Preprocedural D-Dimer Level as a Predictor of First-Pass Recanalization and Functional Outcome in Endovascular Treatment of Acute Ischemic Stroke
Abstract
:1. Introduction
2. Materials and Methods
2.1. Study Population
2.2. Mechanical Thrombectomy Procedure
2.3. Study Variables and Outcomes
2.4. Statistical Analysis
3. Results
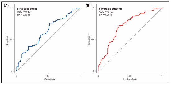
3.1. Preprocedural D-dimer Levels and Endovascular Outcomes
3.2. Preprocedural D-dimer Levels and Functional Outcome
4. Discussion
5. Conclusions
Author Contributions
Funding
Institutional Review Board Statement
Informed Consent Statement
Data Availability Statement
Conflicts of Interest
References
- Yao, T.; Tian, B.L.; Li, G.; Cui, Q.; Wang, C.F.; Zhang, Q.; Peng, B.; Gao, Y.; Zhan, Y.Q.; Hu, D.; et al. Elevated plasma D-dimer levels are associated with short-term poor outcome in patients with acute ischemic stroke: A prospective, observational study. BMC Neurol. 2019, 19, 175. [Google Scholar] [CrossRef]
- Sartori, M.; Migliaccio, L.; Favaretto, E.; Cini, M.; Legnani, C.; Palareti, G.; Cosmi, B. D-dimer for the diagnosis of upper extremity deep and superficial venous thrombosis. Thromb. Res. 2015, 135, 673–678. [Google Scholar] [CrossRef]
- Keller, K.; Beule, J.; Balzer, J.O.; Dippold, W. D-Dimer and thrombus burden in acute pulmonary embolism. Am. J. Emerg. Med. 2018, 36, 1613–1618. [Google Scholar] [CrossRef]
- Li, W.; Tang, Y.; Song, Y.; Chen, S.H.; Sisliyan, N.; Ni, M.; Zhang, H.; Zeng, Q.; Hou, B.; Xie, X.; et al. Prognostic Role of Pretreatment Plasma D-Dimer in Patients with Solid Tumors: A Systematic Review and Meta-Analysis. Cell. Physiol. Biochem. 2018, 45, 1663–1676. [Google Scholar] [CrossRef]
- Qiu, K.; Jia, Z.Y.; Cao, Y.; Zhao, L.B.; Zu, Q.; Shi, H.B.; Liu, S. Emergency admission plasma D-dimer: A novel predictor for symptomatic intracranial hemorrhage after thrombectomy in acute ischemic stroke. J. Neurointerventional Surg. 2023. [Google Scholar] [CrossRef]
- Barber, M.; Langhorne, P.; Rumley, A.; Lowe, G.D.; Stott, D.J. Hemostatic function and progressing ischemic stroke: D-dimer predicts early clinical progression. Stroke 2004, 35, 1421–1425. [Google Scholar] [CrossRef]
- Dougu, N.; Takashima, S.; Sasahara, E.; Taguchi, Y.; Toyoda, S.; Hirai, T.; Nozawa, T.; Tanaka, K.; Inoue, H. Predictors of poor outcome in patients with acute cerebral infarction. J. Clin. Neurol. 2011, 7, 197–202. [Google Scholar] [CrossRef]
- Welsh, P.; Barber, M.; Langhorne, P.; Rumley, A.; Lowe, G.D.; Stott, D.J. Associations of inflammatory and haemostatic biomarkers with poor outcome in acute ischaemic stroke. Cerebrovasc. Dis. 2009, 27, 247–253. [Google Scholar] [CrossRef]
- Zhang, J.; Song, Y.; Shan, B.; He, M.; Ren, Q.; Zeng, Y.; Liu, Z.; Liu, H.; Xu, J. Elevated level of D-dimer increases the risk of stroke. Oncotarget 2018, 9, 2208–2219. [Google Scholar] [CrossRef]
- Bang, O.Y.; Chung, J.W.; Lee, M.J.; Seo, W.K.; Kim, G.M.; Ahn, M.J.; OASIS-Cancer Study Investigators. Cancer-Related Stroke: An Emerging Subtype of Ischemic Stroke with Unique Pathomechanisms. J. Stroke 2020, 22, 1–10. [Google Scholar] [CrossRef]
- Ikeda, H.; Ishibashi, R.; Kinosada, M.; Uezato, M.; Hata, H.; Kaneko, R.; Hayashi, T.; Yamashita, H.; Nukata, R.; Takada, K.; et al. Factors related to white thrombi in acute ischemic stroke in cancer patients. Neuroradiol. J. 2023, 36, 453–459. [Google Scholar] [CrossRef]
- Park, H.; Kim, J.; Ha, J.; Hwang, I.G.; Song, T.J.; Yoo, J.; Ahn, S.H.; Kim, K.; Kim, B.M.; Kim, D.J.; et al. Histological features of intracranial thrombi in stroke patients with cancer. Ann. Neurol. 2019, 86, 143–149. [Google Scholar] [CrossRef]
- Ohbuchi, H.; Kanazawa, R.; Hagiwara, S.; Arai, N.; Takahashi, Y.; Kubota, Y.; Chernov, M.; Kasuya, H. Preoperative plasma D-dimer level may be predictive for success of cerebral reperfusion and outcome after emergency mechanical thrombectomy for intracranial large vessel occlusion. J. Clin. Neurosci. 2022, 97, 75–81. [Google Scholar] [CrossRef]
- Kim, B.M. Causes and Solutions of Endovascular Treatment Failure. J. Stroke 2017, 19, 131–142. [Google Scholar] [CrossRef]
- Kang, D.H.; Hwang, Y.H. Frontline Contact Aspiration Treatment for Emergent Large Vessel Occlusion: A Review Focused on Practical Techniques. J. Stroke 2019, 21, 10–22. [Google Scholar] [CrossRef]
- Kang, D.H.; Hwang, Y.H.; Kim, Y.S.; Park, J.; Kwon, O.; Jung, C. Direct thrombus retrieval using the reperfusion catheter of the penumbra system: Forced-suction thrombectomy in acute ischemic stroke. Am. J. Neuroradiol. 2011, 32, 283–287. [Google Scholar] [CrossRef]
- Zaidat, O.O.; Castonguay, A.C.; Linfante, I.; Gupta, R.; Martin, C.O.; Holloway, W.E.; Mueller-Kronast, N.; English, J.D.; Dabus, G.; Malisch, T.W.; et al. First Pass Effect: A New Measure for Stroke Thrombectomy Devices. Stroke 2018, 49, 660–666. [Google Scholar] [CrossRef]
- Jadhav, A.P.; Desai, S.M.; Zaidat, O.O.; Nogueira, R.G.; Jovin, T.G.; Haussen, D.C.; Mueller-Kronast, N.; Liebeskind, D.S. First Pass Effect With Neurothrombectomy for Acute Ischemic Stroke: Analysis of the Systematic Evaluation of Patients Treated With Stroke Devices for Acute Ischemic Stroke Registry. Stroke 2022, 53, e30–e32. [Google Scholar] [CrossRef]
- Kaesmacher, J.; Boeckh-Behrens, T.; Simon, S.; Maegerlein, C.; Kleine, J.F.; Zimmer, C.; Schirmer, L.; Poppert, H.; Huber, T. Risk of Thrombus Fragmentation during Endovascular Stroke Treatment. Am. J. Neuroradiol. 2017, 38, 991–998. [Google Scholar] [CrossRef]
- Ye, G.; Qi, P.; Chen, K.; Tan, T.; Cao, R.; Chen, J.; Lu, J.; Wang, D. Risk of secondary embolism events during mechanical thrombectomy for acute ischemic stroke: A single-center study based on histological analysis. Clin. Neurol. Neurosurg. 2020, 193, 105749. [Google Scholar] [CrossRef]
- Aloizou, A.M.; Richter, D.; James, J.C.; Lukas, C.; Gold, R.; Krogias, C. Mechanical Thrombectomy for Acute Ischemic Stroke in Patients with Malignancy: A Systematic Review. J. Clin. Med. 2022, 11, 4696. [Google Scholar] [CrossRef]
- Lee, E.J.; Bae, J.; Jeong, H.B.; Lee, E.J.; Jeong, H.Y.; Yoon, B.W. Effectiveness of mechanical thrombectomy in cancer-related stroke and associated factors with unfavorable outcome. BMC Neurol. 2021, 21, 57. [Google Scholar] [CrossRef]
- Pan, K.H.; Kim, J.; Chung, J.W.; Kim, K.H.; Bang, O.Y.; Jeon, P.; Kim, G.M.; Seo, W.K. Significance of D-Dimer in Acute Ischemic Stroke Patients With Large Vessel Occlusion Accompanied by Active Cancer. Front. Neurol. 2022, 13, 843871. [Google Scholar] [CrossRef]
- Fu, C.H.; Chen, C.H.; Lin, Y.H.; Lee, C.W.; Tsai, L.K.; Tang, S.C.; Shun, C.T.; Jeng, J.S. Fibrin and Platelet-Rich Composition in Retrieved Thrombi Hallmarks Stroke With Active Cancer. Stroke 2020, 51, 3723–3727. [Google Scholar] [CrossRef]
- Heo, J.H.; Nam, H.S.; Kim, Y.D.; Choi, J.K.; Kim, B.M.; Kim, D.J.; Kwon, I. Pathophysiologic and Therapeutic Perspectives Based on Thrombus Histology in Stroke. J. Stroke 2020, 22, 64–75. [Google Scholar] [CrossRef]
- Jolugbo, P.; Ariens, R.A.S. Thrombus Composition and Efficacy of Thrombolysis and Thrombectomy in Acute Ischemic Stroke. Stroke 2021, 52, 1131–1142. [Google Scholar] [CrossRef]
- Johnson, S.; Chueh, J.; Gounis, M.J.; McCarthy, R.; McGarry, J.P.; McHugh, P.E.; Gilvarry, M. Mechanical behavior of in vitro blood clots and the implications for acute ischemic stroke treatment. J. Neurointerventional Surg. 2020, 12, 853–857. [Google Scholar] [CrossRef]
- Boodt, N.; van Schauburg, P.R.W.S.; Hund, H.M.; Fereidoonnezhad, B.; McGarry, J.P.; Akyildiz, A.C.; van Es, A.; De Meyer, S.F.; Dippel, D.W.J.; Lingsma, H.F.; et al. Mechanical Characterization of Thrombi Retrieved With Endovascular Thrombectomy in Patients With Acute Ischemic Stroke. Stroke 2021, 52, 2510–2517. [Google Scholar] [CrossRef]
- Weafer, F.M.; Duffy, S.; Machado, I.; Gunning, G.; Mordasini, P.; Roche, E.; McHugh, P.E.; Gilvarry, M. Characterization of strut indentation during mechanical thrombectomy in acute ischemic stroke clot analogs. J. Neurointerventional Surg. 2019, 11, 891–897. [Google Scholar] [CrossRef]
- Fereidoonnezhad, B.; Dwivedi, A.; Johnson, S.; McCarthy, R.; McGarry, P. Blood clot fracture properties are dependent on red blood cell and fibrin content. Acta Biomater. 2021, 127, 213–228. [Google Scholar] [CrossRef]
- Matsumoto, M.; Sakaguchi, M.; Okazaki, S.; Furukado, S.; Tagaya, M.; Etani, H.; Shimazu, T.; Yoshimine, T.; Mochizuki, H.; Kitagawa, K. Relationship between plasma (D)-dimer level and cerebral infarction volume in patients with nonvalvular atrial fibrillation. Cerebrovasc. Dis. 2013, 35, 64–72. [Google Scholar] [CrossRef]
- Zang, R.S.; Zhang, H.; Xu, Y.; Zhang, S.M.; Liu, X.; Wang, J.; Gao, Y.Z.; Shu, M.; Mei, B.; Li, H.G. Serum C-reactive protein, fibrinogen and D-dimer in patients with progressive cerebral infarction. Transl. Neurosci. 2016, 7, 84–88. [Google Scholar] [CrossRef]
- Wang, J.; Ning, R.; Wang, Y. Plasma D-dimer Level, the Promising Prognostic Biomarker for the Acute Cerebral Infarction Patients. J. Stroke Cerebrovasc. Dis. 2016, 25, 2011–2015. [Google Scholar] [CrossRef]
- Yang, X.Y.; Gao, S.; Ding, J.; Chen, Y.; Zhou, X.S.; Wang, J.E. Plasma D-dimer predicts short-term poor outcome after acute ischemic stroke. PLoS ONE 2014, 9, e89756. [Google Scholar] [CrossRef]
- Zhang, J.; Liu, L.; Tao, J.; Song, Y.; Fan, Y.; Gou, M.; Xu, J. Prognostic role of early D-dimer level in patients with acute ischemic stroke. PLoS ONE 2019, 14, e0211458. [Google Scholar] [CrossRef]
- Hisamitsu, Y.; Kubo, T.; Fudaba, H.; Sugita, K.; Fujiki, M.; Ide, S.; Kiyosue, H.; Hori, Y. High D-Dimer Concentration Is a Significant Independent Prognostic Factor in Patients with Acute Large Vessel Occlusion Undergoing Endovascular Thrombectomy. World Neurosurg. 2022, 160, e487–e493. [Google Scholar] [CrossRef]
- Baek, J.H.; Kim, B.M.; Heo, J.H.; Kim, D.J.; Nam, H.S.; Kim, Y.D. Outcomes of Endovascular Treatment for Acute Intracranial Atherosclerosis-Related Large Vessel Occlusion. Stroke 2018, 49, 2699–2705. [Google Scholar] [CrossRef]
- Qiu, K.; Jia, Z.Y.; Cao, Y.Z.; Zhao, L.B.; Xu, X.Q.; Shi, H.B.; Liu, S. Early plasma D-dimer as a predictor of acute intracranial atherosclerosis-related large vessel occlusion in acute ischemic stroke. Acta Radiol. 2023, 64, 1139–1147. [Google Scholar] [CrossRef]



| n = 215 | |
| Demographics and stroke risk factors | |
| Age (years) | 71.3 (±12.9) |
| Men | 113 (52.6) |
| Hypertension | 158 (73.5) |
| Diabetes | 71 (33.0) |
| Dyslipidemia | 54 (25.1) |
| Current smoking | 31 (14.4) |
| Coronary artery occlusive disease | 30 (14.0) |
| Atrial fibrillation | 112 (52.1) |
| Clinical conditions | |
| Initial NIHSS score | 14.0 [9.0; 19.0] |
| Intravenous tPA administration | 68 (31.6) |
| Location of occlusions | |
| Internal carotid artery | 72 (33.5) |
| Middle cerebral artery | 117 (54.4) |
| Vertebral artery | 3 (1.4) |
| Basilar artery | 23 (10.7) |
| Onset-to-puncture time (minutes) | 352.0 [170.0; 719.0] |
| Use of balloon guide catheter | 183 (85.1) |
| Endovascular outcomes | |
| Successful recanalization | 203 (94.4) |
| mTICI grades | |
| 0 | 5 (2.3) |
| 1 | 1 (0.5) |
| 2a | 6 (2.8) |
| 2b | 65 (30.2) |
| 3 | 138 (64.2) |
| Puncture-to-recanalization time (minutes) | 31.0 [20.0; 54.0] |
| First-pass recanalization | |
| Modified first-pass effect | 90 (41.9) |
| First-pass effect | 71 (33.0) |
| Thrombus fragmentation | 79 (36.7) |
| Number of passes of thrombectomy device | 2.2 (±1.5) |
| Favorable outcome | 87 (40.5) |
| Tertile 1 284.0 ng/mL [216.5; 392.0] (n = 72) | Tertile 2 761.5 ng/mL [615.2; 1022.2] (n = 72) | Tertile 3 3285.0 ng/mL [2594.0; 7206.0] (n = 71) | p-Value * | |
|---|---|---|---|---|
| Demographics and stroke risk factors | ||||
| Age (years) | 68.0 (±13.8) | 73.7 (±11.8) | 72.0 (±12.4) | 0.058 |
| Men | 46 (63.9) | 39 (54.2) | 28 (39.4) | 0.004 |
| Hypertension | 52 (72.2) | 52 (72.2) | 54 (76.1) | 0.605 |
| Diabetes | 23 (31.9) | 22 (30.6) | 26 (36.6) | 0.555 |
| Dyslipidemia | 24 (33.3) | 17 (23.6) | 13 (18.3) | 0.039 |
| Current smoking | 14 (19.4) | 10 (13.9) | 7 (9.9) | 0.103 |
| Coronary artery occlusive disease | 9 (12.5) | 14 (19.4) | 7 (9.9) | 0.654 |
| Atrial fibrillation | 29 (40.3) | 45 (62.5) | 38 (53.5) | 0.112 |
| Clinical conditions | ||||
| Initial NIHSS score | 10.5 [6.0; 16.0] | 15.0 [9.8; 19.2] | 15.0 [12.0; 19.5] | <0.001 |
| Intravenous tPA administration | 10 (13.9) | 31 (43.1) | 27 (38.0) | 0.002 |
| Location of occlusions | 0.589 | |||
| Internal carotid artery | 18 (25.0) | 30 (41.7) | 24 (33.8) | |
| Middle cerebral artery | 44 (61.1) | 35 (48.6) | 38 (53.5) | |
| Vertebral artery | 9 (12.5) | 6 (8.3) | 8 (11.3) | |
| Basilar artery | 1 (1.4) | 1 (1.4) | 1 (1.4) | |
| Onset-to-puncture time (minutes) | 531.0 [266.0; 908.0] | 308.0 [166.0; 657.0] | 265.0 [160.0; 650.0] | 0.007 |
| Use of balloon guide catheter | 59 (81.9) | 64 (88.9) | 60 (84.5) | 0.664 |
| Endovascular outcomes | ||||
| Successful recanalization | 67 (93.1) | 70 (97.2) | 66 (93.0) | 0.984 |
| Puncture-to-recanalization time (minutes) | 28.0 [18.0; 48.0] | 30.0 [24.0; 54.0] | 37.5 [23.2; 61.2] | 0.044 |
| Complete recanalization | 46 (63.9) | 51 (70.8) | 41 (57.7) | 0.448 |
| First-pass recanalization | ||||
| Modified first-pass effect | 35 (48.6) | 35 (48.6) | 20 (28.2) | 0.014 |
| First-pass effect | 30 (41.7) | 26 (36.1) | 15 (21.1) | 0.009 |
| Thrombus fragmentation | 23 (31.9) | 24 (33.3) | 32 (45.1) | 0.105 |
| Number of passes of thrombectomy device | 1.8 (±1.4) | 2.0 (±1.4) | 2.7 (±1.5) | 0.002 |
| Favorable outcome | 42 (58.3) | 33 (45.8) | 12 (16.9) | <0.001 |
| First-Pass Effect (−) (n = 144) | First-Pass Effect (+) (n = 71) | p-Value | |
|---|---|---|---|
| Factors that might affect first-pass effect | |||
| Demographics and stroke risk factors | |||
| Age (years) | 70.9 (±12.3) | 72.0 (±13.9) | 0.551 |
| Men | 75 (52.1) | 38 (53.5) | 0.843 |
| Hypertension | 104 (72.2) | 54 (76.1) | 0.549 |
| Diabetes | 43 (29.9) | 28 (39.4) | 0.160 |
| Dyslipidemia | 31 (21.5) | 23 (32.4) | 0.084 |
| Current smoking | 23 (16.0) | 8 (11.3) | 0.356 |
| Coronary artery occlusive disease | 19 (13.2) | 11 (15.5) | 0.647 |
| Atrial fibrillation | 75 (52.1) | 37 (52.1) | 0.997 |
| Clinical conditions | |||
| Initial NIHSS score | 14.0 [9.0; 19.0] | 14.0 [8.5; 19.0] | 0.756 |
| Intravenous tPA administration | 47 (32.6) | 21 (29.6) | 0.650 |
| Location of occlusions | 0.064 | ||
| Internal carotid artery | 42 (29.2) | 30 (42.3) | |
| Middle cerebral artery | 86 (59.7) | 31 (43.7) | |
| Vertebral artery | 3 (2.1) | 0 (0.0) | |
| Basilar artery | 13 (9.0) | 10 (14.1) | |
| Onset-to-puncture time (minutes) | 394.0 [180.0; 736.0] | 311.0 [156.0; 636.0] | 0.300 |
| Use of balloon guide catheter | 123 (85.4) | 60 (84.5) | 0.860 |
| Preprocedural D-dimer level (ng/mL) | 879.0 [437.0; 2748.0] | 606.0 [268.0; 1062.0] | 0.002 |
| Outcomes following first-pass effect | |||
| Endovascular outcomes | |||
| Successful recanalization | 132 (91.7) | 71 (100.0) | 0.010 |
| Puncture-to-recanalization time (minutes) | 40.5 [26.8; 66.2] | 22.0 [14.0; 29.0] | <0.001 |
| Complete recanalization | 67 (46.5) | 71 (100.0) | <0.001 |
| Modified first-pass effect | 19 (13.2) | 71 (100.0) | <0.001 |
| Thrombus fragmentation | 79 (54.9) | 0 (0.0) | <0.001 |
| Number of passes of thrombectomy device | 2.8 (±1.5) | 1.0 (±0.0) | <0.001 |
| Favorable outcome | 49 (34.0) | 38 (53.5) | 0.006 |
| Favorable Outcome (−) (n = 128) | Favorable Outcome (+) (n = 87) | p-Value | |
|---|---|---|---|
| Demographics and stroke risk factors | |||
| Age (years) | 73.5 (±12.3) | 67.9 (±13.0) | 0.002 |
| Men | 56 (43.8) | 57 (65.5) | 0.002 |
| Hypertension | 102 (79.7) | 56 (64.4) | 0.012 |
| Diabetes | 51 (39.8) | 20 (23.0) | 0.010 |
| Dyslipidemia | 23 (18.0) | 31 (35.6) | 0.003 |
| Current smoking | 17 (13.3) | 14 (16.1) | 0.565 |
| Coronary artery occlusive disease | 15 (11.7) | 15 (17.2) | 0.251 |
| Atrial fibrillation | 69 (53.9) | 43 (49.4) | 0.519 |
| Clinical conditions | |||
| Initial NIHSS score | 16.0 [12.0; 20.0] | 10.0 [6.0; 14.0] | <0.001 |
| Intravenous tPA administration | 33 (25.8) | 35 (40.2) | 0.025 |
| Location of occlusions | 0.712 | ||
| Internal carotid artery | 44 (34.4) | 28 (32.2) | |
| Middle cerebral artery | 66 (51.6) | 51 (58.6) | |
| Vertebral artery | 2 (1.6) | 1 (1.2) | |
| Basilar artery | 16 (12.5) | 7 (8.1) | |
| Onset-to-puncture time (minutes) | 426.0 [188.0; 793.0] | 309.0 [166.0; 662.0] | 0.106 |
| Use of balloon guide catheter | 105 (82.0) | 78 (89.7) | 0.123 |
| Endovascular outcomes | |||
| Successful recanalization | 117 (91.4) | 86 (98.9) | 0.030 |
| Puncture-to-recanalization time (minutes) | 40.0 [22.0; 63.0] | 28.0 [18.2; 37.8] | 0.003 |
| Complete recanalization | 71 (55.5) | 67 (77.0) | 0.001 |
| First-pass recanalization | |||
| Modified first-pass effect | 45 (35.2) | 45 (51.7) | 0.016 |
| First-pass effect | 33 (25.8) | 38 (43.7) | 0.006 |
| Thrombus fragmentation | 52 (40.6) | 27 (31.0) | 0.152 |
| Number of thrombectomy device passes | 2.4 (±1.6) | 1.9 (±1.2) | 0.006 |
| Preprocedural D-dimer level (ng/mL) | 1189.0 [526.0; 3208.0] | 495.0 [290.0; 856.0] | <0.001 |
| aOR (95% CI) | p-Value | |
|---|---|---|
| Age | 0.97 (0.94–0.99) | 0.048 * |
| Men | 2.31 (1.09–4.93) | 0.030 * |
| Hypertension | 0.60 (0.25–1.43) | 0.246 |
| Diabetes | 0.34 (0.15–0.81) | 0.014 * |
| Dyslipidemia | 3.17 (1.34–7.48) | 0.009 ** |
| Initial NIHSS score | 0.85 (0.79–0.91) | <0.001 *** |
| Intravenous tPA administration | 2.28 (1.08–4.82) | 0.031 * |
| Successful recanalization | 16.3 (1.62–163.1) | 0.018 * |
| First-pass effect | 3.05 (1.17–7.94) | 0.023 * |
| Number of thrombectomy device passes | 1.14 (0.82–1.57) | 0.440 |
| Preprocedural D-dimer level (per 500 ng/mL) | 0.88 (0.81–0.97) | 0.008 ** |
Disclaimer/Publisher’s Note: The statements, opinions and data contained in all publications are solely those of the individual author(s) and contributor(s) and not of MDPI and/or the editor(s). MDPI and/or the editor(s) disclaim responsibility for any injury to people or property resulting from any ideas, methods, instructions or products referred to in the content. |
© 2023 by the authors. Licensee MDPI, Basel, Switzerland. This article is an open access article distributed under the terms and conditions of the Creative Commons Attribution (CC BY) license (https://creativecommons.org/licenses/by/4.0/).
Share and Cite
Baek, J.-H.; Heo, J.H.; Nam, H.S.; Kim, B.M.; Kim, D.J.; Kim, Y.D. Preprocedural D-Dimer Level as a Predictor of First-Pass Recanalization and Functional Outcome in Endovascular Treatment of Acute Ischemic Stroke. J. Clin. Med. 2023, 12, 6289. https://doi.org/10.3390/jcm12196289
Baek J-H, Heo JH, Nam HS, Kim BM, Kim DJ, Kim YD. Preprocedural D-Dimer Level as a Predictor of First-Pass Recanalization and Functional Outcome in Endovascular Treatment of Acute Ischemic Stroke. Journal of Clinical Medicine. 2023; 12(19):6289. https://doi.org/10.3390/jcm12196289
Chicago/Turabian StyleBaek, Jang-Hyun, Ji Hoe Heo, Hyo Suk Nam, Byung Moon Kim, Dong Joon Kim, and Young Dae Kim. 2023. "Preprocedural D-Dimer Level as a Predictor of First-Pass Recanalization and Functional Outcome in Endovascular Treatment of Acute Ischemic Stroke" Journal of Clinical Medicine 12, no. 19: 6289. https://doi.org/10.3390/jcm12196289
APA StyleBaek, J.-H., Heo, J. H., Nam, H. S., Kim, B. M., Kim, D. J., & Kim, Y. D. (2023). Preprocedural D-Dimer Level as a Predictor of First-Pass Recanalization and Functional Outcome in Endovascular Treatment of Acute Ischemic Stroke. Journal of Clinical Medicine, 12(19), 6289. https://doi.org/10.3390/jcm12196289

