Predictive Value of Pro-BNP for Heart Failure Readmission after an Acute Coronary Syndrome
Abstract
1. Introduction
2. Materials and Methods
3. Results
3.1. In-Hospital Mortality
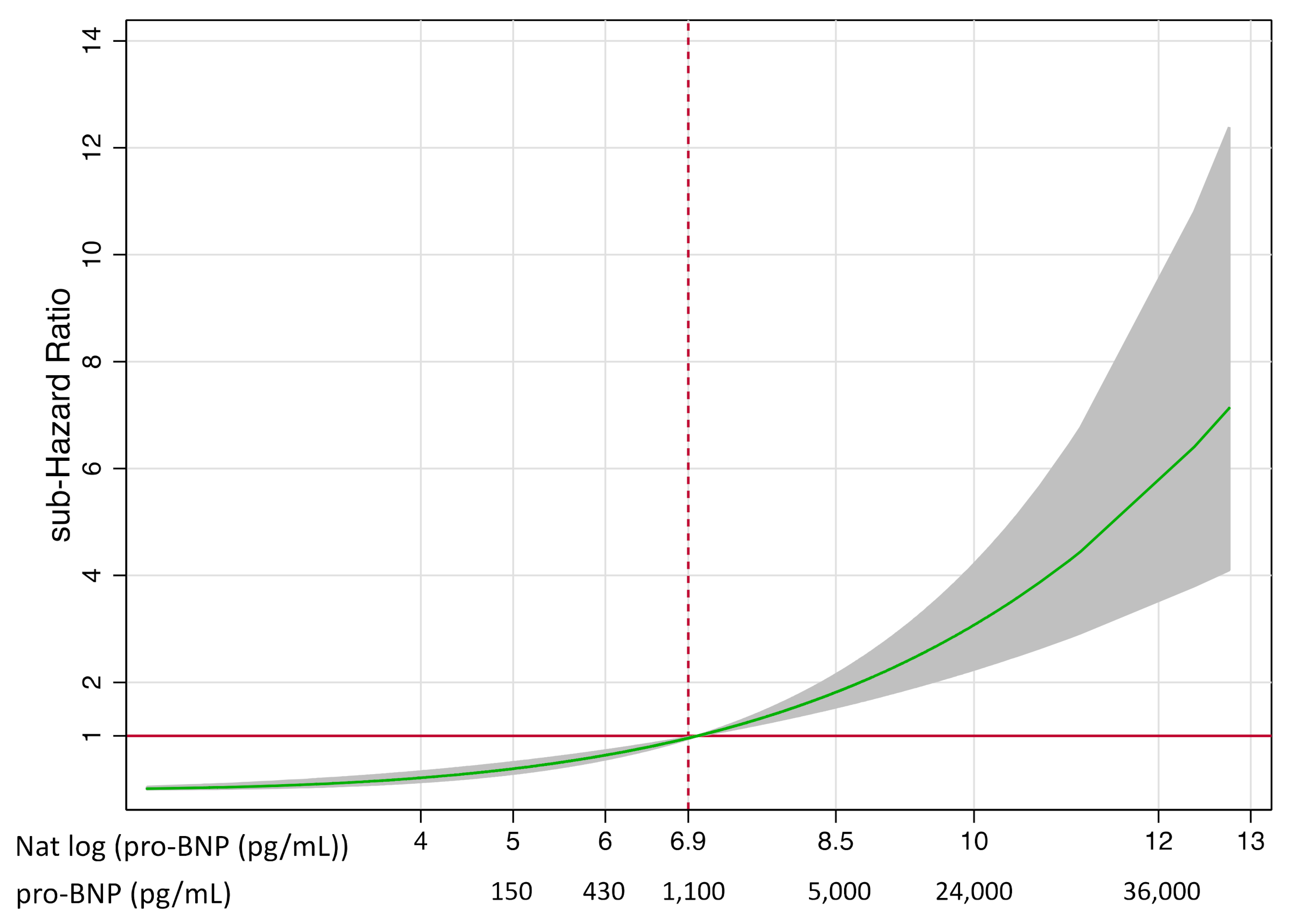
3.2. Post-Discharge Heart Failure Admissions
4. Discussion
5. Conclusions
Supplementary Materials
Author Contributions
Funding
Institutional Review Board Statement
Informed Consent Statement
Data Availability Statement
Acknowledgments
Conflicts of Interest
References
- Fernández-Gassó, L.; Hernando-Arizaleta, L.; Palomar-Rodríguez, J.A.; Abellán-Pérez, M.V.; Hernández-Vicente, Á.; Pascual-Figal, D.A. Estudio poblacional de la primera hospitalización por insuficiencia cardiaca y la interacción entre los reingresos y la supervivencia. Rev. Española Cardiol. 2019, 72, 740–748. [Google Scholar] [CrossRef]
- Filippatos, G.; Angermann, C.E.; Cleland, J.G.F.; Lam, C.S.P.; Dahlström, U.; Dickstein, K.; Ertl, G.; Hassanein, M.; Hart, K.W.; Lindsell, C.J.; et al. Global Differences in Characteristics, Precipitants, and Initial Management of Patients Presenting with Acute Heart Failure. JAMA Cardiol. 2020, 5, 401–410. [Google Scholar] [CrossRef]
- Lawson Claire, A.; Zaccardi, F.; Squire, I.; Okhai, H.; Davies, M.; Huang, W.; Mamas, M.; Lam Carolyn, S.P.; Khunti, K.; Kadam Umesh, T. Risk Factors for Heart Failure. Circ. Heart Fail. 2020, 13, e006472. [Google Scholar] [CrossRef]
- Agra Bermejo, R.; Cordero, A.; García-Acuña, J.M.; Gómez Otero, I.; Varela Román, A.; Martínez, Á.; Álvarez Rodríguez, L.; Abou-Jokh, C.; Rodríguez-Mañero, M.; Cid Álvarez, B.; et al. Determinants and Prognostic Impact of Heart Failure and Left Ventricular Ejection Fraction in Acute Coronary Syndrome Settings. Rev. Española Cardiol. 2018, 71, 820–828. [Google Scholar] [CrossRef]
- Cordero, A.; Rodriguez-Manero, M.; Bertomeu-Gonzalez, V.; Garcia-Acuna, J.M.; Baluja, A.; Agra-Bermejo, R.; Alvarez-Alvarez, B.; Cid, B.; Zuazola, P.; Gonzalez-Juanatey, J.R. Insuficiencia cardiaca de novo tras un síndrome coronario agudo en pacientes sin insuficiencia cardiaca ni disfunción ventricular izquierda. Rev. Española Cardiol. 2021. [Google Scholar] [CrossRef]
- Agarwal, M.A.; Fonarow, G.C.; Ziaeian, B. National Trends in Heart Failure Hospitalizations and Readmissions from 2010 to 2017. JAMA Cardiol. 2021. online ahead of print. [Google Scholar] [CrossRef] [PubMed]
- Taniguchi, T.; Shiomi, H.; Morimoto, T.; Watanabe, H.; Ono, K.; Shizuta, S.; Kato, T.; Saito, N.; Kaji, S.; Ando, K.; et al. Incidence and Prognostic Impact of Heart Failure Hospitalization During Follow-Up After Primary Percutaneous Coronary Intervention in ST-Segment Elevation Myocardial Infarction. Am. J. Cardiol. 2017, 119, 1729–1739. [Google Scholar] [CrossRef] [PubMed]
- Wellings, J.; Kostis, J.B.; Sargsyan, D.; Cabrera, J.; Kostis, W.J. Risk Factors and Trends in Incidence of Heart Failure Following Acute Myocardial Infarction. Am. J. Cardiol. 2018, 122, 1–5. [Google Scholar] [CrossRef]
- Nunez, J.; Llacer, P.; Bertomeu-Gonzalez, V.; Bosch, M.J.; Merlos, P.; Garcia-Blas, S.; Montagud, V.; Bodi, V.; Bertomeu-Martinez, V.; Pedrosa, V.; et al. Carbohydrate Antigen-125-Guided Therapy in Acute Heart Failure: CHANCE-HF: A Randomized Study. JACC Heart Fail. 2016, 4, 833–843. [Google Scholar] [CrossRef]
- Ouwerkerk, W.; Zwinderman, A.H.; Ng, L.L.; Demissei, B.; Hillege, H.L.; Zannad, F.; van Veldhuisen, D.J.; Samani, N.J.; Ponikowski, P.; Metra, M.; et al. Biomarker-Guided Versus Guideline-Based Treatment of Patients with Heart Failure: Results from BIOSTAT-CHF. J. Am. Coll. Cardiol. 2018, 71, 386–398. [Google Scholar] [CrossRef]
- Nguyen, K.; Fan, W.; Bertoni, A.; Budoff, M.J.; Defilippi, C.; Lombardo, D.; Maisel, A.; Szklo, M.; Wong, N.D. N-terminal Pro B-type Natriuretic Peptide and High-sensitivity Cardiac Troponin as Markers for Heart Failure and Cardiovascular Disease Risks According to Glucose Status (from the Multi-Ethnic Study of Atherosclerosis [MESA]). Am. J. Cardiol. 2020, 125, 1194–1201. [Google Scholar] [CrossRef] [PubMed]
- Yancy, C.W.; Jessup, M.; Bozkurt, B.; Butler, J.; Casey, D.E., Jr.; Colvin, M.M.; Drazner, M.H.; Filippatos, G.S.; Fonarow, G.C.; Givertz, M.M.; et al. 2017 ACC/AHA/HFSA Focused Update of the 2013 ACCF/AHA Guideline for the Management of Heart Failure: A Report of the American College of Cardiology/American Heart Association Task Force on Clinical Practice Guidelines and the Heart Failure Society of America. J. Card. Fail. 2017, 23, 628–651. [Google Scholar]
- York, M.K.; Gupta, D.K.; Reynolds, C.F.; Farber-Eger, E.; Wells, Q.S.; Bachmann, K.N.; Xu, M.; Harrell, F.E., Jr.; Wang, T.J. B-Type Natriuretic Peptide Levels and Mortality in Patients with and without Heart Failure. J. Am. Coll. Cardiol. 2018, 71, 2079–2088. [Google Scholar] [CrossRef]
- de Lemos, J.A.; Morrow, D.A.; Bentley, J.H.; Omland, T.; Sabatine, M.S.; McCabe, C.H.; Hall, C.; Cannon, C.P.; Braunwald, E. The Prognostic Value of B-Type Natriuretic Peptide in Patients with Acute Coronary Syndromes. N. Engl. J. Med. 2001, 345, 1014–1021. [Google Scholar] [CrossRef]
- O’Donoghue, M.L.; Morrow, D.A.; Cannon, C.P.; Jarolim, P.; Desai, N.R.; Sherwood, M.W.; Murphy, S.A.; Gerszten, R.E.; Sabatine, M.S. Multimarker Risk Stratification in Patients with Acute Myocardial Infarction. J. Am. Heart Assoc. 2016, 5, e002586. [Google Scholar] [CrossRef]
- Lindholm, D.; James, S.K.; Gabrysch, K.; Himmelmann, A.; Cannon, C.P.; Mahaffey, K.W.; Steg, P.G.; Held, C.; Siegbahn, A.; Wallentin, L. Association of multiple biomarkers with risk of all-cause and cause-specific mortality after acute coronary syndromes: A secondary analysis of the plato biomarker study. JAMA Cardiol. 2018, 3, 1160–1166. [Google Scholar] [CrossRef]
- Zhang, D.Q.; Li, H.W.; Chen, H.P.; Ma, Q.; Chen, H.; Xing, Y.L.; Zhao, X.Q. Combination of Amino-Terminal Pro- BNP, Estimated GFR, and High-Sensitivity CRP for Predicting Cardiorenal Syndrome Type 1 in Acute Myocardial Infarction Patients. J. Am. Heart Assoc. 2018, 7, e009162. [Google Scholar] [CrossRef]
- Granger, C.B.; Goldberg, R.J.; Dabbous, O.; Pieper, K.S.; Eagle, K.A.; Cannon, C.P.; Van de Werf, F.; Avezum, A.; Goodman, S.G.; Flather, M.D.; et al. Predictors of hospital mortality in the global registry of acute coronary events. Arch. Internet Med. 2003, 163, 2345–2353. [Google Scholar] [CrossRef]
- Ponikowski, P.; Voors, A.A.; Anker, S.D.; Bueno, H.; Cleland, J.G.F.; Coats, A.J.S.; Falk, V.; Gonzalez-Juanatey, J.R.; Harjola, V.P.; Jankowska, E.A.; et al. 2016 ESC Guidelines for the diagnosis and treatment of acute and chronic heart failure: The Task Force for the diagnosis and treatment of acute and chronic heart failure of the European Society of Cardiology (ESC)Developed with the special contribution of the Heart Failure Association (HFA) of the ESC. Eur. Heart J. 2016, 37, 2129–2200. [Google Scholar] [PubMed]
- von Elm, E.; Altman, D.G.; Egger, M.; Pocock, S.; Gotzsche, P.C.; Vandenbroucke, J. The Strengthening the Reporting of Observational Studies in Epidemiology (STROBE) statement: Guidelines for reporting observational studies. PLoS Med. 2007, 4, e296. [Google Scholar] [CrossRef] [PubMed]
- Levey, A.S.; Stevens, L.A.; Schmid, C.H.; Zhang, Y.L.; Castr, A.F., 3rd; Feldman, H.I.; Kusek, J.W.; Eggers, P.; Van Lente, F.; Greene, T.; et al. A new equation to estimate glomerular filtration rate. Ann. Internet Med. 2009, 150, 604–612. [Google Scholar] [CrossRef] [PubMed]
- Rodriguez-Manero, M.; Cordero, A.; Kreidieh, O.; Garcia-Acuna, J.M.; Seijas, J.; Agra-Bermejo, R.M.; Abou-Jokh, C.; Alvarez-Rodriguez, L.; Alvarez-Iglesias, D.; Lopez-Palop, R.; et al. Proposal of a novel clinical score to predict heart failure incidence in long-term survivors of acute coronary syndromes. Int. J. Cardiol. 2017, 243, 211–215. [Google Scholar] [CrossRef]
- Sachdev, M.; Sun, J.L.; Tsiatis, A.A.; Nelson, C.L.; Mark, D.B.; Jollis, J.G. The prognostic importance of comorbidity for mortality in patients with stable coronary artery disease. J. Am. Coll. Cardiol. 2004, 43, 576–582. [Google Scholar] [CrossRef] [PubMed]
- Cordero, A.; Rodriguez-Manero, M.; Bertomeu-Gonzalez, V.; Gonzalez-Juanatey, J.R. Managing NSTEMI in older patients. Lancet 2021, 397, 370–371. [Google Scholar] [CrossRef]
- Fine, J.P.; Gray, R.J. A Proportional Hazards Model for the Subdistribution of a Competing Risk. J. Am. Stat. Assoc. 1999, 94, 496–509. [Google Scholar] [CrossRef]
- Rogers, J.K.; Pocock, S.J.; McMurray, J.J.; Granger, C.B.; Michelson, E.L.; Ostergren, J.; Pfeffer, M.A.; Solomon, S.D.; Swedberg, K.; Yusuf, S. Analysing recurrent hospitalizations in heart failure: A review of statistical methodology, with application to CHARM-Preserved. Eur. J. Heart Fail. 2014, 16, 33–40. [Google Scholar] [CrossRef]
- Cordero, A.; Lopez-Palop, R.; Carrillo, P.; Moreno-Arribas, J.; Bertomeu-Gonzalez, V.; Frutos, A.; Garcia-Carrilero, M.; Gunturiz, C.; Bertomeu-Martinez, V. Comparison of Long-Term Mortality for Cardiac Diseases in Patients with Versus without Diabetes Mellitus. Am. J. Cardiol. 2016, 117, 1088–1094. [Google Scholar] [CrossRef]
- Cui, X.; Zhou, J.; Pivodic, A.; Dahlström, U.; Ge, J.; Fu, M. Temporal trends in cause-specific readmissions and their risk factors in heart failure patients in Sweden. Int. J. Cardiol. 2020. [Google Scholar] [CrossRef]
- Batchelor, R.J.; Dinh, D.; Brennan, A.; Wong, N.; Lefkovits, J.; Reid, C.; Duffy, S.J.; Chan, W.; Cox, N.; Liew, D.; et al. Relation of Timing of Percutaneous Coronary Intervention on Outcomes in Patients with Non-ST Segment Elevation Myocardial Infarction. Am. J. Cardiol. 2020, 136, 15–23. [Google Scholar] [CrossRef]
- Hall, T.S.; von Lueder, T.G.; Zannad, F.; Rossignol, P.; Duarte, K.; Chouihed, T.; Solomon, S.D.; Dickstein, K.; Atar, D.; Agewall, S.; et al. Left ventricular ejection fraction and adjudicated, cause-specific hospitalizations after myocardial infarction complicated by heart failure or left ventricular dysfunction. Am. Heart J. 2019, 215, 83–90. [Google Scholar] [CrossRef] [PubMed]
- Melendo-Viu, M.; Abu-Assi, E.; Manzano-Fernández, S.; Flores-Blanco, P.J.; Cambronero-Sánchez, F.; Dobarro Pérez, D.; Cespón Fernández, M.; Sánchez Galian, M.J.; Gómez Molina, M.; Caneiro-Queija, B.; et al. Incidence, prognosis and predictors of heart failure after acute myocardial infarction. REC CardioClinics 2020, 55, 8–14. [Google Scholar] [CrossRef]
- Sionis, A. Comentarios a la guía ESC 2016 sobre el diagnóstico y tratamiento de la insuficiencia cardiaca aguda y crónica. Rev. Española Cardiol. 2016, 69, 1119–1125. [Google Scholar] [CrossRef]
- Bayes-Genis, A.; Barallat, J.; Galán, A.; de Antonio, M.; Domingo, M.; Zamora, E.; Gastelurrutia, P.; Vila, J.; Peñafiel, J.; Gálvez-Montón, C.; et al. Estrategia multimarcador para estratificar el pronóstico en insuficiencia cardiaca. Valor de los marcadores neurohumorales: Neprilisina frente a NT-proBNP. Rev. Española Cardiol. 2015, 68, 1075–1084. [Google Scholar] [CrossRef]
- Rodriguez-Palomares, J.F.; Gavara, J.; Ferreira-González, I.; Valente, F.; Rios, C.; Rodríguez-García, J.; Bonanad, C.; García del Blanco, B.; Miñana, G.; Mutuberria, M.; et al. Prognostic Value of Initial Left Ventricular Remodeling in Patients with Reperfused STEMI. JACC Cardiovasc. Imaging 2019, 12, 2445–2456. [Google Scholar] [CrossRef] [PubMed]
- Lindsey, M.L.; Deleon-Pennell, K.Y.; Bradshaw, A.D.; Larue, R.A.C.; Anderson, D.R.; Thiele, G.M.; Baicu, C.F.; Jones, J.A.; Menick, D.R.; Zile, M.R.; et al. Focusing Heart Failure Research on Myocardial Fibrosis to Prioritize Translation. J. Card. Fail. 2020, 26, 876–884. [Google Scholar] [CrossRef]
- Santos-Gallego, C.G.; Requena-Ibanez, J.A.; San Antonio, R.; Ishikawa, K.; Watanabe, S.; Picatoste, B.; Flores, E.; Garcia-Ropero, A.; Sanz, J.; Hajjar, R.J.; et al. Empagliflozin Ameliorates Adverse Left Ventricular Remodeling in Nondiabetic Heart Failure by Enhancing Myocardial Energetics. J. Am. Coll. Cardiol. 2019, 73, 1931–1944. [Google Scholar] [CrossRef] [PubMed]
- Peet, C.; Ivetic, A.; Bromage, D.I.; Shah, A.M. Cardiac monocytes and macrophages after myocardial infarction. Cardiovasc. Res. 2019, 116, 1101–1112. [Google Scholar] [CrossRef] [PubMed]
- Pitt, B.; Remme, W.; Zannad, F.; Neaton, J.; Martinez, F.; Roniker, B.; Bittman, R.; Hurley, S.; Kleiman, J.; Gatlin, M. Eplerenone, a selective aldosterone blocker, in patients with left ventricular dysfunction after myocardial infarction. N. Engl. J. Med. 2003, 348, 1309–1321. [Google Scholar] [CrossRef] [PubMed]
- Agra-Bermejo, R.; Cordero, A.; Rodríguez-Mañero, M.; García Acuña, J.M.; Álvarez Álvarez, B.; Martínez, Á.; Álvarez Rodríguez, L.; Abou-Jokh, C.; Cid Álvarez, B.; González-Juanatey, J.R. Clinical impact of mineralocorticoid receptor antagonists treatment after acute coronary syndrome in the real world, A propensity score matching analysis. Eur. Heart J. Acute Cardiovasc. Care 2018, 8, 652–659. [Google Scholar] [CrossRef] [PubMed]
- Santos-Gallego Carlos, G.; Requena-Ibanez Juan, A.; San Antonio, R.; Garcia-Ropero, A.; Ishikawa, K.; Watanabe, S.; Picatoste, B.; Vargas-Delgado Ariana, P.; Flores-Umanzor Eduardo, J.; Sanz, J.; et al. Empagliflozin Ameliorates Diastolic Dysfunction and Left Ventricular Fibrosis/Stiffness in Nondiabetic Heart Failure. JACC Cardiovasc. Imaging 2021, 14, 393–407. [Google Scholar] [CrossRef]



| N | 2133 |
|---|---|
| Age | 68.5 (12.7) |
| Male gender | 74.3% |
| Diabetes | 34.9% |
| Hypertension | 66.5% |
| Current smokers | 30.9% |
| Dyslipidemia | 51.0% |
| Previous coronary heart disease | 24.6% |
| Previous heart failure | 3.2% |
| Previous stroke | 6.7% |
| Peripheral arterial disease | 7.8% |
| Atrial fibrillation | 8.3% |
| Chronic obstructive pulmonary disease | 9.7% |
| ST-elevation ACS | 36.7% |
| GRACE score | 145.8 (41.8) |
| GRACE > 140 | 50.6% |
| Charlson index | 2.4 (2.1) |
| Charlson index ≥ 4 | 21.4% |
| Left ventricle ejection fraction (%) | 54.2 (11.9) |
| Angiography | 95.1% |
| Revascularization | 89.3% |
| Hemoglobin (gL/dL) | 13.3 (4.9) |
| Creatinine (mg/dL) | 1.1 (0.5) |
| Glomerular filtration rate (mL/min/1.72 m2) | 73.1 (23.6) |
| Total cholesterol (mg/dL) | 159.4 (63.6) |
| LDL cholesterol (mg/dL) | 92.1 (37.7) |
| HDL cholesterol (mg/dL) | 39.6 (13.1) |
| HbA1c (%) | 6.4 (1.3) |
| NT pro-BNP (pg/mL) | 977.3 (295.4–2923) |
| Heart Failure Readmission | |||
|---|---|---|---|
| No | Yes | p | |
| N | 1829 (88.3%) | 243 (11.7%) | |
| Age | 67.6 (12.7) | 75.8 (10.1) | <0.001 |
| Male gender | 75.8% | 62.5% | <0.001 |
| Diabetes | 32.2% | 54.9% | <0.001 |
| Hypertension | 64.1% | 86.2% | <0.001 |
| Current smokers | 32.6% | 18.0% | <0.001 |
| Dyslipidemia | 50.1% | 58.0% | 0.02 |
| Previous coronary heart disease | 23.5% | 33.0% | 0.002 |
| Previous heart failure | 2.8% | 6.3% | 0.005 |
| Previous stroke | 5.9% | 13.0% | <0.01 |
| Peripheral arterial disease | 7.2% | 12.1% | 0.01 |
| Atrial fibrillation | 7.5% | 14.3% | 0.001 |
| Chronic obstructive pulmonary disease | 9.4% | 12.1% | 0.20 |
| ST-elevation acute coronary syndrome | 38.2% | 25.0% | <0.01 |
| GRACE score | 143.3 (42.2) | 158.0 (38.6) | <0.001 |
| GRACE >140 | 48.9% | 64.3% | <0.01 |
| Charlson index | 2.3 (2.1) | 3.2 (2.4) | 0.49 |
| Charlson index ≥4 | 20.0% | 32.4% | <0.001 |
| Left ventricle ejection fraction (%) | 54.5 (12.7) | 49.1 (12.7) | <0.001 |
| Angiography | 96.7% | 92.2% | 0.001 |
| Revascularization | 91.6% | 84.0% | <0.001 |
| Hemoglobin (gL/dL) | 13.5 (5.1) | 12.1 (2.9) | <0.001 |
| Creatinine (mg/dL) | 1.1 (0.5) | 1.3 (0.7) | <0.001 |
| GFR (mL/min/1.72 m2) | 75.1 (23.0) | 57.4 (22.3) | <0.001 |
| Total cholesterol (mg/dL) | 160.7 (65.3) | 149.2 (48.8) | 0.01 |
| LDL cholesterol (mg/dL) | 93.1 (38.2) | 84.2 (32.8) | <0.001 |
| HDL cholesterol (mg/dL) | 39.2 (13.2) | 42.4 (12.5) | <0.001 |
| HbA1c (%) | 6.4 (1.3) | 6.8 (1.5) | <0.001 |
| NT pro-BNP (pg/mL) | 802 (254–2208) | 3342 (1343–8312) | <0.001 |
| Aspirin | 93.3% | 87.8% | 0.003 |
| Clopidogrel | 53.0% | 61.3% | 0.02 |
| Ticagrelor | 17.8% | 13.5% | 0.11 |
| Prasugrel | 15.3% | 3.6% | <0.001 |
| ACEI/ARB | 81.1% | 78.8% | 0.43 |
| Beta-blockers | 85.2% | 84.7% | 0.84 |
| Diuretics | 19.5% | 42.8% | <0.001 |
| Statins | 92.7% | 86.9% | 0.003 |
| Nitrates | 8.6% | 19.4% | <0.001 |
| Calcium channel blocker | 13.5% | 20.3% | 0.007 |
| Anticoagulants | 6.0% | 11.2% | 0.003 |
| Insulin | 8.8% | 15.3% | 0.002 |
| Oral antidiabetics | 24.4% | 37.4% | <0.001 |
| SGLT2 inhibitors | 0.5% | 1.2% | 0.27 |
| Mineral corticoid receptor antagonist | 9.9% | 17.1% | 0.001 |
| Proton pump inhibitors | 76.0% | 71.2% | 0.11 |
| Any HF Readmission Sub-Hazard Ratio (95% CI) | Recurrent Readmissions IRR (95% CI) | |
|---|---|---|
| Complete revascularization | 0.71 (0.53–0.95); p = 0.022 | 0.60 (0.47–0.76); p < 0.001 |
| Atrial fibrillation | 1.18 (0.80–1.76); p = 0.396 | 1.31 (1.05–1.65); p = 0.019 |
| Diabetes mellitus | 1.33 (1.02–2.10); p = 0.002 | 1.53 (1.28–1.85); p < 0.001 |
| Female gender | 1.42 (1.06–1.92); p = 0.022 | 1.20 (1.00–1.45); p = 0.049 |
| Pro-BNP (pg/mL) | 1.47 (1.31–1.66); p < 0.001 | 1.45 (1.36–1.54); p < 0.001 |
| Heart failure within hospitalization | 1.50 (1.09–2.77); p = 0.040 | 1.55 (1.10–2.17); p = 0.012 |
| Arterial hypertension | 1.88 (1.25–2.83); p = 0.002 | 2.22 (1.68–2.94); p < 0.001 |
| Any HF Readmission Sub-Hazar Ratio (95% CI) | Interaction | Recurrent Readmissions IRR (95% CI) | Interaction | ||
|---|---|---|---|---|---|
| Gender | male | 1.38 (1.21–1.59); p < 0.001 | p = 0.002 | 1.31 (1.21–1.43); p < 0.001 | p = 0.152 |
| female | 1.69 (1.41–2.04); p < 0.001 | 1.61 (1.42–1.84); p < 0.001 | |||
| GFR | >60 mL/min/1.72 m2 | 150 (1.26–1.77); p < 0.001 | p = 0.170 | 1.50 (1.36–1.66); p < 0.001 | p = 0.015 |
| <60 mL/min/1.72 m2 | 1.40 (1.18–1.58); p < 0.001 | 1.29 (1.17–1.43); p < 0.0.01 | |||
| Diabetes | no | 1.68 (1.42–2.00); p < 0.001 | p = 0.077 | 1.57 (1.40–1.74); p < 0.001 | p = 0.003 |
| yes | 1.37 (1.19–1.58); p < 0.001 | 1.34 (1.22–1.47); p < 0.001 | |||
| Previous HF | no | 1.48 (1.32–1.67); p < 0.001 | p = 0.278 | 1.40 (1.30–1.49); p < 0.001 | p = 0.201 |
| yes | 1.59 (0.88–2.90); p = 0.127 | 1.30 (0.95–1.90); p = 0.07 | |||
| STEMI | No | 1.54 (1.37–1.73); p < 0.001 | p = 0.647 | 1.53 (1.41–1.66); p < 0.001 | p = 0.003 |
| Yes | 1.46 (1.16–1.85); p < 0.001 | 1.22 (1.08–1.38); p < 0.001 | |||
| Troponin elevation | No | 1.56 (1.31–1.80); p < 0.001 | p = 0.958 | 1.59 (1.42–1.78); p < 0.001 | p = 0.003 |
| Yes | 1.42 (1.21–1.67); p < 0.001 | 1.30 (1.19–1.41); p < 0.001 |
Publisher’s Note: MDPI stays neutral with regard to jurisdictional claims in published maps and institutional affiliations. |
© 2021 by the authors. Licensee MDPI, Basel, Switzerland. This article is an open access article distributed under the terms and conditions of the Creative Commons Attribution (CC BY) license (https://creativecommons.org/licenses/by/4.0/).
Share and Cite
Cordero, A.; Martínez Rey-Rañal, E.; Moreno, M.J.; Escribano, D.; Moreno-Arribas, J.; Quintanilla, M.A.; Zuazola, P.; Núñez, J.; Bertomeu-González, V. Predictive Value of Pro-BNP for Heart Failure Readmission after an Acute Coronary Syndrome. J. Clin. Med. 2021, 10, 1653. https://doi.org/10.3390/jcm10081653
Cordero A, Martínez Rey-Rañal E, Moreno MJ, Escribano D, Moreno-Arribas J, Quintanilla MA, Zuazola P, Núñez J, Bertomeu-González V. Predictive Value of Pro-BNP for Heart Failure Readmission after an Acute Coronary Syndrome. Journal of Clinical Medicine. 2021; 10(8):1653. https://doi.org/10.3390/jcm10081653
Chicago/Turabian StyleCordero, Alberto, Elías Martínez Rey-Rañal, María J. Moreno, David Escribano, José Moreno-Arribas, Maria A. Quintanilla, Pilar Zuazola, Julio Núñez, and Vicente Bertomeu-González. 2021. "Predictive Value of Pro-BNP for Heart Failure Readmission after an Acute Coronary Syndrome" Journal of Clinical Medicine 10, no. 8: 1653. https://doi.org/10.3390/jcm10081653
APA StyleCordero, A., Martínez Rey-Rañal, E., Moreno, M. J., Escribano, D., Moreno-Arribas, J., Quintanilla, M. A., Zuazola, P., Núñez, J., & Bertomeu-González, V. (2021). Predictive Value of Pro-BNP for Heart Failure Readmission after an Acute Coronary Syndrome. Journal of Clinical Medicine, 10(8), 1653. https://doi.org/10.3390/jcm10081653

