Correlation between Eye Movements and Asthenopia: A Prospective Observational Study
Abstract
1. Background
2. Methods
Study Design and Participants
3. Procedures
3.1. Eye Fatigue Assessment
3.2. Accommodation
3.3. Eye Movement Tracking
3.4. Eye Movement Analysis
3.5. Cover Test
4. Statistical Analysis
5. Results
5.1. Demographic Characteristics
5.2. Correlations of Asthenopia and Accommodation/Eye Movement
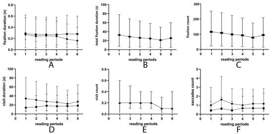
5.3. Eye Movement Alterations during Reading
6. Discussion and Conclusions
Supplementary Materials
Author Contributions
Funding
Institutional Review Board Statement
Informed Consent Statement
Data Availability Statement
Conflicts of Interest
References
- Shakarchi, A.F.; Guo, X.; Friedman, D.S.; Repka, M.X.; Collins, M.E. Vision Needs of Children Who Failed School-based Vision Screening with and without Eyeglasses. Ophthalmic Epidemiol. 2021, 28, 131–137. [Google Scholar] [CrossRef] [PubMed]
- Collier, J.D.; Rosenfield, M. Accommodation and convergence during sustained computer work. Optom. J. Am. Optom. Assoc. 2011, 82, 434–440. [Google Scholar] [CrossRef] [PubMed]
- Wenzel, A.M.; Schultze-Kraft, R.; Meinecke, F.C.; Cardinaux, F.; Kemp, T.; Müller, K.-R.; Curio, G.; Blankertz, B. EEG-based usability assessment of 3D shutter glasses. J. Neural Eng. 2016, 13, 016003. [Google Scholar] [CrossRef] [PubMed]
- Simmers, A.J.; Gray, L.S.; Wilkins, A.J. The influence of tinted lenses upon ocular accommodation. Vis. Res. 2001, 41, 1229–1238. [Google Scholar] [CrossRef]
- Carter, B.T.; Luke, S.G. Best practices in eye tracking research. Int. J. Psychophysiol. 2020, 155, 49–62. [Google Scholar] [CrossRef] [PubMed]
- Rayner, K. The 35th Sir Frederick Bartlett Lecture: Eye movements and attention in reading, scene perception, and visual search. Q. J. Exp. Psychol. 2009, 62, 1457–1506. [Google Scholar] [CrossRef]
- Ganeshrao, S.B.; Jaleel, A.; Madicharla, S.; Sri, V.K.; Zakir, J.; Garudadri, C.S.; Senthil, S. Comparison of Saccadic Eye Movements Among the High-tension Glaucoma, Primary Angle-closure Glaucoma, and Normal-tension Glaucoma. J. Glaucoma 2021, 30, e76–e82. [Google Scholar] [CrossRef]
- Ghasia, F.F.; Shaikh, A.G.; Yeh, S.-I.; Ho, T.-C.; Chen, S.-L.; Cheng, H.-C.; Lan, Y.-W.; Hsieh, J.-W.; Wang, C.-T.; Tsao, Y.-P. Uncorrected Myopic Refractive Error Increases Microsaccade Amplitude. Investig. Opthalmol. Vis. Sci. 2015, 56, 2531. [Google Scholar] [CrossRef][Green Version]
- Kelly, K.R.; Cheng-Patel, C.S.; Jost, R.M.; Wang, Y.-Z.; Birch, E.E. Fixation instability during binocular viewing in anisometropic and strabismic children. Exp. Eye Res. 2019, 183, 29–37. [Google Scholar] [CrossRef]
- Mollicone, D.; Kan, K.; Mott, C.; Bartels, R.; Bruneau, S.; Van Wollen, M.; Sparrow, A.R.; Van Dongen, H.P. Predicting performance and safety based on driver fatigue. Accid. Anal. Prev. 2019, 126, 142–145. [Google Scholar] [CrossRef]
- Abbas, Q.; Alsheddy, A. Driver Fatigue Detection Systems Using Multi-Sensors, Smartphone, and Cloud-Based Computing Platforms: A Comparative Analysis. Sensors 2020, 21, 56. [Google Scholar] [CrossRef] [PubMed]
- Wang, Y.; Zhai, G.; Chen, S.; Min, X.; Gao, Z.; Song, X. Assessment of eye fatigue caused by head-mounted displays using eye-tracking. Biomed. Eng. Online 2019, 18, 111. [Google Scholar] [CrossRef] [PubMed]
- Lee, H.J.; Kim, S.-J. Factors Associated with Visual Fatigue from Curved Monitor Use: A Prospective Study of Healthy Subjects. PLoS ONE 2016, 11, e0164022. [Google Scholar] [CrossRef]
- Eastwood-Sutherland, C.; Gale, T.J. Eye-screen distance monitoring for computer use. In Proceedings of the 2011 Annual International Conference of the IEEE Engineering in Medicine and Biology Society, Boston, MA, USA, 30 August–3 September 2011; Volume 2011, pp. 2164–2167. [Google Scholar] [CrossRef]
- Han, L.; Zhang, H.; Xiang, Z.; Shang, J.; Anjani, S.; Song, Y.; Vink, P. Desktop lighting for comfortable use of a computer screen. Work 2021, 68, S209–S221. [Google Scholar] [CrossRef] [PubMed]
- Segui Mdel, M.; Cabrero-Garcia, J.; Crespo, A.; Verdú, J.; Ronda, E. A reliable and valid questionnaire was developed to measure computer vision syndrome at the workplace. J. Clin. Epidemiol. 2015, 68, 662–673. [Google Scholar] [CrossRef]
- Guo, F.; Zhang, Q.; Fan, M.-N.; Ma, L.; Chen, C.; Liu, X.-H.; Jiang, H.; Liu, Y. Fruit and vegetable consumption and its relation to risk of asthenopia among Chinese college students. Int. J. Ophthalmol. 2018, 11, 1020–1027. [Google Scholar] [CrossRef]
- Blehm, C.; Vishnu, S.; Khattak, A.; Mitra, S.; Yee, R.W. Computer Vision Syndrome: A Review. Surv. Ophthalmol. 2005, 50, 253–262. [Google Scholar] [CrossRef]
- Zayed, H.A.M.; Saied, S.M.; Younis, E.A.; Atlam, S.A. Digital eye strain: Prevalence and associated factors among information technology professionals, Egypt. Environ. Sci. Pollut. Res. Int. 2021, 28, 25187–25195. [Google Scholar] [CrossRef]
- Touma, S.R.; El, M.N.; Saba, J.B.; Lahoud, C.; Saab, L.; Haouili, M.; Musharrafieh, U. Asthenopia Among University Students: The Eye of the Digital Generation. J. Family Med. Prim. Care 2020, 9, 3921–3932. [Google Scholar]
- Yekta, A.; Hashemi, H.; Khabazkhoob, M.; Ostadimoghaddam, H.; Ghasemi-Moghaddam, S.; Jafarzadehpur, E.; Shokrollahzadeh, F. The distribution of negative and positive relative accommodation and their re-lationship with binocular and refractive indices in a young population. J. Curr. Ophthalmol. 2017, 29, 204–209. [Google Scholar] [CrossRef]
- Vernet, M.; Kapoula, Z. Binocular motor coordination during saccades and fixations while reading: A magnitude and time analysis. J. Vis. 2009, 9, 2. [Google Scholar] [CrossRef] [PubMed]
- Hashemi, H.; Saatchi, M.; Yekta, A.; Ali, B.; Ostadimoghaddam, H.; Nabovati, P.; Aghamirsalim, M.; Khabazkhoob, M. High Prevalence of Asthenopia among a Population of University Students. J. Ophthalmic Vis. Res. 2019, 14, 474–482. [Google Scholar] [CrossRef] [PubMed]
- García-Muñoz, Á.; Carbonell-Bonete, S.; Cacho-Martínez, P. Symptomatology associated with accommodative and binocular vision anomalies. J. Optom. 2014, 7, 178–192. [Google Scholar] [CrossRef] [PubMed]
- Rayner, K. Eye movements in reading and information processing: 20 years of research. Psychol. Bull. 1998, 124, 372–422. [Google Scholar] [CrossRef]
- Anisimov, A.V.; Fedorova, O.; Latanov, A.V. Eye movement parameters in reading the sentences with syntactic ambiguity in Russian language. Fiziol. Cheloveka 2014, 40, 57–68. [Google Scholar]
- Smith, N.D.; Glen, F.C.; Mönter, V.M.; Crabb, D.P. Using Eye Tracking to Assess Reading Performance in Patients with Glaucoma: A Within-Person Study. J. Ophthalmol. 2014, 2014, 120528. [Google Scholar] [CrossRef][Green Version]
- Lions, C.; Bui-Quoc, E.; Seassau, M.; Bucci, M.P. Binocular Coordination of Saccades During Reading In Strabismic Children. Investig. Opthalmology Vis. Sci. 2013, 54, 620–628. [Google Scholar] [CrossRef]
- Gowrisankaran, S.; Sheedy, J.E. Computer vision syndrome: A review. Work 2015, 52, 303–314. [Google Scholar] [CrossRef]
- Benítez-Del-Castillo, J.; Labetoulle, M.; Baudouin, C.; Rolando, M.; Akova, Y.A.; Aragona, P.; Geerling, G.; Merayo-Lloves, J.; Messmer, E.M.; Boboridis, K. Visual acuity and quality of life in dry eye disease: Proceedings of the OCEAN group meeting. Ocul. Surf. 2017, 15, 169–178. [Google Scholar] [CrossRef]
- van Landingham, S.W.; West, S.K.; Akpek, E.K.; Muñoz, B.; Ramulu, P.Y. Impact of dry eye on reading in a population-based sample of the elderly: The Salisbury Eye Evaluation. Br. J. Ophthalmol. 2014, 98, 639–644. [Google Scholar] [CrossRef]
- Katz, T.A.; Weinberg, D.D.; Fishman, C.E.; Nadkarni, V.; Tremoulet, P.; Te Pas, A.B.; Foglia, E.E. Visual attention on a respiratory function monitor during simulated neonatal re-suscitation: An eye-tracking study. Arch. Dis. Child Fetal Neonatal. Ed. 2019, 104, F259–F264. [Google Scholar] [CrossRef] [PubMed]
- Al, D.N.; Georgiou, G.K.; Hung, R.; Munoz, D.; Parrila, R.; Kirby, J.R. Eye movements of university students with and without reading difficulties during naming speed tasks. Ann. Dyslexia 2014, 64, 137–150. [Google Scholar]
- Kim, J.-Y.; Min, S.-N.; Subramaniyam, M.; Cho, Y.-J. Legibility difference between e-books and paper books by using an eye tracker. Ergonomics 2014, 57, 1102–1108. [Google Scholar] [CrossRef] [PubMed]
- Marandi, R.Z.; Madeleine, P.; Omland, Ø.; Vuillerme, N.; Samani, A. Eye movement characteristics reflected fatigue development in both young and elderly individuals. Sci. Rep. 2018, 8, 13148. [Google Scholar] [CrossRef] [PubMed]

| CVS-Q Score | ||
|---|---|---|
| r | p | |
| Accommodation amplitude (D) | 0.026 | 0.807 |
| Accommodative response (D) | 0.076 | 0.471 |
| Negative relative accommodation (D) | −0.013 | 0.901 |
| Positive relative accommodation (D) | 0.206 | 0.047 * |
| Accommodative facility (cmp) | −0.148 | 0.155 |
| Strabismus | 0 | 0.998 |
| Time to first fixation (s) | −0.03 | 0.776 |
| Fixations Before | −0.059 | 0.576 |
| First Fixation Duration (s) | −0.034 | 0.743 |
| Fixation Duration Mean (s) | −0.05 | 0.634 |
| Total Fixation Duration (s) | 0.154 | 0.14 |
| Fixation count | 0.201 | 0.053 |
| Visit Duration Mean (s) | 0.032 | 0.759 |
| Total visit duration (s) | 0.174 | 0.095 |
| Total visit count | 0.014 | 0.896 |
| Reading speed (s−1) | 0.153 | 0.142 |
| Regressive saccade (per line) | 0.194 | 0.068 |
| Unknown saccade (per line) | 0.148 | 0.168 |
| Blurred Vision | Double Vision | Difficulty Focusing for Near Vision | Increased Sensitivity to Light | Colored Halos | Feeling of Sight Worsening | |||||||
|---|---|---|---|---|---|---|---|---|---|---|---|---|
| r | p | r | p | r | p | r | p | r | p | r | p | |
| Accommodation amplitude (D) | 0.032 | 0.757 | −0.009 | 0.929 | −0.154 | 0.142 | 0.043 | 0.68 | 0.07 | 0.502 | 0.008 | 0.94 |
| Accommodative response (D) | −0.013 | 0.9 | 0.037 | 0.723 | 0.014 | 0.897 | 0.111 | 0.291 | 0.016 | 0.881 | −0.02 | 0.848 |
| Negative relative accommodation (D) | 0.023 | 0.828 | −0.065 | 0.533 | −0.106 | 0.312 | 0.01 | 0.926 | −0.025 | 0.812 | −0.019 | 0.855 |
| Positive relative accommodation (D) | 0.095 | 0.363 | −0.022 | 0.832 | 0.109 | 0.298 | 0.032 | 0.762 | 0.092 | 0.38 | 0.138 | 0.188 |
| Accommodative facility (cmp) | −0.036 | 0.733 | −0.098 | 0.349 | 0.033 | 0.751 | 0.034 | 0.743 | −0.128 | 0.222 | −0.05 | 0.631 |
| Strabismus | −0.049 | 0.655 | 0.083 | 0.454 | 0.063 | 0.570 | 0.099 | 0.372 | 0.041 | 0.709 | −0.151 | 0.171 |
| Time to first fixation (s) | 0.027 | 0.794 | 0.131 | 0.21 | 0.279 | 0.007 ** | −0.142 | 0.175 | −0.129 | 0.22 | 0.083 | 0.431 |
| Fixations Before | 0.083 | 0.428 | 0.163 | 0.118 | 0.093 | 0.375 | −0.165 | 0.115 | −0.09 | 0.392 | 0.058 | 0.582 |
| First Fixation Duration (s) | −0.047 | 0.655 | −0.061 | 0.563 | −0.115 | 0.273 | −0.138 | 0.186 | −0.018 | 0.867 | −0.085 | 0.419 |
| Fixation Duration Mean(s) | −0.104 | 0.322 | −0.113 | 0.279 | 0.107 | 0.308 | 0.098 | 0.352 | −0.231 | 0.026 * | 0.032 | 0.763 |
| Total Fixation Duration(s) | 0.084 | 0.425 | −0.014 | 0.892 | 0.235 | 0.023 * | 0.142 | 0.173 | −0.027 | 0.796 | 0.114 | 0.274 |
| Fixation count | 0.186 | 0.074 | 0.067 | 0.522 | 0.202 | 0.052 | 0.135 | 0.199 | 0.066 | 0.527 | 0.143 | 0.171 |
| Visit Duration Mean(s) | 0.031 | 0.765 | −0.107 | 0.305 | 0.157 | 0.133 | 0.11 | 0.292 | −0.066 | 0.533 | −0.092 | 0.381 |
| Total visit duration(s) | 0.127 | 0.227 | −0.019 | 0.856 | 0.253 | 0.014 * | 0.112 | 0.284 | −0.051 | 0.63 | 0.128 | 0.223 |
| Total visit count | 0.038 | 0.719 | 0.116 | 0.27 | −0.022 | 0.834 | −0.056 | 0.592 | −0.024 | 0.822 | 0.146 | 0.162 |
| Reading speed (s−1) | 0.145 | 0.166 | 0.029 | 0.783 | 0.237 | 0.022 * | 0.083 | 0.43 | −0.079 | 0.454 | 0.159 | 0.129 |
| Regressive saccade (per line) | 0.166 | 0.12 | −0.02 | 0.852 | 0.029 | 0.788 | 0.107 | 0.319 | 0.173 | 0.105 | 0.27 | 0.011 * |
| Unknown saccade (per line) | 0.169 | 0.113 | 0.217 | 0.041 * | 0.067 | 0.533 | −0.027 | 0.801 | −0.066 | 0.536 | 0.066 | 0.536 |
| Burning | Itching | Feeling of a Foreign Body | Tearing | Excessive Blinking | Eye Redness | Eye Pain | Heavy Eyelids | Dryness | ||||||||||
|---|---|---|---|---|---|---|---|---|---|---|---|---|---|---|---|---|---|---|
| r | p | r | p | r | p | r | p | r | p | r | p | r | p | r | p | r | p | |
| AA (D) | −0.035 | 0.737 | −0.027 | 0.798 | −0.125 | 0.234 | −0.028 | 0.789 | 0.054 | 0.606 | −0.06 | 0.568 | −0.033 | 0.755 | 0 | 0.997 | 0.052 | 0.623 |
| AR (D) | 0.168 | 0.108 | 0.104 | 0.324 | 0.019 | 0.86 | 0.066 | 0.531 | −0.07 | 0.506 | −0.038 | 0.716 | 0.11 | 0.296 | 0.075 | 0.474 | 0.01 | 0.928 |
| NRA (D) | −0.011 | 0.92 | −0.041 | 0.701 | −0.073 | 0.485 | −0.07 | 0.506 | −0.013 | 0.898 | −0.051 | 0.63 | −0.104 | 0.322 | −0.046 | 0.662 | −0.12 | 0.254 |
| PRA (D) | 0.136 | 0.193 | −0.265 | 0.011 * | 0.18 | 0.085 | 0.261 | 0.011 * | 0.163 | 0.119 | 0.171 | 0.101 | 0.183 | 0.08 | 0.032 | 0.763 | 0.086 | 0.41 |
| AF (cmp) | −0.008 | 0.942 | 0.045 | 0.671 | −0.149 | 0.155 | −0.042 | 0.693 | −0.2 | 0.054 | −0.092 | 0.383 | 0.026 | 0.807 | 0.071 | 0.5 | −0.1 | 0.34 |
| Strabismus | −0.136 | 0.219 | −0.145 | 0.189 | −0.094 | 0.396 | 0.111 | 0.317 | 0.130 | 0.239 | 0.050 | 0.649 | −0.101 | 0.360 | −0.094 | 0.393 | −0.062 | 0.575 |
| FF (s) | 0.016 | 0.879 | −0.115 | 0.273 | −0.146 | 0.164 | −0.16 | 0.111 | 0.186 | 0.074 | −0.215 | 0.038 * | 0.009 | 0.931 | −0.005 | 0.961 | 0.062 | 0.556 |
| FB | 0.013 | 0.903 | −0.241 | 0.021 * | −0.173 | 0.097 | −0.18 | 0.074 | 0.13 | 0.213 | −0.151 | 0.149 | 0.008 | 0.94 | −0.085 | 0.42 | −0.028 | 0.789 |
| FFD (s) | 0.058 | 0.579 | 0.087 | 0.409 | 0.094 | 0.368 | 0.042 | 0.69 | −0.043 | 0.68 | 0.102 | 0.332 | 0.101 | 0.334 | −0.035 | 0.742 | −0.056 | 0.592 |
| FDM (s) | −0.054 | 0.61 | 0.141 | 0.179 | −0.041 | 0.693 | 0.02 | 0.846 | −0.038 | 0.716 | 0.042 | 0.687 | 0.105 | 0.319 | 0.011 | 0.917 | −0.172 | 0.1 |
| TFD (s) | 0.131 | 0.209 | 0.147 | 0.161 | 0.051 | 0.626 | 0.005 | 0.965 | 0.004 | 0.967 | 0.003 | 0.975 | 0.092 | 0.38 | 0.094 | 0.372 | −0.079 | 0.45 |
| FC | 0.278 | 0.007 ** | 0.031 | 0.766 | 0.008 | 0.941 | 0.004 | 0.967 | 0.015 | 0.886 | −0.059 | 0.577 | 0.073 | 0.485 | 0.124 | 0.236 | 0.004 | 0.97 |
| VDM (s) | −0.081 | 0.442 | −0.117 | 0.265 | −0.068 | 0.52 | 0.19 | 0.067 | −0.026 | 0.808 | 0.25 | 0.016 * | 0.117 | 0.263 | 0.03 | 0.774 | −0.094 | 0.368 |
| TVD (s) | 0.162 | 0.12 | 0.115 | 0.274 | 0.032 | 0.763 | 0.005 | 0.964 | 0.024 | 0.817 | 0.026 | 0.806 | 0.102 | 0.33 | 0.125 | 0.231 | −0.05 | 0.636 |
| TVC | 0.14 | 0.181 | 0.132 | 0.21 | 0.031 | 0.766 | −0.20 | 0.047 * | −0.013 | 0.898 | −0.271 | 0.009 ** | −0.064 | 0.54 | 0.058 | 0.583 | 0.071 | 0.502 |
| RS (s−1) | 0.135 | 0.196 | 0.117 | 0.265 | 0.011 | 0.92 | 0.014 | 0.893 | −0.023 | 0.823 | 0.015 | 0.888 | 0.088 | 0.399 | 0.074 | 0.481 | −0.057 | 0.586 |
| RS (per line) | 0.243 | 0.022 * | 0.029 | 0.788 | 0.029 | 0.786 | 0.057 | 0.593 | 0.101 | 0.345 | 0.078 | 0.468 | 0.119 | 0.267 | −0.068 | 0.524 | 0.075 | 0.484 |
| US (per line) | 0.249 | 0.019 * | 0.016 | 0.884 | −0.043 | 0.69 | −0.084 | 0.435 | 0.047 | 0.663 | −0.097 | 0.365 | 0.171 | 0.108 | 0.084 | 0.435 | 0.003 | 0.974 |
| Reading 1 | Reading 2 | Reading 3 | Reading 4 | Reading 5 | Reading 6 | |
|---|---|---|---|---|---|---|
| Time to first fixation (s) | 0(0) | 0(0) | 0(0) | 0(0) | 0(0) | 0(0) |
| Fixations Before | 0(0) | 0(0) | 0(0) | 0(0) | 0(0) | 0(0) |
| First Fixation Duration (s) | 0.27(0.21) | 0.24(0.22) | 0.25(0.11) | 0.24(0.12) | 0.19(0.20) | 0.16(0.18) |
| Fixation Duration Mean (s) | 0.29(0.08) | 0.27(0.08) | 0.27(0.08) | 0.27(0.08) | 0.28(0.09) | 0.28(0.08) |
| Total Fixation Duration (s) | 32.72(19.77) | 28.9(16.15) | 26.36(16.81) | 24.81(13.83) | 21.28(11.52) | 25.63(14.14) |
| Fixation count | 116(42) | 109(46.5) | 99(46) | 93(39.5) | 78(30.5) | 95(35) |
| Visit Duration Mean (s) | 13.97(12.68) | 15.62(16.47) | 18.3(15.31) | 17.11(14.64) | 17.46(13.64) | 18.47(17.27) |
| Total visit duration (s) | 34.12(19.55) | 31.24(16.64) | 27.37(18.52) | 26.09(14.27) | 22.51(12.94) | 27.22(15.84) |
| Total visit count | 2(2) | 2(2) | 2(1) | 2(1) | 1(1) | 1(2) |
| Reading speed (s−1) | 0.13(0.08) | 0.13(0.07) | 0.11(0.07) | 0.13(0.06) | 0.12(0.07) | 0.11(0.06) |
| Regressive saccade (per line) | 1.00(1.43) | 1.63(1.50) | 1.17(1.19) | 1(1.20) | 1.17(1.05) | 1.17(1.00) |
| Unknown saccade (per line) | 0.43(0.86) | 0.63(1.12) | 0.43(0.83) | 0.67(1.01) | 0.67(0.93) | 0.67(1.33) |
| B | Constant | p | |
|---|---|---|---|
| Time to first fixation | −0.020 | 0.296 | 0.01 |
| Fixation duration mean | −0.0006 | 0.279 | 0.804 |
| Total fixation duration | −1.710 | 32.60 | 0.043 |
| total fixation count | −5.829 | 118.7 | 0.045 |
| Total visit duration | −1.771 | 34.29 | 0.048 |
| Visit duration mean | 0.767 | 14.14 | 0.041 |
| Visit count | −0.229 | 2.467 | 0.042 |
| Reading speed | −0.002 | 0.129 | 0.413 |
| Regressive saccade | −0.020 | 1.258 | 0.076 |
| Unknown saccade | 0.044 | 0.428 | 0.127 |
| Z | p | |
|---|---|---|
| Time to first fixation (s) | −1.084 | 0.278 |
| Fixations Before | −0.707 | 0.48 |
| First Fixation Duration (s) | −1.58 | 0.114 |
| Fixation Duration Mean (s) | −2.711 | 0.007 ** |
| Total Fixation Duration (s) | −5 | <0.001 *** |
| Fixation count | −4.075 | <0.001 *** |
| Visit Duration Mean (s) | −2.728 | 0.006 ** |
| Total visit duration (s) | −4.945 | <0.001 *** |
| Total visit count | −3.998 | <0.001 *** |
| Reading speed (s−1) | −3.357 | 0.001 ** |
| Regressive saccade (per line) | −0.28 | 0.78 |
| Unknown saccade (per line) | −3.914 | <0.001 *** |
Publisher’s Note: MDPI stays neutral with regard to jurisdictional claims in published maps and institutional affiliations. |
© 2022 by the authors. Licensee MDPI, Basel, Switzerland. This article is an open access article distributed under the terms and conditions of the Creative Commons Attribution (CC BY) license (https://creativecommons.org/licenses/by/4.0/).
Share and Cite
Liu, Z.; Zhang, K.; Gao, S.; Yang, J.; Qiu, W. Correlation between Eye Movements and Asthenopia: A Prospective Observational Study. J. Clin. Med. 2022, 11, 7043. https://doi.org/10.3390/jcm11237043
Liu Z, Zhang K, Gao S, Yang J, Qiu W. Correlation between Eye Movements and Asthenopia: A Prospective Observational Study. Journal of Clinical Medicine. 2022; 11(23):7043. https://doi.org/10.3390/jcm11237043
Chicago/Turabian StyleLiu, Ziyuan, Kaiyun Zhang, Shuang Gao, Jiarui Yang, and Weiqiang Qiu. 2022. "Correlation between Eye Movements and Asthenopia: A Prospective Observational Study" Journal of Clinical Medicine 11, no. 23: 7043. https://doi.org/10.3390/jcm11237043
APA StyleLiu, Z., Zhang, K., Gao, S., Yang, J., & Qiu, W. (2022). Correlation between Eye Movements and Asthenopia: A Prospective Observational Study. Journal of Clinical Medicine, 11(23), 7043. https://doi.org/10.3390/jcm11237043

