <0.0001 |
| Volumetric Proportion of Placental Histological Components (%) | Gestational Age at Birth | ||||
|---|---|---|---|---|---|
| Preterm with Chorioamnionitis (n = 27) | Preterm (n = 29) | Term (n = 31) | † p Value | † q Value | |
| Syncytiotrophoblast | 20 (19, 22) | 21 (19, 23.2) | 20 (16.5, 22.5) | 0.72 | 0.9 |
| Cytotrophoblast | 0 (0, 0) | 0 (0, 0) | 0 (0, 0) | 0.97 | 0.97 |
| Villous stroma | 58 (54, 63) | 55 (48, 58.6) | 55 (50, 57.5) | 0.02 | 0.1 |
| Fetal capillaries | 20 (17, 26) | 22 (18, 29.5) | 28 (20.5, 30.5) | 0.05 | 0.13 |
| Syncytial knots | 1 (0, 2) | 1 (0,1) | 0 (0, 1) | 0.15 | 0.25 |
Disclaimer/Publisher’s Note: The statements, opinions and data contained in all publications are solely those of the individual author(s) and contributor(s) and not of MDPI and/or the editor(s). MDPI and/or the editor(s) disclaim responsibility for any injury to people or property resulting from any ideas, methods, instructions or products referred to in the content. |
© 2024 by the authors. Licensee MDPI, Basel, Switzerland. This article is an open access article distributed under the terms and conditions of the Creative Commons Attribution (CC BY) license (https://creativecommons.org/licenses/by/4.0/).
Share and Cite
Duffley, E.; Grynspan, D.; Scott, H.; Lafrenière, A.; Borba Vieira de Andrade, C.; Bloise, E.; Connor, K.L. Gestational Age, Infection, and Suboptimal Maternal Prepregnancy BMI Independently Associate with Placental Histopathology in a Cohort of Pregnancies without Major Maternal Comorbidities. J. Clin. Med. 2024, 13, 3378. https://doi.org/10.3390/jcm13123378
Duffley E, Grynspan D, Scott H, Lafrenière A, Borba Vieira de Andrade C, Bloise E, Connor KL. Gestational Age, Infection, and Suboptimal Maternal Prepregnancy BMI Independently Associate with Placental Histopathology in a Cohort of Pregnancies without Major Maternal Comorbidities. Journal of Clinical Medicine. 2024; 13(12):3378. https://doi.org/10.3390/jcm13123378
Chicago/Turabian StyleDuffley, Eleanor, David Grynspan, Hailey Scott, Anthea Lafrenière, Cherley Borba Vieira de Andrade, Enrrico Bloise, and Kristin L. Connor. 2024. "Gestational Age, Infection, and Suboptimal Maternal Prepregnancy BMI Independently Associate with Placental Histopathology in a Cohort of Pregnancies without Major Maternal Comorbidities" Journal of Clinical Medicine 13, no. 12: 3378. https://doi.org/10.3390/jcm13123378
APA StyleDuffley, E., Grynspan, D., Scott, H., Lafrenière, A., Borba Vieira de Andrade, C., Bloise, E., & Connor, K. L. (2024). Gestational Age, Infection, and Suboptimal Maternal Prepregnancy BMI Independently Associate with Placental Histopathology in a Cohort of Pregnancies without Major Maternal Comorbidities. Journal of Clinical Medicine, 13(12), 3378. https://doi.org/10.3390/jcm13123378

