Survival Outcomes of Hepatectomy in Gastric Cancer Liver Metastasis: A Systematic Review and Meta-Analysis
Abstract
1. Introduction
2. Materials and Methods
2.1. Search Strategy
2.2. Study Selection and Data Collection
2.3. Data Synthesis and Quality Assessment
3. Results
3.1. Characteristics of the Studies
3.2. Characteristics of the Patients
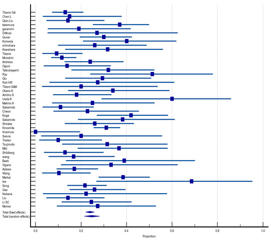
3.3. Mortality at 30 Days
3.4. Survival Outcomes
3.4.1. Overall Survival at 1 Year
3.4.2. Overall Survival at 3 Years
3.4.3. Overall Survival at 5 Years
3.4.4. Disease-Free Survival at 1 Year
3.4.5. Disease-Free Survival at 3 Years
3.4.6. Disease-Free Survival at 5 Years
3.5. Prognostic Factors
3.6. Meta-Regression
4. Discussion
5. Conclusions
Supplementary Materials
Author Contributions
Funding
Institutional Review Board Statement
Informed Consent Statement
Data Availability Statement
Acknowledgments
Conflicts of Interest
References
- Oki, E.; Tokunaga, S.; Emi, Y.; Kusumoto, T.; Yamamoto, M.; Fukuzawa, K.; Takahashi, I.; Ishigami, S.; Tsuji, A.; Higashi, H.; et al. Surgical treatment of liver metastasis of gastric cancer: A retrospective multicenter cohort study (KSCC1302). Gastric Cancer 2016, 19, 968–976. [Google Scholar] [CrossRef] [PubMed]
- Guggenheim, D.E.; Shah, M.A. Gastric cancer epidemiology and risk factors. J. Surg. Oncol. 2013, 107, 230–236. [Google Scholar] [CrossRef] [PubMed]
- Bray, F.; Ferlay, J.; Soerjomataram, I.; Siegel, R.L.; Torre, L.A.; Jemal, A. Global cancer statistics 2018: GLOBOCAN estimates of incidence and mortality worldwide for 36 cancers in 185 countries. CA Cancer J. Clin. 2018, 68, 394–424. [Google Scholar] [CrossRef] [PubMed]
- Li, G.Z.; Doherty, G.M.; Wang, J. Surgical Management of Gastric Cancer: A Review. JAMA Surg. 2022, 157, 446–454. [Google Scholar] [CrossRef] [PubMed]
- Eslick, G.D.; Lim, L.L.; Byles, J.E.; Xia, H.H.; Talley, N.J. Association of Helicobacter pylori infection with gastric carcinoma: A meta-analysis. Am. J. Gastroenterol. 1999, 94, 2373–2379. [Google Scholar] [CrossRef]
- Smyth, E.C.; Nilsson, M.; Grabsch, H.I.; van Grieken, N.C.; Lordick, F. Gastric cancer. Lancet 2020, 396, 635–648. [Google Scholar] [CrossRef]
- Joossens, J.V.; Hill, M.J.; Elliott, P.; Stamler, R.; Stamler, J.; Lesaffre, E.; Dyer, A.; Nichols, R.; Kesteloot, H.; on behalf of European Cancer Prevention (Ecp) and the Intersalt Cooperative Research Group. Dietary salt, nitrate and stomach cancer mortality in 24 countries. Int. J. Epidemiol. 1996, 25, 494–504. [Google Scholar] [CrossRef]
- Shikata, K.; Kiyohara, Y.; Kubo, M.; Yonemoto, K.; Ninomiya, T.; Shirota, T.; Tanizaki, Y.; Doi, Y.; Tanaka, K.; Oishi, Y.; et al. A prospective study of dietary salt intake and gastric cancer incidence in a defined Japanese population: The Hisayama study. Int. J. Cancer 2006, 119, 196–201. [Google Scholar] [CrossRef]
- Smyth, E.C.; Capanu, M.; Janjigian, Y.Y.; Kelsen, D.K.; Coit, D.; Strong, V.E.; Shah, M.A. Tobacco Use Is Associated with Increased Recurrence and Death from Gastric Cancer. Ann. Surg. Oncol. 2012, 19, 2088–2094. [Google Scholar] [CrossRef]
- Correa, P. Gastric Cancer: Overview. Gastroenterol. Clin. 2013, 42, 211–217. [Google Scholar] [CrossRef]
- Barra, W.F.; Sarquis, D.P.; Khayat, A.S.; Khayat, B.C.M.; Demachki, S.; Anaissi, A.K.M.; Ishak, G.; Santos, N.P.C.; dos Santos, S.E.B.; Burbano, R.R.; et al. Gastric Cancer Microbiome. Pathobiology 2021, 88, 156–169. [Google Scholar] [CrossRef] [PubMed]
- Johnston, F.M.; Beckman, M. Updates on Management of Gastric Cancer. Curr. Oncol. Rep. 2019, 21, 67. [Google Scholar] [CrossRef] [PubMed]
- Maconi, G.; Manes, G.; Porro, G.B. Role of symptoms in diagnosis and outcome of gastric cancer. World J. Gastroenterol. 2008, 14, 1149–1155. [Google Scholar] [CrossRef] [PubMed]
- Mocellin, S.; Pasquali, S. Diagnostic accuracy of endoscopic ultrasonography (EUS) for the preoperative locoregional staging of primary gastric cancer. Cochrane Database Syst. Rev. 2012, 2, 6. [Google Scholar] [CrossRef]
- Peng, C.-W.; Wang, L.-W.; Zeng, W.-J.; Yang, X.-J.; Li, Y. Evaluation of the staging systems for gastric cancer. J. Surg. Oncol. 2013, 108, 93–105. [Google Scholar] [CrossRef]
- Marrelli, D.; Polom, K.; de Manzoni, G.; Morgagni, P.; Baiocchi, G.L.; Roviello, F. Multimodal treatment of gastric cancer in the west: Where are we going? World J. Gastroenterol. 2015, 21, 7954–7969. [Google Scholar] [CrossRef]
- Karimi, P.; Islami, F.; Anandasabapathy, S.; Freedman, N.D.; Kamangar, F. Gastric cancer: Descriptive epidemiology, risk factors, screening, and prevention. Cancer Epidemiol. Biomark. Prev. 2014, 23, 700–713. [Google Scholar] [CrossRef]
- Cunningham, D.; Allum, W.H.; Stenning, S.P.; Thompson, J.N.; Van de Velde, C.J.; Nicolson, M.; Scarffe, J.H.; Lofts, F.J.; Falk, S.J.; Iveson, T.J.; et al. Perioperative Chemotherapy versus Surgery Alone for Resectable Gastroesophageal Cancer. N. Engl. J. Med. 2006, 355, 11–20. [Google Scholar] [CrossRef]
- Songun, I.; Keizer, H.; Hermans, J.; Klementschitsch, P.; de Vries, J.; Wils, J.; van der Bijl, J.; van Krieken, J.; van de Velde, C.; The Dutch Gastric Cancer Group (DGCG). Chemotherapy for operable gastric cancer: Results of the Dutch randomised FAMTX trial. Eur. J. Cancer 1999, 35, 558–562. [Google Scholar] [CrossRef]
- Schuhmacher, C.; Gretschel, S.; Lordick, F.; Reichardt, P.; Hohenberger, W.; Eisenberger, C.F.; Haag, C.; Mauer, M.E.; Hasan, B.; Welch, J.; et al. Neoadjuvant Chemotherapy Compared With Surgery Alone for Locally Advanced Cancer of the Stomach and Cardia: European Organisation for Research and Treatment of Cancer Randomized Trial 40954. J. Clin. Oncol. 2010, 28, 5210–5218. [Google Scholar] [CrossRef]
- Coccolini, F.; Montori, G.; Ceresoli, M.; Cima, S.; Valli, M.C.; Nita, G.E.; Heyer, A.; Catena, F.; Ansaloni, L. Advanced gastric cancer: What we know and what we still have to learn. World J. Gastroenterol. 2016, 22, 1139–1159. [Google Scholar] [CrossRef] [PubMed]
- Bang, Y.-J.; Kim, Y.-W.; Yang, H.-K.; Chung, H.; Park, Y.-K.; Lee, K.H.; Lee, K.-W.; Kim, Y.H.; Noh, S.-I.; Cho, J.Y.; et al. Adjuvant capecitabine and oxaliplatin for gastric cancer after D2 gastrectomy (CLASSIC): A phase 3 open-label, randomised controlled trial. Lancet 2012, 379, 315–321. [Google Scholar] [CrossRef] [PubMed]
- Sasako, M.; Sakuramoto, S.; Katai, H.; Kinoshita, T.; Furukawa, H.; Yamaguchi, T.; Nashimoto, A.; Fujii, M.; Nakajima, T.; Ohashi, Y. Five-Year Outcomes of a Randomized Phase III Trial Comparing Adjuvant Chemotherapy With S-1 Versus Surgery Alone in Stage II or III Gastric Cancer. J. Clin. Oncol. 2011, 29, 4387–4393. [Google Scholar] [CrossRef] [PubMed]
- Paoletti, X.; Oba, K.; Burzykowski, T.; Michiels, S.; Ohashi, Y.; Pignon, J.-P.; Rougier, P.; Sakamoto, J.; Sargent, D.; Sasako, M.; et al. Benefit of adjuvant chemotherapy for resectable gastric cancer: A meta-analysis. JAMA 2010, 303, 1729–1737. [Google Scholar] [PubMed]
- Markar, S.R.; Mackenzie, H.; Mikhail, S.; Mughal, M.; Preston, S.R.; Maynard, N.D.; Faiz, O.; Hanna, G.B. Surgical resection of hepatic metastases from gastric cancer: Outcomes from national series in England. Gastric Cancer 2017, 20, 379–386. [Google Scholar] [CrossRef]
- Riihimaki, M.; Hemminki, A.; Sundquist, K.; Sundquist, J.; Hemminki, K. Metastatic spread in patients with gastric cancer. Oncotarget 2016, 7, 52307–52316. [Google Scholar] [CrossRef]
- Li, Q.; Zhu, C.-C.; Ni, B.; Zhang, Z.-Z.; Jiang, S.-H.; Hu, L.-P.; Wang, X.; Zhang, X.-X.; Huang, P.-Q.; Yang, Q.; et al. Lysyl oxidase promotes liver metastasis of gastric cancer via facilitating the reciprocal interactions between tumor cells and cancer associated fibroblasts. Ebiomedicine 2019, 49, 157–171. [Google Scholar] [CrossRef]
- Liu, Q.; Bi, J.-J.; Tian, Y.-T.; Feng, Q.; Zheng, Z.-X.; Wang, Z. Outcome after Simultaneous Resection of Gastric Primary Tumour and Synchronous Liver Metastases: Survival Analysis of a Single-center Experience in China. Asian Pac. J. Cancer Prev. 2015, 16, 1665–1669. [Google Scholar] [CrossRef]
- Markar, S.R.; Mikhail, S.; Malietzis, G.; Athanasiou, T.; Mariette, C.; Sasako, M.; Hanna, G.B. Influence of Surgical Resection of Hepatic Metastases from Gastric Adenocarcinoma on Long-term Survival: Systematic Review and Pooled Analysis. Ann. Surg. 2016, 263, 1092–1101. [Google Scholar] [CrossRef]
- Nishi, M.; Shimada, M.; Yoshikawa, K.; Higashijima, J.; Tokunaga, T.; Kashihara, H.; Takasu, C.; Ishikawa, D.; Wada, Y.; Eto, S. Results of hepatic resection for liver metastasis of gastric cancer—A single center experience. J. Med. Investig. 2018, 65, 27–31. [Google Scholar] [CrossRef]
- Luo, Z.; Rong, Z.; Huang, C. Surgery Strategies for Gastric Cancer With Liver Metastasis. Front. Oncol. 2019, 9, 1353. [Google Scholar] [CrossRef]
- Kinoshita, J.; Yamaguchi, T.; Moriyama, H.; Fushida, S. Current status of conversion surgery for stage IV gastric cancer. Surg. Today 2021, 51, 1736–1754. [Google Scholar] [CrossRef] [PubMed]
- Montagnani, F.; Crivelli, F.; Aprile, G.; Vivaldi, C.; Pecora, I.; De Vivo, R.; Clerico, M.A.; Fornaro, L. Long-term survival after liver metastasectomy in gastric cancer: Systematic review and meta-analysis of prognostic factors. Cancer Treat. Rev. 2018, 69, 11–20. [Google Scholar] [CrossRef] [PubMed]
- Wang, W.; Liang, H.; Zhang, H.; Wang, X.; Xue, Q.; Zhang, R. Prognostic significance of radical surgical treatment for gastric cancer patients with synchronous liver metastases. Med. Oncol. 2014, 31, 258. [Google Scholar] [CrossRef]
- Japanese Gastric Cancer Association. Japanese Gastric Cancer Treatment Guidelines 2018 (5th edition). Gastric Cancer 2021, 24, 1–21. [Google Scholar] [CrossRef] [PubMed]
- Wells, G.A.; Shea, B.; O’Connell, D.; Pereson, J.; Welch, V.; Losos, M.; Tugwell, P. The Newcastle–Ottawa Scale (NOS) for Assessing the Quality of Nonrandomised Studies in Meta-Analyses. Available online: http://www.ohri.ca/programs/clinical_epidemiology/oxford.asp (accessed on 1 June 2021).
- Petrelli, F.; Coinu, A.; Cabiddu, M.; Ghilardi, M.; Borgonovo, K.; Lonati, V.; Barni, S. Hepatic resection for gastric cancer liver metastases: A systematic review and meta-analysis. J. Surg. Oncol. 2015, 111, 1021–1027. [Google Scholar] [CrossRef]
- Long, D.; Yu, P.-C.; Huang, W.; Luo, Y.-L.; Zhang, S. Systematic review of partial hepatic resection to treat hepatic metastases in patients with gastric cancer. Medicine 2016, 95, e5235. [Google Scholar] [CrossRef]
- Waddell, T.; Chau, I.; Cunningham, D.; Gonzalez, D.; Okines, A.F.C.; Wotherspoon, A.; Saffery, C.; Middleton, G.; Wadsley, J.; Ferry, D.; et al. Epirubicin, oxaliplatin, and capecitabine with or without panitumumab for patients with previously untreated advanced oesophagogastric cancer (REAL3): A randomised, open-label phase 3 trial. Lancet Oncol. 2013, 14, 481–489. [Google Scholar] [CrossRef] [PubMed]
- Kataoka, K.; Kinoshita, T.; Moehler, M.; Mauer, M.; Shitara, K.; Wagner, A.D.; Schrauwen, S.; Yoshikawa, T.; Roviello, F.; Tokunaga, M.; et al. Current management of liver metastases from gastric cancer: What is common practice? New challenge of EORTC and JCOG. Gastric Cancer 2017, 20, 904–912. [Google Scholar] [CrossRef]
- Adam, R.; Delvart, V.; Pascal, G.; Valeanu, A.; Castaing, D.; Azoulay, D.; Giacchetti, S.; Paule, B.; Kunstlinger, F.; Ghémard, O.; et al. Rescue surgery for unresectable colorectal liver metastases downstaged by chemotherapy: A model to predict long-term survival. Ann. Surg. 2004, 240, 644–648. [Google Scholar] [CrossRef]
- Ministrini, S.; Solaini, L.; Cipollari, C.; Sofia, S.; Marino, E.; D’Ignazio, A.; Bencivenga, M.; Tiberio, G.A.M. Surgical treatment of hepatic metastases from gastric cancer. Updat. Surg. 2018, 70, 273–278. [Google Scholar] [CrossRef] [PubMed]
- Oba, K.; Paoletti, X.; Alberts, S.; Bang, Y.-J.; Benedetti, J.; Bleiberg, H.; Catalano, P.; Lordick, F.; Michiels, S.; Morita, S.; et al. Disease-Free Survival as a Surrogate for Overall Survival in Adjuvant Trials of Gastric Cancer: A Meta-Analysis. Gynecol. Oncol. 2013, 105, 1600–1607. [Google Scholar] [CrossRef] [PubMed]
- Fasslrinner, F.; Schetelig, J.; Burchert, A.; Kramer, M.; Trenschel, R.; Hegenbart, U.; Stadler, M.; Schäfer-Eckart, K.; Bätzel, M.; Eich, H.; et al. Long-term efficacy of reduced-intensity versus myeloablative conditioning before allogeneic haemopoietic cell transplantation in patients with acute myeloid leukaemia in first complete remission: Retrospective follow-up of an open-label, randomised phase 3 trial. Lancet Haematol. 2018, 5, e161–e169. [Google Scholar] [CrossRef] [PubMed]
- Benz, S.R.; Feder, I.S.; Vollmer, S.; Tam, Y.; Reinacher-Schick, A.; Denz, R.; Hohenberger, W.; Lippert, H.; Tannapfel, A.; Stricker, I. Complete mesocolic excision for right colonic cancer: Prospective multicentre study. Br. J. Surg. 2023, 110, 98–105. [Google Scholar] [CrossRef] [PubMed]
- Marte, G.; Tufo, A.; Steccanella, F.; Marra, E.; Federico, P.; Petrillo, A.; Maida, P. Efficacy of Surgery for the Treatment of Gastric Cancer Liver Metastases: A Systematic Review of the Literature and Meta-Analysis of Prognostic Factors. J. Clin. Med. 2021, 10, 1141. [Google Scholar] [CrossRef]
- Xiao, Y.; Zhang, B.; Wu, Y. Prognostic analysis and liver metastases relevant factors after gastric and hepatic surgical treatment in gastric cancer patients with metachronous liver metastases: A population-based study. Ir. J. Med. Sci. 2019, 188, 415–424. [Google Scholar] [CrossRef]
- Tiberio, G.; Ministrini, S.; Gardini, A.; Marrelli, D.; Marchet, A.; Cipollari, C.; Graziosi, L.; Pedrazzani, C.; Baiocchi, G.L.; La Barba, G.; et al. Factors influencing survival after hepatectomy for metastases from gastric cancer. Eur. J. Surg. Oncol. (EJSO) 2016, 42, 1229–1235. [Google Scholar] [CrossRef]
- Li, J.; Zhang, K.; Gao, Y.; Xi, H.; Cui, J.; Liang, W.; Cai, A.; Wei, B.; Chen, L. Evaluation of hepatectomy and palliative local treatments for gastric cancer patients with liver metastases: A propensity score matching analysis. Oncotarget 2017, 8, 61861–61875. [Google Scholar] [CrossRef]
- Kinoshita, T.; Saiura, A.; Esaki, M.; Sakamoto, H.; Yamanaka, T. Multicentre analysis of long-term outcome after surgical resection for gastric cancer liver metastases. Br. J. Surg. 2014, 102, 102–107. [Google Scholar] [CrossRef]
- Al-Batran, S.-E.; Homann, N.; Pauligk, C.; Illerhaus, G.; Martens, U.M.; Stoehlmacher, J.; Schmalenberg, H.; Luley, K.B.; Prasnikar, N.; Egger, M.; et al. Effect of Neoadjuvant Chemotherapy Followed by Surgical Resection on Survival in Patients With Limited Metastatic Gastric or Gastroesophageal Junction Cancer: The AIO-FLOT3 Trial. JAMA Oncol. 2017, 3, 1237–1244. [Google Scholar] [CrossRef]
- Zhang, W.; Yu, Y.; Fang, Y.; Wang, Y.; Cui, Y.; Shen, K.; Liu, T. Systemic chemotherapy as a main strategy for liver metastases from gastric cancer. Clin. Transl. Oncol. 2015, 17, 888–894. [Google Scholar] [CrossRef] [PubMed]
- Shinohara, T.; Maeda, Y.; Hamada, T.; Futakawa, N. Survival Benefit of Surgical Treatment for Liver Metastases from Gastric Cancer. J. Gastrointest. Surg. 2015, 19, 1043–1051. [Google Scholar] [CrossRef] [PubMed]
- Grieb, B.C.; Agarwal, R. HER2-Directed Therapy in Advanced Gastric and Gastroesophageal Adenocarcinoma: Triumphs and Troubles. Curr. Treat. Options Oncol. 2021, 22, 88. [Google Scholar] [CrossRef] [PubMed]
- Shitara, K.; Bang, Y.-J.; Iwasa, S.; Sugimoto, N.; Ryu, M.-H.; Sakai, D.; Chung, H.-C.; Kawakami, H.; Yabusaki, H.; Lee, J.; et al. Trastuzumab Deruxtecan in Previously Treated HER2-Positive Gastric Cancer. N. Engl. J. Med. 2020, 382, 2419–2430. [Google Scholar] [CrossRef]
- Bang, Y.J.; Van Cutsem, E.; Feyereislova, A.; Chung, H.C.; Shen, L.; Sawaki, A.; Lordick, F.; Ohtsu, A.; Omuro, Y.; Satoh, T.; et al. Trastuzumab in combination with chemotherapy versus chemotherapy alone for treatment of HER2-positive advanced gastric or gastro-oesophageal junction cancer (ToGA): A phase 3, open-label, randomised controlled trial. Lancet 2010, 376, 687–697. [Google Scholar] [CrossRef]
- Chung, H.C.; Bang, Y.J.; Fuchs, C.S.; Qin, S.K.; Satoh, T.; Shitara, K.; Tabernero, J.; Van Cutsem, E.; Alsina, M.; Cao, Z.A.; et al. First-line pembrolizumab/placebo plus trastuzumab and chemotherapy in HER2-positive advanced gastric cancer: KEYNOTE-811. Future Oncol. 2021, 17, 491–501. [Google Scholar] [CrossRef]
- Shirasu, H.; Tsushima, T.; Kawahira, M.; Kawai, S.; Kawakami, T.; Kito, Y.; Yoshida, Y.; Hamauchi, S.; Todaka, A.; Yokota, T.; et al. Role of hepatectomy in gastric cancer with multiple liver-limited metastases. Gastric Cancer 2018, 21, 338–344. [Google Scholar] [CrossRef]
- Jiang, H.; Li, Q.; Yu, S.; Yu, Y.; Wang, Y.; Li, W.; Cui, Y.; Liu, T. Impact of HER2 expression on outcome in gastric cancer patients with liver metastasis. Clin. Transl. Oncol. 2017, 19, 197–203. [Google Scholar] [CrossRef]
- Li, S.-C.; Lee, C.-H.; Hung, C.-L.; Wu, J.-C.; Chen, J.-H. Surgical resection of metachronous hepatic metastases from gastric cancer improves long-term survival: A population-based study. PLoS ONE 2017, 12, e0182255. [Google Scholar] [CrossRef]
- Cui, J.-K.; Liu, M.; Shang, X.-K. Hepatectomy for Liver Metastasis of Gastric Cancer: A Meta-Analysis. Surg. Innov. 2019, 26, 692–697. [Google Scholar] [CrossRef]
- Tatsubayashi, T.; Tanizawa, Y.; Miki, Y.; Tokunaga, M.; Bando, E.; Kawamura, T.; Sugiura, T.; Kinugasa, Y.; Uesaka, K.; Terashima, M. Treatment outcomes of hepatectomy for liver metastases of gastric cancer diagnosed using contrast-enhanced magnetic resonance imaging. Gastric Cancer 2016, 20, 387–393. [Google Scholar] [CrossRef] [PubMed]
- Page, M.J.; McKenzie, J.E.; Bossuyt, P.M.; Boutron, I.; Hoffmann, T.C.; Mulrow, C.D.; Shamseer, L.; Tetzlaff, J.M.; Akl, E.A.; Brennan, S.E.; et al. The PRISMA 2020 statement: An updated guideline for reporting systematic reviews. BMJ 2021, 372, n71. [Google Scholar] [CrossRef] [PubMed]







| Study | Year | N | Median Age | Synchronous (n) | Metachronous (n) | Ethnicity (n) | Male (n) | Female (n) | N 0–1 (n) | N 2–3 (n) | T1–T2 (n) | T3–T4 (n) | Histology: Well Differentiated (n) | Histology: Moderately Differentiated (n) | Histology: Poorly Differentiated (n) | Adj Chemo (n) | Neoadj Chemo (n) |
|---|---|---|---|---|---|---|---|---|---|---|---|---|---|---|---|---|---|
| Tang | 2020 | 20 | 61 | 19 | 1 | East | 16 | 4 | 10 | 10 | 2 | 18 | 0 | 0 | 12 | 17 | 0 |
| Kawahara | 2020 | 20 | 73.5 | 11 | 9 | East | 13 | 7 | 8 | 12 | NR | 4 | 3 | 11 | 3 | 20 | 0 |
| Gao | 2019 | 54 | 57 | NR | NR | East | 43 | 11 | 18 | 36 | 29 | 25 | NR | NR | NR | 24 | NR |
| Nokana | 2019 | 10 | 68 | 4 | 6 | East | 9 | 1 | 7 | 3 | 3 | 7 | NR | NR | NR | 0 | 0 |
| Nishi | 2018 | 10 | 71.7 | 6 | 4 | East | 9 | 1 | NR | NR | 8 | 12 | NR | NR | NR | 8 | 3 |
| Ministrini | 2018 | 144 | 68 | 112 | 32 | West | 94 | 50 | 48 | 68 | 23 | 93 | 13 | NR | 22 | 32 | 20 |
| Shirashu | 2018 | 9 | 74 | 6 | 3 | East | 8 | 1 | NR | NR | NR | NR | 9 | NR | 0 | 3 | NR |
| Ryu | 2017 | 14 | NR | NR | NR | East | 0 | 0 | NR | NR | NR | NR | NR | NR | NR | NR | NR |
| Lee | 2017 | 7 | 59.2 | NR | NR | East | 5 | 2 | NR | NR | NR | NR | NR | NR | NR | 6 | 0 |
| Song | 2017 | 96 | 63 | 59 | 37 | East | 72 | 24 | 28 | 68 | 47 | 59 | 62 | NR | 34 | 58 | 0 |
| Li SC | 2017 | 34 | 62 | NR | 34 | East | 23 | 11 | NR | NR | NR | NR | NR | NR | NR | NR | NR |
| Oguro | 2016 | 26 | 69.5 | 6 | 20 | West | 23 | 3 | NR | 8 | 8 | 18 | 8 | 10 | 8 | 15 | NR |
| Tatsubayashi | 2016 | 28 | 72 | 15 | 13 | East | 23 | 5 | 3 | 25 | 8 | 20 | 22 | 0 | 6 | 12 | 3 |
| Markar | 2016 | 78 | 65 | 78 | 0 | West | 14 | 51 | NR | NR | NR | NR | NR | NR | NR | NR | NR |
| Guner | 2016 | 68 | 61 | 26 | 42 | West | 56 | 12 | 32 | 36 | 17 | 52 | 45 | NR | 23 | 66 | 0 |
| Tiberio GA | 2016 | 105 | 68 | 74 | 31 | West | 71 | 34 | 36 | 40 | 38 | 46 | NR | NR | NR | 29 | NR |
| Shinohara | 2015 | 22 | 66.7 | 13 | 9 | East | 19 | 3 | NR | NR | NR | 3 | 18 | NR | 4 | 16 | 6 |
| Tiberio | 2015 | 52 | 68 | 52 | 0 | West | 0 | 0 | NR | NR | NR | NR | NR | NR | NR | 22 | 0 |
| Kinoshita | 2015 | 256 | 64 | 106 | 150 | East | 207 | 49 | 54 | 204 | 74 | NR | 173 | NR | NR | 84 | 45 |
| Liu | 2015 | 35 | 56 | 35 | 0 | West | 22 | 13 | NR | NR | 6 | 29 | 14 | 21 | 0 | 0 | 0 |
| Ohkura | 2015 | 13 | 63 | 9 | 4 | East | 13 | 0 | NR | NR | NR | NR | NR | NR | NR | 12 | 0 |
| Qian Liu | 2015 | 35 | 56 | 35 | NR | East | 22 | 13 | 4 | 31 | 6 | 29 | 14 | NR | 20 | 35 | 0 |
| Komeda | 2014 | 24 | 69.5 | 1 | 23 | East | 21 | 3 | 10 | 14 | 17 | 7 | NR | NR | NR | 15 | 11 |
| Andreou | 2014 | 47 | 62 | 34 | 13 | East | 32 | 15 | NR | NR | NR | NR | NR | NR | NR | 16 | 16 |
| Aizawa | 2014 | 74 | 66 | 74 | 0 | East | 56 | 18 | NR | NR | NR | NR | NR | NR | NR | NR | NR |
| Wang | 2014 | 39 | 64 | 39 | 0 | East | 26 | 13 | 23 | 16 | 8 | 31 | 23 | NR | 16 | 39 | 0 |
| Qiu | 2013 | 25 | NR | 25 | 0 | East | 22 | 3 | 4 | 21 | 17 | 8 | 9 | NR | 16 | 14 | 4 |
| Chen L | 2013 | 20 | 54 | 20 | NR | East | 12 | 8 | 12 | 8 | 6 | 14 | 2 | 14 | 4 | 20 | 20 |
| Baek | 2013 | 12 | 61 | 3 | 9 | East | 11 | 1 | 9 | 3 | 3 | 9 | 9 | NR | 1 | 6 | NR |
| Vigano | 2013 | 14 | 61.5 | 9 | 5 | West | 0 | 0 | NR | NR | NR | NR | NR | NR | NR | 0 | 8 |
| Takemura | 2012 | 64 | 65 | 34 | 30 | East | 49 | 15 | 22 | 42 | NR | 49 | 42 | NR | 22 | 26 | 18 |
| Garancini | 2012 | 21 | 64 | 12 | 9 | West | 14 | 7 | 19 | 11 | NR | 8 | 8 | NR | 13 | NR | NR |
| Dittmar | 2012 | 10 | 57 | NR | NR | West | 0 | 0 | NR | NR | NR | NR | NR | NR | NR | NR | 0 |
| Liu | 2012 | 35 | NR | 35 | 0 | East | 29 | 8 | 12 | 23 | 19 | 16 | NR | NR | 25 | NR | NR |
| Miki | 2012 | 25 | 72 | 16 | 9 | East | 23 | 2 | 14 | 11 | 8 | 17 | NR | NR | NR | 10 | 0 |
| Shildberg | 2012 | 31 | 65 | 17 | 14 | West | 20 | 11 | NR | NR | NR | NR | NR | NR | NR | 9 | 2 |
| Wang | 2012 | 30 | 60 | 30 | 0 | East | 27 | 3 | 10 | 20 | 4 | 26 | NR | NR | NR | 30 | 0 |
| Tsujimoto | 2010 | 17 | 66 | 9 | 8 | East | 16 | 1 | 12 | 5 | 12 | 5 | NR | NR | NR | 14 | 0 |
| Choi | 2010 | 14 | 65 | NR | 14 | East | 11 | 3 | NR | NR | NR | NR | NR | NR | NR | 10 | NR |
| Makino H | 2010 | 16 | NR | 9 | 7 | East | 13 | 3 | NR | NR | NR | NR | 10 | NR | 6 | 11 | 3 |
| Tibero GAM | 2009 | 11 | NR | NR | 11 | West | 0 | 0 | NR | NR | NR | NR | NR | NR | NR | 0 | 0 |
| Ueda K | 2009 | 12 | 67 | 12 | 0 | East | 0 | 0 | NR | NR | 27 | 45 | NR | NR | NR | 8 | NR |
| Thelen | 2008 | 24 | 64 | 15 | 9 | East | 17 | 7 | 0 | NR | 8 | 16 | 1 | 7 | 16 | NR | NR |
| Cheon | 2008 | 22 | 59 | 18 | 4 | East | 18 | 4 | NR | NR | NR | NR | NR | 9 | 12 | NR | NR |
| Morise | 2008 | 18 | 64 | 11 | 7 | East | 16 | 2 | NR | NR | NR | NR | NR | NR | NR | NR | NR |
| Koga | 2007 | 42 | 64 | 20 | 22 | East | 30 | 12 | 20 | 21 | NR | 14 | NR | 18 | 13 | 13 | 0 |
| Sakamoto | 2007 | 37 | 64 | 16 | 21 | East | 29 | 8 | NR | NR | 25 | 12 | NR | NR | NR | 6 | 0 |
| Roh HR | 2005 | 11 | 61.3 | 8 | 3 | East | 10 | 1 | 7 | NR | 1 | 10 | 2 | 4 | 1 | NR | NR |
| Sakamoto | 2003 | 22 | 63 | 12 | 10 | East | 13 | 9 | NR | NR | NR | NR | NR | NR | NR | 8 | NR |
| Shirabe | 2003 | 36 | 66 | 16 | 20 | East | 33 | 3 | NR | NR | NR | NR | NR | NR | NR | NR | NR |
| Zacherl | 2002 | 15 | 61.6 | 10 | 5 | West | 10 | 5 | NR | NR | 5 | 4 | NR | NR | NR | NR | NR |
| Okano K | 2002 | 19 | 69 | 13 | 6 | East | 13 | 6 | 16 | NR | 11 | 8 | 6 | NR | 13 | 6 | NR |
| Saiura | 2002 | 10 | 60.5 | 6 | 4 | East | 7 | 3 | NR | NR | NR | NR | NR | NR | NR | 6 | 0 |
| Imamura | 2001 | 17 | 65 | 7 | 10 | East | 15 | 2 | NR | NR | NR | NR | 5 | 7 | 5 | NR | NR |
| Ambiru S | 2000 | 40 | 63 | 18 | 22 | East | 30 | 10 | 10 | 30 | 28 | 12 | NR | NR | NR | 13 | 0 |
| Study | Year | R0 (n) | Unilobar (n) | Multilobar (n) | Solitary (n) | Multiple (n) | Diameter (cm) | Size of the Lesion < 3 (n) | Minor Hepatectomy (n) | Major Hepatectomy (n) | 30-Day Mortality (n) | 1 DFS (%) | 3 DFS (%) | 5 DFS (%) | Median DFS (Months) | Median Follow-up (Months) | 1 YOS (%) | 3 YOS (%) | 5 YOS (%) | Median Survival (Months) |
|---|---|---|---|---|---|---|---|---|---|---|---|---|---|---|---|---|---|---|---|---|
| Tang | 2020 | NR | 17 | 3 | 16 | 4 | 2.9 | NR | NR | NR | 3 | NR | 23.5 | NR | NR | NR | NR | 23.5 | NR | 20 |
| Hara | 2020 | NR | NR | NR | 11 | 9 | 2.5 | 14 | NR | NR | 0 | 35 | 24 | 18 | 10.5 | 77 | 80 | 55.5 | 31.7 | 52 |
| Gao | 2019 | NR | NR | NR | 38 | 16 | NR | NR | NR | NR | NR | NR | NR | NR | NR | NR | 77.8 | 37 | 25.9 | 29.3 |
| Nokana | 2019 | NR | NR | NR | 7 | 3 | NR | NR | NR | NR | NR | 44.4 | 22.2 | 22.2 | NR | NR | 78 | 33.3 | 22.2 | 30 |
| Nishi | 2018 | 10 | NR | NR | 6 | 4 | 2.3 | 5 | 5 | 5 | 0 | 71.1 | NR | NR | 40 | 12.4 | 71.1 | 17.8 | NR | 24.5 |
| Ministrini | 2018 | 117 | NR | NR | NR | NR | NR | NR | 132 | 12 | 3 | NR | NR | NR | NR | NR | 49.9 | 19.4 | 11.6 | 12 |
| Shirashu | 2018 | 9 | 5 | 4 | 0 | 9 | 2.5 | NR | 1 | 8 | 0 | NR | NR | NR | 7.9 | 47.9 | NR | NR | NR | 24.8 |
| Ryu | 2017 | NR | NR | NR | NR | NR | 4.2 | NR | 7 | 7 | 0 | NR | NR | NR | NR | NR | 84.6 | 51.3 | 51.3 | NR |
| Lee | 2017 | NR | 6 | 1 | 5 | 2 | NR | NR | NR | NR | NR | NR | NR | 80 | 74.1 | NR | NR | NR | 68.6 | 67.5 |
| Song | 2017 | 91 | 57 | 29 | 42 | 54 | NR | NR | 61 | 35 | 0 | NR | NR | NR | NR | 33 | 87.5 | 47.6 | 21.7 | 34 |
| Li SC | 2017 | NR | NR | NR | NR | NR | NR | NR | NR | NR | NR | NR | NR | NR | NR | NR | 73.5 | 36.9 | 24.5 | 26.1 |
| Oguro | 2016 | NR | NR | NR | 16 | 10 | 3.7 | NR | NR | NR | NR | 50.9 | 23.1 | 23.1 | 43 | 77 | 71.3 | 41.8 | 13.9 | 25 |
| Tatsubayashi | 2016 | 28 | 20 | 8 | 20 | 8 | 2.4 | NR | 27 | 1 | 0 | NR | NR | 29 | 47 | 26 | NR | NR | 32 | 49 |
| Markar | 2016 | NR | NR | NR | NR | NR | NR | NR | 66 | 12 | 10 | NR | NR | NR | NR | NR | 64.1 | 42 | 38.5 | NR |
| Guner | 2016 | NR | 60 | 8 | 45 | 23 | 2.7 | 60 | 47 | 21 | 1 | 49.3 | 30.4 | 26 | NR | NR | 79.1 | 40.6 | 30 | 24 |
| Tiberio GA | 2016 | 89 | NR | NR | NR | NR | NR | NR | 94 | 11 | 1 | 48 | 20.2 | 8.6 | 10 | NR | 58.2 | 20.3 | 13.1 | 14.6 |
| Shinohara | 2015 | NR | 17 | 5 | 11 | 11 | NR | NR | NR | NR | 0 | 42 | 26 | 26 | 22 | NR | 86 | 26 | 26 | 22 |
| Tiberio | 2015 | 52 | NR | NR | NR | NR | NR | NR | 38 | 14 | 0 | NR | NR | NR | NR | NR | 50.4 | 14 | 9.3 | 13 |
| Kinoshita | 2015 | 230 | NR | NR | 168 | 88 | 3 | NR | 183 | 73 | 2 | 43.6 | 32.4 | 30.1 | 9.4 | 65 | 77.3 | 41.9 | 31.1 | 31.3 |
| Liu | 2015 | 32 | 30 | 5 | 27 | 8 | NR | 24 | 29 | 6 | 0 | NR | NR | NR | NR | 40 | NR | NR | 14.3 | 33 |
| Ohkura | 2015 | NR | NR | NR | 4 | 9 | NR | NR | NR | NR | 0 | NR | NR | NR | NR | NR | NR | NR | NR | NR |
| Qian Liu | 2015 | 32 | 30 | 5 | 27 | 8 | NR | NR | 29 | 6 | 0 | NR | NR | NR | NR | 41 | 58.1 | 21.7 | 14.3 | 33 |
| Komeda | 2014 | NR | NR | NR | 17 | 7 | NR | NR | 11 | 13 | 0 | NR | NR | NR | NR | NR | 78.3 | 40.1 | 40.1 | 22.3 |
| Andreou | 2014 | 41 | 33 | 14 | NR | NR | 2 | NR | 34 | 13 | 0 | 52 | 29 | 19 | NR | 71 | 70 | 37 | 24 | 18 |
| Aizawa | 2014 | 53 | NR | NR | 31 | 22 | NR | NR | NR | NR | 0 | NR | NR | NR | NR | 90.8 | NR | NR | 17 | 13 |
| Wang | 2014 | 39 | 34 | 5 | 31 | 8 | 2.8 | NR | NR | NR | 0 | 30.8 | 10.3 | 7.7 | 8 | 13.9 | 56.4 | 17.9 | 10.3 | 14 |
| Qiu | 2013 | NR | 21 | 4 | 19 | 6 | 2 | 13 | 19 | 6 | 0 | 56 | 22.3 | 11.1 | 18 | 42 | 96 | 70.4 | 29.4 | 38 |
| Chen L | 2013 | NR | 11 | 9 | 8 | 12 | 4.1 | NR | 6 | 14 | 0 | NR | NR | NR | NR | 9.9 | 75 | 20 | 15 | 22.3 |
| Baek | 2013 | 11 | 11 | 1 | 11 | 1 | NR | NR | 9 | 3 | 0 | NR | NR | NR | NR | 12.5 | 65 | NR | 39 | 31 |
| Vigano | 2013 | NR | 18 | 2 | 9 | 5 | NR | NR | 8 | 6 | 0 | NR | NR | NR | NR | 42.5 | 95 | 63.2 | 33.2 | 52.3 |
| Takemura | 2012 | 55 | NR | NR | 37 | 27 | NR | NR | 50 | 14 | 0 | 42 | 27 | 27 | 9 | 27 | 84 | 50 | 37 | |
| Garancini | 2012 | 19 | 16 | 5 | 12 | 9 | 3 | NR | 17 | 4 | 0 | 51 | 25 | 14 | NR | 21.6 | 68 | 31 | 19 | |
| Dittmar | 2012 | NR | NR | NR | NR | NR | 2.6 | NR | 8 | 2 | 0 | NR | NR | NR | NR | 40.3 | NR | NR | 27 | |
| Liu | 2012 | NR | 12 | 23 | 12 | 23 | NR | NR | NR | NR | NR | NR | NR | NR | NR | 38 | 58.1 | 21.7 | NR | 15 |
| Miki | 2012 | NR | 20 | 5 | 18 | 7 | 2 | NR | NR | NR | NR | NR | NR | NR | 5 | NR | 73.9 | 42.8 | 36.7 | 33.4 |
| Shildberg | 2012 | 23 | 30 | 1 | NR | NR | NR | NR | 21 | 10 | 2 | NR | NR | NR | NR | NR | NR | NR | 13 | NR |
| Wang | 2012 | NR | 27 | 3 | 22 | 8 | 3.7 | NR | 23 | 7 | 0 | NR | NR | NR | NR | 11 | 43.3 | 16.7 | 16.7 | 11 |
| Tsujimoto | 2010 | 17 | 13 | 5 | 13 | 4 | 4.8 | NR | 11 | 6 | 0 | NR | NR | NR | NR | 29.3 | 75 | 37.5 | 31.5 | 34 |
| Choi | 2010 | NR | 11 | 3 | 9 | 5 | NR | NR | 8 | 6 | NR | 28.5 | NR | NR | NR | 15.25 | 67 | 38.3 | NR | NR |
| Makino H | 2010 | NR | 11 | 5 | 9 | 7 | NR | 8 | NR | NR | NR | NR | NR | NR | NR | 15.9 | 82.3 | 46.4 | 25 | 38 |
| Tibero GAM | 2009 | NR | NR | NR | NR | NR | NR | NR | NR | NR | NR | NR | NR | NR | NR | 19 | 81 | 30 | 20 | 23 |
| Ueda K | 2009 | NR | NR | NR | NR | NR | NR | NR | 8 | NR | NR | NR | NR | NR | NR | 8.9 | 80 | 60 | 60 | NR |
| Thelen | 2008 | 17 | 18 | 6 | 18 | 6 | 5.5 | NR | 16 | 8 | 1 | 33 | 10 | 10 | NR | 18 | 38 | 16 | 10 | 18 |
| Cheon | 2008 | 22 | 21 | 1 | 18 | 4 | 2.4 | NR | NR | NR | 1 | NR | NR | NR | NR | 15.5 | 77 | 32.4 | 22.8 | 17 |
| Morise | 2008 | NR | 15 | 3 | 14 | 4 | NR | NR | 14 | 4 | NR | NR | NR | NR | NR | NR | 56.3 | 36.5 | 27.3 | 13 |
| Koga | 2007 | 36 | NR | NR | 29 | 13 | NR | 20 | NR | NR | NR | NR | NR | NR | NR | 16 | 76 | 48 | 42 | 34 |
| Sakamoto | 2007 | 32 | 30 | 7 | 21 | 16 | 3.8 | NR | 32 | 5 | 0 | NR | NR | NR | NR | NR | NR | 46 | 11 | 31 |
| Roh HR | 2005 | NR | 11 | 0 | 11 | 0 | NR | NR | 10 | 1 | 0 | 25 | NR | 12.5 | 8 | 19 | 72.2 | NR | 27.3 | 19 |
| Sakamoto | 2003 | NR | 17 | 5 | 16 | 6 | 3 | NR | 19 | 3 | 0 | NR | NR | NR | NR | 17 | 76.2 | 38.3 | 38.3 | 21.4 |
| Shirabe | 2003 | NR | NR | NR | 31 | 5 | NR | NR | NR | NR | 0 | NR | NR | NR | NR | NR | 64 | 26 | 26 | NR |
| Zacherl | 2002 | NR | 10 | 4 | 8 | 6 | NR | 7 | 2 | 13 | 0 | NR | NR | NR | NR | 51 | 35.7 | 14.3 | NR | 15.7 |
| Okano K | 2002 | NR | 12 | 7 | 10 | 9 | 3.9 | NR | 16 | NR | 0 | NR | NR | NR | NR | 36 | 77 | 34 | 34 | 21 |
| Saiura | 2002 | NR | 7 | 3 | 4 | 6 | NR | NR | NR | NR | 3 | NR | NR | NR | NR | NR | 50 | 30 | 20 | 25 |
| Imamura | 2001 | 15 | 12 | 5 | 8 | 9 | NR | NR | NR | NR | NR | NR | NR | NR | NR | 24 | 60 | 25 | 0 | NR |
| Ambiru S | 2000 | NR | 24 | 16 | 19 | 21 | NR | NR | 21 | 19 | 0 | NR | NR | NR | NR | 88 | 71.1 | NR | 18 | 12 |
| Study | Year | Quality of the Study Selection | Comparability | Outcome | Quality Score NOS Final |
|---|---|---|---|---|---|
| Tang | 2020 | 4 | 2 | 3 | 9 |
| Kawahara | 2020 | 4 | 2 | 2 | 8 |
| Gao | 2019 | 3 | 2 | 3 | 8 |
| Nokana | 2019 | 4 | 2 | 3 | 9 |
| Nishi | 2018 | 3 | 2 | 3 | 8 |
| Ministrini | 2018 | 4 | 2 | 3 | 9 |
| Shirashu | 2018 | 4 | 2 | 3 | 9 |
| Ryu | 2017 | 4 | 2 | 3 | 9 |
| Lee | 2017 | 4 | 2 | 3 | 9 |
| Song | 2017 | 4 | 2 | 3 | 9 |
| Li SC | 2017 | 4 | 2 | 3 | 9 |
| Oguro | 2016 | 3 | 2 | 2 | 7 |
| Tatsubayashi | 2016 | 4 | 2 | 3 | 9 |
| Markar | 2016 | 3 | 2 | 3 | 8 |
| Guner | 2016 | 4 | 2 | 3 | 9 |
| Tiberio GA | 2016 | 3 | 2 | 3 | 8 |
| Shinohara | 2015 | 4 | 2 | 3 | 9 |
| Tiberio | 2015 | 4 | 2 | 2 | 8 |
| Kinoshita | 2015 | 4 | 2 | 3 | 9 |
| Liu | 2015 | 4 | 2 | 3 | 9 |
| Ohkura | 2015 | 4 | 2 | 3 | 9 |
| Qian Liu | 2015 | 4 | 2 | 2 | 8 |
| Komeda | 2014 | 4 | 2 | 2 | 8 |
| Andreou | 2014 | 4 | 2 | 2 | 8 |
| Aizawa | 2014 | 3 | 2 | 3 | 8 |
| Wang | 2014 | 3 | 2 | 3 | 8 |
| Qiu | 2013 | 4 | 2 | 3 | 9 |
| Chen L | 2013 | 4 | 2 | 3 | 9 |
| Baek | 2013 | 3 | 2 | 3 | 8 |
| Vigano | 2013 | 3 | 2 | 3 | 8 |
| Takemura | 2012 | 4 | 2 | 2 | 8 |
| Garancini | 2012 | 4 | 2 | 2 | 8 |
| Dittmar | 2012 | 4 | 2 | 2 | 8 |
| Liu | 2012 | 4 | 2 | 3 | 9 |
| Miki | 2012 | 4 | 2 | 3 | 9 |
| Shildberg | 2012 | 3 | 2 | 3 | 8 |
| Wang | 2012 | 3 | 2 | 3 | 8 |
| Tsujimoto | 2010 | 4 | 2 | 3 | 9 |
| Choi | 2010 | 3 | 2 | 3 | 8 |
| Makino H | 2010 | 4 | 2 | 3 | 9 |
| Tibero GAM | 2009 | 4 | 2 | 3 | 9 |
| Ueda K | 2009 | 4 | 2 | 3 | 9 |
| Thelen | 2008 | 3 | 2 | 3 | 8 |
| Cheon | 2008 | 3 | 2 | 3 | 8 |
| Morise | 2008 | 3 | 2 | 3 | 8 |
| Koga | 2007 | 4 | 2 | 3 | 9 |
| Sakamoto | 2007 | 4 | 2 | 3 | 9 |
| Roh HR | 2005 | 3 | 2 | 3 | 8 |
| Sakamoto | 2003 | 4 | 2 | 3 | 9 |
| Shirabe | 2003 | 4 | 2 | 3 | 9 |
| Zacherl | 2002 | 4 | 2 | 3 | 9 |
| Okano K | 2002 | 4 | 2 | 3 | 9 |
| Saiura | 2002 | 4 | 2 | 2 | 8 |
| Imamura | 2001 | 3 | 2 | 3 | 7 |
| Ambiru S | 2000 | 4 | 2 | 3 | 9 |
| Overall Survival | Disease-Free Survival | |||||
|---|---|---|---|---|---|---|
| Prognostic Factor | Hazard Ratio | Heterogeneity | p Value | Hazard Ratio | Heterogeneity | p Value |
| Age | 1.06 (0.79–1.42) | 64.93% | 0.666 | 1.39 (0.78–2.45) | 76.70% | 0.254 |
| Sex | 0.99 (0.55–1.7) | 0% | 0.998 | |||
| Metachronous presentation | 1.48 (1.15–1.89) | 55% | 0.002 | 1.50 (1.21–1.86) | 0% | <0.001 |
| Well–moderate differentiation grade | 1.34 (1.13–1.59) | 0% | 0.001 | 1.27 (0.80–2.01) | 0% | 0.310 |
| Early T stage (T1–T2) | 1.66 (1.25–2.21) | 0% | <0.001 | 2.21 (1.19–4.08) | 41.57% | 0.011 |
| Low node compromise (0–1) | 1.60 (1.32–1.95) | 21.06% | <0.001 | |||
| Unilobar localization | 1.71 (1.01–2.89) | 10.7% | 0.046 | |||
| Solitary lesions | 1.57 (1.12–2.18) | 59.28% | 0.008 | 2.34 (1.67–3.29) | 0% | <0.001 |
| Small diameter (<3 cm) | 1.26 (1.06–1.50) | 49.34% | 0.008 | 1.81 (0.92–3.56) | 36.44% | 0.083 |
| Adjuvant chemotherapy | 1.66 (0.73–3.76) | 0% | 0.221 | |||
| R0 resection | 4.04 (2.73–7.08) | 0% | <0.001 | |||
| Variable | Number of Studies | Coefficient | p Value | R2 | Test for Residual Heterogeneity (I2 = %) |
|---|---|---|---|---|---|
| Year of publication | 45 | 0.0246 | 0.213 | 0.00 | 67.29 |
| Number of included patients | 45 | 0.0002 | 0.921 | 0.00 | 66.83 |
| Age | 39 | 0.0063 | 0.811 | 0.00 | 67.70 |
| N stage 2–3 | 23 | 0.6492 | 0.424 | 0.10 | 71.74 |
| Synchronous presentation | 42 | −0.8050 | 0.018 | 0.33 | 57.87 |
| Unilobar presentation | 27 | 0.5977 | 0.524 | 0.00 | 63.44 |
| Solitary lesions | 36 | −0.4672 | 0.553 | 0.00 | 59.47 |
| Multiple lesions | 36 | 0.4597 | 0.554 | 0.00 | 58.43 |
| Size > 3 cm | 7 | 1.4394 | 0.540 | 0.00 | 65.45 |
| Minor hepatectomy | 29 | −0.2090 | 0.791 | 0.06 | 73.36 |
Disclaimer/Publisher’s Note: The statements, opinions and data contained in all publications are solely those of the individual author(s) and contributor(s) and not of MDPI and/or the editor(s). MDPI and/or the editor(s) disclaim responsibility for any injury to people or property resulting from any ideas, methods, instructions or products referred to in the content. |
© 2023 by the authors. Licensee MDPI, Basel, Switzerland. This article is an open access article distributed under the terms and conditions of the Creative Commons Attribution (CC BY) license (https://creativecommons.org/licenses/by/4.0/).
Share and Cite
Conde Monroy, D.; Ibañez-Pinilla, M.; Sabogal, J.C.; Rey Chaves, C.; Isaza-Restrepo, A.; Girón, F.; Vanegas, M.; Ibañez-Villalba, R.; Mirow, L.; Siepmann, T. Survival Outcomes of Hepatectomy in Gastric Cancer Liver Metastasis: A Systematic Review and Meta-Analysis. J. Clin. Med. 2023, 12, 704. https://doi.org/10.3390/jcm12020704
Conde Monroy D, Ibañez-Pinilla M, Sabogal JC, Rey Chaves C, Isaza-Restrepo A, Girón F, Vanegas M, Ibañez-Villalba R, Mirow L, Siepmann T. Survival Outcomes of Hepatectomy in Gastric Cancer Liver Metastasis: A Systematic Review and Meta-Analysis. Journal of Clinical Medicine. 2023; 12(2):704. https://doi.org/10.3390/jcm12020704
Chicago/Turabian StyleConde Monroy, Danny, Milciades Ibañez-Pinilla, Juan Carlos Sabogal, Carlos Rey Chaves, Andrés Isaza-Restrepo, Felipe Girón, Marco Vanegas, Rafael Ibañez-Villalba, Lutz Mirow, and Timo Siepmann. 2023. "Survival Outcomes of Hepatectomy in Gastric Cancer Liver Metastasis: A Systematic Review and Meta-Analysis" Journal of Clinical Medicine 12, no. 2: 704. https://doi.org/10.3390/jcm12020704
APA StyleConde Monroy, D., Ibañez-Pinilla, M., Sabogal, J. C., Rey Chaves, C., Isaza-Restrepo, A., Girón, F., Vanegas, M., Ibañez-Villalba, R., Mirow, L., & Siepmann, T. (2023). Survival Outcomes of Hepatectomy in Gastric Cancer Liver Metastasis: A Systematic Review and Meta-Analysis. Journal of Clinical Medicine, 12(2), 704. https://doi.org/10.3390/jcm12020704

