Long-Term Assessment of Pelvic Organ Prolapse Reoperation Risk in Obese Women: Vaginal and Laparoscopic Approaches
Abstract
1. Introduction
2. Materials and Methods
2.1. Study Design
2.2. Surgical Procedures
2.3. Data Collection
2.4. Outcome Criteria
2.5. Statistics
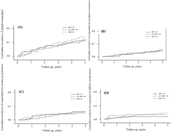
3. Results
4. Discussion
5. Conclusions
Author Contributions
Funding
Institutional Review Board Statement
Informed Consent Statement
Data Availability Statement
Conflicts of Interest
References
- Jensen, M.D.; Ryan, D.H.; Apovian, C.M.; Ard, J.D.; Comuzzie, A.G.; Donato, K.A.; Hu, F.B.; Hubbard, V.S.; Jakicic, J.M.; Kushner, R.F.; et al. 2013 AHA/ACC/TOS guideline for the management of overweight and obesity in adults: A report of the American College of Cardiology/American Heart Association Task Force on Practice Guidelines and The Obesity Society. Circulation 2014, 129, S102–S138. [Google Scholar] [CrossRef] [PubMed]
- Flegal, K.M.; Carroll, M.D.; Kit, B.K.; Ogden, C.L. Prevalence of obesity and trends in the distribution of body mass index among US adults, 1999–2010. JAMA 2012, 307, 491–497. [Google Scholar] [CrossRef]
- Etude ESTEBAN 2014–2016—Chapitre Corpulence: Stabilisation du Surpoids et de l’Obésité chez l’Enfant et l’Adulte n.d. Available online: https://www.santepubliquefrance.fr/liste-des-actualites/etude-esteban-2014-2016-chapitre-corpulence-stabilisation-du-surpoids-et-de-l-obesite-chez-l-enfant-et-l-adulte (accessed on 25 September 2022).
- Hunskaar, S. A systematic review of overweight and obesity as risk factors and targets for clinical intervention for urinary incontinence in women. Neurourol. Urodyn. 2008, 27, 749–757. [Google Scholar] [CrossRef]
- Giri, A.; Hartmann, K.E.; Hellwege, J.N.; Velez Edwards, D.R.; Edwards, T.L. Obesity and pelvic organ prolapse: A systematic review and meta-analysis of observational studies. Am. J. Obstet. Gynecol. 2017, 217, 11–26.e3. [Google Scholar] [CrossRef] [PubMed]
- Zenebe, C.B.; Chanie, W.F.; Aregawi, A.B.; Andargie, T.M.; Mihret, M.S. The effect of women’s body mass index on pelvic organ prolapse: A systematic review and meta analysis. Reprod. Health 2021, 18, 45. [Google Scholar] [CrossRef]
- Thubert, T.; Naveau, A.; Letohic, A.; Villefranque, V.; Benifla, J.L.; Deffieux, X. Outcomes and feasibility of laparoscopic sacrocolpopexy among obese versus non-obese women. Int J Gynaecol. Obstet. 2013, 120, 49–52. [Google Scholar] [CrossRef] [PubMed]
- Bohlin, K.S.; Ankardal, M.; Nüssler, E.; Lindkvist, H.; Milsom, I. Factors influencing the outcome of surgery for pelvic organ prolapse. Int. Urogynecology J. 2018, 29, 81–89. [Google Scholar] [CrossRef]
- Chen, C.C.G.; Collins, S.A.; Rodgers, A.K.; Paraiso, M.F.R.; Walters, M.D.; Barber, M.D. Perioperative complications in obese women vs normal-weight women who undergo vaginal surgery. Am. J. Obstet. Gynecol. 2007, 197, 98.e1–98.e8. [Google Scholar] [CrossRef]
- Dindo, D.; Muller, M.K.; Weber, M.; Clavien, P.-A. Obesity in general elective surgery. Lancet 2003, 361, 2032–2035. [Google Scholar] [CrossRef]
- Nam, K.-H.; Jeon, M.-J.; Hur, H.-W.; Kim, S.-K.; Bai, S.-W. Perioperative and long-term complications among obese women undergoing vaginal surgery. Int. J. Gynaecol. Obstet. 2010, 108, 244–246. [Google Scholar] [CrossRef]
- Debodinance, P.; Berrocal, J.; Clavé, H.; Cosson, M.; Garbin, O.; Jacquetin, B.; Rosenthal, C.; Saletlizee, D.; Villet, R. Changing attitudes on the surgical treatment of urogenital prolapse: Birth of the tension-free vaginal mesh. J. Gynecol. Obstet. Biol. Reprod. 2004, 33, 577–588. [Google Scholar] [CrossRef]
- De Landsheere, L.; Ismail, S.; Lucot, J.-P.; Deken, V.; Foidart, J.-M.; Cosson, M. Surgical intervention after transvaginal Prolift mesh repair: Retrospective single-center study including 524 patients with 3 years’ median follow-up. Am. J. Obstet. Gynecol. 2012, 206, 83.e1–83.e7. [Google Scholar] [CrossRef]
- de Leval, J. Novel surgical technique for the treatment of female stress urinary incontinence: Transobturator vaginal tape inside-out. Eur. Urol. 2003, 44, 724–730. [Google Scholar] [CrossRef] [PubMed]
- Wattiez, A.; Canis, M.; Mage, G.; Pouly, J.L.; Bruhat, M.A. Promontofixation for the treatment of prolapse. Urol. Clin. North Am. 2001, 28, 151–157. [Google Scholar] [CrossRef]
- Cosson, M.; Rajabally, R.; Bogaert, E.; Querleu, D.; Crépin, G. Laparoscopic sacrocolpopexy, hysterectomy, and burch colposuspension: Feasibility and short-term complications of 77 procedures. J. Soc. Laparoendosc. Surg. 2002, 6, 115–119. [Google Scholar]
- Vandendriessche, D.; Sussfeld, J.; Giraudet, G.; Lucot, J.P.; Behal, H.; Cosson, M. Complications and reoperations after laparoscopic sacrocolpopexy with a mean follow-up of 4 years. Int. Urogynecology J. 2017, 28, 231–239. [Google Scholar] [CrossRef] [PubMed]
- Bump, R.C.; Mattiasson, A.; Bø, K.; Brubaker, L.P.; DeLancey, J.O.; Klarskov, P.; Shull, B.L.; Smith, A.R. The standardization of terminology of female pelvic organ prolapse and pelvic floor dysfunction. Am. J. Obstet. Gynecol. 1996, 175, 10–17. [Google Scholar] [CrossRef]
- Vergeldt, T.F.M.; Weemhoff, M.; IntHout, J.; Kluivers, K.B. Risk factors for pelvic organ prolapse and its recurrence: A systematic review. Int. Urogynecology J. 2015, 26, 1559–1573. [Google Scholar] [CrossRef]
- Washington, B.B.; Erekson, E.A.; Kassis, N.C.; Myers, D.L. The association between obesity and stage II or greater prolapse. Am. J. Obstet. Gynecol. 2010, 202, 503.e1–503.e4. [Google Scholar] [CrossRef]
- Clark, A.L.; Gregory, T.; Smith, V.J.; Edwards, R. Epidemiologic evaluation of reoperation for surgically treated pelvic organ prolapse and urinary incontinence. Am. J. Obstet. Gynecol. 2003, 189, 1261–1267. [Google Scholar] [CrossRef]
- Nygaard, I.E.; McCreery, R.; Brubaker, L.; Connolly, A.; Cundiff, G.; Weber, A.M.; Zyczynski, H. Abdominal sacrocolpopexy: A comprehensive review. Obstet. Gynecol. 2004, 104, 805–823. [Google Scholar] [CrossRef]
- Jacquetin, B.; Hinoul, P.; Gauld, J.; Fatton, B.; Rosenthal, C.; Clavé, H.; Garbin, O.; Berrocal, J.; Villet, R.; Salet-Lizée, D.; et al. Total transvaginal mesh (TVM) technique for treatment of pelvic organ prolapse: A 5-year prospective follow-up study. Int. Urogynecology J. 2013, 24, 1679–1686. [Google Scholar] [CrossRef] [PubMed]
- Shah, N.M.; Berger, A.A.; Zhuang, Z.; Tan-Kim, J.; Menefee, S.A. Long-term reoperation risk after apical prolapse repair in female pelvic reconstructive surgery. Am. J. Obstet. Gynecol. 2022, 227, 306.e1–306.e16. [Google Scholar] [CrossRef] [PubMed]
- Bradley, C.S.; Kenton, K.S.; Richter, H.E.; Gao, X.; Zyczynski, H.M.; Weber, A.M.; Nygaard, I.E. Obesity and outcomes after sacrocolpopexy. Am. J. Obstet. Gynecol. 2008, 199, 690.e1–690.e8. [Google Scholar] [CrossRef]
- Rappa, C.; Saccone, G. Recurrence of vaginal prolapse after total vaginal hysterectomy with concurrent vaginal uterosacral ligament suspension: Comparison between normal-weight and overweight women. Am. J. Obstet. Gynecol. 2016, 215, 601.e1–601.e4. [Google Scholar] [CrossRef] [PubMed]
- Afors, K.; Centini, G.; Murtada, R.; Castellano, J.; Meza, C.; Wattiez, A. Obesity in laparoscopic surgery. Best Pract. Res. Clin. Obstet. Gynaecol. 2015, 29, 554–564. [Google Scholar] [CrossRef]
- Maher, C.F.; Feiner, B.; DeCuyper, E.M.; Nichlos, C.J.; Hickey, K.V.; O’Rourke, P. Laparoscopic sacral colpopexy versus total vaginal mesh for vaginal vault prolapse: A randomized trial. Am. J. Obstet. Gynecol. 2011, 204, 360.e1–360.e7. [Google Scholar] [CrossRef]
- Lucot, J.-P.; Cosson, M.; Bader, G.; Debodinance, P.; Akladios, C.; Salet-Lizée, D.; Delporte, P.; Savary, D.; Ferry, P.; Deffieux, X.; et al. Safety of Vaginal Mesh Surgery Versus Laparoscopic Mesh Sacropexy for Cystocele Repair: Results of the Prosthetic Pelvic Floor Repair Randomized Controlled Trial. Eur. Urol. 2018, 74, 167–176. [Google Scholar] [CrossRef]
- Chopin, N.; Malaret, J.M.; Lafay-Pillet, M.-C.; Fotso, A.; Foulot, H.; Chapron, C. Total laparoscopic hysterectomy for benign uterine pathologies: Obesity does not increase the risk of complications. Hum. Reprod. 2009, 24, 3057–3062. [Google Scholar] [CrossRef]
- Heinberg, E.M.; Crawford, B.L.; Weitzen, S.H.; Bonilla, D.J. Total laparoscopic hysterectomy in obese versus nonobese patients. Obstet. Gynecol. 2004, 103, 674–680. [Google Scholar] [CrossRef]
- Menderes, G.; Gysler, S.M.; Vadivelu, N.; Silasi, D.-A. Challenges of Robotic Gynecologic Surgery in Morbidly Obese Patients and How to Optimize Success. Curr. Pain Headache Rep. 2019, 23, 51. [Google Scholar] [CrossRef] [PubMed]
- Azaïs, H.; Belghiti, J.; Nikpayam, M.; Gonthier, C.; Canlorbe, G.; Uzan, C. Can robotic surgery help reduce medical discrimination for obese patients? Gynecol. Obstet. Fertil. Senol. 2020, 48, 475–476. [Google Scholar] [CrossRef] [PubMed]
- Leitao, M.M.; Narain, W.R.; Boccamazzo, D.; Sioulas, V.; Cassella, D.; Ducie, J.A.; Eriksson, A.G.Z.; Sonoda, Y.; Chi, D.S.; Brown, C.L.; et al. Impact of Robotic Platforms on Surgical Approach and Costs in the Management of Morbidly Obese Patients with Newly Diagnosed Uterine Cancer. Ann. Surg. Oncol. 2016, 23, 2192–2198. [Google Scholar] [CrossRef] [PubMed]
- Cusimano, M.C.; Simpson, A.N.; Dossa, F.; Liani, V.; Kaur, Y.; Acuna, S.A.; Robertson, D.; Satkunaratnam, A.; Bernardini, M.Q.; Ferguson, S.E.; et al. Laparoscopic and robotic hysterectomy in endometrial cancer patients with obesity: A systematic review and meta-analysis of conversions and complications. Am. J. Obstet. Gynecol. 2019, 221, 410–428.e19. [Google Scholar] [CrossRef]
- Gallo, T.; Kashani, S.; Patel, D.A.; Elsahwi, K.; Silasi, D.-A.; Azodi, M. Robotic-Assisted Laparoscopic Hysterectomy: Outcomes in Obese and Morbidly Obese Patients. JSLS 2012, 16, 421–427. [Google Scholar] [CrossRef]
- Joubert, M.; Thubert, T.; Lefranc, J.-P.; Vaessen, C.; Chartier-Kastler, É.; Deffieux, X.; Rouprêt, M. Comparison of functional outcomes with purely laparoscopic sacrocolpopexy and robot-assisted sacrocolpopexy in obese women. Prog. Urol. 2014, 24, 1106–1113. [Google Scholar] [CrossRef]


| Total n = 744 | Nonobese Group (BMI < 25 kg/m²) n = 382 | Overweight Group (25 ≤ BMI < 30 kg/m²) n = 240 | Obese Group (BMI ≥ 30 kg/m²) n = 122 | p | |
|---|---|---|---|---|---|
| BMI (kg/m²), mean ± SD | 25.7 ± 4.4 | 22.4 ± 1.74 | 27.1 ± 1.4 | 32.8 ± 2.8 | – |
| Age (years), mean ± SD | 57.7 ± 10.8 | 57.6 ± 11.3 | 58.4 ± 10.2 | 56.9 ± 10.6 | 0.46 |
| Parity, median (IQR) | 2 (2–3) | 2 (2–3) | 3 (2–3) | 3 (1–3) | 0.075 |
| Surgical history | |||||
| Prolapse surgery | 115 (15.5) | 49 (12.8) | 46 (19.2) | 20 (16.4) | 0.099 |
| Hysterectomy | 130 (17.5) | 55 (14.4) | 54 (22.5) | 21 (17.2) | 0.035 * |
| SUI surgery | 90 (12.1) | 41 (10.7) | 32 (13.3) | 17 (13.9) | 0.50 |
| POP-Q stage | |||||
| Cystocele | <0.001 †,§ | ||||
| 0–I | 129 (17.4) | 54 (14.2) | 39 (16.3) | 36 (29.5) | |
| II | 57 (7.7) | 23 (6.1) | 19 (7.9) | 15 (12.3) | |
| III–IV | 555 (74.9) | 303 (79.7) | 181 (75.7) | 122 (58.2) | 0.004 †,* |
| Apical prolapse | |||||
| 0–I | 216 (29.1) | 89 (23.4) | 82 (34.2) | 45 (36.9) | |
| II | 104 (14.0) | 53 (13.9) | 30 (12.5) | 21 (17.2) | |
| III–IV | 422 (56.9) | 238 (62.6) | 128 (53.3) | 56 (45.9) | |
| Rectocele | 0.36 | ||||
| 0–I | 250 (33.8) | 126 (33.3) | 86 (36.0) | 38 (31.2) | |
| II | 178 (24.0) | 84 (22.2) | 57 (23.8) | 37 (30.3) | |
| III–IV | 312 (42.2) | 169 (44.6) | 96 (40.2) | 47 (38.5) | |
| Surgical approach | 0.001 †,§ | ||||
| Sacrocolpopexy | 386 (51.9) | 220 (57.6) | 119 (49.6) | 47 (38.5) | |
| Transvaginal surgery | 358 (48.1) | 162 (42.4) | 121 (50.4) | 75 (61.5) | |
| Concomitant surgery | |||||
| Hysterectomy | 273 (36.7) | 148 (38.7) | 76 (31.7) | 49 (40.2) | 0.14 |
| SUI | 240 (32.3) | 102 (26.7) | 88 (36.7) | 50 (41.0) | 0.003 †,* |
| Intraoperative complications | 23 (3.1) | 10 (2.6) | 9 (3.8) | 4 (3.3) | 0.72 |
| Global Reoperation | ||||||||
|---|---|---|---|---|---|---|---|---|
| Surgical Approach | BMI (kg/m²) | Number of Events | Five-Year Rates | Hazard Ratio (95% CI) | p | Adjusted Hazard Ratio (95% CI) | Adjusted p | Interaction of the p with the Adjustment |
| <25 | 43/382 | 12.7% | 1.00 (ref.) | 0.83 | 1.00 (ref.) | 0.80 | ||
| All | 25–30 | 30/240 | 14.0% | 1.12 (0.70 to 1.78) | 1.12 (0.69 to 1.82) | – | ||
| ≥30 | 13/122 | 11.9% | 0.92 (0.49 to 1.72) | 0.90 (0.46 to 1.74) | ||||
| Transvaginal mesh surgery | <25 | 14/162 | 8.6% | 1.00 (ref.) | 0.60 | 1.00 (ref.) | 0.66 | 0.61 |
| 25–30 | 15/121 | 12.4% | 1.45 (0.70 to 3.01) | 1.49 (0.70 to 3.15) | ||||
| ≥30 | 8/75 | 10.7% | 1.24 (0.52 to 2.96) | 1.05 (0.42 to 2.60) | ||||
| <25 | 29/220 | 17.5% | 1.00 (ref.) | 0.96 | 1.00 (ref.) | 0.99 | ||
| Sacrocolpopexy | 25–30 | 15/119 | 15.3% | 1.00 (0.53 to 1.88) | 0.91 (0.47 to 1.74) | |||
| ≥30 | 5/47 | 13.5% | 0.87 (0.33 to 2.25) | 0.91 (0.34 to 2.38) | ||||
| BMI (kg/m²) | Number of Events | Five-Year Rates | Hazard Ratio (95% CI) | p | Interaction p | |
|---|---|---|---|---|---|---|
| Reoperation for Prolapse Recurrence | ||||||
| <25 | 16/382 | 4.8% | 1.00 (ref.) | 0.96 | ||
| All | 25–30 | 10/240 | 4.8% | 0.99 (0.44 to 2.18) | – | |
| ≥30 | 6/122 | 5.7% | 1.13 (0.44 to 2.89) | |||
| Transvaginal mesh surgery | <25 | 6/162 | 3.7% | 1.00 (ref.) | 0.77 | 0.84 |
| 25–30 | 4/121 | 3.3% | 0.89 (0.25 to 3.14) | |||
| ≥30 | 4/75 | 5.3% | 1.43 (0.40 to 5.08) | |||
| <25 | 10/220 | 6.2% | 1.00 (ref.) | 0.95 | ||
| Sacrocolpopexy | 25–30 | 6/119 | 6.8% | 1.17 (0.42 to 3.21) | ||
| ≥30 | 2/47 | 5.4% | 1.00 (0.21 to 4.56) | |||
| Reoperation for SUI | ||||||
| <25 | 22/382 | 6.5% | 1.00 (ref.) | 0.80 | ||
| All | 25–30 | 11/240 | 4.9% | 0.79 (0.38 to 1.64) | – | |
| ≥30 | 6/122 | 5.5% | 0.83 (0.33 to 2.05) | |||
| Transvaginal mesh surgery | <25 | 8/162 | 4.9% | 1.00 (ref.) | 0.94 | 0.78 |
| 25–30 | 6/121 | 5.0% | 1.01 (0.35 to 2.91) | |||
| ≥30 | 3/75 | 4.0% | 0.81 (0.21 to 3.04) | |||
| <25 | 14/220 | 8.4% | 1.00 (ref.) | 0.73 | ||
| Sacrocolpopexy | 25–30 | 5/119 | 4.4% | 0.68 (0.24 to 1.88) | ||
| ≥30 | 3/47 | 9.4% | 1.06 (0.30 to 3.70) | |||
| Reoperation for mesh-related complications | ||||||
| <25 | 8/382 | 2.3% | 1.00 (ref.) | 0.35 | ||
| Total | 25–30 | 10/240 | 4.7% | 1.98 (0.78 to 5.02) | – | |
| ≥30 | 4/122 | 3.3% | 1.56 (0.47 to 5.20) | |||
| Transvaginal mesh surgery | <25 | 3/162 | 1.9% | 1.00 (ref.) | 0.54 | 0.91 |
| 25–30 | 5/121 | 4.1% | 2.23 (0.53 to 9.34) | |||
| ≥30 | 2/75 | 2.7% | 1.45 (0.24 to 8.68) | |||
| <25 | 5/220 | 2.9% | 1.00 (ref.) | 0.52 | ||
| Sacrocolpopexy | 25–30 | 5/119 | 5.9% | 1.90 (0.55 to 6.56) | ||
| ≥30 | 2/47 | 4.6% | 2.05 (0.39 to 10.59) | |||
Publisher’s Note: MDPI stays neutral with regard to jurisdictional claims in published maps and institutional affiliations. |
© 2022 by the authors. Licensee MDPI, Basel, Switzerland. This article is an open access article distributed under the terms and conditions of the Creative Commons Attribution (CC BY) license (https://creativecommons.org/licenses/by/4.0/).
Share and Cite
Lallemant, M.; Giraudet, G.; Delporte, V.; Behal, H.; Rubod, C.; Delplanque, S.; Kerbage, Y.; Cosson, M. Long-Term Assessment of Pelvic Organ Prolapse Reoperation Risk in Obese Women: Vaginal and Laparoscopic Approaches. J. Clin. Med. 2022, 11, 6867. https://doi.org/10.3390/jcm11226867
Lallemant M, Giraudet G, Delporte V, Behal H, Rubod C, Delplanque S, Kerbage Y, Cosson M. Long-Term Assessment of Pelvic Organ Prolapse Reoperation Risk in Obese Women: Vaginal and Laparoscopic Approaches. Journal of Clinical Medicine. 2022; 11(22):6867. https://doi.org/10.3390/jcm11226867
Chicago/Turabian StyleLallemant, Marine, Géraldine Giraudet, Victoire Delporte, Hélène Behal, Chrystele Rubod, Sophie Delplanque, Yohan Kerbage, and Michel Cosson. 2022. "Long-Term Assessment of Pelvic Organ Prolapse Reoperation Risk in Obese Women: Vaginal and Laparoscopic Approaches" Journal of Clinical Medicine 11, no. 22: 6867. https://doi.org/10.3390/jcm11226867
APA StyleLallemant, M., Giraudet, G., Delporte, V., Behal, H., Rubod, C., Delplanque, S., Kerbage, Y., & Cosson, M. (2022). Long-Term Assessment of Pelvic Organ Prolapse Reoperation Risk in Obese Women: Vaginal and Laparoscopic Approaches. Journal of Clinical Medicine, 11(22), 6867. https://doi.org/10.3390/jcm11226867

