Short- and Long-Term Outcomes in Elderly Patients Following Hand-Assisted Laparoscopic Surgery for Colorectal Liver Metastasis
Abstract
1. Introduction
2. Materials and Methods
2.1. Surgical Technique
2.2. Statistical Analysis
3. Results
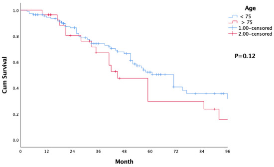
Comparison between Patients in G1 and G2
4. Discussion
5. Conclusions
Author Contributions
Funding
Institutional Review Board Statement
Informed Consent Statement
Data Availability Statement
Conflicts of Interest
References
- Keum, N.; Giovannucci, E. Global burden of colorectal cancer: Emerging trends, risk factors and prevention strategies. Nat. Rev. Gastroenterol. Hepatol. 2019, 16, 713–732. [Google Scholar] [CrossRef] [PubMed]
- Martínez-Cecilia, D.; Cipriani, F.; Shelat, V.; Ratti, F.; Tranchart, H.; Barkhatov, L.; Tomassini, F.; Montalti, R.; Halls, M.; Troisi, R.I.; et al. Laparoscopic versus Open Liver Resection for Colorectal Metastases in Elderly and Octogenarian Patients: A Multicenter Propensity Score Based Analysis of Short- and Long-term Outcomes. Ann. Surg. 2017, 265, 1192–1200. [Google Scholar] [CrossRef] [PubMed]
- Fretland, Å.A.; Kazaryan, A.M.; Bjørnbeth, B.A.; Flatmark, K.; Andersen, M.H.; Tønnessen, T.I.; Bjørnelv, G.M.W.; Fagerland, M.W.; Kristiansen, R.; Øyri, K.; et al. Open versus laparoscopic liver resection for colorectal liver metastases (the Oslo-CoMet Study): Study protocol for a randomized controlled trial. Trials 2015, 16, 73. [Google Scholar] [CrossRef] [PubMed]
- Buell, J.F.; Cherqui, D.; Geller, D.A.; O’Rourke, N.; Iannitti, D.; Dagher, I.; Koffron, A.J.; Thomas, M.; Gayet, B.; Han, H.S.; et al. The international position on laparoscopic liver surgery: The Louisville Statement, 2008. Ann. Surg. 2009, 250, 825–830. [Google Scholar] [CrossRef] [PubMed]
- Mahamid, A.; Sawaied, M.; Berger, Y.; Halim, N.A.; Goldberg, N.; Abu-Zaydeh, O.; Bitterman, A.; Sadot, E.; Haddad, R. Hand-assisted Laparoscopic Surgery for Colorectal Liver Metastasis: Analysis of Short-term and Long-term Results. Surg. Laparosc. Endosc. Percutan. Tech. 2021, 31, 543–549. [Google Scholar] [CrossRef]
- Wabitsch, S.; Haber, P.K.; Ekwelle, N.; Kästner, A.; Krenzien, F.; Benzing, C.; Atanasov, G.; Bellingrath, J.-S.; Bauer, G.; Schöning, W.; et al. Minimally Invasive Liver Surgery in Elderly Patients-A Single-Center Experience. J. Surg. Res. 2019, 239, 92–97. [Google Scholar] [CrossRef]
- Sadot, E.; Goldberg, N.; Damoni, E.; Aranovich, D.; Kashtan, H.; Bitterman, A.; Haddad, R. Laparoscopic hand-assisted liver resection for tumours in the left lateral section. J. Minim. Access Surg. 2020, 16, 35–40. [Google Scholar] [CrossRef]
- Dindo, D.; Demartines, N.; Clavien, P.-A. Classification of surgical complications: A new proposal with evaluation in a cohort of 6336 patients and results of a survey. Ann. Surg. 2004, 240, 205–213. [Google Scholar] [CrossRef]
- Al-Refaie, W.B.; Parsons, H.M.; Henderson, W.G.; Jensen, E.H.; Tuttle, T.M.; Vickers, S.M.; Rothenberger, D.A.; Virnig, B.A. Major cancer surgery in the elderly: Results from the American College of Surgeons National Surgical Quality Improvement Program. Ann. Surg. 2010, 251, 311–318. [Google Scholar] [CrossRef]
- Uchida, H.; Iwashita, Y.; Watanabe, K.; Takayama, H.; Kawasaki, T.; Yada, K.; Ohta, M.; Kitano, S.; Inomata, M. Surgical outcomes of laparoscopic liver resection in elderly patients: A comparative study from a single center. Surg. Laparosc. Endosc. Percutan. Tech. 2015, 25, e109–e112. [Google Scholar] [CrossRef]
- van der Geest, L.G.M.; Lam-Boer, J.; Koopman, M.; Verhoef, C.; Elferink, M.A.G.; de Wilt, J.H.W. Nationwide trends in incidence, treatment and survival of colorectal cancer patients with synchronous metastases. Clin. Exp. Metastasis 2015, 32, 457–465. [Google Scholar] [CrossRef] [PubMed]
- Edwards, B.K.; Howe, H.L.; Ries, L.A.G.; Thun, M.J.; Rosenberg, H.M.; Yancik, R.; Wingo, P.A.; Jemal, A.; Feigal, E.G. Annual report to the nation on the status of cancer, 1973-1999, featuring implications of age and aging on U. S. cancer burden. Cancer 2002, 94, 2766–2792. [Google Scholar] [CrossRef] [PubMed]
- Anaya, D.A.; Becker, N.S.; Abraham, N.S. Global graying, colorectal cancer and liver metastasis: New implications for surgical management. Crit. Rev. Oncol. Hematol. 2011, 77, 100–108. [Google Scholar] [CrossRef] [PubMed]
- Wakabayashi, G.; Cherqui, D.; Geller, D.A.; Buell, J.F.; Kaneko, H.; Han, H.S.; Asbun, H.; O’Rourke, N.; Tanabe, M.; Koffron, A.J.; et al. Recommendations for laparoscopic liver resection: A report from the second international consensus conference held in Morioka. Ann. Surg. 2015, 261, 619–629. [Google Scholar] [PubMed]
- Abu Hilal, M.; Aldrighetti, L.; Dagher, I.; Edwin, B.; Troisi, R.I.; Alikhanov, R.; Aroori, S.; Belli, G.; Besselink, M.; Briceno, J.; et al. The southampton consensus guidelines for laparoscopic liver surgery: From indication to implementation. Ann. Surg. 2018, 268, 11–18. [Google Scholar] [CrossRef] [PubMed]
- Menon, K.V.; Al-Mukhtar, A.; Aldouri, A.; Prasad, R.K.; Lodge, P.A.; Toogood, G.J. Outcomes after major hepatectomy in elderly patients. J. Am. Coll. Surg. 2006, 203, 677–683. [Google Scholar] [CrossRef]
- Reddy, S.K.; Barbas, A.S.; Turley, R.S.; Gamblin, T.C.; Geller, D.A.; Marsh, J.W.; Tsung, A.; Clary, B.M.; Lagoo-Deenadayalan, S. Major liver resection in elderly patients: A multi-institutional analysis. J. Am. Coll. Surg. 2011, 212, 787–795. [Google Scholar] [CrossRef] [PubMed]
- Nomi, T.; Fuks, D.; Kawaguchi, Y.; Mal, F.; Nakajima, Y.; Gayet, B. Laparoscopic major hepatectomy for colorectal liver metastases in elderly patients: A single-center, case-matched study. Surg. Endosc. 2015, 29, 1368–1375. [Google Scholar] [CrossRef]
- Ford, G.T.; Rosenal, T.W.; Clergue, F.; Whitelaw, W.A. Respiratory physiology in upper abdominal surgery. Clin. Chest Med. 1993, 14, 237–252. [Google Scholar] [CrossRef]
- Soubrane, O.; Schwarz, L.; Cauchy, F.; Perotto, L.O.; Brustia, R.; Bernard, D.; Scatton, O. A conceptual technique for laparoscopic right hepatectomy based on facts and oncologic principles: The caudal approach. Ann. Surg. 2015, 261, 1226–1231. [Google Scholar] [CrossRef]
- Kanas, G.P.; Taylor, A.; Primrose, J.N.; Langeberg, W.J.; Kelsh, M.A.; Mowat, F.S.; Alexander, D.D.; Choti, M.A.; Poston, G. Survival after liver resection in metastatic colorectal cancer: Review and meta-analysis of prognostic factors. Clin. Epidemiol. 2012, 4, 283–301. [Google Scholar] [CrossRef] [PubMed]
- House, M.G.; Ito, H.; Gönen, M.; Fong, Y.; Allen, P.J.; DeMatteo, R.P.; Brennan, M.F.; Blumgart, L.H.; Jarnagin, W.R.; D’Angelica, M.I. Survival after hepatic resection for metastatic colorectal cancer: Trends in outcomes for 1600 patients during two decades at a single institution. J. Am. Coll. Surg. 2010, 210, 744–752. [Google Scholar] [CrossRef] [PubMed]
- de Haas, R.J.; Wicherts, D.A.; Andreani, P.; Pascal, G.; Saliba, F.; Ichai, P.; Adam, R.; Castaing, D.; Azoulay, D. Impact of expanding criteria for resectability of colorectal metastases on short- and long-term outcomes after hepatic resection. Ann. Surg. 2011, 253, 1069–1079. [Google Scholar] [CrossRef] [PubMed]

| ALL (n = 145) | Young (<75) (n = 117) | Old (≥75) (n = 28) | p Value | |
|---|---|---|---|---|
| Age (years) median | 67 (59:73) | 64 (57:70) | 80 (77:83) | 0.000 |
| Gender | 0.43 | |||
| Male | 89 (61%) | 70 (60%) | 19 (68%) | |
| Female | 56 (39%) | 47 (40%) | 9 (32%) | |
| Primary tumor location | 0.05 | |||
| Right colon | 40 (28%) | 27 (23%) | 13 (47%) | |
| Left colon | 65 (45%) | 54 (46%) | 11 (39%) | |
| Rectum | 35 (24%) | 31 (27%) | 4 (14%) | |
| Missing | 5 (3%) | 5(4%) | ||
| Stage at colon diagnosis | 0.47 | |||
| II | 39 (27%) | 29 (25%) | 10 (36%) | |
| III | 31 (21%) | 25 (21%) | 6 (21%) | |
| IV | 75 (52%) | 63 (54%) | 12 (43%) | |
| Liver tumor | ||||
| size of largest metastases (mm) median | 20(13:35) | 20(13:35) | 32(19:52) | 0.001 |
| Number of Metastases | 0.032 | |||
| 1 | 77 (53%) | 56 (47%) | 21 (75%) | |
| 2 | 27(19%) | 24 (21%) | 3 (11%) | |
| >3 | 41(28%) | 37 (32%) | 4 (14%) | |
| Number, median | 1(1:3) | 2(1:3) | 1(1:2) | 0.019 |
| Fong Clinical Risk Score | 0.144 | |||
| Low | 100 (71%) | 77 (68%) | 23 (82%) | |
| High | 41 (29%) | 36 (32%) | 5 (18%) | |
| Missing | 4 | 4 | ||
| Neoadjuvant therapy | 101 (70%) | 86 (74%) | 15 (53%) | 0.039 |
| ALL (n = 145) | Young (<75) (n = 117) | Old (≥75) (n = 28) | p Value | |
|---|---|---|---|---|
| Type of liver resection | 0.003 | |||
| RT lobectomy | 6 (4%) | 4 (3%) | 2 (7%) | |
| LT Lobectomy | 5 (3%) | 1 (1%) | 4 (14%) | |
| LLT | 22 (16%) | 17 (15%) | 5 (18%) | |
| Anterior segments (non-Anatomical) | 58 (40%) | 46 (39%) | 12 (43%) | |
| Posterior Segments (non-Anatomical) | 54 (37%) | 49 (42%) | 5 (18%) | |
| Conversion | 8 (6%) | 5 (4%) | 3 (11%) | 0.09 |
| Operative Time (min) median | 172 (125:233) | 178 (125:240) | 168 (147:235) | 0.86 |
| Blood Transfusion | 34 (23%) | 26 (22%) | 8 (29%) | 0.47 |
| Complications | 32(23%) | 22 (19%) | 10 (36%) | 0.06 |
| Hospital stay (days) median | 6 (5:7) | 5 (4:7) | 7 (5:10) | 0.22 |
| surgical margins R0 | 132 (91%) | 106 (91%) | 26 (93%) | 0.78 |
| Adjuvant Chemotherapy | 102 (70%) | 79 (67%) | 23 (82%) | 0.14 |
| ALL (n = 145) | Young (<75) (n = 117) | Old (≥75) (n = 28) | p Value | |
|---|---|---|---|---|
| Median follow-up (months) | 40 (23:56) | 41 (19:92) | 0.32 | |
| Overall survival | ||||
| Median (months) | 59 (48:69) | 71 (58:83) | 45 (31:58) | 0.12 |
| 12 (months) | 94% | 95% | 96% | |
| 24 (months) | 85% | 86% | 80% | |
| 36 (months) | 73% | 73% | 67% | |
| 60 (months) | 47% | 52% | 30% |
Disclaimer/Publisher’s Note: The statements, opinions and data contained in all publications are solely those of the individual author(s) and contributor(s) and not of MDPI and/or the editor(s). MDPI and/or the editor(s) disclaim responsibility for any injury to people or property resulting from any ideas, methods, instructions or products referred to in the content. |
© 2023 by the authors. Licensee MDPI, Basel, Switzerland. This article is an open access article distributed under the terms and conditions of the Creative Commons Attribution (CC BY) license (https://creativecommons.org/licenses/by/4.0/).
Share and Cite
Mahamid, A.; Abu-Zaydeh, O.; Mattar, S.; Kazlow, E.; Froylich, D.; Sawaied, M.; Goldberg, N.; Berger, Y.; Sadot, E.; Haddad, R. Short- and Long-Term Outcomes in Elderly Patients Following Hand-Assisted Laparoscopic Surgery for Colorectal Liver Metastasis. J. Clin. Med. 2023, 12, 4785. https://doi.org/10.3390/jcm12144785
Mahamid A, Abu-Zaydeh O, Mattar S, Kazlow E, Froylich D, Sawaied M, Goldberg N, Berger Y, Sadot E, Haddad R. Short- and Long-Term Outcomes in Elderly Patients Following Hand-Assisted Laparoscopic Surgery for Colorectal Liver Metastasis. Journal of Clinical Medicine. 2023; 12(14):4785. https://doi.org/10.3390/jcm12144785
Chicago/Turabian StyleMahamid, Ahmad, Omar Abu-Zaydeh, Samar Mattar, Esther Kazlow, Dvir Froylich, Muneer Sawaied, Natalia Goldberg, Yael Berger, Eran Sadot, and Riad Haddad. 2023. "Short- and Long-Term Outcomes in Elderly Patients Following Hand-Assisted Laparoscopic Surgery for Colorectal Liver Metastasis" Journal of Clinical Medicine 12, no. 14: 4785. https://doi.org/10.3390/jcm12144785
APA StyleMahamid, A., Abu-Zaydeh, O., Mattar, S., Kazlow, E., Froylich, D., Sawaied, M., Goldberg, N., Berger, Y., Sadot, E., & Haddad, R. (2023). Short- and Long-Term Outcomes in Elderly Patients Following Hand-Assisted Laparoscopic Surgery for Colorectal Liver Metastasis. Journal of Clinical Medicine, 12(14), 4785. https://doi.org/10.3390/jcm12144785

