Comparing Airway Analysis in Two-Time Points after Rapid Palatal Expansion: A CBCT Study
Abstract
1. Introduction
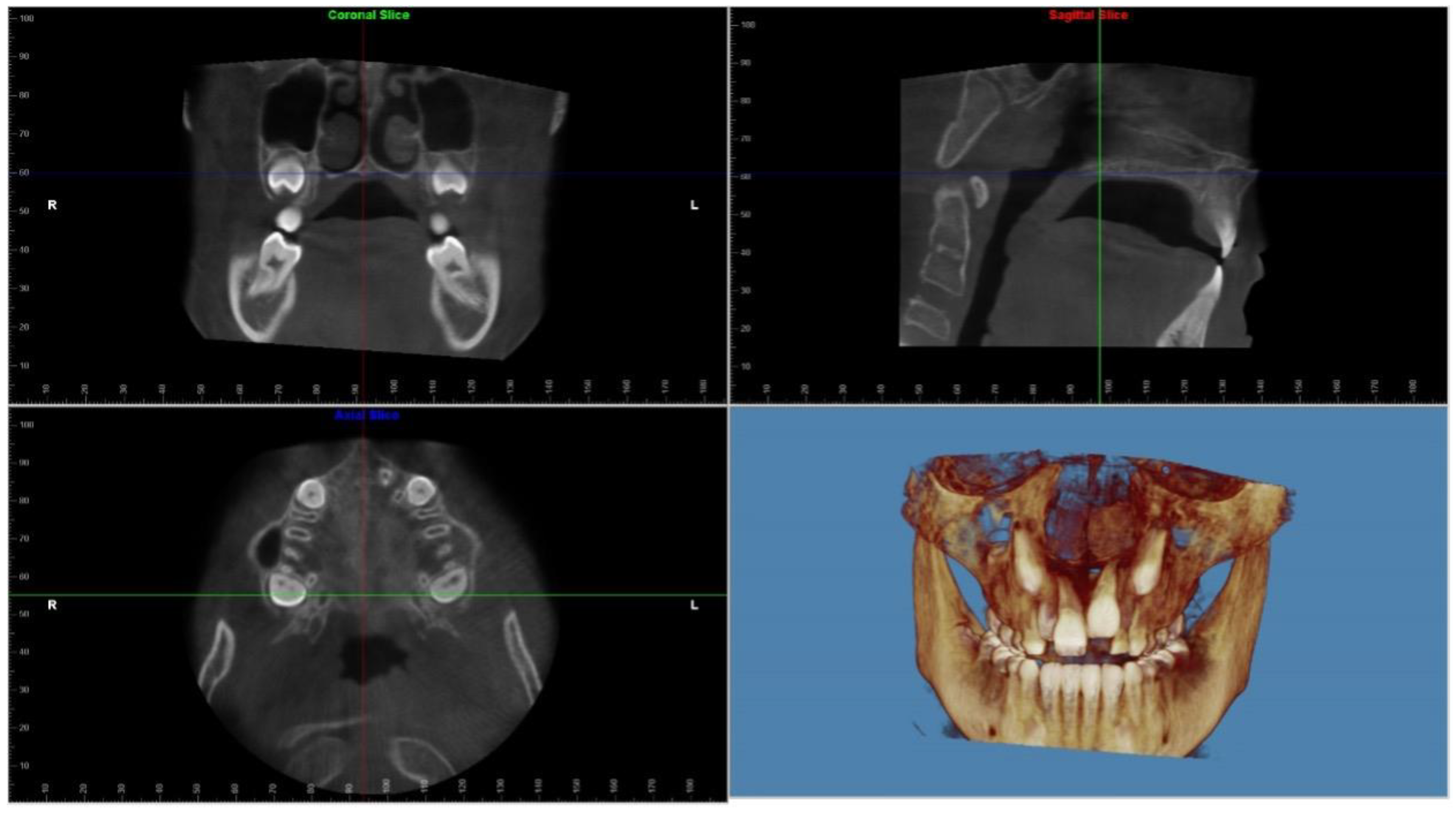
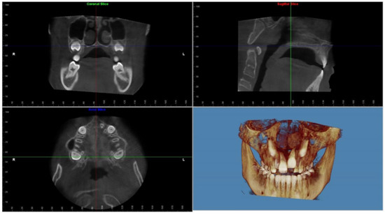
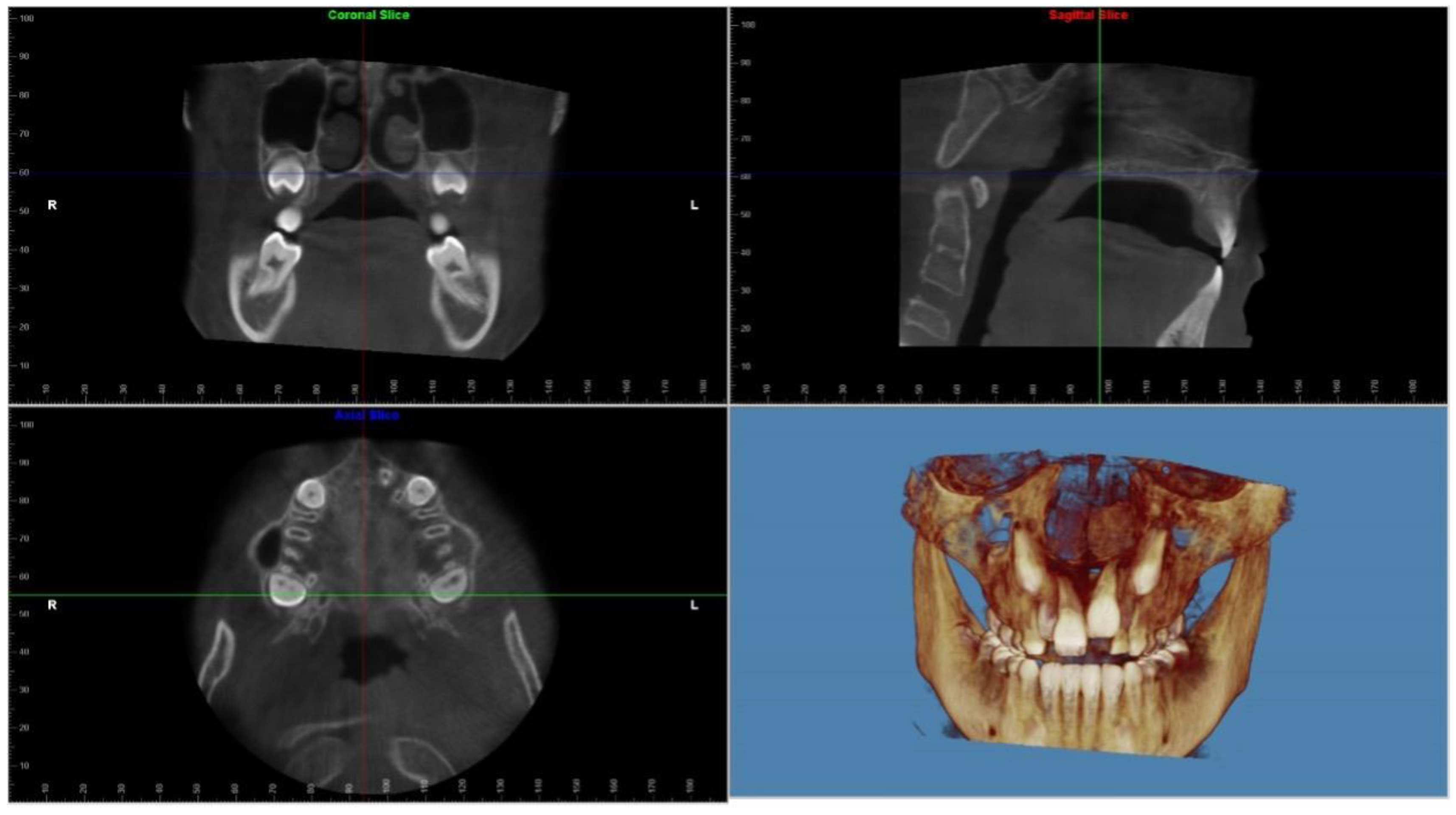
2. Materials and Methods
Statistical Analysis
3. Results
3.1. Airway Volume
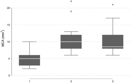
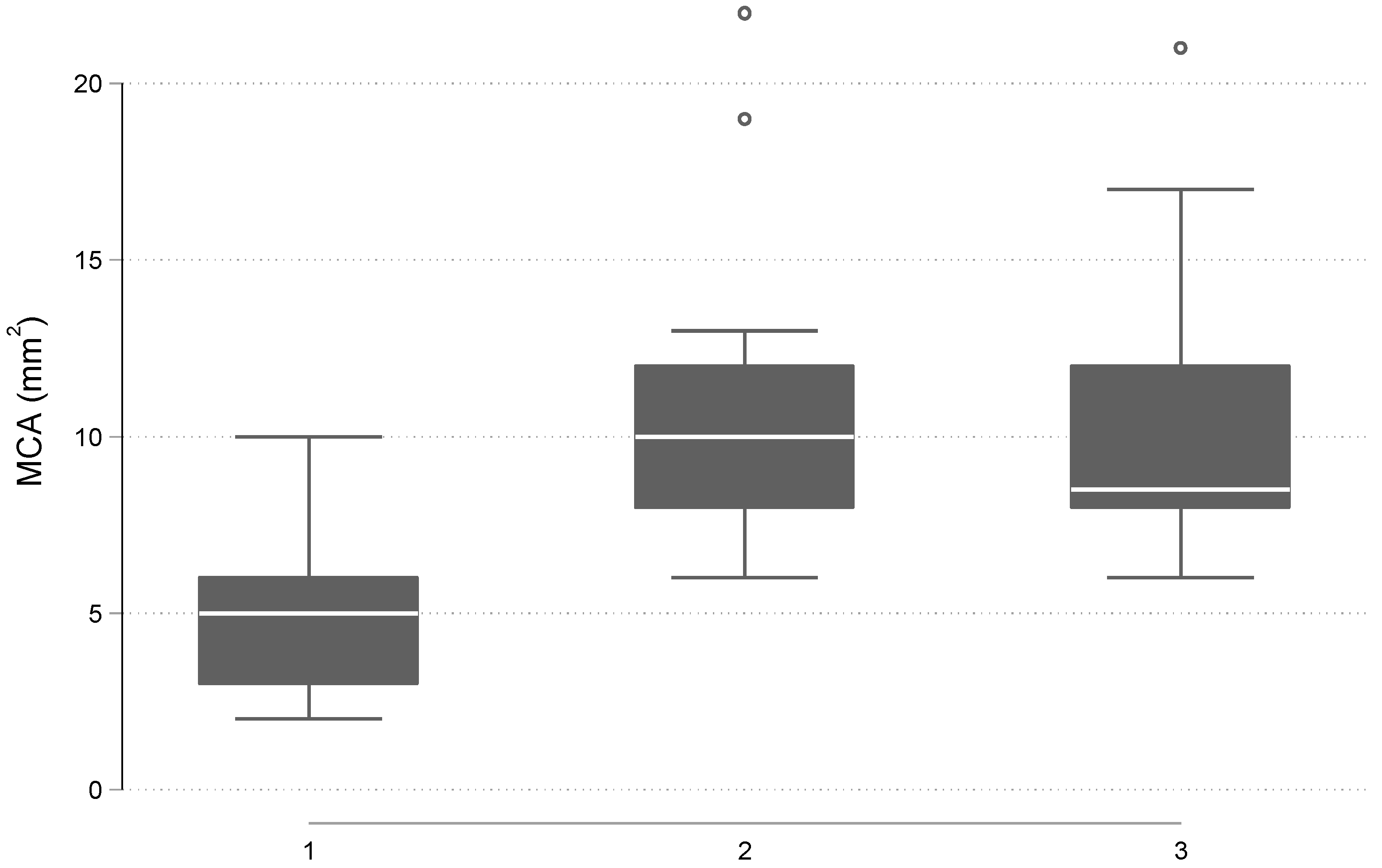
3.2. Minimal Cross-Sectional Area
4. Discussion
5. Conclusions
Author Contributions
Funding
Institutional Review Board Statement
Informed Consent Statement
Data Availability Statement
Conflicts of Interest
References
- McNamara, J.A., Jr. Influence of respiratory pattern on craniofacial growth. Angle Orthod. 1981, 51, 269–300. [Google Scholar] [CrossRef]
- Magliocca, K.R.; Helman, J.I. Obstructive sleep apnea: Diagnosis, medical management and dental implications. J. Am. Dent. Assoc. 2005, 136, 1121–1129. [Google Scholar] [CrossRef]
- Hershey, H.G.; Stewart, B.L.; Warren, D.W. Changes in nasal airway resistance associated with rapid maxillary expansion. Am. J. Orthod. 1976, 69, 274–284. [Google Scholar] [CrossRef]
- Abazi, Y.; Cenko, F.; Cardella, M.; Tafa, G.; Laganà, G. Sleep Disordered Breathing: An Epidemiological Study among Albanian Children and Adolescents. Int. J. Environ. Res. Public. Health 2020, 17, 8586. [Google Scholar] [CrossRef]
- Subtelny, J.D. The significance of adenoid tissue in orthodontia. Angle Orthod. 1954, 24, 59–69. [Google Scholar]
- Laganà, G.; Venza, N.; Malara, A.; Liguori, C.; Cozza, P.; Pisano, C. Obstructive Sleep Apnea, Palatal Morphology, and Aortic Dilatation in Marfan Syndrome Growing Subjects: A Retrospective Study. Int. J. Environ. Res. Public. Health 2021, 18, 3045. [Google Scholar] [CrossRef] [PubMed]
- Riley, R.; Guilleminault, C.; Herran, J.; Powell, N. Cephalometric analyses and flow volume loops in obstructive sleep apnea patients. Sleep 1983, 6, 304–317. [Google Scholar] [CrossRef] [PubMed]
- Cistulli, P.A. Craniofacial abnormalities in obstructive sleep apnoea. Implications for treatment. Respirology 1996, 3, 167–174. [Google Scholar] [CrossRef]
- Marcus, C.L. Sleep-disordered breathing in children. Am. J. Respir. Crit. Care Med. 2001, 164, 16–30. [Google Scholar] [CrossRef]
- Angell, E.C. Treatment of irregularities of the permanent or adult teeth. Dental Cosmos. 1860, 1, 540–544. [Google Scholar]
- Lagravere, M.O.; Heo, G.; Major, P.W.; Flores-Mir, C. Meta-analysis of immediate changes with rapid maxillary expansion treatment. J. Am. Dent. Assoc. 2006, 137, 44–53. [Google Scholar] [CrossRef]
- De Felippe, N.L.O.; Da Silveira, A.C.; Viana, G.; Kusnoto, B.; Smith, B.; Evans, C.A. Relationship between rapid maxillary expansion and nasal cavity size and airway resistance: Short- and long-term effects. Am. J. Orthod. Dentofac. Orthop. 2008, 134, 370–382. [Google Scholar] [CrossRef] [PubMed]
- Franchi, L.; Baccetti, T.; Lione, R.; Fanucci, E.; Cozza, P. Modifications of midpalatal sutural density induced by rapid maxillary expansion: A low-dose computed tomography evaluation. Am. J. Orthod. Dentofac. Orthop. 2010, 137, 486–488. [Google Scholar] [CrossRef] [PubMed]
- Warren, D.W.; Hershey, G.; Turvey, T.A.; Hinton, V.A.; Hairfield, W.M. The nasal airway following maxillary expansion. Am. J. Orthod. 1987, 91, 111–116. [Google Scholar] [CrossRef] [PubMed]
- Da Silva, O.G.; do Prado Montes, L.A.; Torelly, L.F. Rapid maxillary expansion in the deciduous and mixed dentition evaluated through posteroanterior cephalometric analysis. Am. J. Orthod. Dentofac. Orthop. 1995, 107, 268–275. [Google Scholar] [CrossRef] [PubMed]
- Cross, D.L.; McDonald, J.P. Effect of rapid maxillary expansion on skeletal, dental, and nasal structures: A postero-anterior cephalometric study. Eur. J. Orthod. 2000, 22, 519–528. [Google Scholar] [CrossRef]
- Basciftci, F.A.; Mutlu, N.; Karaman, A.I.; Malkoc, S.; Küçükkolbasi, H. Does the timing and method of rapid maxillary expansion have an effect on the changes in nasal dimensions? Angle Orthod. 2002, 72, 118–123. [Google Scholar]
- Georgiadis, T.; Angelopoulos, C.; Papadopoulos, M.A.; Kolokitha, O.E. Three-Dimensional Cone-Beam Computed Tomography Evaluation of Changes in Naso-Maxillary Complex Associated with Rapid Palatal Expansion. Diagnostics 2023, 13, 1322. [Google Scholar] [CrossRef]
- Haas, A.J. Rapid expansion of the maxillary dental arch and nasal cavity by opening the mid palatal suture. Angle Orthod. 1961, 31, 73–89. [Google Scholar]
- Haas, A.J. The treatment of maxillary deficiency by opening the midpalatal suture. Angle Orthod. 1965, 35, 200–217. [Google Scholar]
- Wertz, R.A. Changes in nasal airflow incident to rapid maxillary expansion. Angle Orthod. 1968, 38, 1–11. [Google Scholar]
- Johal, A.; Conaghan, C. Maxillary morphology in obstructive sleep apnea: A cephalometric and model study. Angle Orthod. 2004, 74, 648–656. [Google Scholar]
- Schmidt-Nowara, W.; Lowe, A.; Wiegand, L.; Cartwright, R.; Perez-Guerra, F.; Menn, S. Oral appliances for the treatment of snoring and obstructive sleep apnea: A review. Sleep 1995, 18, 501–510. [Google Scholar] [CrossRef]
- Farronato, G.; Giannini, L.; Galbiati, G.; Maspero, C. Sagittal and vertical effects of rapid maxillary expansion in Class I, II, and III occlusions. Angle Orthod. 2011, 81, 298–303. [Google Scholar] [CrossRef]
- Kurt, G.; Altug-Atac, A.T.; Atac, M.S.; Karasu, H.A. Changes in nasopharyngeal airway following orthopedic and surgically assisted rapid maxillary expansion. J. Craniofac. Surg. 2010, 21, 312–317. [Google Scholar] [CrossRef]
- Buccheri, A.; Dilella, G.; Stella, R. Rapid palatal expansion and pharyngeal space. Cephalometric evaluation. Prog. Orthod. 2004, 5, 160–171. [Google Scholar]
- Altug-Atac, A.T.; Atac, M.S.; Kurt, G.; Karasud, H.A. Changes in nasal structures following orthopaedic and surgically assisted rapid maxillary expansion. Int. J. Oral Maxillofac. Surg. 2010, 39, 129–135. [Google Scholar] [CrossRef]
- Halicioglu, K.; Kilic, N.; Yavuz, I.; Aktan, B. Effects of rapid maxillary expansion with a memory palatal split screw on the morphology of the maxillary dental arch and nasal airway resistance. Eur. J. Orthod. 2010, 32, 716–720. [Google Scholar] [CrossRef]
- Bicakci, A.A.; Agar, U.; Sokucu, O.; Babacan, H.; Doruk, C. Nasal airway changes due to rapid maxillary expansion timing. Angle Orthod. 2005, 75, 1–6. [Google Scholar]
- Gordon, J.M.; Rosenblatt, M.; Witmans, M.; Carey, J.P.; Heo, G.; Major, P.W.; Flores-Mir, C. Rapid palatal expansion effects on nasal airway dimensions as measured by acoustic rhinometry. A systematic review. Angle Orthod. 2009, 79, 1000–1007. [Google Scholar] [CrossRef]
- Deeb, W.; Hansen, L.; Hotan, T.; Hietschold, V.; Harzer, W.; Tausche, E. Changes in nasal volume after surgically assisted bone-borne rapid maxillary expansion. Am. J. Orthod. Dentofac. Orthop. 2010, 137, 782–789. [Google Scholar] [CrossRef] [PubMed]
- Haralambidis, A.; Ari-Demirkaya, A.; Acar, A.; Kucukkeles, N.; Ates, M.; Ozkaya, S. Morphologic changes of the nasal cavity induced by rapid maxillary expansion: A study on 3-dimensional computed tomography models. Am. J. Orthod. Dentofac. Orthop. 2009, 136, 815–821. [Google Scholar] [CrossRef] [PubMed]
- Habersack, K.; Karoglan, A.; Sommer, B.; Benner, K.U. Highresolution multislice computerized tomography with multiplanar and 3-dimensional reformation imaging in rapid palatal expansion. Am. J. Orthod. Dentofac. Orthop. 2007, 131, 776–781. [Google Scholar] [CrossRef] [PubMed]
- Tausche, E.; Deeb, W.; Hansen, L.; Hietschold, V.; Harzer, W.; Schneider, M. CT analysis of nasal volume changes after surgically-assisted rapid maxillary expansion. J. Orofac. Orthop. 2009, 70, 306–317. [Google Scholar] [CrossRef]
- Palomo, J.M.; Rao, P.S.; Hans, M.G. Influence of CBCT exposure conditions on radiation dose. Oral Surg. Oral Med. Oral Pathol. Oral Radiol. Endod. 2008, 105, 773–782. [Google Scholar] [CrossRef]
- El, H.; Palomo, J.M. Measuring the airway in 3 dimensions: A reliability and accuracy study. Am. J. Orthod. Dentofac. Orthop. 2010, 137 (Suppl. S4), S50.e51–S50.e59. [Google Scholar] [CrossRef]
- Kwong, J.C.; Palomo, J.M.; Landers, M.A.; Figueroa, A.; Hans, M.G. Image quality produced by different cone-beam computed tomography settings. Am. J. Orthod. Dentofac. Orthop. 2008, 133, 317–327. [Google Scholar] [CrossRef]
- Fountoulaki, G.; Thurzo, A. Change in the Constricted Airway in Patients after Clear Aligner Treatment: A Retrospective Study. Diagnostics 2022, 12, 2201. [Google Scholar] [CrossRef]
- Osorio, F.; Perilla, M.; Doyle, D.J.; Palomo, J.M. Cone beam computed tomography: An innovative tool for airway assessment. Anesth. Analg. 2008, 106, 1803–1807. [Google Scholar] [CrossRef]
- Tsolakis, I.A.; Venkat, D.; Hans, M.G.; Alonso, A.; Palomo, J.M. When static meets dynamic: Comparing cone-beam computed tomography and acoustic reflection for upper airway analysis. Am. J. Orthod. Dentofac. Orthop. 2016, 150, 643–650. [Google Scholar] [CrossRef]
- Gohl, E.; Nguyen, M.; Enciso, R. Three-dimensional computed tomography comparison of the maxillary palatal vault between patients with rapid palatal expansion and orthodontically treated controls. Am. J. Orthod. Dentofac. Orthop. 2010, 138, 477–485. [Google Scholar] [CrossRef]
- Christie, K.F.; Boucher, N.; Chung, C.H. Effects of bonded rapid palatal expansion on the transverse dimensions of the maxilla: A cone-beam computed tomography study. Am. J. Orthod. Dentofac. Orthop. 2010, 137 (Suppl. S4), S79–S85. [Google Scholar] [CrossRef]
- Gorgulu, S.; Gokce, S.M.; Olmez, H.; Sagdic, D.; Ors, F. Nasal cavity volume changes after rapid maxillary expansion in adolescents evaluated with 3-dimensional simulation and modeling programs. Am. J. Orthod. Dentofac. Orthop. 2011, 140, 633–640. [Google Scholar] [CrossRef]
- El, H.; Palomo, J.M. Three-dimensional evaluation of upper airway following rapid maxillary expansion: A CBCT study. Angle Orthod. 2014, 84, 265–273. [Google Scholar] [CrossRef]
- Tsolakis, I.A.; Kolokitha, O.E.; Papadopoulou, E.; Tsolakis, A.I.; Kilipiris, E.G.; Palomo, J.M. Artificial Intelligence as an Aid in CBCT Airway Analysis: A Systematic Review. Life 2022, 12, 1894. [Google Scholar] [CrossRef]
- Iwasaki, T.; Saitoh, I.; Takemoto, Y.; Inada, E.; Kakuno, E.; Kanomi, R.; Hayasaki, H.; Yamasaki, Y. Tongue posture improvement and pharyngeal airway enlargement as secondary effects of rapid maxillary expansion: A cone-beam computed tomography study. Am. J. Orthod. Dentofac. Orthop. 2013, 143, 235–245. [Google Scholar] [CrossRef]
- Matsumoto, M.A.; Itikawa, C.E.; Valera, F.C.; Faria, G.; Anselmo-Lima, W.T. Long-term effects of rapid maxillary expansion on nasal area and nasal airway resistance. Am. J. Rhinol. Allergy 2010, 24, 161–165. [Google Scholar] [CrossRef]
- Cistulli, P.A.; Palmisano, R.G.; Poole, M.D. Treatment of obstructive sleep apnea syndrome by rapid maxillary expansion. Sleep 1998, 21, 831–835. [Google Scholar] [CrossRef]
- Lanteri, V.; Farronato, M.; Ugolini, A.; Cossellu, G.; Gaffuri, F.; Parisi, F.M.R.; Cavagnetto, D.; Abate, A.; Maspero, C. Volumetric Changes in the Upper Airways after Rapid and Slow Maxillary Expansion in Growing Patients: A Case-Control Study. Materials 2020, 13, 2239. [Google Scholar] [CrossRef]
- Korayem, M.A. Effects of Rapid Maxillary Expansion on Upper Airway Volume in Growing Children: A Three-Dimensional Cone-Beam Computed Tomography Study. Cureus 2023, 15, e34274. [Google Scholar] [CrossRef]
- Ortu, E.; Giannoni, M.; Ortu, M.; Gatto, R.; Monaco, A. Oropharyngeal airway changes after rapid maxillary expansion: The state of the art. Int. J. Clin. Exp. Med. 2014, 7, 1632–1638. [Google Scholar] [PubMed]




| Parameter | ICC (95% CI) |
|---|---|
| V (mm3) | 0.85 (0.84, 0.86) |
| MSC (mm2) | 0.83 (0.81, 0.86) |
| Time | |||||
|---|---|---|---|---|---|
| V (mm3) | 1 | 2 | 3 | Overall | p-Value |
| Mean (SD) | 9292.2 (3595.0) | 12,319.1 (3274.6) | 11,731.3 (3260.6) | 11,114.2 (3553.6) | <0.001 * |
| Median (IQR) | 8922.0 (6607.0, 11,768.0) | 12,071.0 (10,001.0, 14,923.0) | 11,693.5 (9652.0, 14,012.0) | 10,981.5 (8790.0, 13,821.0) | |
| MCA (mm2) | |||||
| Mean (SD) | 5.0 (2.3) | 11.0 (4.5) | 10.3 (4.2) | 8.8 (4.6) | |
| Median (IQR) | 5.0 (3.0, 6.0) | 10.0 (8.0, 12.0) | 8.5 (8.0, 12.0) | 8.0 (6.0, 11.0) | 0.001 ** |
Disclaimer/Publisher’s Note: The statements, opinions and data contained in all publications are solely those of the individual author(s) and contributor(s) and not of MDPI and/or the editor(s). MDPI and/or the editor(s) disclaim responsibility for any injury to people or property resulting from any ideas, methods, instructions or products referred to in the content. |
© 2023 by the authors. Licensee MDPI, Basel, Switzerland. This article is an open access article distributed under the terms and conditions of the Creative Commons Attribution (CC BY) license (https://creativecommons.org/licenses/by/4.0/).
Share and Cite
Tsolakis, I.A.; Kolokitha, O.-E. Comparing Airway Analysis in Two-Time Points after Rapid Palatal Expansion: A CBCT Study. J. Clin. Med. 2023, 12, 4686. https://doi.org/10.3390/jcm12144686
Tsolakis IA, Kolokitha O-E. Comparing Airway Analysis in Two-Time Points after Rapid Palatal Expansion: A CBCT Study. Journal of Clinical Medicine. 2023; 12(14):4686. https://doi.org/10.3390/jcm12144686
Chicago/Turabian StyleTsolakis, Ioannis A., and Olga-Elpis Kolokitha. 2023. "Comparing Airway Analysis in Two-Time Points after Rapid Palatal Expansion: A CBCT Study" Journal of Clinical Medicine 12, no. 14: 4686. https://doi.org/10.3390/jcm12144686
APA StyleTsolakis, I. A., & Kolokitha, O.-E. (2023). Comparing Airway Analysis in Two-Time Points after Rapid Palatal Expansion: A CBCT Study. Journal of Clinical Medicine, 12(14), 4686. https://doi.org/10.3390/jcm12144686

