Growth Factor Release within Liquid and Solid PRF
Abstract
:1. Introduction
2. Materials and Methods
3. Results
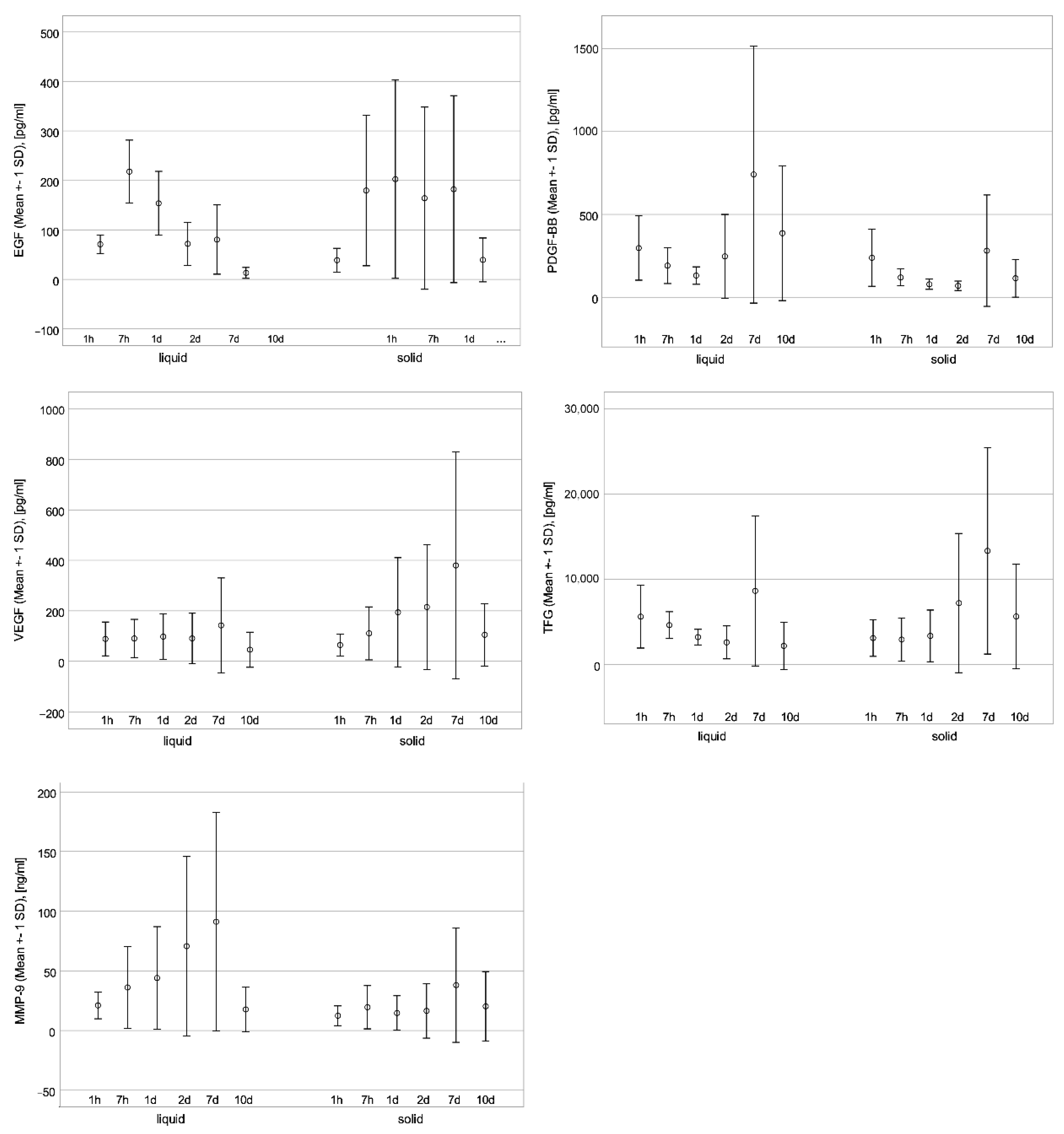
3.1. Growth Factor Analysis
3.1.1. Liquid Matrices
- Release of EGF
- Release of VEGF
- Release of TGF-β1
- Release of PDGF-BB
- Release of MMP-9
3.1.2. Solid Matrices
- Release of EGF
- Release of VEGF
- Release of TGF-β1
- Release of PDGF-BB
- Release of MMP-9
3.2. Figures


3.3. Tables
| Consistency | ||||||
|---|---|---|---|---|---|---|
| Liquid | Solid | |||||
| Growth Factor | Time Point | N | Mean | SD | Mean | SD |
| EGF | 1 h | 4 | 71.1 | 18.7 | 38.9 | 23.8 |
| [pg/mL] | 7 h | 4 | 217.9 | 63.7 | 179.7 | 152.0 |
| 1 d | 4 | 153.8 | 64.6 | 202.6 | 200.4 | |
| 2 d | 4 | 72.0 | 43.4 | 164.2 | 184.0 | |
| 7 d | 4 | 80.5 | 70.0 | 182.3 | 188.9 | |
| 10 d | 4 | 13.3 | 11.2 | 39.6 | 44.3 | |
| MMP-9 | 1 h | 4 | 21.1 | 11.2 | 12.5 | 8.3 |
| [ng/pg] | 7 h | 4 | 36.1 | 34.3 | 19.6 | 18.1 |
| 1 d | 4 | 44.1 | 43.0 | 14.7 | 14.5 | |
| 2 d | 4 | 70.7 | 75.2 | 16.5 | 22.9 | |
| 7 d | 4 | 91.2 | 91.6 | 38.1 | 48.0 | |
| 10 d | 4 | 17.7 | 18.7 | 20.3 | 29.1 | |
| PDGF-BB | 1 h | 4 | 296.9 | 193.9 | 238.1 | 172.0 |
| [pg/mL] | 7 h | 4 | 191.1 | 108.3 | 119.6 | 51.2 |
| 1 d | 4 | 131.1 | 53.1 | 78.3 | 30.9 | |
| 2 d | 4 | 246.6 | 253.3 | 69.3 | 28.4 | |
| 7 d | 4 | 741.0 | 775.6 | 281.0 | 336.0 | |
| 10 d | 4 | 386.5 | 406.2 | 114.5 | 114.4 | |
| TFG | 1 h | 4 | 5619.0 | 3686.2 | 3111.4 | 2154.6 |
| [pg/mL] | 7 h | 4 | 4626.8 | 1571.1 | 2934.1 | 2531.2 |
| 1 d | 4 | 3220.4 | 911.3 | 3367.4 | 3023.7 | |
| 2 d | 4 | 2601.1 | 1928.2 | 7211.2 | 8170.8 | |
| 7 d | 4 | 8639.2 | 8795.0 | 13,337.4 | 12,093.7 | |
| 10 d | 4 | 2189.0 | 2748.0 | 5638.2 | 6118.7 | |
| VEGF | 1 h | 4 | 88.1 | 67.1 | 64.0 | 43.5 |
| [pg/mL] | 7 h | 4 | 89.9 | 75.8 | 110.4 | 105.0 |
| 1 d | 4 | 97.2 | 90.4 | 193.7 | 216.5 | |
| 2 d | 4 | 90.3 | 99.4 | 214.6 | 246.9 | |
| 7 d | 4 | 141.9 | 188.2 | 379.8 | 449.8 | |
| 10 d | 4 | 45.4 | 69.6 | 104.7 | 123.8 | |
4. Discussion
5. Conclusions
Author Contributions
Funding
Institutional Review Board Statement
Informed Consent Statement
Data Availability Statement
Acknowledgments
Conflicts of Interest
References
- Miron, R.J.; Zucchelli, G.; Pikos, M.A.; Salama, M.; Lee, S.; Guillemette, V.; Fujioka-Kobayashi, M.; Bishara, M.; Zhang, Y.; Wang, H.-L.; et al. Use of platelet-rich fibrin in regenerative dentistry: A systematic review. Clin. Oral Investig. 2017, 21, 1913–1927. [Google Scholar] [CrossRef]
- Peterson, L.J.; Marx, R.E.; Carlson, E.R.; Eichstaedt, R.M.; Schimmele, S.R.; Strauss, J.E.; Karen, R.G.; Miami, F. Oral and Maxillofacial Surgery Platelet-Rich Plasma Growth Factor Enhancement for Bone Grafts. Oral Surg. Oral Med. Oral Pathol. Oral Radiol. 1998, 85, 638–646. [Google Scholar]
- Jakse, N.; Tangl, S.; Gilli, R.; Berghold, A.; Lorenzoni, M.; Eskici, A.; Haas, R.; Pertl, C. Influence of PRP on autogenous sinus grafts: An experimental study on sheep. Clin. Oral Implant. Res. 2003, 14, 578–583. [Google Scholar] [CrossRef]
- Everts, P.; Onishi, K.; Jayaram, P.; Lana, J.F.; Mautner, K. Platelet-Rich Plasma: New Performance Understandings and Therapeutic Considerations in 2020. Int. J. Mol. Sci. 2020, 21, 7794. [Google Scholar] [CrossRef]
- Anitua, E.; Sánchez, M.; Orive, G. The importance of understanding what is platelet-rich growth factor (PRGF) and what is not. J. Shoulder Elb. Surg. 2011, 20, e23–e24. [Google Scholar] [CrossRef]
- Dohan, D.M.; Choukroun, J.; Diss, A.; Dohan, S.L.; Dohan, A.J.; Mouhyi, J.; Gogly, B. Platelet-Rich Fibrin (PRF): A Second-generation Platelet Concentrate. Part I: Technological Concepts and Evolution. Oral Surg. Oral Med. Oral Pathol. Oral Radiol. Endod. 2006, 101, e37–e44. [Google Scholar] [CrossRef]
- Verboket, R.D.; Anbar, B.; Söhling, N.; Kontradowitz, K.; Marzi, I.; Ghanaati, S.; Henrich, D. Changes in Platelet-Rich Fibrin Composition After Trauma and Surgical Intervention. Platelets 2020, 31, 1069–1079. [Google Scholar] [CrossRef]
- Bagdadi, K.; Kubesch, A.; Yu, X.; Al-Maawi, S.; Orlowska, A.; Dias, A.; Booms, P.; Dohle, E.; Sader, R.; Kirkpatrick, C.J.; et al. Reduction of relative centrifugal forces increases growth factor release within solid platelet-rich-fibrin (PRF)-based matrices: A proof of concept of LSCC (low speed centrifugation concept). Eur. J. Trauma Emerg. Surg. 2019, 45, 467–479. [Google Scholar] [CrossRef]
- Choukroun, J.; Ghanaati, S. Reduction of relative centrifugation force within injectable platelet-rich-fibrin (PRF) concentrates advances patients’ own inflammatory cells, platelets and growth factors: The first introduction to the low speed centrifugation concept. Eur. J. Trauma Emerg. Surg. 2018, 44, 87–95. [Google Scholar] [CrossRef]
- Ehrenfest, D.M.D.; Pinto, N.R.; Pereda, A.; Jiménez, P.; Del Corso, M.; Kang, B.-S.; Nally, M.; Lanata, N.; Wang, H.-L.; Quirynen, M. The Impact of the Centrifuge Characteristics and Centrifugation Protocols on the Cells, Growth Factors, and Fibrin Architecture of a Leukocyte- and Platelet-Rich Fibrin (L-PRF) Clot and Membrane. Platelets 2018, 29, 181–184. [Google Scholar] [CrossRef]
- Ghanaati, S.; Herrera-Vizcaino, C.; Al-Maawi, S.; Lorenz, J.; Miron, R.J.; Nelson, K.; Schwarz, F.; Choukroun, J.; Sader, R. Fifteen Years of Platelet Rich Fibrin in Dentistry and Oromaxillofacial Surgery: How High is the Level of Scientific Evidence? J. Oral Implantol. 2018, 44, 471–492. [Google Scholar] [CrossRef]
- Pinto, N.R.; Ubilla, M.; Zamora, Y.; del Rio, V.; Ehrenfest, D.M.D.; Quirynen, M. Leucocyte-and Platelet-Rich Fibrin (L-PRF) as a Regenerative Medicine Strategy for the Treatment of Refractory Leg Ulcers: A Prospective Cohort Study. Available online: https://www.tandfonline.com/action/journalInformation?journalCode=iplt20 (accessed on 15 August 2022).
- Chen, J.; Wan, Y.; Lin, Y.; Jiang, H. Platelet-rich fibrin and concentrated growth factors as novel platelet concentrates for chronic hard-to-heal skin ulcers: A Systematic Review and Meta-Analysis of Randomized Controlled Trials. J. Dermatol. Treat. 2020, 33, 613–621. [Google Scholar] [CrossRef]
- Schulz, A. Does platelet-rich fibrin enhance healing of burn wounds? Our first experiences and main pitfalls la fibrine riche en plaquettes améliore t’il la cicatrisation des brûlure? première expérience et principaux écueils. Ann. Burn. Fire Disasters 2021, XXXIV, 42–52. [Google Scholar]
- Yuvasri, G.; Rai, R. Comparison of Efficacy of Autologous Platelet-Rich Fibrin versus Unna’s Paste Dressing in Chronic Venous Leg Ulcers: A Comparative Study. Indian Derm. Online J. 2020, 11, 58–61. [Google Scholar]
- Ghanaati, S.; Al-Maawi, S. Autologe Alternativen. Teamwork 2018, 3, 2–10. [Google Scholar]
- Zrnc, T.A.; Metzler, P.; Zemann, W.; Ghanaati, S. PRF in dentistry—A short synopsis about implementation and workflow. Swiss Dent. J. 2018, 128, 712–713. (In German) [Google Scholar]
- Al-Maawi, S.; Herrera-Vizcaíno, C.; Orlowska, A.; Willershausen, I.; Sader, R.; Miron, R.J.; Choukroun, J.; Ghanaati, S. Biologization of Collagen-Based Biomaterials Using Liquid-Platelet-Rich Fibrin: New Insights into Clinically Applicable Tissue Engineering. Materials 2019, 12, 3993. [Google Scholar] [CrossRef]
- Al-Maawi, S.; Herrera-Vizcaino, C.; Dohle, E.; Zrnc, T.A.; Parvini, P.; Schwarz, F.; Sader, R.; Choukroun, J.; Ghanaati, S. Homogeneous Pressure Influences the Growth Factor Release Profiles in Solid Platelet-Rich Fibrin Matrices and Enhances Vascular Endothelial Growth Factor Release in the Solid Platelet-Rich Fibrin Plugs. Int. J. Growth Factors Stem Cells Dent. 2018, 1, 8. [Google Scholar]
- Lei, L.; Yu, Y.; Han, J.; Shi, D.; Sun, W.; Zhang, D.; Chen, L. Quantification of growth factors in advanced platelet-rich fibrin and concentrated growth factors and their clinical efficacy as adjunctive to the GTR procedure in periodontal intrabony defects. J. Periodontol. 2020, 91, 462–472. [Google Scholar] [CrossRef]
- Miron, R.J.; Moraschini, V.; Del Fabbro, M.; Piattelli, A.; Fujioka-Kobayashi, M.; Zhang, Y.; Saulacic, N.; Schaller, B.; Kawase, T.; Cosgarea, R.; et al. Use of Platelet-Rich Fibrin for the Treatment of Gingival Recessions: A Systematic Review and Meta-Analysis. Clin. Oral Investig. 2020, 24, 2543–2557. [Google Scholar] [CrossRef]
- Karimi, K.; Rockwell, H. The Benefits of Platelet-Rich Fibrin. Facial Plast. Surg. Clin. N. Am. 2019, 27, 331–340. [Google Scholar] [CrossRef]
- Alpan, A.L.; Cin, G.T. PRF Improves Wound Healing and Postoperative Discomfort after Harvesting Subepithelial Connective Tissue Graft From Palate: A Randomized Controlled Trial. Clin. Oral Investig. 2020, 24, 425–436. [Google Scholar] [CrossRef]
- Albilia, J.B.; Vizcaíno, C.H.; Weisleder, H.; Choukroun, J.; Ghanaati, S. Liquid Platelet-Rich Fibrin Injections As A Treatment Adjunct for Painful Temporomandibular Joints: Preliminary Results. Cranio J. Craniomandib. Pract. 2018, 38, 292–304. [Google Scholar] [CrossRef]
- Valladão, C.A.A.; Monteiro, M.F.; Joly, J.C. Guided Bone Regeneration in Staged Vertical and Horizontal Bone Augmentation Using Platelet-Rich Fibrin Associated with Bone Grafts: A Retrospective Clinical Study. Int. J. Implant. Dent. 2020, 6, 72. [Google Scholar] [CrossRef]
- Xiang, X.; Shi, P.; Zhang, P.; Shen, J.; Kang, J. Impact of Platelet-Rich Fibrin on Mandibular Third Molar Surgery Recovery: A Systematic Review and Meta-Analysis. BMC Oral Health 2019, 19, 163. [Google Scholar] [CrossRef]
- Al-Maawi, S.; Becker, K.; Schwarz, F.; Sader, R.; Ghanaati, S. Efficacy of Platelet-Rich Fibrin In Promoting the Healing of Extraction Sockets: A Systematic Review. Int. J. Implant. Dent. 2021, 7, 117. [Google Scholar] [CrossRef]
- Yuce, E.; Komerik, N. Comparison of the Efficiacy of Intra-Articular Injection of Liquid Platelet-Rich Fibrin and Hyaluronic Acid After in Conjunction with Arthrocentesis for the Treatment of Internal Temporomandibular Joint Derangements. J Craniofac. Surg. 2020, 31, 1870–1874. [Google Scholar] [CrossRef]
- Miranda, M.; Gianfreda, F.; Raffone, C.; Antonacci, D.; Pistilli, V.; Bollero, P. The Role of Platelet-Rich Fibrin (PRF) in the Prevention of Medication-Related Osteonecrosis of the Jaw (MRONJ). BioMed Res. Int. 2021, 2021, 4948139. [Google Scholar] [CrossRef]
- Nica, D.F.; Riviș, M.; Roi, C.I.; Todea, C.D.; Duma, V.F.; Sinescu, C. Complementarity of Photo-Biomodulation, Surgical Treatment, and Antibiotherapy for Medication-Related Osteonecrosis of the Jaws (MRONJ). Med. B Aires 2021, 57, 145. [Google Scholar] [CrossRef]
- Tenore, G.; Zimbalatti, A.; Rocchetti, F.; Graniero, F.; Gaglioti, D.; Mohsen, A.; Caputo, M.; Lollobrigida, M.; Lamazza, L.; Biase, A.; et al. Management of Medication-Related Osteonecrosis of the Jaw (MRONJ) Using Leukocyte- and Platelet-Rich Fibrin (L-PRF) and Photobiomodulation: A Retrospective Study. J. Clin. Med. 2020, 9, 3505. [Google Scholar] [CrossRef]
- Kobayashi, E.; Flückiger, L.; Fujioka-Kobayashi, M.; Sawada, K.; Sculean, A.; Schaller, B.; Miron, R.J. Comparative release of growth factors from PRP, PRF, and advanced-PRF. Clin. Oral Investig. 2016, 20, 2353–2360. [Google Scholar] [CrossRef] [PubMed]
- Wend, S.; Kubesch, A.; Orlowska, A.; Al-Maawi, S.; Zender, N.; Dias, A.; Miron, R.J.; Sader, R.; Booms, P.; Kirkpatrick, C.J.; et al. Reduction of the relative centrifugal force influences cell number and growth factor release within injectable PRF-based matrices. J. Mater. Sci. Mater. Med. 2017, 28, 188. [Google Scholar] [CrossRef]
- Keustermans, G.C.E.; Hoeks, S.B.E.; Meerding, J.M.; Prakken, B.J.; de Jager, W. Cytokine assays: An assessment of the preparation and treatment of blood and tissue samples. Methods 2013, 61, 10–17. [Google Scholar] [CrossRef]
- Reinke, J.M.; Sorg, H. Wound Repair and Regeneration. Eur. Surg. Res. Eur. Chir. Forsch. Rech. Chir. Eur. 2012, 49, 35–43. [Google Scholar] [CrossRef]
- Maouia, A.; Rebetz, J.; Kapur, R.; Semple, J.W. The Immune Nature of Platelets Revisited. Transfus. Med. Rev. 2020, 34, 209–220. [Google Scholar] [CrossRef]
- Koenen, R.R. The Prowess of Platelets in Immunity and Inflammation. Thromb. Haemost. 2016, 116, 605–612. [Google Scholar] [CrossRef]
- Karadayi, U.; Gursoytrak, B. Randomised Controlled Trial of Arthrocentesis with or without PRF for Internal Derangement of the TMJ. J. Cranio Maxillofac. Surg. 2021, 49, 362–367. [Google Scholar] [CrossRef]
- Castro, A.B.; van Dessel, J.; Temmerman, A.; Jacobs, R.; Quirynen, M. Effect of Different Platelet-Rich Fibrin Matrices for Ridge Preservation in Multiple Tooth Extractions: A Split-Mouth Randomized Controlled Clinical Trial. J. Clin. Periodontol. 2021, 48, 984–995. [Google Scholar] [CrossRef]
- Anwandter, A.; Bohmann, S.; Nally, M.; Castro, A.B.; Quirynen, M.; Pinto, N. Dimensional changes of the post extraction alveolar ridge, preserved with Leukocyte-and Platelet Rich Fibrin: A clinical pilot study. J. Dent. 2016, 52, 23–29. [Google Scholar] [CrossRef]
- Meza-Mauricio, J.; Furquim, C.P.; Geldres, A.; Mendoza-Azpur, G.; Retamal-Valdes, B.; Moraschini, V.; Faveri, M. Is the Use of Platelet-Rich Fibrin Effective in the Healing, Control of Pain, and Postoperative Bleeding in the Palatal Area after Free Gingival Graft harvesting? A Systematic Review of Randomized Clinical Studies. Clin. Oral Investig. 2021, 25, 4239–4249. [Google Scholar] [CrossRef]
- Miron, R.J.; Xu, H.; Chai, J.; Wang, J.; Zheng, S.; Feng, M.; Zhang, X.; Wei, Y.; Chen, Y.; de Almeida Barros Mourão, C.F.; et al. Comparison of Platelet-Rich Fibrin (PRF) Produced Using 3 Commercially Available Centrifuges at Both High (~700 g) and Low (~200 g) Relative Centrifugation Forces. Clin. Oral Investig. 2020, 24, 1171–1182. [Google Scholar] [CrossRef] [PubMed]
Publisher’s Note: MDPI stays neutral with regard to jurisdictional claims in published maps and institutional affiliations. |
© 2022 by the authors. Licensee MDPI, Basel, Switzerland. This article is an open access article distributed under the terms and conditions of the Creative Commons Attribution (CC BY) license (https://creativecommons.org/licenses/by/4.0/).
Share and Cite
Zwittnig, K.; Kirnbauer, B.; Jakse, N.; Schlenke, P.; Mischak, I.; Ghanaati, S.; Al-Maawi, S.; Végh, D.; Payer, M.; Zrnc, T.A. Growth Factor Release within Liquid and Solid PRF. J. Clin. Med. 2022, 11, 5070. https://doi.org/10.3390/jcm11175070
Zwittnig K, Kirnbauer B, Jakse N, Schlenke P, Mischak I, Ghanaati S, Al-Maawi S, Végh D, Payer M, Zrnc TA. Growth Factor Release within Liquid and Solid PRF. Journal of Clinical Medicine. 2022; 11(17):5070. https://doi.org/10.3390/jcm11175070
Chicago/Turabian StyleZwittnig, Katharina, Barbara Kirnbauer, Norbert Jakse, Peter Schlenke, Irene Mischak, Shahram Ghanaati, Sarah Al-Maawi, Dániel Végh, Michael Payer, and Tomislav A. Zrnc. 2022. "Growth Factor Release within Liquid and Solid PRF" Journal of Clinical Medicine 11, no. 17: 5070. https://doi.org/10.3390/jcm11175070
APA StyleZwittnig, K., Kirnbauer, B., Jakse, N., Schlenke, P., Mischak, I., Ghanaati, S., Al-Maawi, S., Végh, D., Payer, M., & Zrnc, T. A. (2022). Growth Factor Release within Liquid and Solid PRF. Journal of Clinical Medicine, 11(17), 5070. https://doi.org/10.3390/jcm11175070

