Machine Learning Consensus Clustering of Morbidly Obese Kidney Transplant Recipients in the United States
Abstract
:1. Introduction
2. Materials and Methods
2.1. Data Source and Study Population
2.2. Data Collection
2.3. Clustering Analysis
2.4. Outcomes
2.5. Statistical Analysis
3. Results
3.1. Clinical Characteristics of Morbid Obesity Clusters
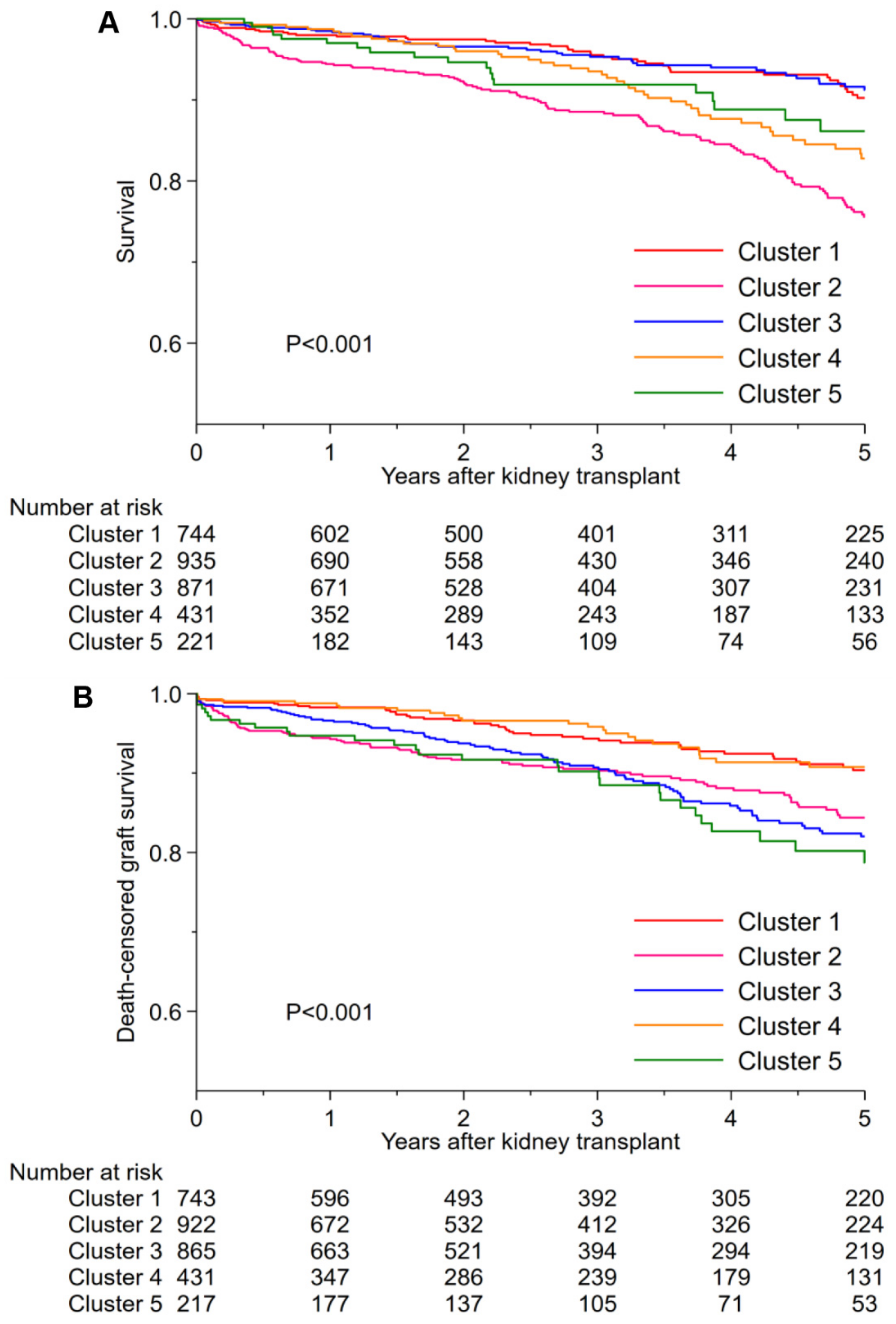
3.2. Post-Transplant Outcomes of Morbid Obesity Clusters
4. Discussion
5. Conclusions
Supplementary Materials
Author Contributions
Funding
Institutional Review Board Statement
Informed Consent Statement
Data Availability Statement
Acknowledgments
Conflicts of Interest
References
- Holley, J.L.; Shapiro, R.; Lopatin, W.B.; Tzakis, A.G.; Hakala, T.R.; Starzl, T.E. Obesity as a risk factor following cadaveric renal transplantation. Transplantation 1990, 49, 387–389. [Google Scholar] [CrossRef] [PubMed] [Green Version]
- Ercole, P.M.; Buchanan, P.M.; Lentine, K.L.; Burroughs, T.E.; Schnitzler, M.A.; Modanlou, K.A. Costs and Outcomes of Privately-Insured Kidney Transplant Recipients by Body Mass Index. J. Nephrol. Ther. 2012, (Suppl. S4). [Google Scholar] [CrossRef] [PubMed] [Green Version]
- Lynch, R.J.; Ranney, D.N.; Shijie, C.; Lee, D.S.; Samala, N.; Englesbe, M.J. Obesity, surgical site infection, and outcome following renal transplantation. Ann. Surg. 2009, 250, 1014–1020. [Google Scholar] [CrossRef] [PubMed]
- Gore, J.L.; Pham, P.T.; Danovitch, G.M.; Wilkinson, A.H.; Rosenthal, J.T.; Lipshutz, G.S.; Singer, J.S. Obesity and outcome following renal transplantation. Am. J. Transplant. 2006, 6, 357–363. [Google Scholar] [CrossRef] [PubMed]
- Meier-Kriesche, H.U.; Arndorfer, J.A.; Kaplan, B. The impact of body mass index on renal transplant outcomes: A significant independent risk factor for graft failure and patient death. Transplantation 2002, 73, 70–74. [Google Scholar] [CrossRef]
- Lafranca, J.A.; Ijermans, J.N.M.; Betjes, M.G.; Dor, F.J. Body mass index and outcome in renal transplant recipients: A systematic review and meta-analysis. BMC Med. 2015, 13, 111. [Google Scholar] [CrossRef] [Green Version]
- Hill, C.J.; Courtney, A.E.; Cardwell, C.R.; Maxwell, A.P.; Lucarelli, G.; Veroux, M.; Furriel, F.; Cannon, R.M.; Hoogeveen, E.K.; Doshi, M.; et al. Recipient obesity and outcomes after kidney transplantation: A systematic review and meta-analysis. Nephrol. Dial. Transplant. 2015, 30, 1403–1411. [Google Scholar] [CrossRef] [Green Version]
- Schold, J.D.; Augustine, J.J.; Huml, A.M.; Fatica, R.; Nurko, S.; Wee, A.; Poggio, E.D. Effects of body mass index on kidney transplant outcomes are significantly modified by patient characteristics. Am. J. Transplant. 2021, 21, 751–765. [Google Scholar] [CrossRef]
- Lentine, K.L.; Delos Santos, R.; Axelrod, D.; Schnitzler, M.A.; Brennan, D.C.; Tuttle-Newhall, J.E. Obesity and kidney transplant candidates: How big is too big for transplantation? Am. J. Nephrol. 2012, 36, 575–586. [Google Scholar] [CrossRef]
- Kasiske, B.L.; Cangro, C.B.; Hariharan, S.; Hricik, D.E.; Kerman, R.H.; Roth, D.; Rush, D.N.; Vazquez, M.A.; Weir, M.R. The evaluation of renal transplantation candidates: Clinical practice guidelines. Am. J. Transplant. 2001, 1 (Suppl. S2), 3–95. [Google Scholar]
- Kovesdy, C.P.; Czira, M.E.; Rudas, A.; Ujszaszi, A.; Rosivall, L.; Novak, M.; Kalantar-Zadeh, K.; Molnar, M.Z.; Mucsi, I. Body mass index, waist circumference and mortality in kidney transplant recipients. Am. J. Transplant. 2010, 10, 2644–2651. [Google Scholar] [CrossRef] [PubMed] [Green Version]
- Naik, A.S.; Sakhuja, A.; Cibrik, D.M.; Ojo, A.O.; Samaniego-Picota, M.D.; Lentine, K.L. The Impact of Obesity on Allograft Failure After Kidney Transplantation: A Competing Risks Analysis. Transplantation 2016, 100, 1963–1969. [Google Scholar] [CrossRef] [PubMed]
- Kampaktsis, P.N.; Tzani, A.; Doulamis, I.P.; Moustakidis, S.; Drosou, A.; Diakos, N.; Drakos, S.G.; Briasoulis, A. State-of-the-art machine learning algorithms for the prediction of outcomes after contemporary heart transplantation: Results from the UNOS database. Clin. Transplant. 2021, 35, e14388. [Google Scholar] [CrossRef] [PubMed]
- Killian, M.O.; Payrovnaziri, S.N.; Gupta, D.; Desai, D.; He, Z. Machine learning-based prediction of health outcomes in pediatric organ transplantation recipients. JAMIA Open 2021, 4, ooab008. [Google Scholar] [CrossRef]
- Ershoff, B.D.; Lee, C.K.; Wray, C.L.; Agopian, V.G.; Urban, G.; Baldi, P.; Cannesson, M. Training and Validation of Deep Neural Networks for the Prediction of 90-Day Post-Liver Transplant Mortality Using UNOS Registry Data. Transplant. Proc. 2020, 52, 246–258. [Google Scholar] [CrossRef]
- Wadhwani, S.I.; Hsu, E.K.; Shaffer, M.L.; Anand, R.; Ng, V.L.; Bucuvalas, J.C. Predicting ideal outcome after pediatric liver transplantation: An exploratory study using machine learning analyses to leverage Studies of Pediatric Liver Transplantation Data. Pediatr. Transplant. 2019, 23, e13554. [Google Scholar] [CrossRef]
- Schwantes, I.R.; Axelrod, D.A. Technology-Enabled Care and Artificial Intelligence in Kidney Transplantation. Curr. Transplant. Rep. 2021, 1–6. [Google Scholar] [CrossRef]
- Connor, K.L.; O’Sullivan, E.D.; Marson, L.P.; Wigmore, S.J.; Harrison, E.M. The Future Role of Machine Learning in Clinical Transplantation. Transplantation 2021, 105, 723–735. [Google Scholar] [CrossRef]
- Thongprayoon, C.; Vaitla, P.; Jadlowiec, C.C.; Leeaphorn, N.; Mao, S.A.; Mao, M.A.; Pattharanitima, P.; Bruminhent, J.; Khoury, N.J.; Garovic, V.D.; et al. Use of Machine Learning Consensus Clustering to Identify Distinct Subtypes of Black Kidney Transplant Recipients and Associated Outcomes. JAMA Surg. 2022, e221286. [Google Scholar] [CrossRef]
- MacEachern, S.J.; Forkert, N.D. Machine learning for precision medicine. Genome 2021, 64, 416–425. [Google Scholar] [CrossRef]
- Alyousef, A.A.; Nihtyanova, S.; Denton, C.; Bosoni, P.; Bellazzi, R.; Tucker, A. Nearest Consensus Clustering Classification to Identify Subclasses and Predict Disease. J. Healthc. Inform. Res. 2018, 2, 402–422. [Google Scholar] [CrossRef] [PubMed] [Green Version]
- Zheng, Z.; Waikar, S.S.; Schmidt, I.M.; Landis, J.R.; Hsu, C.Y.; Shafi, T.; Feldman, H.I.; Anderson, A.H.; Wilson, F.P.; Chen, J.; et al. Subtyping CKD Patients by Consensus Clustering: The Chronic Renal Insufficiency Cohort (CRIC) Study. J. Am. Soc. Nephrol. 2021, 32, 639–653. [Google Scholar] [CrossRef] [PubMed]
- Thongprayoon, C.; Kattah, A.G.; Mao, M.A.; Keddis, M.T.; Pattharanitima, P.; Vallabhajosyula, S.; Nissaisorakarn, V.; Erickson, S.B.; Dillon, J.J.; Garovic, V.D.; et al. Distinct Phenotypes of Hospitalized Patients with Hyperkalemia by Machine Learning Consensus Clustering and Associated Mortality Risks. QJM 2021. online ahead of print. [Google Scholar] [CrossRef] [PubMed]
- Van Buuren, S.; Groothuis-Oudshoorn, K. Mice: Multivariate imputation by chained equations in R. J. Stat. Softw. 2011, 45, 1–67. [Google Scholar] [CrossRef] [Green Version]
- Monti, S.; Tamayo, P.; Mesirov, J.; Golub, T. Consensus clustering: A resampling-based method for class discovery and visualization of gene expression microarray data. Mach. Learn. 2003, 52, 91–118. [Google Scholar] [CrossRef]
- Wilkerson, M.D.; Hayes, D.N. ConsensusClusterPlus: A class discovery tool with confidence assessments and item tracking. Bioinformatics 2010, 26, 1572–1573. [Google Scholar] [CrossRef] [Green Version]
- Șenbabaoğlu, Y.; Michailidis, G.; Li, J.Z. Critical limitations of consensus clustering in class discovery. Sci. Rep. 2014, 4, 6207. [Google Scholar] [CrossRef] [Green Version]
- Snyder, J.J.; Salkowski, N.; Kim, S.J.; Zaun, D.; Xiong, H.; Israni, A.K.; Kasiske, B.L. Developing statistical models to assess transplant outcomes using national registries: The process in the United States. Transplantation 2016, 100, 288–294. [Google Scholar] [CrossRef] [Green Version]
- Tonkin-Crine, S.; Pruthi, R.; Taylor, D.M.; Leydon, G.M.; Calestani, M.; Oniscu, G.C.; Bradley, J.A.; Tomson, C.R.; Bradley, C.; Dudley, C.; et al. Assessing Consensus Between UK Renal Clinicians on Listing for Kidney Transplantation: A Modified Delphi Study. Transplant. Direct 2018, 4, e343. [Google Scholar] [CrossRef]
- Knoll, G.; Cockfield, S.; Blydt-Hansen, T.; Baran, D.; Kiberd, B.; Landsberg, D.; Rush, D.; Cole, E. Canadian Society of Transplantation: Consensus guidelines on eligibility for kidney transplantation. CMAJ 2005, 173, S1–S25. [Google Scholar] [CrossRef] [Green Version]
- Okumi, M.; Unagami, K.; Tachibana, H.; Hirai, T.; Ishida, H.; Tanabe, K. Association between body mass index and outcomes in Japanese living kidney transplant recipients: The role of sex differences. Int. J. Urol. 2016, 23, 776–784. [Google Scholar] [CrossRef] [PubMed]
- Hart, A.; Lentine, K.L.; Smith, J.M.; Miller, J.M.; Skeans, M.A.; Prentice, M.; Robinson, A.; Foutz, J.; Booker, S.E.; Israni, A.K.; et al. OPTN/SRTR 2019 Annual Data Report: Kidney. Am. J. Transplant. 2021, 21 (Suppl. S2), 21–137. [Google Scholar] [CrossRef] [PubMed]
- Cosio, F.G.; Pesavento, T.E.; Kim, S.; Osei, K.; Henry, M.; Ferguson, R.M. Patient survival after renal transplantation: IV. Impact of post-transplant diabetes. Kidney Int. 2002, 62, 1440–1446. [Google Scholar] [CrossRef] [PubMed]
- Cosio, F.G.; Hickson, L.J.; Griffin, M.D.; Stegall, M.D.; Kudva, Y. Patient survival and cardiovascular risk after kidney transplantation: The challenge of diabetes. Am. J. Transplant 2008, 8, 593–599. [Google Scholar] [CrossRef] [PubMed]
- Gordon, E.J.; Ladner, D.P.; Caicedo, J.C.; Franklin, J. Disparities in kidney transplant outcomes: A review. Semin. Nephrol. 2010, 30, 81–89. [Google Scholar] [CrossRef] [PubMed] [Green Version]
- Wesselman, H.; Ford, C.G.; Leyva, Y.; Li, X.; Chang, C.H.; Dew, M.A.; Kendall, K.; Croswell, E.; Pleis, J.R.; Ng, Y.H.; et al. Social Determinants of Health and Race Disparities in Kidney Transplant. Clin. J. Am. Soc. Nephrol. 2021, 16, 262–274. [Google Scholar] [CrossRef]
- Donders, A.R.T.; Van Der Heijden, G.J.; Stijnen, T.; Moons, K.G. A gentle introduction to imputation of missing values. J. Clin. Epidemiol. 2006, 59, 1087–1091. [Google Scholar] [CrossRef]








| All (n = 3204) | Cluster 1 (n = 745) | Cluster 2 (n = 936) | Cluster 3 (n = 871) | Cluster 4 (n = 431) | Cluster 5 (n = 221) | p-Value | |
|---|---|---|---|---|---|---|---|
| Recipient age (year), median (IQR) | 50 (41–59) | 49 (40–57) | 58 (51–64) | 42 (36–50) | 51 (41–59) | 46 (39–54) | <0.001 |
| Recipient male sex | 1724 (54) | 452 (61) | 489 (52) | 462 (53) | 215 (50) | 106 (48) | <0.001 |
| Recipient race | <0.001 | ||||||
| 1482 (46) | 489 (66) | 386 (41) | 218 (25) | 285 (66) | 104 (47) | |
| 1278 (40) | 145 (19) | 430 (46) | 542 (62) | 76 (18) | 85 (38) | |
| 328 (10) | 90 (12) | 81 (9) | 73 (9) | 58 (13) | 26 (12) | |
| 116 (4) | 21 (3) | 39 (4) | 38 (4) | 12 (3) | 6 (3) | |
| ABO blood group | <0.001 | ||||||
| 1193 (37) | 270 (36) | 327 (35) | 307 (35) | 202 (47) | 87 (39) | |
| 439 (14) | 98 (13) | 132 (14) | 132 (15) | 55 (13) | 22 (10) | |
| 156 (5) | 30 (4) | 57 (6) | 42 (5) | 21 (5) | 6 (3) | |
| 1416 (44) | 347 (47) | 420 (45) | 390 (45) | 153 (35) | 106 (48) | |
| Body mass index (kg/m2), median (IQR) | 41.7 (40.6–43.4) | 41.8 (40.7–43.6) | 41.4 (40.5–42.9) | 42.0 (40.7–43.8) | 41.5 (40.6–43.1) | 41.5 (40.6–43.4) | <0.001 |
| Retransplant | 231 (7) | 3 (0.4) | 1 (0.1) | 0 (0) | 6 (1) | 221 (100) | |
| Dialysis duration | <0.001 | ||||||
| 447 (14) | 191 (26) | 64 (7) | 62 (7) | 100 (23) | 30 (14) | |
| 399 (12) | 189 (25) | 59 (6) | 49 (6) | 74 (17) | 28 (13) | |
| 643 (20) | 214 (29) | 125 (13) | 124 (14) | 122 (28) | 58 (26) | |
| 1715 (54) | 151 (20) | 688 (74) | 636 (73) | 135 (31) | 105 (47) | |
| Cause of end-stage kidney disease | <0.001 | ||||||
| 1001 (31) | 243 (33) | 532 (57) | 79 (9) | 136 (32) | 11 (5) | |
| 777 (24) | 124 (17) | 192 (20) | 358 (41) | 84 (19) | 19 (9) | |
| 740 (23) | 204 (27) | 100 (11) | 286 (33) | 107 (25) | 43 (19) | |
| 262 (8) | 98 (13) | 50 (5) | 60 (7) | 49 (11) | 5 (2) | |
| 424 (13) | 76 (10) | 62 (7) | 88 (10) | 55 (13) | 143 (65) | |
| Comorbidity | |||||||
| 1341 (42) | 311 (42) | 654 (70) | 135 (15) | 172 (40) | 69 (31) | <0.001 |
| 168 (5) | 34 (5) | 69 (7) | 25 (3) | 24 (6) | 16 (7) | <0.001 |
| 280 (9) | 82 (11) | 117 (12) | 25 (3) | 40 (9) | 16 (7) | <0.001 |
| PRA (%), median (IQR) | 0 (0–17) | 0 (0–0) | 0 (0–5) | 0 (0–17) | 0 (0–37) | 85 (21–98) | <0.001 |
| Positive HCV serostatus | 79 (2) | 5 (1) | 41 (4) | 20 (2) | 5 (1) | 8 (4) | <0.001 |
| Positive HBs antigen | 31 (1) | 6 (1) | 6 (1) | 13 (1) | 3 (1) | 3 (1) | 0.35 |
| Positive HIV serostatus | 19 (1) | 2 (0) | 7 (1) | 9 (1) | 1 (0) | 0 (0) | 0.14 |
| Functional status | <0.001 | ||||||
| 12 (0) | 2 (0) | 2 (0) | 3 (0) | 3 (1) | 2 (1) | |
| 1307 (41) | 240 (32) | 466 (50) | 363 (42) | 155 (36) | 83 (38) | |
| 1885 (59) | 503 (67) | 468 (50) | 505 (58) | 273 (63) | 136 (61) | |
| Working income | 1137 (35) | 370 (50) | 202 (22) | 300 (34) | 175 (41) | 90 (41) | <0.001 |
| Public insurance | 2270 (71) | 366 (49) | 780 (83) | 707 (81) | 253 (59) | 164 (74) | <0.001 |
| US resident | 3191 (99) | 740 (99) | 935 (100) | 869 (100) | 427 (99) | 220 (99) | 0.14 |
| Undergraduate education or above | 1817 (57) | 486 (65) | 486 (52) | 471 (54) | 240 (56) | 134 (61) | <0.001 |
| Serum albumin (g/dL), mean (SD) | 3.8 ± 0.5 | 3.8 ± 0.5 | 3.8 ± 0.5 | 4.0 ± 0.5 | 3.8 ± 0.5 | 3.7 ± 0.5 | <0.001 |
| Kidney donor status | <0.001 | ||||||
| 1950 (61) | 16 (2) | 716 (76) | 856 (98) | 210 (49) | 152 (69) | |
| 251 (8) | 5 (1) | 215 (23) | 6 (1) | 15 (3) | 10 (4) | |
| 1003 (31) | 724 (97) | 5 (1) | 9 (1) | 206 (48) | 59 (27) | |
| ABO incompatibility | 9 (0) | 8 (1) | 0 (0) | 0 (0) | 1 (0) | 0 (0) | <0.001 |
| Donor age (year), median (IQR) | 40 (29–51) | 43 (33–52) | 49 (39–55) | 29 (22–38) | 39 (29–50) | 38 (26–48) | <0.001 |
| Donor male sex | 1756 (55) | 267 (36) | 565 (60) | 591 (68) | 216 (50) | 117 (53) | <0.001 |
| Donor race | 0.003 | ||||||
| 2248 (70) | 534 (72) | 676 (72) | 583 (70) | 318 (74) | 137 (62) | |
| 509 (16) | 107 (14) | 135 (14) | 159 (18) | 54 (12) | 54 (24) | |
| 370 (11) | 86 (11) | 96 (10) | 110 (13) | 51 (12) | 27 (12) | |
| 77 (2) | 18 (2) | 29 (3) | 19 (2) | 8 (2) | 3 (1) | |
| History of hypertension in donor | 655 (20) | 37 (5) | 394 (42) | 114 (13) | 56 (13) | 54 (24) | <0.001 |
| KDPI | <0.001 | ||||||
| 1003 (31) | 724 (97) | 5 (1) | 9 (1) | 206 (48) | 59 (27) | |
| 2082 (65) | 21 (3) | 824 (88) | 861 (99) | 219 (51) | 157 (71) | |
| 119 (4) | 0 (0) | 107 (11) | 1 (0.1) | 6 (1) | 5 (2) | |
| HLA mismatch, median (IQR) | 4 (3–5) | 4 (3–5) | 5 (4–5) | 5 (4–5) | 2 (0–2) | 4 (2–5) | <0.001 |
| Cold ischemia time (hours), median (IQR) | 11.7 (2.7–18.8) | 1.3 (0.8–2.5) | 17 (12–23) | 14.7 (10.3–20.1) | 7.8 (1.3–16.5) | 13.1 (4.5–20.2) | <0.001 |
| Kidney on pump | 1089 (34) | 2 (0) | 538 (57) | 396 (45) | 86 (20) | 67 (30) | <0.001 |
| Delay graft function | 887 (28) | 38 (5) | 423 (45) | 282 (32) | 64 (15) | 80 (36) | <0.001 |
| Allocation type | <0.001 | ||||||
| 2714 (85) | 743 (100) | 722 (77) | 757 (87) | 334 (77) | 158 (71) | |
| 189 (6) | 0 (0) | 102 (11) | 48 (5) | 21 (5) | 18 (8) | |
| 301 (9) | 2 (0) | 112 (12) | 66 (8) | 76 (18) | 45 (20) | |
| EBV status | 0.01 | ||||||
| 38 (1) | 15 (2) | 2 (0) | 11 (1) | 9 (2) | 1 (1) | |
| 2896 (90) | 659 (88) | 856 (92) | 786 (90) | 387 (90) | 208 (94) | |
| 270 (9) | 71 (10) | 78 (8) | 74 (9) | 35 (8) | 12 (5) | |
| CMV status | <0.001 | ||||||
| 624 (20) | 225 (30) | 140 (15) | 136 (16) | 99 (23) | 24 (11) | |
| 773 (24) | 152 (20) | 232 (25) | 239 (27) | 90 (21) | 60 (27) | |
| 1131 (35) | 217 (29) | 352 (38) | 301 (35) | 158 (37) | 103 (47) | |
| 676 (21) | 151 (20) | 212 (23) | 195 (22) | 84 (19) | 34 (15) | |
| Induction immunosuppression | |||||||
| 1745 (54) | 334 (45) | 528 (56) | 544 (62) | 197 (46) | 142 (64) | <0.001 |
| 658 (20) | 206 (28) | 171 (18) | 147 (17) | 99 (23) | 35 (16) | <0.001 |
| 525 (16) | 153 (20) | 148 (16) | 103 (12) | 103 (24) | 18 (8) | <0.001 |
| 100 (3) | 28 (4) | 36 (4) | 19 (2) | 8 (2) | 9 (4) | 0.09 |
| 268 (8) | 51 (7) | 85 (9) | 81 (9) | 32 (7) | 19 (9) | 0.36 |
| Maintenance immunosuppression | |||||||
| 2844 (89) | 652 (87) | 810 (86) | 797 (91) | 397 (92) | 188 (85) | <0.001 |
| 77 (2) | 24 (3) | 23 (2) | 13 (1) | 10 (2) | 7 (3) | 0.22 |
| 2947 (92) | 694 (93) | 846 (90) | 804 (92) | 402 (93) | 201 (91) | 0.20 |
| 10 (0) | 1 (0) | 3 (0) | 1 (0) | 3 (1) | 2 (1) | 0.17 |
| 37 (1) | 11 (1) | 9 (1) | 10 (1) | 4 (1) | 3 (1) | 0.87 |
| 1939 (60) | 367 (49) | 594 (63) | 587 (67) | 231 (54) | 160 (72) | <0.001 |
| Cluster 1 | Cluster 2 | Cluster 3 | Cluster 4 | Cluster 5 | |
|---|---|---|---|---|---|
| 1-year survival | 98.0% | 94.4% | 98.5% | 98.7% | 97.0% |
| HR for 1-year death | 1.62 (0.62–5.01) | 4.56 (2.00–13.12) | 1.20 (0.45–3.77) | 1 (ref) | 2.33 (0.70–8.07) |
| 5-year survival | 90.2% | 75.6% | 91.2% | 82.8% | 86.1% |
| HR for 5-year death | 0.57 (0.38–0.87) | 1.58 (1.13–2.25) | 0.54 (0.35–0.82) | 1 (ref) | 0.92 (0.52–1.54) |
| 1-year death-censored graft survival | 98.1% | 93.0% | 96.1% | 98.8% | 93.0% |
| HR for 1-year death-censored graft failure | 1.50 (0.57–4.67) | 5.89 (2.62–16.85) | 3.19(1.36–9.34) | 1 (ref) | 5.93 (2.30–18.25) |
| 5-year death-censored graft survival | 90.2% | 83.2% | 81.6% | 90.8% | 77.3% |
| HR for 5-year death-censored graft failure | 1.08 (0.67–1.78) | 2.22 (1.46–3.51) | 2.09 (1.37–3.32) | 1 (ref) | 2.79 (1.67–4.74) |
| 1-year acute rejection | 8.6% | 7.6% | 8.0% | 6.0% | 9.5% |
| OR for 1-year acute rejection | 1.46 (0.91–2.35) | 1.28 (0.80–2.03) | 1.36 (0.85–2.17) | 1 (ref) | 1.64 (0.90–2.97) |
Publisher’s Note: MDPI stays neutral with regard to jurisdictional claims in published maps and institutional affiliations. |
© 2022 by the authors. Licensee MDPI, Basel, Switzerland. This article is an open access article distributed under the terms and conditions of the Creative Commons Attribution (CC BY) license (https://creativecommons.org/licenses/by/4.0/).
Share and Cite
Thongprayoon, C.; Mao, S.A.; Jadlowiec, C.C.; Mao, M.A.; Leeaphorn, N.; Kaewput, W.; Vaitla, P.; Pattharanitima, P.; Tangpanithandee, S.; Krisanapan, P.; et al. Machine Learning Consensus Clustering of Morbidly Obese Kidney Transplant Recipients in the United States. J. Clin. Med. 2022, 11, 3288. https://doi.org/10.3390/jcm11123288
Thongprayoon C, Mao SA, Jadlowiec CC, Mao MA, Leeaphorn N, Kaewput W, Vaitla P, Pattharanitima P, Tangpanithandee S, Krisanapan P, et al. Machine Learning Consensus Clustering of Morbidly Obese Kidney Transplant Recipients in the United States. Journal of Clinical Medicine. 2022; 11(12):3288. https://doi.org/10.3390/jcm11123288
Chicago/Turabian StyleThongprayoon, Charat, Shennen A. Mao, Caroline C. Jadlowiec, Michael A. Mao, Napat Leeaphorn, Wisit Kaewput, Pradeep Vaitla, Pattharawin Pattharanitima, Supawit Tangpanithandee, Pajaree Krisanapan, and et al. 2022. "Machine Learning Consensus Clustering of Morbidly Obese Kidney Transplant Recipients in the United States" Journal of Clinical Medicine 11, no. 12: 3288. https://doi.org/10.3390/jcm11123288
APA StyleThongprayoon, C., Mao, S. A., Jadlowiec, C. C., Mao, M. A., Leeaphorn, N., Kaewput, W., Vaitla, P., Pattharanitima, P., Tangpanithandee, S., Krisanapan, P., Qureshi, F., Nissaisorakarn, P., Cooper, M., & Cheungpasitporn, W. (2022). Machine Learning Consensus Clustering of Morbidly Obese Kidney Transplant Recipients in the United States. Journal of Clinical Medicine, 11(12), 3288. https://doi.org/10.3390/jcm11123288

