Plasma Levels of CXC Motif Chemokine 1 (CXCL1) and Chemokine 8 (CXCL8) as Diagnostic Biomarkers in Luminal A and B Breast Cancer
Abstract
1. Introduction
2. Materials and Methods
Statistical Analysis
3. Results
3.1. Evaluation of Menopausal Status Influence on Constructed Groups
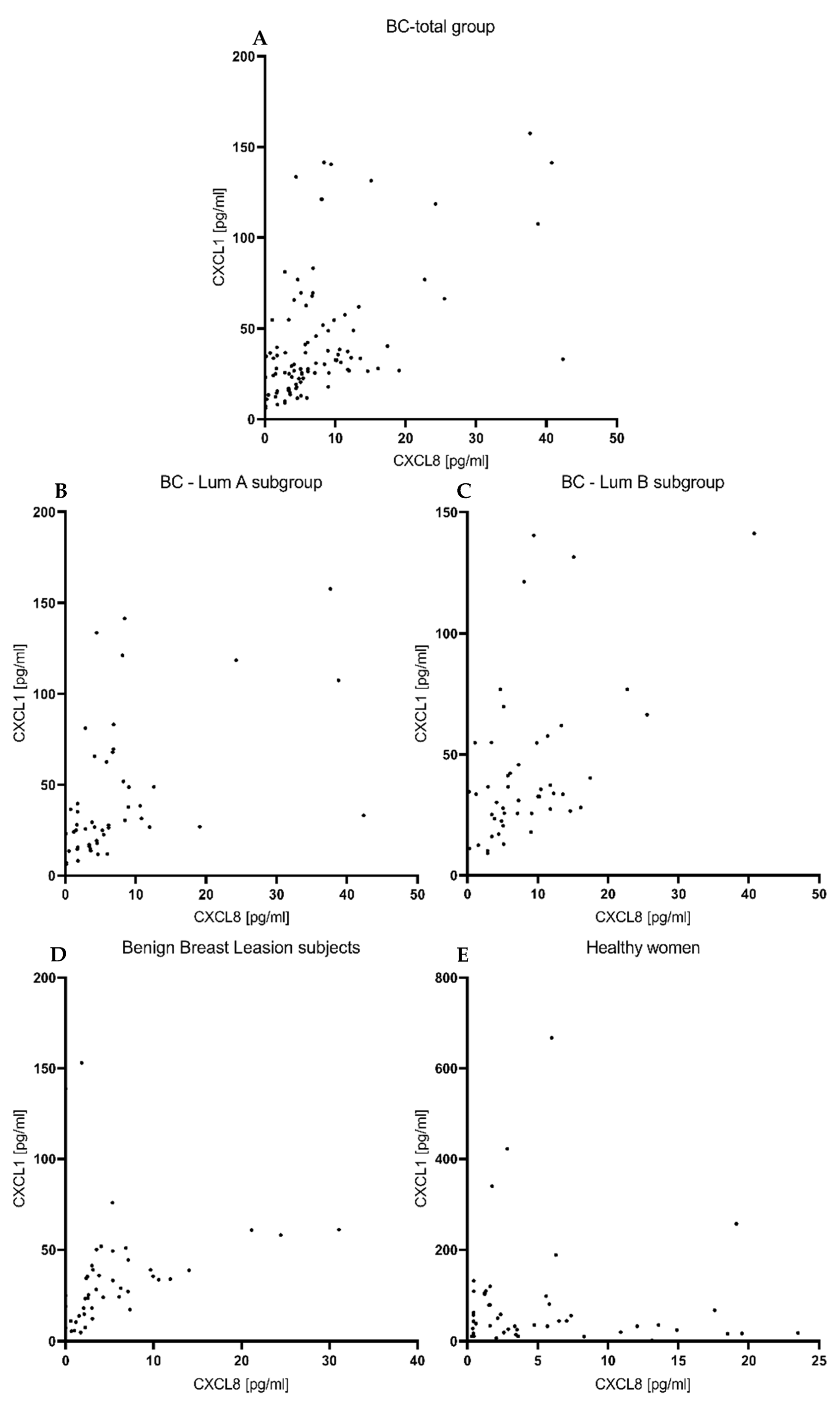
3.2. Preoperative Concentrations
3.3. Postoperative Concentrations
3.4. Diagnostic Criteria of CXCL1 and CXCL8–Pre- and Post-Menopausal Subjects
3.5. Diagnostic Criteria of CXCL1 and CXCL8—Postmenopausal Subjects
4. Discussion
Author Contributions
Funding
Institutional Review Board Statement
Informed Consent Statement
Data Availability Statement
Conflicts of Interest
References
- Sung, H.; Ferlay, J.; Siegel, R.L.; Laversanne, M.; Soerjomataram, I.; Jemal, A.; Bray, F. Global Cancer Statistics 2020: GLOBOCAN Estimates of Incidence and Mortality Worldwide for 36 Cancers in 185 Countries. CA Cancer J. Clin. 2021, 71, 209–249. [Google Scholar] [CrossRef] [PubMed]
- Azamjah, N.; Soltan-Zadeh, Y.; Zayeri, F. Global Trend of Breast Cancer Mortality Rate: A 25-Year Study. Asian Pac. J. Cancer Prev. 2019, 20, 2015–2020. [Google Scholar] [CrossRef] [PubMed]
- Swedish Organised Service Screening Evaluation Group. Reduction in breast cancer mortality from the organised service screening with mammography: 2. Validation with alternative analytic methods. Cancer Epidemiol. Biomark. Prev. 2006, 15, 52–56. [Google Scholar] [CrossRef] [PubMed]
- Duffy, M.J.; Evoy, D.; McDermott, E.W. CA 15-3: Uses and limitation as a biomarker for breast cancer. Clin. Chim. Acta 2010, 411, 1869–1874. [Google Scholar] [CrossRef]
- Jafari, S.H.; Saadatpour, Z.; Salmaninejad, A.; Momeni, F.; Mokhtari, M.; Nahand, J.S.; Rahmati, M.; Mirzaei, H.; Kianmehr, M. Breast cancer diagnosis: Imaging techniques and biochemical markers. J. Cell Physiol. 2018, 233, 5200–5213. [Google Scholar] [CrossRef]
- Barzaman, K.; Karami, J.; Zarei, Z.; Hosseinzadeh, A.; Kazemi, M.H.; Moradi-Kalbolandi, S.; Safari, E.; Farahmand, L. Breast cancer: Biology, biomarkers, and treatments. Int. Immunopharmacol. 2020, 84, 106535. [Google Scholar] [CrossRef]
- Houghton, S.C.; Hankinson, S.E. Cancer Progress and Priorities: Breast Cancer. Cancer Epidemiol. Biomark. Prev. 2021, 30, 822–844. [Google Scholar] [CrossRef]
- Shacter, E.; Weitzman, S.A. Chronic inflammation and cancer. Oncology 2002, 16, 217–226, 229; discussion 230–232. [Google Scholar]
- Liu, H.; Yang, Z.; Lu, W.; Chen, Z.; Chen, L.; Han, S.; Wu, X.; Cai, T.; Cai, Y. Chemokines and chemokine receptors: A new strategy for breast cancer therapy. Cancer Med. 2020, 9, 3786–3799. [Google Scholar] [CrossRef]
- Bikfalvi, A.; Billottet, C. The CC and CXC chemokines: Major regulators of tumor progression and the tumor microenvironment. Am. J. Physiol. Cell Physiol. 2020, 318, C542–C554. [Google Scholar] [CrossRef]
- Acharyya, S.; Oskarsson, T.; Vanharanta, S.; Malladi, S.; Kim, J.; Morris, P.G.; Manova-Todorova, K.; Leversha, M.; Hogg, N.; Seshan, V.E.; et al. CXCL1 paracrine network links cancer chemoresistance and metastasis. Cell 2012, 150, 165–178. [Google Scholar] [CrossRef] [PubMed]
- Miyake, M.; Hori, S.; Morizawa, Y.; Tatsumi, Y.; Nakai, Y.; Anai, S.; Torimoto, K.; Aoki, K.; Tanaka, N.; Shimada, K.; et al. CXCL1-mediated interaction of cancer cells with tumor-associated macrophages and cancer-associated Fibroblasts Promotes Tumor Progression in Human Bladder Cancer. Neoplasia 2016, 18, 636–646, Erratum in: Neoplasia 2017, 19, 250–251. [Google Scholar] [CrossRef]
- Xu, J.; Zhang, C.; He, Y.; Wu, H.; Wang, Z.; Song, W.; Li, W.; He, W.; Cai, S.; Zhan, W. Lymphatic endothelial cell-secreted CXCL1 stimulates lymphangiogenesis and metastasis of gastric cancer. Int. J. Cancer. 2012, 130, 787–797. [Google Scholar] [CrossRef]
- Wang, Z.; Wang, Z.; Li, G.; Wu, H.; Sun, K.; Chen, J.; Feng, Y.; Chen, C.; Cai, S.; Xu, J.; et al. CXCL1 from tumor-associated lymphatic endothelial cells drives gastric cancer cell into lymphatic system via activating integrin β1/FAK/AKT signaling. Cancer Lett. 2017, 385, 28–38. [Google Scholar] [CrossRef] [PubMed]
- Kuo, P.L.; Shen, K.H.; Hung, S.H.; Hsu, Y.L. CXCL1/GROα increases cell migration and invasion of prostate cancer by decreasing fibulin-1 expression through NF-κB/HDAC1 epigenetic regulation. Carcinogenesis 2012, 33, 2477–2487. [Google Scholar] [CrossRef] [PubMed]
- Han, K.Q.; He, X.Q.; Ma, M.Y.; Guo, X.D.; Zhang, X.M.; Chen, J.; Han, H.; Zhang, W.W.; Zhu, Q.G.; Zhao, W.Z. Targeted silencing of CXCL1 by siRNA inhibits tumor growth and apoptosis in hepatocellular carcinoma. Int. J. Oncol. 2015, 47, 2131–2140. [Google Scholar] [CrossRef]
- Wang, L.; Zhang, C.; Xu, J.; Wu, H.; Peng, J.; Cai, S.; He, Y. CXCL1 gene silencing inhibits HGC803 cell migration and invasion and acts as an independent prognostic factor for poor survival in gastric cancer. Mol. Med. Rep. 2016, 14, 4673–4679. [Google Scholar] [CrossRef]
- Ma, K.; Yang, L.; Shen, R.; Kong, B.; Chen, W.; Liang, J.; Tang, G.; Zhang, B. Th17 cells regulate the production of CXCL1 n breast cancer. Int. Immunopharmacol. 2018, 56, 320–329. [Google Scholar] [CrossRef]
- Wang, Y.; Liu, J.; Jiang, Q.; Deng, J.; Xu, F.; Chen, X.; Cheng, F.; Zhang, Y.; Yao, Y.; Xia, Z.; et al. Human Adipose-Derived Mesenchymal Stem Cell-Secreted CXCL1 and CXCL8 Facilitate Breast Tumor Growth By Promoting Angiogenesis. Stem Cells 2017, 35, 2060–2070. [Google Scholar] [CrossRef]
- Mishra, A.; Suman, K.H.; Nair, N.; Majeed, J.; Tripathi, V. An updated review on the role of the CXCL8-CXCR1/2 axis in the progression and metastasis of breast cancer. Mol. Biol. Rep. 2021, 48, 6551–6561. [Google Scholar] [CrossRef]
- Al-Khalaf, H.H.; Al-Harbi, B.; Al-Sayed, A.; Arafah, M.; Tulbah, A.; Jarman, A.; Al-Mohanna, F.; Aboussekhra, A. Interleukin-8 Activates Breast Cancer-Associated Adipocytes and Promotes Their Angiogenesis- and Tumorigenesis-Promoting Effects. Mol. Cell Biol. 2019, 39, e00332-18. [Google Scholar] [CrossRef] [PubMed]
- Singh, J.K.; Simões, B.M.; Howell, S.J.; Farnie, G.; Clarke, R.B. Recent advances reveal IL-8 signaling as a potential key to targeting breast cancer stem cells. Breast Cancer Res. 2013, 15, 210. [Google Scholar] [CrossRef] [PubMed]
- Divella, R.; Daniele, A.; Savino, E.; Palma, F.; Bellizzi, A.; Giotta, F.; Simone, G.; Lioce, M.; Quaranta, M.; Paradiso, A.; et al. Circulating levels of transforming growth factor-βeta (TGF-β) and chemokine (C-X-C motif) ligand-1 (CXCL1) as predictors of distant seeding of circulating tumor cells in patients with metastatic breast cancer. Anticancer Res. 2013, 33, 1491–1497. [Google Scholar] [PubMed]
- Zou, A.; Lambert, D.; Yeh, H.; Yasukawa, K.; Behbod, F.; Fan, F.; Cheng, N. Elevated CXCL1 expression in breast cancer stroma predicts poor prognosis and is inversely associated with expression of TGF-β signaling proteins. BMC Cancer 2014, 14, 781. [Google Scholar] [CrossRef] [PubMed]
- Fang, Q.I.; Wang, X.; Luo, G.; Yu, M.; Zhang, X.; Xu, N. Increased CXCL8 Expression Is Negatively Correlated with the Overall Survival of Patients with ER-Negative Breast Cancer. Anticancer Res. 2017, 37, 4845–4852. [Google Scholar] [CrossRef]
- Chavey, C.; Bibeau, F.; Gourgou-Bourgade, S.; Burlinchon, S.; Boissière, F.; Laune, D.; Roques, S.; Lazennec, G. Oestrogen receptor negative breast cancers exhibit high cytokine content. Breast Cancer Res. 2007, 9, R15. [Google Scholar] [CrossRef]
- Yu, S.; Yi, M.; Xu, L.; Qin, S.; Li, A.; Wu, K. CXCL1 as an Unfavorable Prognosis Factor Negatively Regulated by DACH1 in Non-small Cell Lung Cancer. Front. Oncol. 2020, 9, 1515. [Google Scholar] [CrossRef]
- Cao, Z.; Fu, B.; Deng, B.; Zeng, Y.; Wan, X.; Qu, L. Overexpression of Chemokine (C-X-C) ligand 1 (CXCL1) associated with tumor progression and poor prognosis in hepatocellular carcinoma. Cancer Cell Int. 2014, 14, 86. [Google Scholar] [CrossRef]
- Lokshin, A.; Bast, R.C.; Rodland, K. Circulating Cancer Biomarkers. Cancers 2021, 13, 802. [Google Scholar] [CrossRef]
- Hunter, B.; Hindocha, S.; Lee, R.W. The Role of Artificial Intelligence in Early Cancer Diagnosis. Cancers 2022, 14, 1524. [Google Scholar] [CrossRef]
- Yang, C.; Yu, H.; Chen, R.; Tao, K.; Jian, L.; Peng, M.; Li, X.; Liu, M.; Liu, S. CXCL1 stimulates migration and invasion in ER negative breast cancer cells via activation of the ERK/MMP2/9 signaling axis. Int J. Oncol. 2019, 55, 684–696. [Google Scholar] [CrossRef] [PubMed]
- Ma, Y.; Ren, Y.; Dai, Z.J.; Wu, C.J.; Ji, Y.H.; Xu, J. IL-6, IL-8 and TNF-α levels correlate with disease stage in breast cancer patients. Adv. Clin. Exp. Med. 2017, 26, 421–426. [Google Scholar] [CrossRef] [PubMed]
- Bolitho, C.; Hahn, M.A.; Baxter, R.C.; Marsh, D.J. The chemokine CXCL1 induces proliferation in epithelial ovarian cancer cells by transactivation of the epidermal growth factor receptor. Endocr. Relat. Cancer 2010, 17, 929–940. [Google Scholar] [CrossRef] [PubMed]
- Spaks, A.; Jaunalksne, I.; Spaka, I.; Chudasama, D.; Pirtnieks, A.; Krievins, D. Diagnostic Value of Circulating CXC Chemokines in Non-small Cell Lung Cancer. Anticancer Res. 2015, 35, 6979–6983. [Google Scholar]
- Narita, D.; Seclaman, E.; Anghel, A.; Ilina, R.; Cireap, N.; Negru, S.; Sirbu, I.O.; Ursoniu, S.; Marian, C. Altered levels of plasma chemokines in breast cancer and their association with clinical and pathological characteristics. Neoplasma 2016, 63, 141–149. [Google Scholar] [CrossRef]
- Benoy, I.H.; Salgado, R.; Van Dam, P.; Geboers, K.; Van Marck, E.; Scharpé, S.; Vermeulen, P.B.; Dirix, L.Y. Increased serum interleukin-8 in patients with early and metastatic breast cancer correlates with early dissemination and survival. Cli Cancer Res. 2004, 10, 7157–7162. [Google Scholar] [CrossRef]
- Celik, B.; Yalcin, A.D.; Genc, G.E.; Bulut, T.; KulogluGenc, S.; Gumuslu, S. CXCL8, IL-1β and sCD200 are pro-inflammatory cytokines and their levels increase in the circulation of breast carcinoma patients. Biomed. Rep. 2016, 5, 259–263. [Google Scholar] [CrossRef] [PubMed]
- Piskór, B.M.; Przylipiak, A.; Dąbrowska, E.; Sidorkiewicz, I.; Niczyporuk, M.; Szmitkowski, M.; Ławicki, S. Plasma Level of MMP-10 May Be a Prognostic Marker in Early Stages of Breast Cancer. J. Clin. Med. 2020, 9, 4122. [Google Scholar] [CrossRef]
- Będkowska, G.E.; Gacuta, E.; Zbucka-Krętowska, M.; Ławicki, P.; Szmitkowski, M.; Lemancewicz, A.; Motyka, J.; Kobus, A.; Chorąży, M.; Paniczko, M.; et al. Plasma Levels and Diagnostic Utility of VEGF in a Three-Year Follow-Up of Patients with Breast Cancer. J. Clin. Med. 2021, 10, 5452. [Google Scholar] [CrossRef]
- Piskór, B.M.; Przylipiak, A.; Dąbrowska, E.; Sidorkiewicz, I.; Niczyporuk, M.; Szmitkowski, M.; Ławicki, S. Plasma Concentrations of Matrilysins MMP-7 and MMP-26 as Diagnostic Biomarkers in Breast Cancer. J. Clin. Med. 2021, 10, 1436. [Google Scholar] [CrossRef]
- Wang, R.X.; Ji, P.; Gong, Y.; Shao, Z.M.; Chen, S. Value of CXCL8-CXCR1/2 axis in neoadjuvant chemotherapy for triple-negative breast cancer patients: A retrospective pilot study. Breast Cancer Res. Treat. 2020, 181, 561–570. [Google Scholar] [CrossRef] [PubMed]
- Shantha Kumara, H.M.C.; Sutton, E.; Bellini, G.A.; Yan, X.; Cekic, V.; Gandhi, N.D.; Whelan, R.L. Plasma interleukin-8 levels are persistently elevated for 1 month after minimally invasive colorectal resection for colorectal cancer. Mol. Clin. Oncol. 2018, 8, 471–476. [Google Scholar] [CrossRef] [PubMed]
- Pawluczuk, E.; Łukaszewicz-Zając, M.; Gryko, M.; Kulczyńska-Przybik, A.; Mroczko, B. Serum CXCL8 and Its Specific Receptor (CXCR2) in Gastric Cancer. Cancers 2021, 13, 5186. [Google Scholar] [CrossRef] [PubMed]
- Dąbrowska, E.; Przylipiak, A.; Zajkowska, M.; Piskór, B.M.; Sidorkiewicz, I.; Szmitkowski, M.; Ławicki, S. Possible Diagnostic Application of CXCL12 and CXCR4 as Tumor Markers in Breast Cancer Patients. Anticancer Res. 2020, 40, 3221–3229. [Google Scholar] [CrossRef] [PubMed]
- Zajkowska, M.; Gacuta, E.; Kozłowska, S.; Lubowicka, E.; Głażewska, E.K.; Chrostek, L.; Szmitkowski, M.; Pawłowski, P.; Zbucka-Krętowska, M.; Ławicki, S. Diagnostic power of VEGF, MMP-9 and TIMP-1 in patients with breast cancer. A multivariate statistical analysis with ROC curve. Adv. Med. Sci. 2019, 64, 1–8. [Google Scholar] [CrossRef]








| Studied Group | Group Size | Menopausal Status | Age (Median) (Min–Max) | TNM Status (Number of Incidents) | Treatment (Number of Incidents) | ||
|---|---|---|---|---|---|---|---|
| Premeno-Pausal | Postmeno-Pausal | ||||||
| Preoperative group of patients | |||||||
| Breast cancer total group: | 100 | 11 | 89 | 60 (21–85) | T1N0M0 (51) T1cN0M0 (3) T1N0Mx (2) T1NxM0 (9) T1N1M0 (1) | T2N0M0 (24) T2NxM0 (4) T2N1M0 (4) T3N0M0 (1) T4N0M0 (1) | BCT + ALND (69) BCT (4) Amputation + ALND (27) |
| Luminal A | 50 | 8 | 42 | 58 (21–81) | T1N0M0 (27) T1N0Mx (2) T1cN0M0 (2) T1NxM0 (7) | T2N0M0 (10) T2NxM0 (1) T3N0M0 (1) | BCT + ALND (37) Amputation + ALND (13) |
| Luminal B | 50 | 3 | 47 | 62.5 (38–79) | T1N0M0 (24) T1cN0M0 (1) T1NxM0 (2) T1N1M0 (1) | T2N0M0 (14) T2NxM0 (3) T2N1M0 (4) T4N0M0 (1) | BCT + ALND (32) BCT (4)Amputation + ALND (14) |
| Postoperative group of patients (matched pairs) | |||||||
| Breast cancer total group: | 43 | 3 | 40 | 61 (35–81) | T1N0M0 (25) T1cN0M0 (1) T1N0Mx (1) T1NxM0 (4) | T2N0M0 (8) T2NxM0 (2) T2N1M0 (1) T4N0M0 (1) | BCT + ALND (33) Amputation + ALND (10) |
| Luminal A | 22 | 1 | 21 | 62 (35–81) | T1N0M0 (13) T1N0Mx (1) T1cN0M0 (1) | T1NxM0 (3)T2N0M0 (4) | BCT + ALND (19) Amputation + ALND (3) |
| Luminal B | 21 | 2 | 19 | 60 (38–79) | T1N0M0 (12) T1NxM0 (1) T2N0M0 (4) | T2NxM0 (2) T2N1M0 (1) T4N0M0 (1) | BCT + ALND (14) Amputation + ALND (7) |
| Control groups | |||||||
| Benign breast lesion group | 50 | 12 | 38 | 50 (22–83) | Fibroadenoma | N/A | |
| Healthy women group | 50 | 10 | 40 | 49.5 (25–69) | N/A | N/A | |
| CXCL1 [pg/mL] Median (Q1–Q3) | CXCL8 [pg/mL] Median (Q1–Q3) | CA 15-3 [IU/mL] Median (Q1–Q3) | |
|---|---|---|---|
| BC—total group (n = 43) | |||
| Before surgery | 32.606 (25.963–54.763) | 7.261 (3.807–11.115) | 18.2 (13.95–26.9) |
| After surgery (4–6 weeks) | 40.254 (31.305–55.098) | 7.313 (3.853–12.556) | 17.8 (12.9–20.0) |
| p | 0.059 | 0.443 | 0.029 |
| BC—Luminal A subgroup (n = 22) | |||
| Before surgery | 30.832(20.236–46.467) | 5.326 (1.77–8.846) | 18.25 (13.675–28.125) |
| After surgery (4–6 weeks) | 41.414 (32.966–52.634) | 7.229 (4.729–11.593) | 18.100 (13.975–19.3) |
| p | 0.048 | 0.023 | 0.153 |
| BC—Luminal B subgroup (n = 21) | |||
| Before surgery | 33.868 (27.363–57.562) | 10.043 (5.153–12.286) | 18.2 (14.6–25.9) |
| After surgery (4–6 weeks) | 37.061 (29.965–81.177) | 7.508 (2.73–12.579) | 15.6 (12.4–20.1) |
| p | 0.532 | 0.509 | 0.063 |
| Tested Parameter | Diagnostic Criterium (%) | Breast Cancer | ||
|---|---|---|---|---|
| Lum A Subgroup | Lum B Subgroup | Total Group | ||
| CXCL1 | SE | 60 | 54 | 57 |
| SP | 54 | 54 | 54 | |
| PPV | 56.6 | 54 | 71.25 | |
| NPV | 57.45 | 54 | 38.59 | |
| CXCL8 | SE | 64 | 76 | 70 |
| SP | 60 | 60 | 60 | |
| PPV | 61.54 | 65.52 | 77.78 | |
| NPV | 62.50 | 71.43 | 50 | |
| CA 15-3 | SE | 54 | 56 | 55 |
| SP | 64 | 64 | 64 | |
| PPV | 60 | 60.87 | 75.34 | |
| NPV | 58.18 | 59.26 | 41.56 | |
| CXCL1 + CA 15-3 | SE | 84 | 76 | 80 |
| SP | 34 | 34 | 34 | |
| PPV | 56 | 53.52 | 70.8 | |
| NPV | 68 | 58.62 | 45.95 | |
| CXCL8 + CA 15-3 | SE | 80 | 94 | 88 |
| SP | 38 | 38 | 38 | |
| PPV | 56.34 | 60.26 | 73.95 | |
| NPV | 65.52 | 86.36 | 61.29 | |
| CXCL1 + CXCL8 + CA 15-3 | SE | 98 | 94 | 96 |
| SP | 18 | 18 | 18 | |
| PPV | 54.45 | 53.41 | 70.07 | |
| NPV | 90 | 75 | 69.23 | |
| Tested Parameter | AUC | SE (AUC) | 95% C.I. | p (AUC = 0.5) | Comparison to CA 15-3 (p) |
|---|---|---|---|---|---|
| Breast cancer—total group | |||||
| CXCL1 | 0.5496 | 0.055 | 0.443–0.657 | 0.322 | 0.258 |
| CXCL8 | 0.6410 | 0.052 | 0.539–0.742 | 0.005 | 0.874 |
| CA 15-3 | 0.6300 | 0.045 | 0.541–0.719 | 0.010 | - |
| CXCL1 + CA 15-3 | 0.6724 | 0.045 | 0.584–0.760 | 0.001 | 0.008 |
| CXCL8 + CA 15-3 | 0.6582 | 0.046 | 0.568–0.749 | 0.002 | 0.066 |
| CXCL1 + CXCL8 + CA 15-3 | 0.7024 | 0.046 | 0.612–0.793 | <0.001 | 0.002 |
| Breast cancer—Luminal A subgroup | |||||
| CXCL1 | 0.5568 | 0.059 | 0.412–0.672 | 0.334 | 0.516 |
| CXCL8 | 0.6120 | 0.058 | 0.499–0.725 | 0.052 | 0.994 |
| CA 15-3 | 0.6114 | 0.058 | 0.498–0.725 | 0.054 | - |
| CXCL1 + CA 15-3 | 0.6648 | 0.054 | 0.559–0.771 | 0.005 | 0.028 |
| CXCL8 + CA 15-3 | 0.6108 | 0.057 | 0.500–0.722 | 0.051 | 0.317 |
| CXCL1 + CXCL8 + CA 15-3 | 0.6708 | 0.054 | 0.565–0.776 | 0.002 | 0.041 |
| Breast cancer—Luminal B subgroup | |||||
| CXCL1 | 0.5424 | 0.060 | 0.425–0.660 | 0.478 | 0.185 |
| CXCL8 | 0.6700 | 0.060 | 0.560–0.780 | 0.002 | 0.796 |
| CA 15-3 | 0.6486 | 0.055 | 0.540–0.757 | 0.007 | - |
| CXCL1 + CA 15-3 | 0.6800 | 0.053 | 0.576–0.784 | <0.001 | 0.025 |
| CXCL8 + CA 15-3 | 0.7056 | 0.052 | 0.604–0.807 | <0.001 | 0.036 |
| CXCL1 + CXCL8 + CA 15-3 | 0.7340 | 0.050 | 0.637–0.831 | <0.001 | 0.006 |
| Tested Parameter | Diagnostic Criterium (%) | Breast Cancer | ||
|---|---|---|---|---|
| Lum A Subgroup | Lum B Subgroup | Total Group | ||
| CXCL1 | SE | 44.19 | 42.55 | 43.33 |
| SP | 42.50 | 42.50 | 42.50 | |
| PPV | 45.24 | 51.16 | 62.90 | |
| NPV | 41.46 | 38.64 | 25.00 | |
| CXCL8 | SE | 65.12 | 74.47 | 68.89 |
| SP | 65.00 | 65.00 | 65.00 | |
| PPV | 66.67 | 71.43 | 81.58 | |
| NPV | 63.41 | 68.42 | 48.15 | |
| CA 15-3 | SE | 51.16 | 57.45 | 54.44 |
| SP | 65.00 | 65.00 | 65.00 | |
| PPV | 61.11 | 65.85 | 77.78 | |
| NPV | 55.32 | 56.52 | 38.81 | |
| CXCL1 + CA 15-3 | SE | 69.77 | 78.72 | 74.44 |
| SP | 27.50 | 27.50 | 27.50 | |
| PPV | 50.85 | 56.06 | 69.79 | |
| NPV | 45.83 | 52.38 | 32.35 | |
| CXCL8 + CA 15-3 | SE | 76.74 | 93.62 | 85.56 |
| SP | 37.50 | 37.50 | 37.50 | |
| PPV | 56.90 | 63.77 | 75.49 | |
| NPV | 60.00 | 82.35 | 53.57 | |
| CXCL1 + CXCL8 + CA 15-3 | SE | 76.74 | 100.00 | 88.89 |
| SP | 17.50 | 17.50 | 17.50 | |
| PPV | 50.00 | 58.75 | 70.80 | |
| NPV | 41.18 | 100.00 | 41.18 | |
| Tested Parameter | AUC | SE (AUC) | 95% C.I. | p (AUC = 0.5) | Comparison to CA 15-3 (p) |
|---|---|---|---|---|---|
| Breast cancer—total group | |||||
| CXCL1 | 0.5633 | 0.060 | 0.446–0.680 | 0.250 | 0.288 |
| CXCL8 | 0.6961 | 0.054 | 0.591–0.801 | <0.001 | 0.515 |
| CA 15-3 | 0.6461 | 0.049 | 0.550–0.742 | 0.008 | - |
| CXCL1 + CA 15-3 | 0.6872 | 0.048 | 0.592–0.782 | <0.001 | 0.011 |
| CXCL8 + CA 15-3 | 0.7114 | 0.048 | 0.618–0.805 | <0.001 | 0.007 |
| CXCL1 + CXCL8 + CA 15-3 | 0.7464 | 0.048 | 0.652–0.841 | <0.001 | <0.001 |
| Breast cancer—Luminal A subgroup | |||||
| CXCL1 | 0.5512 | 0.064 | 0.424–0.678 | 0.423 | 0.4631 |
| CXCL8 | 0.6797 | 0.060 | 0.562–0.797 | 0.005 | 0.4813 |
| CA 15-3 | 0.6195 | 0.062 | 0.497–0.742 | 0.061 | - |
| CXCL1 + CA 15-3 | 0.6628 | 0.059 | 0.546–0.779 | 0.011 | 0.050 |
| CXCL8 + CA 15-3 | 0.6471 | 0.060 | 0.529–0.766 | 0.021 | 0.079 |
| CXCL1 + CXCL8 + CA 15-3 | 0.6901 | 0.058 | 0.576–0.804 | 0.003 | 0.027 |
| Breast cancer—Luminal B subgroup | |||||
| CXCL1 | 0.5745 | 0.065 | 0.448–0.701 | 0.233 | 0.267 |
| CXCL8 | 0.7112 | 0.058 | 0.581–0.825 | <0.001 | 0.651 |
| CA 15-3 | 0.6705 | 0.058 | 0.557–0.784 | 0.006 | - |
| CXCL1 + CA 15-3 | 0.7059 | 0.055 | 0.598–0.814 | <0.001 | 0.029 |
| CXCL8 + CA 15-3 | 0.7601 | 0.052 | 0.659–0.861 | <0.001 | 0.003 |
| CXCL1 + CXCL8 + CA 15-3 | 0.7883 | 0.049 | 0.692–0.885 | <0.001 | 0.001 |
Publisher’s Note: MDPI stays neutral with regard to jurisdictional claims in published maps and institutional affiliations. |
© 2022 by the authors. Licensee MDPI, Basel, Switzerland. This article is an open access article distributed under the terms and conditions of the Creative Commons Attribution (CC BY) license (https://creativecommons.org/licenses/by/4.0/).
Share and Cite
Motyka, J.; Gacuta, E.; Kicman, A.; Kulesza, M.; Ławicki, P.; Ławicki, S. Plasma Levels of CXC Motif Chemokine 1 (CXCL1) and Chemokine 8 (CXCL8) as Diagnostic Biomarkers in Luminal A and B Breast Cancer. J. Clin. Med. 2022, 11, 6694. https://doi.org/10.3390/jcm11226694
Motyka J, Gacuta E, Kicman A, Kulesza M, Ławicki P, Ławicki S. Plasma Levels of CXC Motif Chemokine 1 (CXCL1) and Chemokine 8 (CXCL8) as Diagnostic Biomarkers in Luminal A and B Breast Cancer. Journal of Clinical Medicine. 2022; 11(22):6694. https://doi.org/10.3390/jcm11226694
Chicago/Turabian StyleMotyka, Joanna, Ewa Gacuta, Aleksandra Kicman, Monika Kulesza, Paweł Ławicki, and Sławomir Ławicki. 2022. "Plasma Levels of CXC Motif Chemokine 1 (CXCL1) and Chemokine 8 (CXCL8) as Diagnostic Biomarkers in Luminal A and B Breast Cancer" Journal of Clinical Medicine 11, no. 22: 6694. https://doi.org/10.3390/jcm11226694
APA StyleMotyka, J., Gacuta, E., Kicman, A., Kulesza, M., Ławicki, P., & Ławicki, S. (2022). Plasma Levels of CXC Motif Chemokine 1 (CXCL1) and Chemokine 8 (CXCL8) as Diagnostic Biomarkers in Luminal A and B Breast Cancer. Journal of Clinical Medicine, 11(22), 6694. https://doi.org/10.3390/jcm11226694

