Rescue of Pap-Mas in Systemic JIA Using Janus Kinase Inhibitors, Case Report and Systematic Review
Abstract
1. Introduction
2. Materials and Methods
2.1. Patients
2.2. Review of the Literature
2.3. Cytokines Assessment
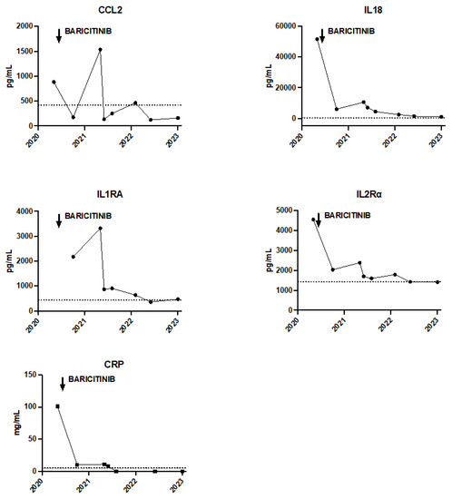
3. Results
3.1. Case Report
3.2. Literature Review
4. Discussion
Author Contributions
Funding
Institutional Review Board Statement
Informed Consent Statement
Data Availability Statement
Conflicts of Interest
References
- Cimaz, R. Systemic-onset juvenile idiopathic arthritis. Autoimmun. Rev. 2016, 15, 931–934. [Google Scholar] [CrossRef]
- Roszkiewicz, J.; Orczyk, K.; Smolewska, E. Tocilizumab in the treatment of systemic-onset juvenile idiopathic arthritis—Single-centre experience. Reumatologia 2018, 56, 279–284. [Google Scholar] [CrossRef]
- Schulert, G.S.; Yasin, S.; Carey, B.; Chalk, C.; Do, T.; Schapiro, A.H.; Husami, A.; Watts, A.; Brunner, H.I.; Huggins, J.; et al. Systemic Juvenile Idiopathic Arthritis-Associated Lung Disease: Characterization and Risk Factors. Arthritis Rheumatol. 2019, 71, 1943–1954. [Google Scholar] [CrossRef] [PubMed]
- Ravelli, A.; Grom, A.A.; Behrens, E.M.; Cron, R.Q. Macrophage activation syndrome as part of systemic juvenile idiopathic arthritis: Diagnosis, genetics, pathophysiology and treatment. Genes Immun. 2012, 13, 289–298. [Google Scholar] [CrossRef] [PubMed]
- Mellins, E.D.; Macaubas, C.; Grom, A.A. Pathogenesis of systemic juvenile idiopathic arthritis: Some answers, more questions. Nat. Rev. Rheumatol. 2011, 7, 416–426. [Google Scholar] [CrossRef] [PubMed]
- Shimizu, M. Macrophage activation syndrome in systemic juvenile idiopathic arthritis. Immunol. Med. 2021, 44, 237–245. [Google Scholar] [CrossRef]
- Schultz, R.; Mattila, J.; Gappa, M.; Verronen, P. Development of progressive pulmonary interstitial and intra-alveolar cholesterol granulomas (PICG) associated with therapy-resistant chronic systemic juvenile arthritis (CJA). Pediatr. Pulmonol. 2001, 32, 397–402. [Google Scholar] [CrossRef]
- Kimura, Y.; Weiss, J.E.; Haroldson, K.L.; Lee, T.; Punaro, M.; Oliveira, S.; Rabinovich, E.; Riebschleger, M.; Anton, J.; Blier, P.R.; et al. Pulmonary hypertension and other potentially fatal pulmonary complications in systemic juvenile idiopathic arthritis. Arthritis Care Res. 2013, 65, 745–752. [Google Scholar] [CrossRef]
- Rossi, G.; Cavazza, A.; Spagnolo, P.; Bellafiore, S.; Kuhn, E.; Carassai, P.; Caramanico, L.; Montanari, G.; Cappiello, G.; Andreani, A.; et al. The role of macrophages in interstitial lung diseases. Eur. Respir. Rev. 2017, 26, 170009. [Google Scholar] [CrossRef]
- Saper, V.E.; Chen, G.; Deutsch, G.; Guillerman, R.P.; Birgmeier, J.; Jagadeesh, K.; Canna, S.; Schulert, G.; Deterding, R.; Xu, J.; et al. Emergent high fatality lung disease in systemic juvenile arthritis. Ann. Rheum. Dis. 2019, 78, 1722–1731. [Google Scholar] [CrossRef]
- García-Peña, P.; Boixadera, H.; Barber, I.; Toran, N.; Lucaya, J.; Enríquez, G. Thoracic findings of systemic diseases at high-resolution CT in children. Radiographics 2011, 31, 465–482. [Google Scholar] [CrossRef] [PubMed]
- Verweyen, E.L.; Schulert, G.S. Interfering with interferons: Targeting the JAK-STAT pathway in complications of systemic juvenile idiopathic arthritis (SJIA). Rheumatology 2022, 61, 926–935. [Google Scholar] [CrossRef] [PubMed]
- De Jesus, A.A.; Hou, Y.; Brooks, S.; Malle, L.; Biancotto, A.; Huang, Y.; Calvo, K.R.; Marrero, B.; Moir, S.; Oler, A.J.; et al. Distinct interferon signatures and cytokine patterns define additional systemic autoinflammatory diseases. J. Clin. Investig. 2020, 130, 1669–1682. [Google Scholar] [CrossRef] [PubMed]
- Canna, S.W.; Schulert, G.S.; de Jesus, A.; Pickering, A.; Brunner, H.; Gadina, M.; Levine, S.; Goldbach-Mansky, R.; Boutelle, J.; Sinha, R.; et al. Proceedings from the 2nd Next Gen Therapies for Systemic Juvenile Idiopathic Arthritis and Macrophage Activation Syndrome symposium held on 3–4 October 2019. Pediatr. Rheumatol. Online J. 2020, 18 (Suppl. S1), 53. [Google Scholar] [CrossRef] [PubMed]
- Rood, J.E.; Rezk, A.; Pogoriler, J.; Finn, L.S.; Burnham, J.M.; Josephson, M.B.; Bar-Or, A.; Behrens, E.M.; Canna, S.W. Improvement of Refractory Systemic Juvenile Idiopathic Arthritis-Associated Lung Disease with Single-Agent Blockade of IL-1β and IL-18. J. Clin. Immunol. 2023, 43, 101–108. [Google Scholar] [CrossRef]
- Chen, G.; Deutsch, G.H.; Schulert, G.S.; Zheng, H.; Jang, S.; Trapnell, B.; Lee, P.Y.; Macaubas, C.; Ho, K.; Schneider, C.; et al. Identification of Distinct Inflammatory Programs and Biomarkers in Systemic Juvenile Idiopathic Arthritis and Related Lung Disease by Serum Proteome Analysis. Arthritis Rheumatol. 2022, 74, 1271–1283. [Google Scholar] [CrossRef]
- Richardson, A.E.; Warrier, K.; Vyas, H. Respiratory complications of the rheumatological diseases in childhood. Arch. Dis. Child. 2016, 101, 752–758. [Google Scholar] [CrossRef]
- Jakubovic, B.D.; Donovan, A.; Webster, P.M.; Shear, N.H. Methotrexate-Induced Pulmonary Toxicity. Can. Respir. J. 2013, 20, 153–155. [Google Scholar] [CrossRef]
- Klotsche, J.; Raab, A.; Niewerth, M.; Sengler, C.; Ganser, G.; Kallinich, T.; Niehues, T.; Hufnagel, M.; Thon, A.; Hospach, T.; et al. Outcome and Trends in Treatment of Systemic Juvenile Idiopathic Arthritis in the German National Pediatric Rheumatologic Database, 2000–2013. Arthritis Rheumatol. 2016, 68, 3023–3034. [Google Scholar] [CrossRef]
- Saper, V.E.; Ombrello, M.J.; Tremoulet, A.H.; Montero-Martin, G.; Prahalad, S.; Canna, S.; Shimizu, C.; Deutsch, G.; Tan, S.Y.; Remmers, E.F.; et al. Severe delayed hypersensitivity reactions to IL-1 and IL-6 inhibitors link to common HLA-DRB1*15 alleles. Ann. Rheum. Dis. 2022, 81, 406–415. [Google Scholar] [CrossRef]
- Shrivastava, G.; León-Juárez, M.; García-Cordero, J.; Meza-Sánchez, D.E.; Cedillo-Barrón, L. Inflammasomes and its importance in viral infections. Immunol. Res. 2016, 64, 1101–1117. [Google Scholar] [CrossRef] [PubMed]
- Uchida, K.; Beck, D.C.; Yamamoto, T.; Berclaz, P.Y.; Abe, S.; Staudt, M.K.; Carey, B.C.; Filippi, M.-D.; Wert, S.E.; Denson, L.A.; et al. GM-CSF autoantibodies and neutrophil dysfunction in pulmonary alveolar proteinosis. N. Engl. J. Med. 2007, 356, 567–579. [Google Scholar] [CrossRef] [PubMed]
- Huaux, F.; De Gussem, V.; Lebrun, A.; Yakoub, Y.; Palmai-Pallag, M.; Ibouraadaten, S.; Uwambayinema, F.; Lison, D. New interplay between interstitial and alveolar macrophages explains pulmonary alveolar proteinosis (PAP) induced by indium tin oxide particles. Arch. Toxicol. 2018, 92, 1349–1361. [Google Scholar] [CrossRef]
- Bracaglia, C.; de Graaf, K.; Marafon, D.P.; Guilhot, F.; Ferlin, W.; Prencipe, G.; Caiello, I.; Davì, S.; Schulert, G.; Ravelli, A.; et al. Elevated circulating levels of interferon-γ and interferon-γ-induced chemokines characterise patients with macrophage activation syndrome complicating systemic juvenile idiopathic arthritis. Ann. Rheum. Dis. 2017, 76, 166–172. [Google Scholar] [CrossRef] [PubMed]
- Yasuda, K.; Nakanishi, K.; Tsutsui, H. Interleukin-18 in Health and Disease. Int. J. Mol. Sci. 2019, 20, 649. [Google Scholar] [CrossRef]
- Wang, F.; Zhang, S.; Jeon, R.; Vuckovic, I.; Jiang, X.; Lerman, A.; Folmes, C.D.; Dzeja, P.D.; Herrmann, J. Interferon Gamma Induces Reversible Metabolic Reprogramming of M1 Macrophages to Sustain Cell Viability and Pro-Inflammatory Activity. EBioMedicine 2018, 30, 303–316. [Google Scholar] [CrossRef] [PubMed]
- Binstadt, B.A.; Nigrovic, P.A. The Conundrum of Lung Disease and Drug Hypersensitivity-like Reactions in Systemic Juvenile Idiopathic Arthritis. Arthritis Rheumatol. 2022, 74, 1122–1131. [Google Scholar] [CrossRef]
- Gabay, C.; Fautrel, B.; Rech, J.; Spertini, F.; Feist, E.; Kötter, I.; Hachulla, E.; Morel, J.; Schaeverbeke, T.; Hamidou, M.A.; et al. Open-label, multicentre, dose-escalating phase II clinical trial on the safety and efficacy of tadekinig alfa (IL-18BP) in adult-onset Still’s disease. Ann. Rheum. Dis. 2018, 77, 840–847. [Google Scholar] [CrossRef]
- Iriguchi, S.; Kikuchi, N.; Kaneko, S.; Noguchi, E.; Morishima, Y.; Matsuyama, M.; Yoh, K.; Takahashi, S.; Nakauchi, H.; Ishii, Y. T-cell-restricted T-bet overexpression induces aberrant hematopoiesis of myeloid cells and impairs function of macrophages in the lung. Blood 2015, 125, 370–382. [Google Scholar] [CrossRef]
- De Benedetti, F.; Grom, A.; Brogan, P.; Bracaglia, C.; Pardeo, M.; Marucci, G.; Eleftheriou, D.; Papadopoulou, C.; Quartier, P.; Anton, J.; et al. Op0193 efficacy and safety of emapalumab, an anti-interferon gamma monoclonal antibody, in patients with macrophage activation syndrome (mas) in systemic juvenile idiopathic arthritis (sjia) who had failed high-dose glucocorticoids. Ann. Rheum. Dis. 2022, 81, 128. [Google Scholar] [CrossRef]
- Schwartz, D.M.; Bonelli, M.; Gadina, M.; O'Shea, J.J. Type I/II cytokines, JAKs, and new strategies for treating autoimmune diseases. Nat. Rev. Rheumatol. 2016, 12, 25–36. [Google Scholar] [CrossRef]
- Bader-Meunier, B.; Hadchouel, A.; Berteloot, L.; Polivka, L.; Béziat, V.; Casanova, J.L.; Lévy, R. Effectiveness and safety of ruxolitinib for the treatment of refractory systemic idiopathic juvenile arthritis like associated with interstitial lung disease: A case report. Ann. Rheum. Dis. 2022, 81, e20. [Google Scholar] [CrossRef] [PubMed]
- Huang, Z.; Lee, P.Y.; Yao, X.; Zheng, S.; Li, T. Tofacitinib Treatment of Refractory Systemic Juvenile Idiopathic Arthritis. Pediatrics 2019, 143, e20182845. [Google Scholar] [CrossRef] [PubMed]
- Jørgensen, S.E.; Christiansen, M.; Høst, C.; Glerup, M.; Mahler, B.; Lausten, M.M.; Gad, H.H.; Hartmann, R.; Herlin, T.; Mogensen, T.H. Systemic juvenile idiopathic arthritis and recurrent macrophage activation syndrome due to a CASP1 variant causing inflammasome hyperactivation. Rheumatology 2020, 59, 3099–3105. [Google Scholar] [CrossRef] [PubMed]



| Source | Study Design n: Number PAP-sJIA | Frequency PAP-SJIA | Delayed Onset of PAP after the Start of sJIA | Risk Factors | Treatment | Median Follow-Up | Evolution |
|---|---|---|---|---|---|---|---|
| Schulert (2019) [3] | Prospective study n: 5 | 6.8% | Not available | Age < 2 years | Anti-IL-1 and anti-IL-6 biologic drugs | 12 months | 50% improvement associated with disease control |
| Tocilizumab reaction | |||||||
| Early disease onset MAS | |||||||
| IL-18 elevation | |||||||
| Saper (2019) [10] | Retrospective study n: 61 | 12.90% | Median time 18 months | Young age | Biological anti cytokine drugs | 19 months | Mortality 159/1000 person years |
| Anaphylaxis tocilizumab | |||||||
| Trisomy 21 | |||||||
| Onset MAS at the- beginning of the disease | |||||||
| De Jesus (2020) [13] | Prospective study n: 8 | No data | Variable between 6 and 24 months | IL-18 elevation | Anti-IL-1 biologic drugs Ciclosporin Tacrolimus Tofacitinib | 24 months | 25% death |
| IFN positive signature elevation | |||||||
| Elevated IgE | |||||||
| Chen (2022) [16] | Retrospective study n: 24 | No data | No data | IL-18 elevation | No data | No data | No data |
| ICAM5 elevation | |||||||
| MMP7 elevation | |||||||
| CCL11 elevation | |||||||
| Eotaxin1 elevation | |||||||
| Canna (2019) [14] | 3 cases reports n: 3 | No data | 12 months | Elevation IL-18 | JAK inhibitor Emapalumab | No data | No data |
| Age of onset sJIA < 2 years | |||||||
| MAS onset | |||||||
| Anaphylactic reaction biological drug | |||||||
| Kimura (2013) [8] | Retrospective study n: 5 | 1.28% | No data | MAS | DMARD blocking IL1- IL6- TNF alpha Corticoids Cyclophosphamide | No data | No data |
| Rood (2022) [15] | 1 case report n: 1 | No data | 6 years | IL-18 elevation | Anti IL1 biologic-drugs Methotrexate Cyclophosphamide Azathioprine MAS 825 (biological anti IL1B- anti IL18) | 40 weeks | Removal of pulmonary lesions Improvement of clinical signs and complete regression of the inflammatory syndrome |
| MAS |
Disclaimer/Publisher’s Note: The statements, opinions and data contained in all publications are solely those of the individual author(s) and contributor(s) and not of MDPI and/or the editor(s). MDPI and/or the editor(s) disclaim responsibility for any injury to people or property resulting from any ideas, methods, instructions or products referred to in the content. |
© 2023 by the authors. Licensee MDPI, Basel, Switzerland. This article is an open access article distributed under the terms and conditions of the Creative Commons Attribution (CC BY) license (https://creativecommons.org/licenses/by/4.0/).
Share and Cite
Zekre, F.; Duncan, A.; Laurent, A.; Tusseau, M.; Pescarmona, R.; Collardeau-Frachon, S.; Ohlmann, C.; Viel, S.; Reix, P.; Benezech, S.; et al. Rescue of Pap-Mas in Systemic JIA Using Janus Kinase Inhibitors, Case Report and Systematic Review. J. Clin. Med. 2023, 12, 2702. https://doi.org/10.3390/jcm12072702
Zekre F, Duncan A, Laurent A, Tusseau M, Pescarmona R, Collardeau-Frachon S, Ohlmann C, Viel S, Reix P, Benezech S, et al. Rescue of Pap-Mas in Systemic JIA Using Janus Kinase Inhibitors, Case Report and Systematic Review. Journal of Clinical Medicine. 2023; 12(7):2702. https://doi.org/10.3390/jcm12072702
Chicago/Turabian StyleZekre, Franck, Anita Duncan, Audrey Laurent, Maud Tusseau, Rémi Pescarmona, Sophie Collardeau-Frachon, Camille Ohlmann, Sébastien Viel, Philippe Reix, Sarah Benezech, and et al. 2023. "Rescue of Pap-Mas in Systemic JIA Using Janus Kinase Inhibitors, Case Report and Systematic Review" Journal of Clinical Medicine 12, no. 7: 2702. https://doi.org/10.3390/jcm12072702
APA StyleZekre, F., Duncan, A., Laurent, A., Tusseau, M., Pescarmona, R., Collardeau-Frachon, S., Ohlmann, C., Viel, S., Reix, P., Benezech, S., & Belot, A. (2023). Rescue of Pap-Mas in Systemic JIA Using Janus Kinase Inhibitors, Case Report and Systematic Review. Journal of Clinical Medicine, 12(7), 2702. https://doi.org/10.3390/jcm12072702

